Dynamic Features of Non-Return Mechanism in Hatch Door of Amphibious Aircraft
Abstract
:1. Introduction
2. Rotation-Translation Coupled Dynamics Model of the Non-Return Mechanism
2.1. Modular Division of Non-Return Mechanism
2.2. Dynamics Models
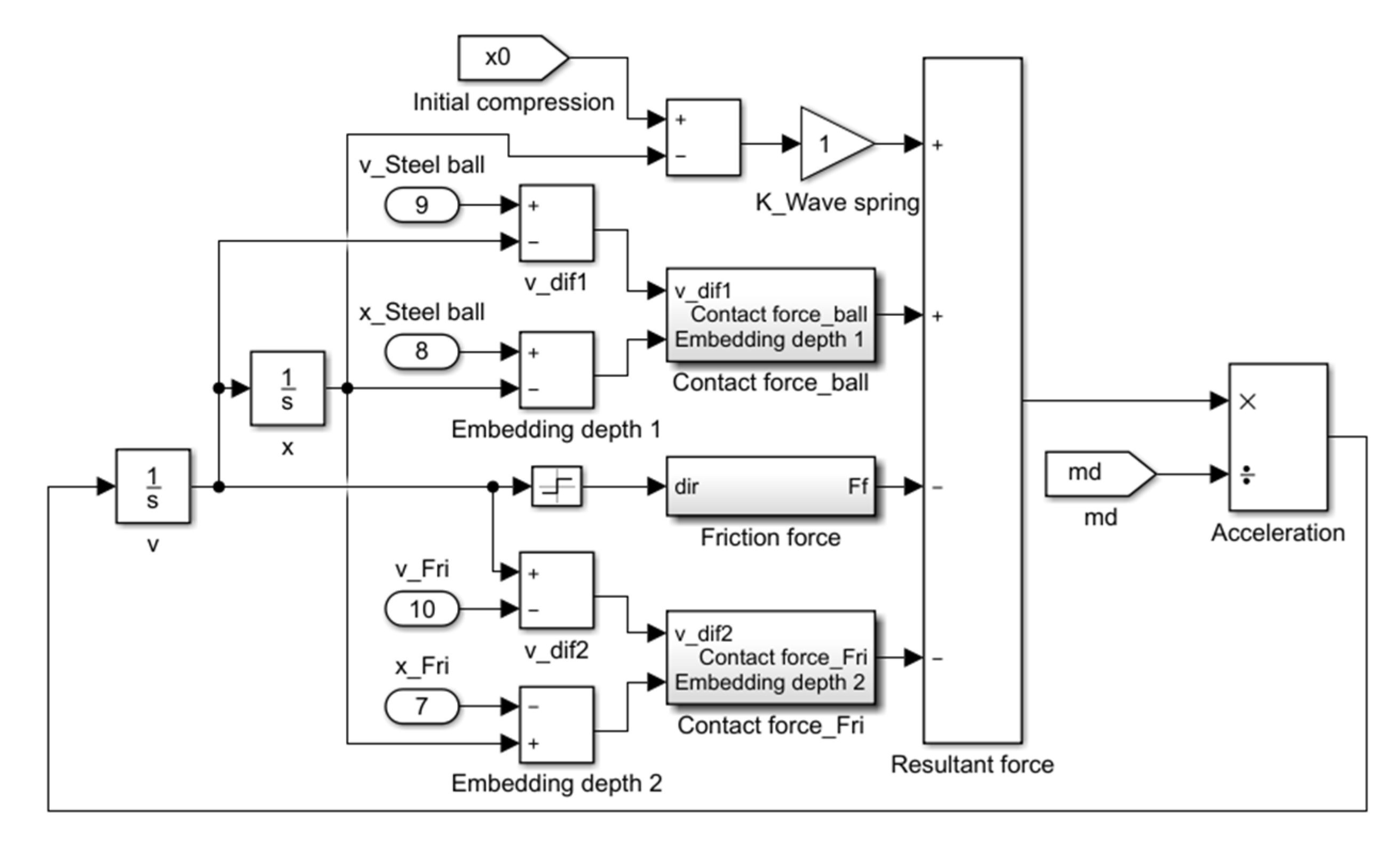
2.2.1. Contact Force Model
2.2.2. Dynamics Model of Ball-and-Socket Contact Pair at the Output End
2.2.3. Torque Transmission of Multi-Disc Friction Pair
2.2.4. Dynamics Model of Ball-and-Socket Contact Pair at the Input End
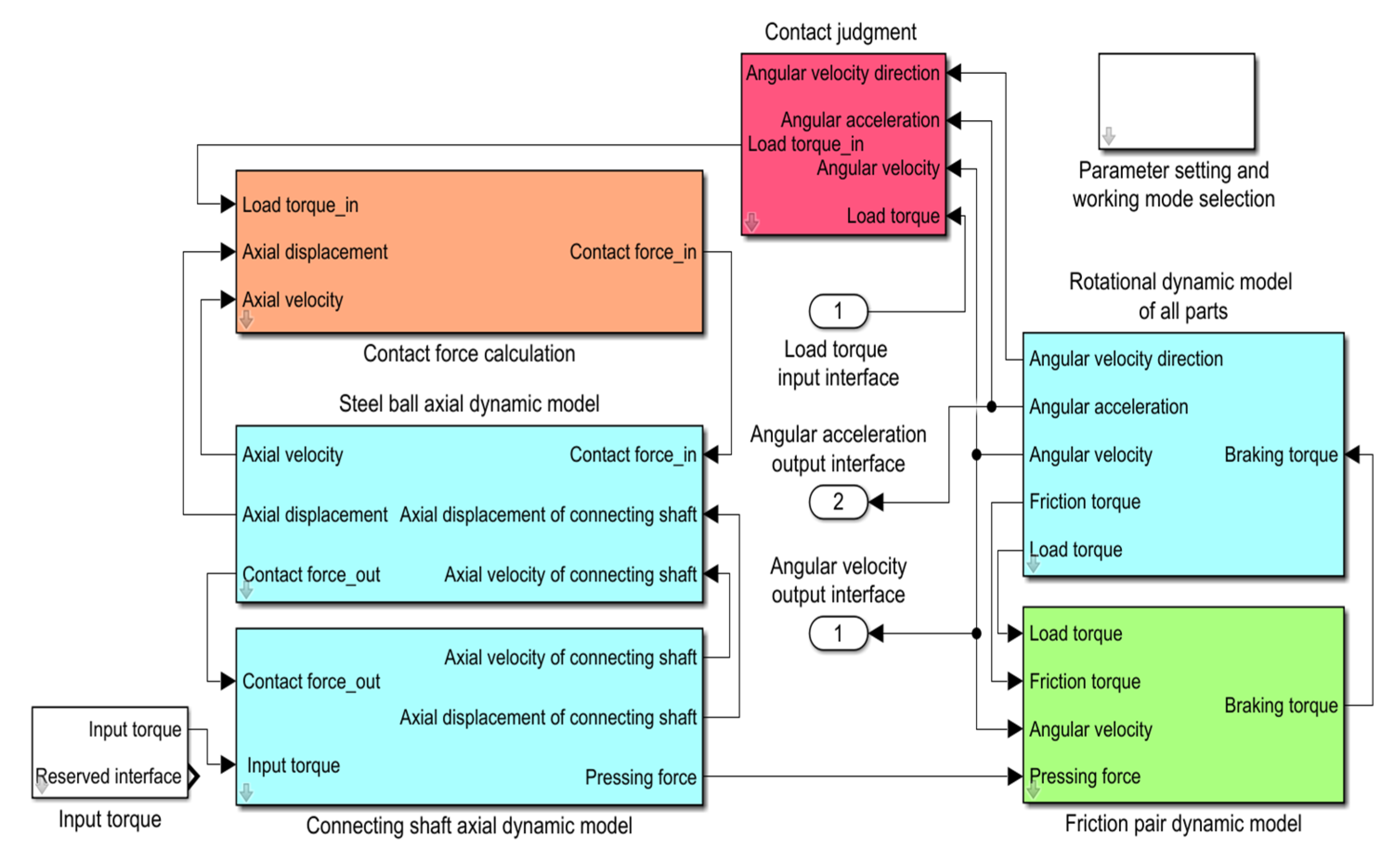
3. Simulation Platform Based on Simulink
4. Dynamic Simulation and Result Discussions
4.1. Dynamic Features of Braking under the Reverse Load
4.2. Dynamic Features of Braking under the Forward Load
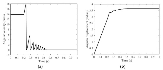
4.3. Dynamic Features of Continuous Closing
5. Verification of Actuating Principle of Ball-and-Socket Contact Pair
5.1. Experimental Procedures
5.2. Comparison between Test Results and Simulation Results
6. Conclusions
- (1)
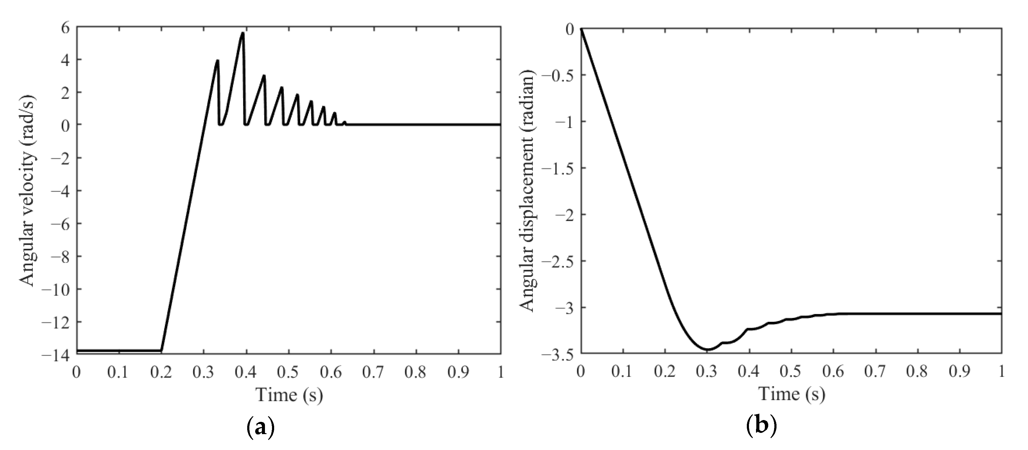
- With the same load torque and initial angular velocity, the braking time under reverse load braking is longer than that of forward load braking, while the angular displacement is the opposite.
- (2)
- Under the conditions of continuous closing, the whole process can be described as motor drive unlocking-door closing movement-door drive braking-motor drive unlocking-door closing movement… until the door is closed in place. During the stable closing phase, the maximum angular velocity of the output shaft is 29 rad/s and the braking torque shows a variation law with a period of 0.444 s. The peak braking torque is about 60 Nm and the minimum braking torque is 8.2 Nm. The change of braking torque demonstrates that the door closing is continuous and friction heat will be generated.
- (3)
- Three pairs of multi-disc friction pairs can effectively complete the braking of the cabin door under two failure modes.
- (4)
- The actuating principle of ball-and-socket contact pair is verified by experiment. The simulation and test results show that the smaller the cone angle of the ball socket, the greater the pressing force; the smaller the distribution radius of the ball socket, the greater the pressing force, and the diameter of the steel ball has little effect on the pressing force. When the load torque is increased, the pressing force will be significantly increased.
Author Contributions
Funding
Institutional Review Board Statement
Informed Consent Statement
Data Availability Statement
Conflicts of Interest
References
- Seth, A.; Liem, R. Amphibious Aircraft Developments: Computational Studies of Hydrofoil Design for Improvements in Water-Takeoffs. Aerospace 2021, 8, 10. [Google Scholar] [CrossRef]
- Wang, L.; Yin, H.; Yang, K.; Liu, H.; Zhu, J. Water takeoff performance calculation method for amphibious aircraft based on digital virtual flight. Chin. J. Aeronaut. 2020, 33, 3082–3091. [Google Scholar] [CrossRef]
- Hartmann, H.; Schautt, M.; Pascucci, A.; Gombert, B. eBrake®-the Mechatronic Wedge Brake. SAE Trans. 2002, 1, 2582. [Google Scholar]
- Ákos, S.; Richard, R. Simulation in the Development of the Electronic Wedge Brake. SAE Trans. 2006, 1, 0298. [Google Scholar]
- Lok, M.; Richard, R.; Henry, H.; Bernd, G. The Electronic Wedge Brake-EWB. SAE Trans. 2006, 1, 3196. [Google Scholar]
- Kim, J.; Kim, M.; Kim, J. Developing of Electronic Wedge Brake with Cross Wedge. SAE Trans. 2009, 1, 0856. [Google Scholar]
- Kim, J.; Kim, M.; Chun, J. ABS/ESC/EPB Control of Electronic Wedge Brake. SAE Trans. 2010, 1, 0074. [Google Scholar]
- Cheon, J.; Kim, J.; Jeon, J.; Lee, S. Brake by Wire Functional Safety Concept Design for ISO/DIS 26262. SAE Trans. 2011, 1, 2357. [Google Scholar]
- Cheon, J. Brake by Wire System Configuration and Functions using Front EWB (Electric Wedge Brake) and Rear EMB (Electro-Mechanical Brake) Actuators. SAE Trans. 2010, 1, 1708. [Google Scholar]
- Balogh, L.; Stréli, T.; Németh, H.; Palkovics, L. Modelling and Simulating of Self-energizing Brake System. Veh. Syst. Dyn. 2006, 44, 368–377. [Google Scholar] [CrossRef]
- Mahmoud, K.; Mourad, M.; Bin Mahfouz, A. Dynamic behaviors of a wedge disc brake. Appl. Acoust. 2017, 128, 32–39. [Google Scholar] [CrossRef]
- Mahmoud, K. Dynamic Analysis of a Wedge Disc Brake according to the Variations of Friction Coefficient. Appl. Cond. Monit. 2017, 5, 313–326. [Google Scholar]
- Wang, J.; Zhang, Y.; Yang, N. Parameters design and braking efficiency analysis of a hydraulic self-energizing wedge disc brake. Int. J. Precis. Eng. Manuf. 2017, 18, 1409–1418. [Google Scholar] [CrossRef]
- Xu, F.; Cho, C. A Novel Electronic Wedge Brake Based on Active Disturbance Rejection Control. Energies 2022, 15, 5096. [Google Scholar] [CrossRef]
- Yu, L.; Ma, L.; Song, J.; Liu, X. Magnetorheological and Wedge Mechanism-Based Brake-by-Wire System with Self-Energizing and Self-Powered Capability by Brake Energy Harvesting. IEEE/ASME Trans. Mechatron. 2016, 21, 2568–2580. [Google Scholar] [CrossRef]
- Yu, L.; Chang, J.; Zheng, S. Proof-of-Concept Design of Electronic Wedge Brake with Multi-Rollers. In Proceedings of the ASME 2017 International Design Engineering Technical Conferences and Computers and Information in Engineering Conference, Cleveland, OH, USA, 6–9 August 2017; p. V003T01A020. [Google Scholar]
- Ahmad, F.; Hudha, K.; Mazlan, S.; Jamaluddin, H.; Zamzuri, H.; Kadir, Z.; Aparow, V. Modelling and Control of a Fixed Caliper-Based Electronic Wedge Brake. J. Mech. Eng. 2017, 63, 181–190. [Google Scholar] [CrossRef]
- Yao, M.; Miao, J.; Cao, S.; Chen, S.; Cha, H. The Structure Design and Optimization of Electromagnetic-Mechanical Wedge Brake System. IEEE Access 2020, 8, 3995–4004. [Google Scholar] [CrossRef]
- Li, C.; Gang, X. Stability and response of a self-amplified braking system under velocity-dependent actuation force. Nonlinear Dyn. 2014, 78, 2459–2477. [Google Scholar]
- Ahmad, F.; Hudha, K.; Mazlan, S. Simulation and experimental investigation of vehicle braking system employing a fixed caliper based electronic wedge brake. Simul. Trans. Soc. Model. Simul. Int. 2018, 94, 327–340. [Google Scholar] [CrossRef]
- Wang, Y.; Yang, K.; Jia, S.; Yang, W. Load distribution analysis and eccentricity characteristics for marble screw-loading device of dry disc brakes. J. Mech. Sci. Technol. 2021, 35, 61–70. [Google Scholar] [CrossRef]
- Herbert, R.; McWhannell, D. Shape and frequency composition of pulses from an impact pair. J. Eng. Ind. 1977, 99, 513–518. [Google Scholar] [CrossRef]

























| Angular Velocity of Steel Disc | Braking Torque | |
|---|---|---|
| Notation | Specification | Value |
|---|---|---|
| Mass of output shaft (kg) | ||
| Mass of input shaft (kg) | ||
| Mass of steel ball (kg) | ||
| Mass of connecting shaft (kg) | ||
| Equivalent moment of inertia of output shaft (kg·m2) | ||
| Moment of inertia of input shaft (kg·m2) | ||
| Moment of inertia of connecting shaft (kg·m2) | ||
| Moment of inertia of steel ball around central axis (kg·m2) | ||
| Stiffness of wave spring (N/m) | ||
| Contact stiffness (N/m) | ||
| Spring preload (m) | ||
| Distance from ball socket to central axis (m) | ||
| Friction radius of output shaft (m) | ||
| Friction radius of connecting shaft (m) | ||
| Friction radius of input shaft (m) | 0.01 | |
| Inner radius at the contact area of the friction pair (m) | ||
| Outer radius at the contact area of the friction pair (m) | ||
| Clearance of ball-and-socket contact pair (m) | ||
| Clearance of friction pair (m) | ||
| Chamfer of ball socket (rad) | ||
| Number of friction discs | ||
| Static friction coefficient | ||
| Dynamic friction coefficient | ||
| Coefficient of restitution |
Disclaimer/Publisher’s Note: The statements, opinions and data contained in all publications are solely those of the individual author(s) and contributor(s) and not of MDPI and/or the editor(s). MDPI and/or the editor(s) disclaim responsibility for any injury to people or property resulting from any ideas, methods, instructions or products referred to in the content. |
© 2023 by the authors. Licensee MDPI, Basel, Switzerland. This article is an open access article distributed under the terms and conditions of the Creative Commons Attribution (CC BY) license (https://creativecommons.org/licenses/by/4.0/).
Share and Cite
Wang, Y.; Dou, D.; Dong, X. Dynamic Features of Non-Return Mechanism in Hatch Door of Amphibious Aircraft. Aerospace 2023, 10, 227. https://doi.org/10.3390/aerospace10030227
Wang Y, Dou D, Dong X. Dynamic Features of Non-Return Mechanism in Hatch Door of Amphibious Aircraft. Aerospace. 2023; 10(3):227. https://doi.org/10.3390/aerospace10030227
Chicago/Turabian StyleWang, Yanzhong, Delong Dou, and Xiaoyan Dong. 2023. "Dynamic Features of Non-Return Mechanism in Hatch Door of Amphibious Aircraft" Aerospace 10, no. 3: 227. https://doi.org/10.3390/aerospace10030227
APA StyleWang, Y., Dou, D., & Dong, X. (2023). Dynamic Features of Non-Return Mechanism in Hatch Door of Amphibious Aircraft. Aerospace, 10(3), 227. https://doi.org/10.3390/aerospace10030227

