Disposition of Lightning Activity Due to Pollution Load during Dissimilar Seasons as Observed from Satellite and Ground-Based Data
Abstract
:1. Introduction
2. Site Description
3. Materials and Methods
Data Limitations
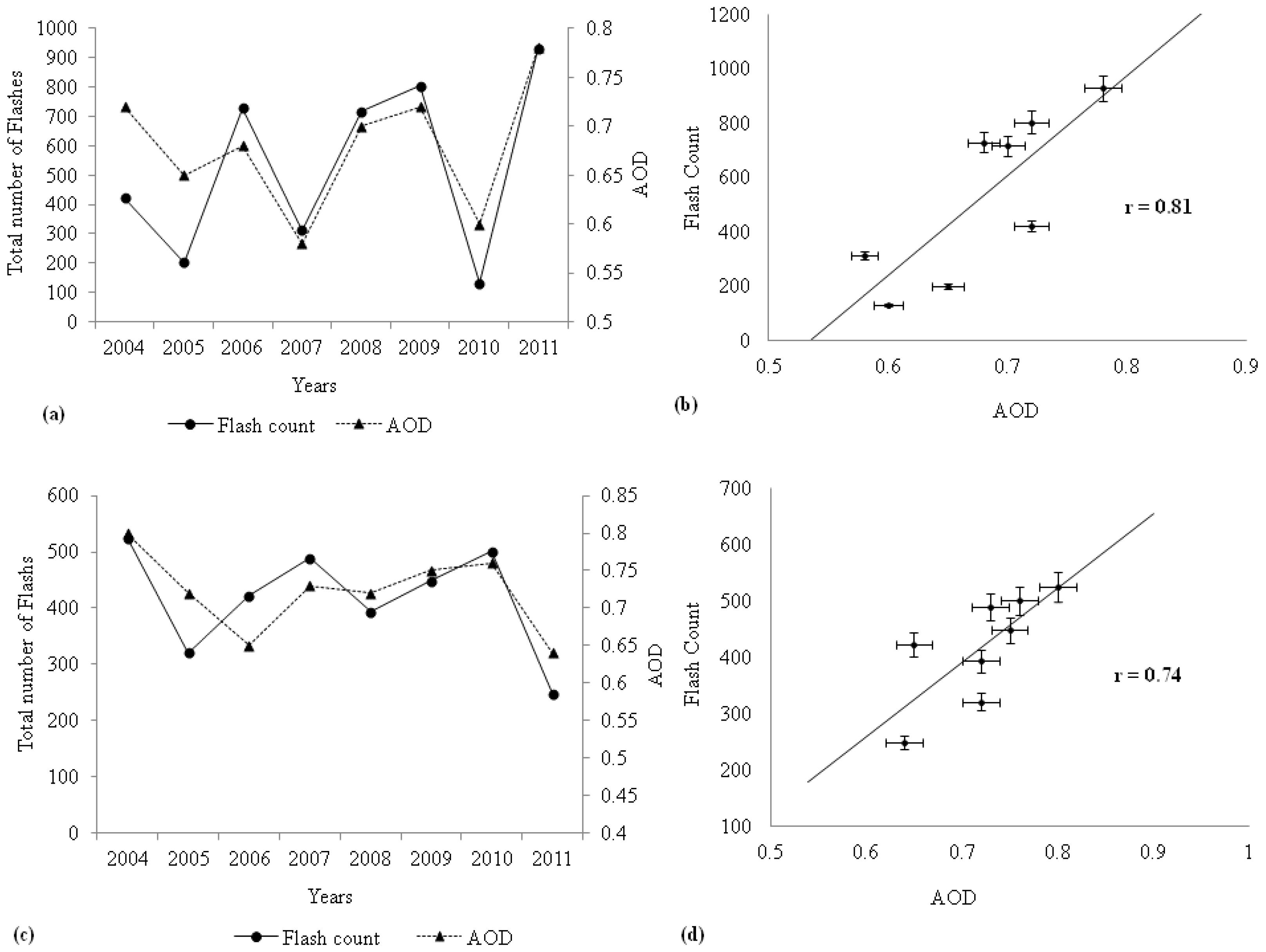
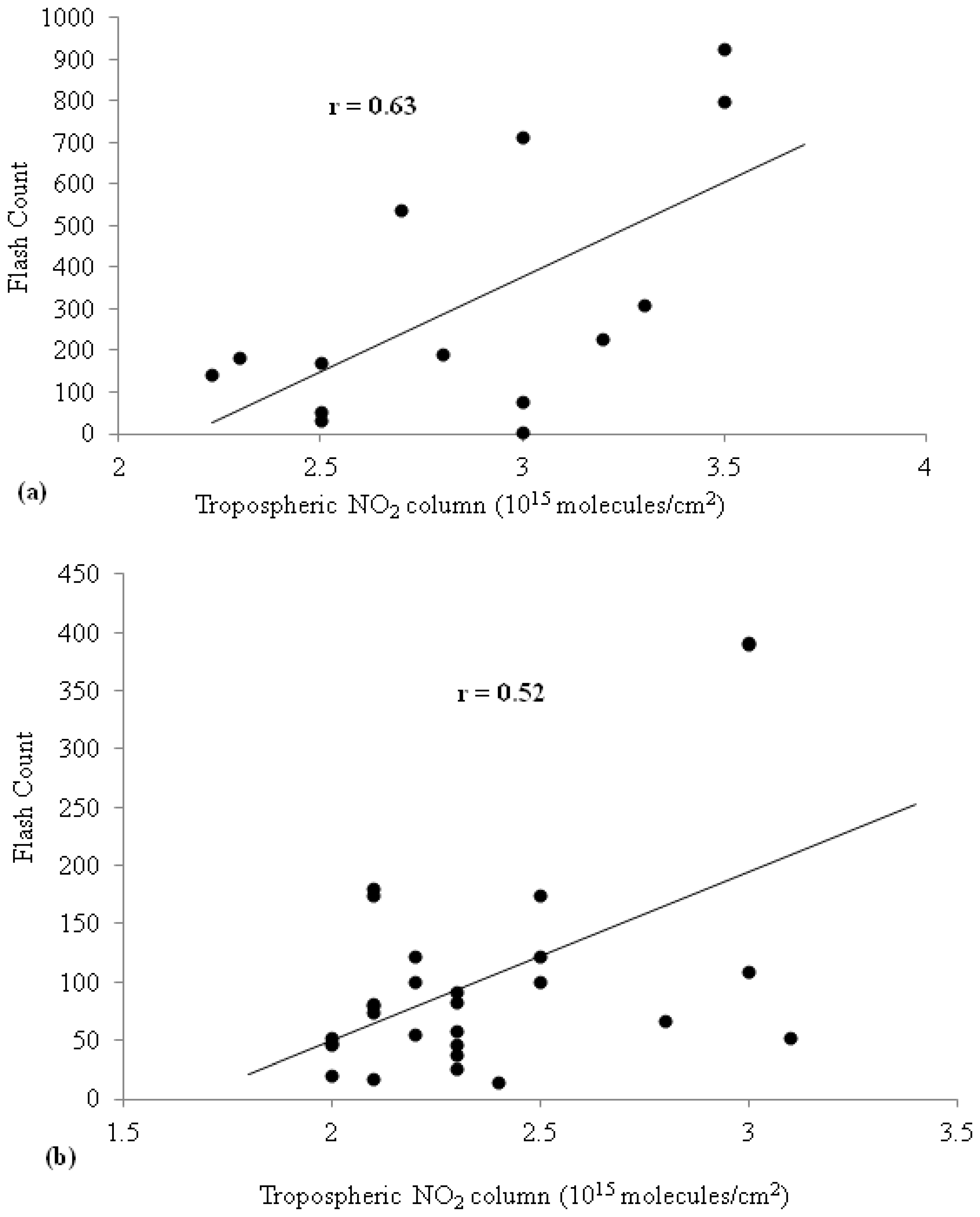
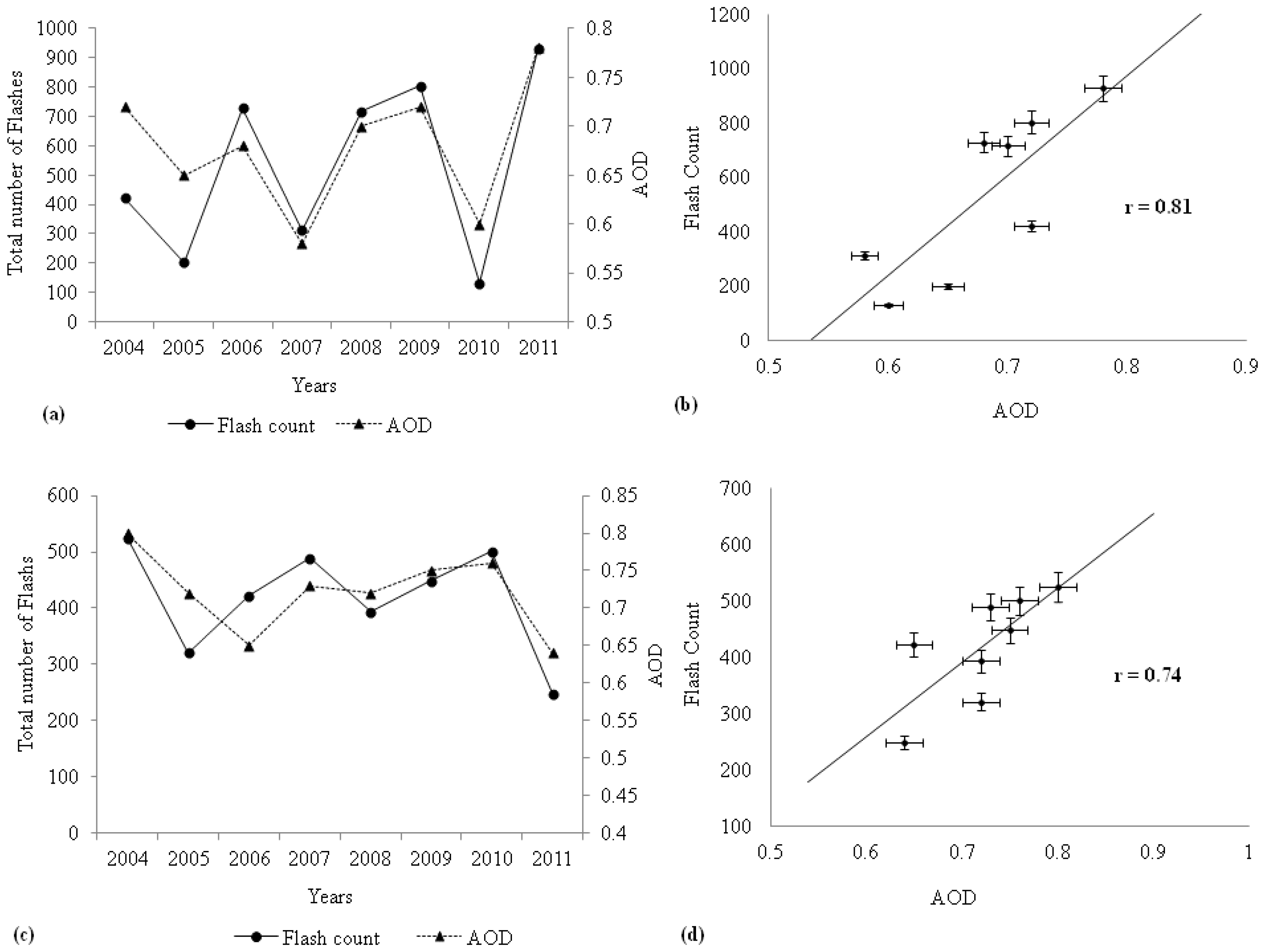
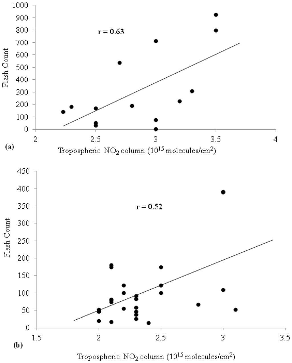
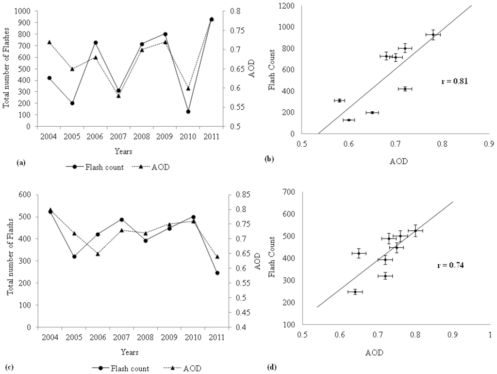
4. Results and Discussion
5. Conclusions
Acknowledgments
Author Contributions
Conflicts of Interest
References
- Braham, R.R.; Semonin, R.G.; Auer, A.H.; Changnon, S.A., Jr.; Hales, J.M. Summary of urban effects on clouds and rain, in Metromex: A review and summary. Meteorol. Monogr. Am. Meteorol. Soc. 1981, 40, 141–169. [Google Scholar]
- Balling, R.C.; Idso, S.B. Historical temperature trends in the US and the effect of urban population growth. J. Geophys. Res. 1989, 84, 3359–3363. [Google Scholar] [CrossRef]
- Lyons, W.A.; Nemson, T.E.; Williams, E.R.; Cramer, J.A.; Turner, T.R. Enhanced positive cloud-to-ground lightning in thunderstorms ingesting smoke from fires. Science 1998, 282, 77–80. [Google Scholar] [CrossRef] [PubMed]
- Westcott, N.E. Summertime cloud-to-ground lightning activity around major Midwestern urban areas. J. Appl. Meteorol. 1995, 34, 1633–1642. [Google Scholar] [CrossRef]
- Murray, N.D.; Orville, R.E.; Huffines, G.R. Effect of pollution from Central America fires on cloud-to-ground lightning in May 1998. Geophys. Res. Lett. 2000, 27, 2249–2252. [Google Scholar] [CrossRef]
- Rosenfeld, D.; Lensky, I.M. Satellite-based insights into precipitation formation processes in continental and maritime convective clouds. Bull. Am. Meteorol. Soc. 1998, 79, 2457–2476. [Google Scholar] [CrossRef]
- Naccarato, K.P.; Pinto, O., Jr.; Pinto, I.R.C.A. Evidence of thermal and aerosol effects on the cloud-to-ground lightning density and polarity over large urban areas of South eastern Brazil. Geophys. Res. Lett. 2003, 30, 71–74. [Google Scholar] [CrossRef]
- Orville, R.R.; Huffines, G.; Gammon, J.N.; Zhang, R.; Ely, B.; Steiger, S.; Phillips, S.; Allen, S.; Read, W. Enhancement of cloud-to-ground lightning over Houston, Texas. Geophys. Res. Lett. 2001, 28, 2597–2600. [Google Scholar] [CrossRef]
- Kim, Y.H.; Baik, J.J. Daily maximum urban heat island intensity in large cities of Korea. Theor. Appl. Climatol. 2004, 79, 151–164. [Google Scholar] [CrossRef]
- Fan, H.; Sailor, D.J. Modeling the impacts of anthropogenic heating on the urban climate of Philadelphia: A comparison of implementations in two PBL schemes. Atmos. Environ. 2005, 39, 73–84. [Google Scholar] [CrossRef]
- Chen, T.C.; Wang, S.Y.; Yen, M.C. Enhancement of afternoon thunderstorm activity by urbanization in a valley: Taipei. J. Appl. Meteorol. Climatol. 2007, 36, 1324–1340. [Google Scholar] [CrossRef]
- Sarrata, C.; Lemonsub, A.; Massona, V.; Guedaliac, D. Impact of urban heat island on regional atmospheric pollution. Atmos. Environ. 2006, 40, 1743–1758. [Google Scholar] [CrossRef]
- Kumar, N.; Chu, D.A.; Foster, A. An empirical relationship between PM2.5 and aerosol optical depth in Delhi Metropolitan. Atmos. Environ. 2007, 41, 4492–4503. [Google Scholar] [CrossRef] [PubMed]
- Kumar, N.; Allen Chu, D.; Foster, A. Remote sensing of ambient particles in Delhi and its environs: Estimation and validation. Int. J. Remote Sens. 2008, 29, 3383–3405. [Google Scholar] [CrossRef] [PubMed]
- Tsai, T.C.; Jeng, Y.J.; Allen Chu, D.; Chen, J.P.; Chang, S.C. Analysis of the relationship between MODIS aerosol optical depth and particulate matter from 2006 to 2008. Atmos. Environ. 2011, 45, 4777–4788. [Google Scholar] [CrossRef]
- Han, J.Y.; Baik, J.J.; Lee, H. Urban impacts on precipitation. Asia Pac. J. Atmos. Sci. 2014, 50, 17–30. [Google Scholar] [CrossRef]
- Engel-Cox, J.A.; Holloman, C.H.; Coutant, B.W.; Hoff, R.M. Qualitative and quantitative evaluation of MODIS satellite sensor data for regional and urbanscale air quality. Atmos. Environ. 2004, 38, 2495–2509. [Google Scholar] [CrossRef]
- Shepherd, J.M. A review of current investigations of urban-induced rainfall and recommendations for the future. Earth Interact. 2005, 9, 1–27. [Google Scholar] [CrossRef]
- Soriano, L.R.; Pablo, F. Effect of small urban areas in central Spain on the enhancement of cloud-to-ground lightning activity. Atmos. Environ. 2002, 36, 2809–2816. [Google Scholar] [CrossRef]
- Pawar, S.D.; Lal, D.M.; Murugavel, P. Lightning characteristics over central India during Indian summer monsoon. Atmos. Res. 2012, 106, 44–49. [Google Scholar] [CrossRef]
- Lal, D.M.; Pawar, S.D. Relationship between rainfall and lightning over central Indian region in monsoon and pre monsoon seasons. Atmos. Res. 2009, 92, 402–410. [Google Scholar] [CrossRef]
- Bell, T.L.; Rosenfeld, D.; Kim, K.M. Weekly cycle of lightning: Evidence of storm invigoration by pollution. Geophys. Res. Lett. 2009, 36. [Google Scholar] [CrossRef]
- Bell, T.L.; Rosenfeld, D.; Kim, K.M.; Yoo, J.M.; Lee, M.I.; Hahnen berger, M. Midweek increase in U.S. summer rain and storm heights suggests air pollution invigorates rainstorms. J. Geophys. Res. 2008, 113. [Google Scholar] [CrossRef]
- Li, Z.; Niu, F.; Fan, J.; Liu, Y.; Rosenfeld, D.; Ding, Y. Long-term impacts of aerosols on the vertical development of clouds and precipitation. Nat. Geosci. 2011, 4, 888–894. [Google Scholar] [CrossRef]
- Yuan, T.; Qie, X. Study on lightning activity and precipitation characteristics before and after the onset of the South China Sea summer monsoon. J. Geophys. Res. 2008, 113, D14. [Google Scholar] [CrossRef]
- Liou, Y.A.; Kar, S.K. Study of cloud-to-ground lightning and precipitation and their seasonal and geographical characteristics over Taiwan. Atmos. Res. 2010, 95, 115–122. [Google Scholar] [CrossRef]
- Nath, K.D. Nature of urbanization in West Bengal in the POST-independence period. Econ. Aff. 2009, 54, 149–164. [Google Scholar]
- Mitra, C.; Shepherd, J.M.; Jordan, T. On the relationship between the premonsoonal rainfall climatology and urban land cover dynamics in Kolkata city, India. Int. J. Climatol. 2012, 32, 1443–1454. [Google Scholar] [CrossRef]
- Lal, D.M.; Pawar, S.D. Effect of urbanization on lightning over four metropolitan cities of India. Atmos. Environ. 2011, 45, 191–196. [Google Scholar] [CrossRef]
- Cecil, D.J.; Goodman, S.J.; Boccippio, D.J.; Zipser, E.J.; Nesbitt, S.W. Three years of TRMM precipitation features—Part I: Radar, radiometric, and lightning characteristics. Mon. Weather Rev. 2005, 133, 543566. [Google Scholar] [CrossRef]
- Boccippio, D.J.; Koshak, W.J.; Blakeslee, R.J. Performance assessment of the Optical Transient Detector and Lightning Imaging Sensor—Part I: Predicted diurnal variability. J. Atmos. Ocean. Technol. 2002, 19, 1318–1332. [Google Scholar] [CrossRef]
- Boersma, K.F.; Eskes, H.J.; Veefkind, J.P.; Brinksma, E.J.; van der A, R.J.; Sneep, M.; van den Oord, G.H.J.; Levelt, P.F.; Stammes, P.; Gleason, J.F.; et al. Near-real time retrieval of tropospheric NO2 from OMI. Atmos. Chem. Phys. 2007, 2013–2128. [Google Scholar]
- Neely, R.R., III; Yu, P.; Rosenlof, K.H.; Toon, O.B.; Daniel, J.S.; Solomon, S.; Miller, H.L. The contribution of anthropogenic SO2 emissions to the Asian tropopause aerosol layer. J. Geophys. Res. 2014, 119, 1571–1579. [Google Scholar]
- Yuan, T.; Remer, L.A.; Pickering, K.E.; Yu, H. Observational evidence of aerosol enhancement of lightning activity and convective invigoration. Geophys. Res. Lett. 2011, 38, L04701. [Google Scholar] [CrossRef]
- Rosenfeld, D.; Woodley, W. Pollution and clouds. Phys. World 2001, 14, 33–37. [Google Scholar] [CrossRef]
- Williams, E.R.; Boldi, B.; Matlin, A.; Weber, M.; Hodanish, S.; Sharp, D.; Goodman, S.; Raghavan, R.; Buechler, D. The behavior of total lightning activity in severe Florida thunderstorms. Atmos. Res. 1999, 51, 245–265. [Google Scholar] [CrossRef]
- Farias, W.R.G.; Pinto, O., Jr.; Naccarato, K.P.; Pinto, I.R.C.A. Anomalous lightning activity over the Metropolitan Region of São Paulo dueto urban effects. Atmos. Res. 2009, 91, 485–490. [Google Scholar] [CrossRef]
- Rosenfeld, D.; Lohmann, U.; Raga, G.B.; O’Dowd, C.D.; Kulmala, M.; Fuzzi, S.; Reissell, A.; Andreae, M.O. Flood or drought: How do aerosols affect precipitation? Science 2008, 321. [Google Scholar] [CrossRef] [PubMed]
- Givati, A.; Rosenfeld, D. Quantifying precipitation suppression due to air pollution. J. Appl. Meteorol. 2004, 43, 1038–1056. [Google Scholar] [CrossRef]
- Yang, X.; Li, Z. Increases in thunderstorm activity and relationships with air pollution in southeast China. J. Geophys. Res. 2014, 119, 1835–1844. [Google Scholar] [CrossRef]
- Middey, A.; Chaudhuri, S. The reciprocal relation between lightning and pollution and their impact over Kolkata, India. Environ. Sci. Pollut. Res. 2013, 20, 3133–3139. [Google Scholar] [CrossRef] [PubMed]
- Chung, C.E.; Ramanathan, V. Aerosol loading over the Indian Ocean and its possible impact on regional climate. Indian J. Mar. Sci. 2004, 33, 40–55. [Google Scholar]
- Corrigan, C.E.; Ramanathan, V.; Schauer, J.J. Impact of monsoon transitions on the physical and optical properties of aerosols. J. Geophys. Res. 2006, 111, D18208. [Google Scholar] [CrossRef]
- Kar, S.K.; Liou, Y.A.; Ha, K.J. Characteristics of cloud-to-ground lightning activity over Seoul, South Korea in relation to an urban effect. Ann. Geophys. 2007, 25, 2113–2118. [Google Scholar] [CrossRef]








© 2016 by the authors; licensee MDPI, Basel, Switzerland. This article is an open access article distributed under the terms and conditions of the Creative Commons Attribution (CC-BY) license (http://creativecommons.org/licenses/by/4.0/).
Share and Cite
Middey, A.; Kaware, P.B. Disposition of Lightning Activity Due to Pollution Load during Dissimilar Seasons as Observed from Satellite and Ground-Based Data. Climate 2016, 4, 28. https://doi.org/10.3390/cli4020028
Middey A, Kaware PB. Disposition of Lightning Activity Due to Pollution Load during Dissimilar Seasons as Observed from Satellite and Ground-Based Data. Climate. 2016; 4(2):28. https://doi.org/10.3390/cli4020028
Chicago/Turabian StyleMiddey, Anirban, and Pankaj B. Kaware. 2016. "Disposition of Lightning Activity Due to Pollution Load during Dissimilar Seasons as Observed from Satellite and Ground-Based Data" Climate 4, no. 2: 28. https://doi.org/10.3390/cli4020028
APA StyleMiddey, A., & Kaware, P. B. (2016). Disposition of Lightning Activity Due to Pollution Load during Dissimilar Seasons as Observed from Satellite and Ground-Based Data. Climate, 4(2), 28. https://doi.org/10.3390/cli4020028
