Surface Broadband Radiation Data from a Bipolar Perspective: Assessing Climate Change Through Machine Learning
Abstract
1. Introduction
2. Materials and Methods
2.1. Observational Data
2.2. RADFLUX
2.3. Classification Task
3. Results
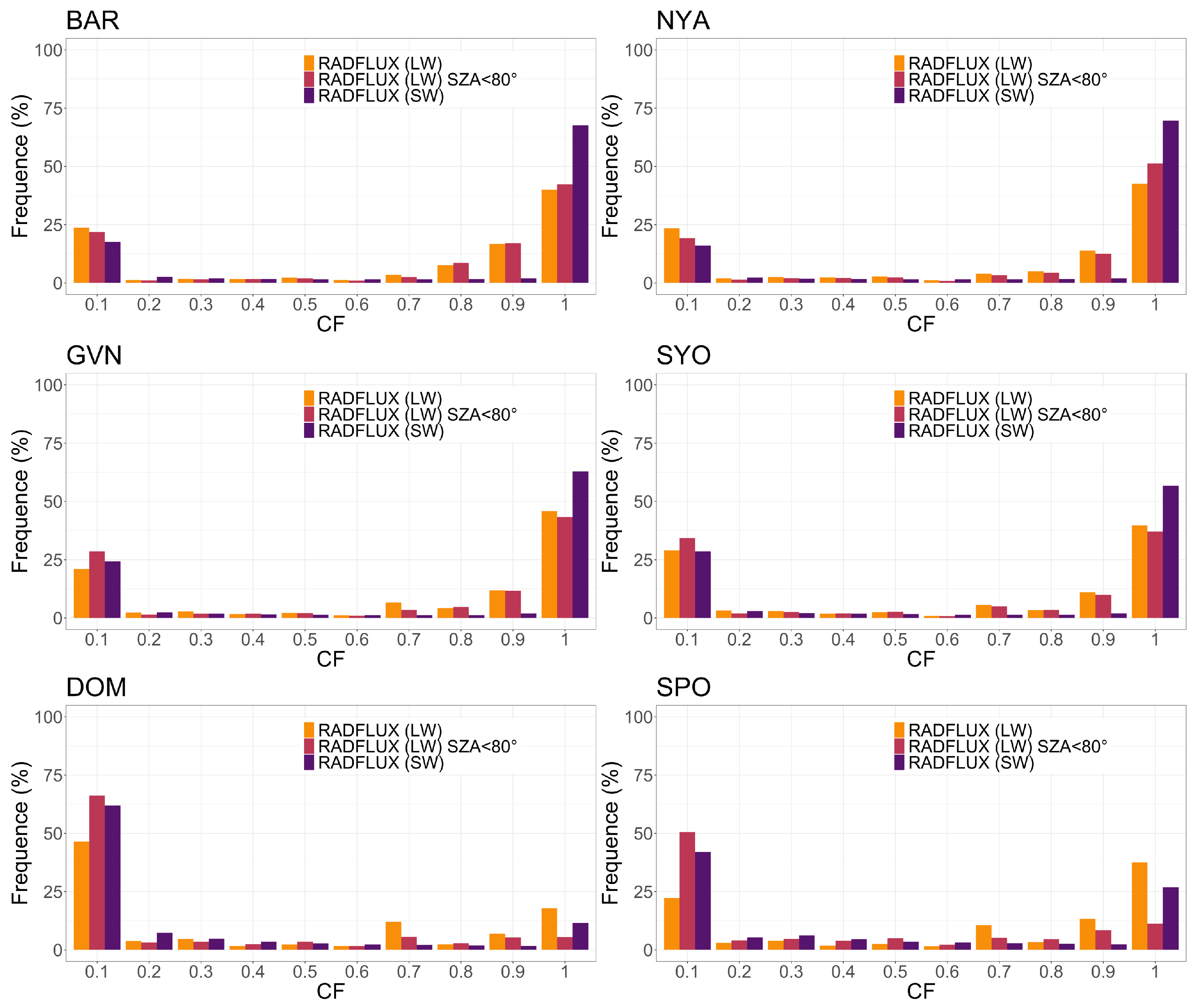
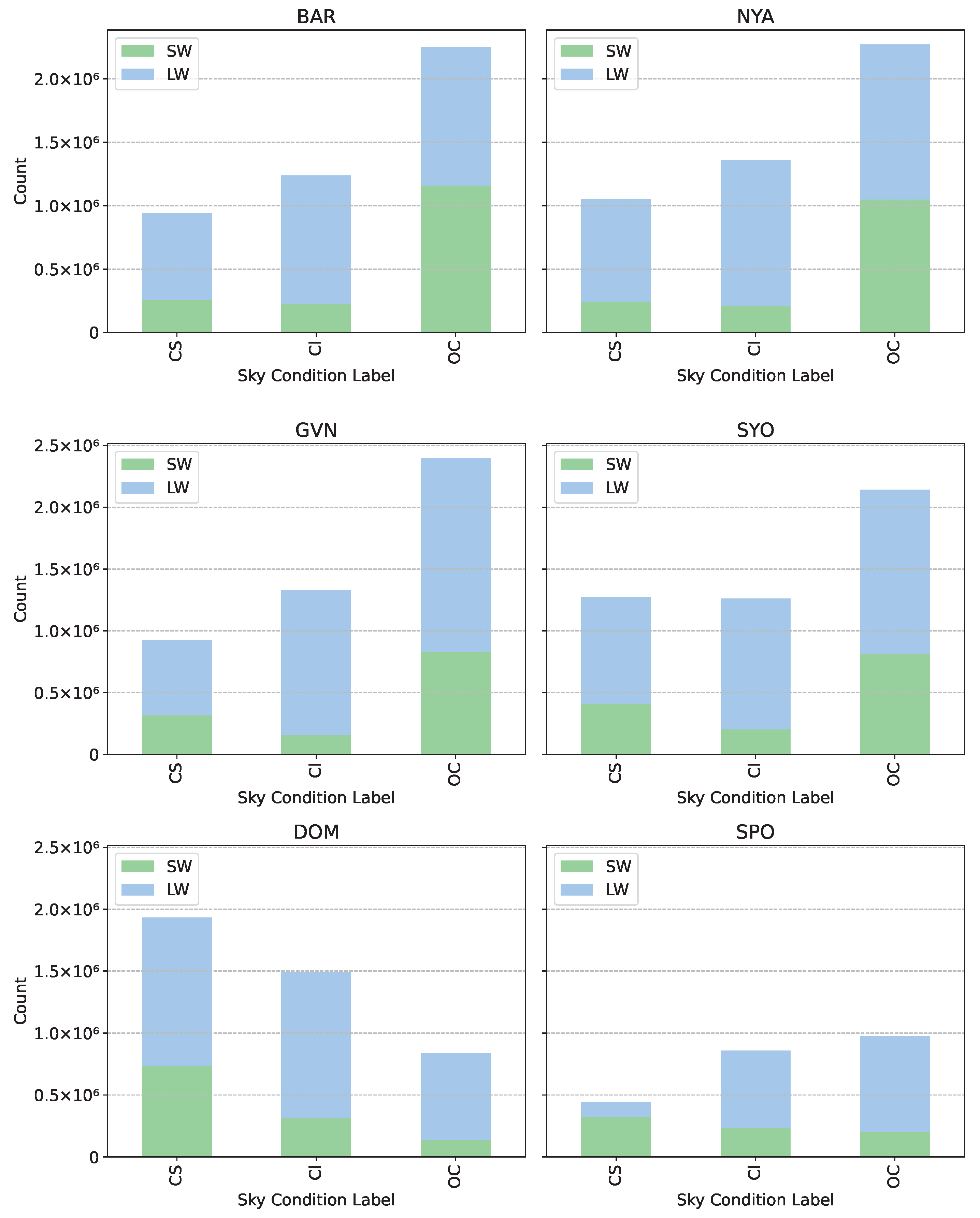
3.1. RADFLUX Cloud Fraction Distribution
3.2. Features Importance
3.3. Leave-One-Year-Out Analysis
3.4. Cross-Station Analysis
4. Discussion
4.1. Sky Condition in Arctic and Antarctic BSRN Stations
4.2. Feature Importance
4.3. Leave-One-Year-Out Analysis
4.4. Cross-Station Analysis
5. Conclusions
Author Contributions
Funding
Institutional Review Board Statement
Informed Consent Statement
Data Availability Statement
Acknowledgments
Conflicts of Interest
Abbreviations
| SW | shortwave |
| LW | longwave |
| Rnet | net broadband radiation/surface radiation budget |
| SWD | downwelling shortwave broadband radiation |
| SWU | upwelling shortwave broadband radiation |
| DIF | diffuse shortwave broadband radiation |
| LWD | downwelling longwave broadband radiation |
| LWU | upwelling longwave broadband radiation |
| SWDcs | estimated clear sky downwelling shortwave broadband radiation |
| LWDcs | estimated clear sky downwelling longwave broadband radiation |
| CF | cloud fraction |
| CF (SW) | cloud fraction as estimated with SW measurements |
| CF (LW) | cloud fraction as estimated with LW measurements |
| CS | clear sky conditions (label) |
| CL | cloudy sky conditions (label) |
| OC | overcast sky conditions (label) |
| BSRN | Baseline Surface Radiation Network |
| DOM | DomeC station |
| SPO | Amundsen-Scott South Pole station |
| GVN | Neumayer III station |
| SYO | Syowa station |
| NYA | Ny Ålesund station |
| BAR | Utqiaġvik (formerly Barrow) station |
References
- Ohmura, A. Observed decadal variations in surface solar radiation and their causes. J. Geophys. Res. Atmos. 2009, 114. [Google Scholar] [CrossRef]
- Lubin, D.; Ghiz, M.L.; Castillo, S.; Scott, R.C.; LeBlanc, S.E.; Silber, I. A Surface Radiation Balance Dataset from Siple Dome in West Antarctica for Atmospheric and Climate Model Evaluation. J. Clim. 2023, 36, 6729–6748. [Google Scholar] [CrossRef]
- Kasten, F.; Czeplak, G. Solar and terrestrial radiation dependent on the amount and type of cloud. Sol. Energy 1980, 24, 177–189. [Google Scholar] [CrossRef]
- Wang, G.; Wang, T.; Xue, H. Validation and comparison of surface shortwave and longwave radiation products over the three poles. Int. J. Appl. Earth Obs. Geoinf. 2021, 104, 102538. [Google Scholar] [CrossRef]
- Schäfer, B.; Carlsen, T.; Hanssen, I.; Gausa, M.; Storelvmo, T. Observations of cold-cloud properties in the Norwegian Arctic using ground-based and spaceborne lidar. Atmos. Chem. Phys. 2022, 22, 9537–9551. [Google Scholar] [CrossRef]
- Tom, L.C. Antarctic clouds. Polar Res. 2010, 29, 150–158. [Google Scholar] [CrossRef]
- Yabuki, M.; Shiobara, M.; Nishinaka, K.; Kuji, M. Development of a cloud detection method from whole-sky color images. Polar Sci. 2014, 8, 315–326. [Google Scholar] [CrossRef]
- Chen, Y.; Sun-Mack, S.; Arduini, R.F.; Hong, G.; Minnis, P. Predicting Clear-Sky Reflectance Over Snow/Ice in Polar Regions. In Proceedings of the International Symposium on Atmospheric Light Scattering and Remote Sensing, Wuhan, China, 1–4 June 2015. Number NF1676L-21013. [Google Scholar]
- Ganeshan, M.; Yang, Y.; Palm, S.P. Impact of clouds and blowing snow on surface and atmospheric boundary layer properties over Dome C, Antarctica. J. Geophys. Res. Atmos. 2022, 127, e2022JD036801. [Google Scholar] [CrossRef]
- Shi, T.; Clothiaux, E.E.; Yu, B.; Braverman, A.J.; Groff, D.N. Detection of daytime arctic clouds using MISR and MODIS data. Remote Sens. Environ. 2007, 107, 172–184. [Google Scholar] [CrossRef]
- Trepte, Q.; Minnis, P.; Arduini, R.F. Daytime and nighttime polar cloud and snow identification using MODIS data. In Proceedings of the Optical Remote Sensing of the Atmosphere and Clouds III; SPIE: Hangzhou, China, 2003; Volume 4891, pp. 449–459. [Google Scholar] [CrossRef]
- Wu, T.; Liu, Q.; Jing, Y. Cloud Screening Method in Complex Background Areas Containing Snow and Ice Based on Landsat 9 Images. Int. J. Environ. Res. Public Health 2022, 19, 13267. [Google Scholar] [CrossRef]
- Kumar, Y.; Kaul, S.; Sood, K. Effective use of the machine learning approaches on different clouds. In Proceedings of the International Conference on Sustainable Computing in Science, Technology and Management (SUSCOM), Amity University Rajasthan, Jaipur, India, 26–28 February 2019. [Google Scholar]
- Sedlar, J.; Riihimaki, L.D.; Lantz, K.; Turner, D.D. Development of a random-forest cloud-regime classification model based on surface radiation and cloud products. J. Appl. Meteorol. Climatol. 2021, 60, 477–491. [Google Scholar] [CrossRef]
- Kazantzidis, A.; Tzoumanikas, P.; Bais, A.; Fotopoulos, S.; Economou, G. Cloud detection and classification with the use of whole-sky ground-based images. Atmos. Res. 2012, 113, 80–88. [Google Scholar] [CrossRef]
- Poulsen, C.; Egede, U.; Robbins, D.; Sandeford, B.; Tazi, K.; Zhu, T. Evaluation and comparison of a machine learning cloud identification algorithm for the SLSTR in polar regions. Remote Sens. Environ. 2020, 248, 111999. [Google Scholar] [CrossRef]
- Zeng, Z.; Wang, Z.; Ding, M.; Zheng, X.; Sun, X.; Zhu, W.; Zhu, K.; An, J.; Zang, L.; Guo, J.; et al. Estimation and long-term trend analysis of surface solar radiation in Antarctica: A case study of zhongshan station. Adv. Atmos. Sci. 2021, 38, 1497–1509. [Google Scholar] [CrossRef]
- Anzalone, A.; Pagliaro, A.; Tutone, A. An Introduction to Machine and Deep Learning Methods for Cloud Masking Applications. Appl. Sci. 2024, 14, 2887. [Google Scholar] [CrossRef]
- Fu, Y.; Mi, X.; Han, Z.; Zhang, W.; Liu, Q.; Gu, X.; Yu, T. A Machine-Learning-Based Study on All-Day Cloud Classification Using Himawari-8 Infrared Data. Remote Sens. 2023, 15, 5630. [Google Scholar] [CrossRef]
- Yang, Y.; Sun, W.; Chi, Y.; Yan, X.; Fan, H.; Yang, X.; Ma, Z.; Wang, Q.; Zhao, C. Machine learning-based retrieval of day and night cloud macrophysical parameters over East Asia using Himawari-8 data. Remote Sens. Environ. 2022, 273, 112971. [Google Scholar] [CrossRef]
- Paul, S.; Huntemann, M. Improved machine-learning-based open-water–sea-ice–cloud discrimination over wintertime Antarctic sea ice using MODIS thermal-infrared imagery. Cryosphere 2021, 15, 1551–1565. [Google Scholar] [CrossRef]
- Sedona, R.; Hoffmann, L.; Spang, R.; Cavallaro, G.; Griessbach, S.; Höpfner, M.; Book, M.; Riedel, M. Exploration of machine learning methods for the classification of infrared limb spectra of polar stratospheric clouds. Atmos. Meas. Tech. 2020, 13, 3661–3682. [Google Scholar] [CrossRef]
- Fiddes, S.L.; Mallet, M.D.; Protat, A.; Woodhouse, M.T.; Alexander, S.P.; Furtado, K. A machine learning approach for evaluating Southern Ocean cloud radiative biases in a global atmosphere model. Geosci. Model Dev. 2024, 17, 2641–2662. [Google Scholar] [CrossRef]
- Kuma, P.; Bender, F.A.M.; Schuddeboom, A.; McDonald, A.J.; Seland, Ø. Machine learning of cloud types in satellite observations and climate models. Atmos. Chem. Phys. 2023, 23, 523–549. [Google Scholar] [CrossRef]
- Van Den Broeke, M.; Reijmer, C.; Van De Wal, R. Surface radiation balance in Antarctica as measured with automatic weather stations. J. Geophys. Res. Atmos. 2004, 109, 2003JD004394. [Google Scholar] [CrossRef]
- Dürr, B.; Philipona, R. Automatic cloud amount detection by surface longwave downward radiation measurements. J. Geophys. Res. Atmos. 2004, 109, 2003JD004182. [Google Scholar] [CrossRef]
- Long, C.N.; Ackerman, T.P.; Gaustad, K.L.; Cole, J.N.S. Estimation of fractional sky cover from broadband shortwave radiometer measurements. J. Geophys. Res. Atmos. 2006, 111, 2005JD006475. [Google Scholar] [CrossRef]
- Riihimaki, L.D.; Gaustad, K.L.; Long, C.N.; PNNL; BNL; ANL; ORNL. Radiative Flux Analysis (RADFLUXANAL) Value-Added Product: Retrieval of Clear-Sky Broadband Radiative Fluxes and Other Derived Values 2019. DOE/SC–ARM–TR–228, p. 1569477. Available online: https://www.arm.gov/publications/tech_reports/doe-sc-arm-tr-228.pdf (accessed on 1 May 2025). [CrossRef]
- Driemel, A.; Augustine, J.; Behrens, K.; Colle, S.; Cox, C.; Cuevas-Agulló, E.; Denn, F.M.; Duprat, T.; Fukuda, M.; Grobe, H.; et al. Baseline Surface Radiation Network (BSRN): Structure and data description (1992–2017). Earth Syst. Sci. Data 2018, 10, 1491–1501. [Google Scholar] [CrossRef]
- McArthur, L.J.B. Baseline Surface Radiation Network (BSRN) Operations Manual; Technical Report, WCRP-121, WMO/TD-No.1274; Baseline Surface Radiation Network: Geneva, Switzerland, 2005. [Google Scholar]
- Long, C.N.; Dutton, E.G. BSRN Global Network recommended QC Tests V 2.0. 2002. Available online: http://hdl.handle.net/10013/epic.38770.d001 (accessed on 1 May 2025).
- Baseline Surface Radiation Network (BSRN). BSRN Station Data Portal. 2024. Available online: https://dataportals.pangaea.de/bsrn/stations (accessed on 14 May 2025).
- Riihimaki, L. BSRN Station No. 22—Barrow, Alaska. Surface Type: Tundra; Topography: Flat, Rural; Station Scientist: Laura Riihimaki (laura.riihimaki@noaa.gov). Available online: http://www.esrl.noaa.gov/gmd/obop/brw/ (accessed on 4 May 2025).
- Maturilli, M. BSRN Station No. 11—Ny-Ålesund, Svalbard. Surface Type: Tundra; Topography: Mountain Valley, Rural; Horizon Data; Alfred Wegener Institute—Research Unit: Potsdam, Germany, 2007; Station Scientist: Marion Maturilli (marion.maturilli@awi.de). Available online: https://doi.pangaea.de/10.1594/PANGAEA.669522 (accessed on 8 January 2025).
- Lupi, A. BSRN Station No. 74—Dome C, Antarctica. Surface Type: Glacier, Accumulation Area; Topography: Flat, Rural; Horizon Data; Institute of Atmospheric Sciences and Climate of the Italian National Research Council: Bologna, Italy, 2022; Station Scientist: Angelo Lupi (a.lupi@isac.cnr.it). Available online: https://doi.pangaea.de/10.1594/PANGAEA.947046 (accessed on 8 January 2025).
- Schmithüsen, H. BSRN Station No. 13—Neumayer, Antarctica (1992–2009-01). Surface Type: Iceshelf; Topography: Flat, rural; Horizon Data; Alfred Wegener Institute, Helmholtz Centre for Polar and Marine Research: Bremerhaven, Germany, 2020; Station scientist: Holger Schmithüsen (Holger.Schmithuesen@awi.de). Available online: https://doi.pangaea.de/10.1594/PANGAEA.669516 (accessed on 8 January 2025).
- Schmithüsen, H. BSRN Station No. 13—Neumayer, Antarctica (after 2009-01). Surface Type: Iceshelf; Topography: Flat, rural; Horizon Data; Alfred Wegener Institute, Helmholtz Centre for Polar and Marine Research: Bremerhaven, Germany, 2020; Station Scientist: Holger Schmithüsen (Holger.Schmithuesen@awi.de). Available online: https://doi.pangaea.de/10.1594/PANGAEA.757811 (accessed on 8 January 2025).
- Tanaka, Y. BSRN Station No. 17—Syowa, Antarctica (Original). Surface Type: Sea Ice; Topography: Hilly, Rural; Horizon Data; National Institute of Polar Research, Tokyo: Tokyo, Japan, 2007; Station Scientist: Yoshinobu Tanaka (antarctic@met.kishou.go.jp). Available online: https://doi.pangaea.de/10.1594/PANGAEA.669525 (accessed on 8 January 2025).
- Tanaka, Y. BSRN Station No. 17—Syowa, Antarctica (update 2017-01). Surface Type: Sea Ice; Topography: Hilly, Rural; Horizon Data; National Institute of Polar Research, Tokyo: Tokyo, Japan, 2007; Station Scientist: Yoshinobu Tanaka (antarctic@met.kishou.go.jp). Available online: https://doi.pangaea.de/10.1594/PANGAEA.948519 (accessed on 8 January 2025).
- Tanaka, Y. BSRN Station No. 17—Syowa, Antarctica (update 2020-03). Surface Type: Sea Ice; Topography: Hilly, Rural; Horizon Data; National Institute of Polar Research, Tokyo: Tokyo, Japan, 2007; Station Scientist: Yoshinobu Tanaka (antarctic@met.kishou.go.jp). Available online: https://doi.pangaea.de/10.1594/PANGAEA.948521 (accessed on 8 January 2025).
- Riihimaki, L. BSRN Station No. 26—South Pole, Antarctica. Surface Type: Glacier, Accumulation Area; Topography: Flat, Rural; Station Scientist: Laura Riihimaki (laura.riihimaki@noaa.gov). Available online: https://gml.noaa.gov/obop/spo/ (accessed on 8 January 2025).
- Schmithüsen, H.; Koppe, R.; Sieger, R.; König-Langlo, G. BSRN Toolbox V2.5—A Tool to Create Quality Checked Output Files from BSRN Datasets and Station-to-Archive Files; Alfred Wegener Institute, Helmholtz Centre for Polar and Marine Research: Bremerhaven, Germany, 2019. [Google Scholar] [CrossRef]
- Long, C.N.; Shi, Y. An Automated Quality Assessment and Control Algorithm for Surface Radiation Measurements. Open Atmos. Sci. J. 2008, 2, 23–37. [Google Scholar] [CrossRef]
- Long, C.N.; Ackerman, T.P. Identification of clear skies from broadband pyranometer measurements and calculation of downwelling shortwave cloud effects. J. Geophys. Res. Atmos. 2000, 105, 15609–15626. [Google Scholar] [CrossRef]
- Long, C.N.; Turner, D.D. A method for continuous estimation of clear-sky downwelling longwave radiative flux developed using ARM surface measurements. J. Geophys. Res. Atmos. 2008, 113, 2008JD009936. [Google Scholar] [CrossRef]
- Brutsaert, W. On a derivable formula for long-wave radiation from clear skies. Water Resour. Res. 1975, 11, 742–744. [Google Scholar] [CrossRef]
- Deacon, E.L. The derivation of Swinbank’s long-wave radiation formula. Q. J. R. Meteorol. Soc. 1970, 96, 313–319. [Google Scholar] [CrossRef]
- King, J. Longwave atmospheric radiation over Antarctica. Antarct. Sci. 1996, 8, 105–109. [Google Scholar] [CrossRef]
- Correa, L.F.; Folini, D.; Chtirkova, B.; Wild, M. A Method for Clear-Sky Identification and Long-Term Trends Assessment Using Daily Surface Solar Radiation Records. Earth Space Sci. 2022, 9, e2021EA002197. [Google Scholar] [CrossRef]
- Duchon, C.E.; O’Malley, M.S. Estimating Cloud Type from Pyranometer Observations. J. Appl. Meteorol. 1999, 38, 132–141. [Google Scholar] [CrossRef]
- Frangipani, C. Analysis of the Radiation Budget and Cloud Conditions over the Antarctic Region Using Ground Observations. Ph.D. Thesis, University G. d’Annunzio, Chieti-Pescara, Italy, 2025. [Google Scholar]
- Witten, I.H.; Frank, E.; Hall, M.A.; Pal, C.J.; Data, M. Practical machine learning tools and techniques. In Data Mining; Elsevier: Amsterdam, The Netherlands, 2005; Volume 2, pp. 403–413. [Google Scholar]
- Roweis, S.; Hinton, G.; Salakhutdinov, R. Neighbourhood component analysis. Adv. Neural Inf. Process. Syst.(NIPS) 2004, 17, 4. [Google Scholar]
- Breiman, L. Random forests. Mach. Learn. 2001, 45, 5–32. [Google Scholar] [CrossRef]
- Chen, T.; Guestrin, C. XGBoost: A Scalable Tree Boosting System. In Proceedings of the 22nd ACM SIGKDD International Conference on Knowledge Discovery and Data Mining, KDD ’16, San Francisco, CA, USA, 13–17 August 2016; ACM: New York, NY, USA, 2016; pp. 785–794. [Google Scholar] [CrossRef]
- Pedregosa, F.; Varoquaux, G.; Gramfort, A.; Michel, V.; Thirion, B.; Grisel, O.; Blondel, M.; Prettenhofer, P.; Weiss, R.; Dubourg, V.; et al. Scikit-learn: Machine Learning in Python. J. Mach. Learn. Res. 2011, 12, 2825–2830. [Google Scholar]
- XGBoost Contributors. XGBoost Python Package. 2024. Available online: https://xgboost.readthedocs.io/en/latest/python/index.html (accessed on 15 April 2025).
- Bergstra, J.; Bengio, Y. Random search for hyper-parameter optimization. J. Mach. Learn. Res. 2012, 13, 281–305. [Google Scholar]
- Kelleher, J.D.; Mac Namee, B.; D’arcy, A. Fundamentals of Machine Learning for Predictive Data Analytics: Algorithms, Worked Examples, and Case Studies; MIT Press: Cambridge, MA, USA, 2020. [Google Scholar]
- Szymszová, S.; Láska, K.; Kim, S.J.; Park, S.J. Variability of solar radiation and cloud cover in the Antarctic Peninsula region. Atmos. Res. 2025, 316, 107940. [Google Scholar] [CrossRef]
- Carter, J.; Leeson, A.; Orr, A.; Kittel, C.; Van Wessem, J.M. Variability in Antarctic surface climatology across regional climate models and reanalysis datasets. Cryosphere 2022, 16, 3815–3841. [Google Scholar] [CrossRef]
- Goosse, H.; Kay, J.E.; Armour, K.C.; Bodas-Salcedo, A.; Chepfer, H.; Docquier, D.; Jonko, A.; Kushner, P.J.; Lecomte, O.; Massonnet, F.; et al. Quantifying climate feedbacks in polar regions. Nat. Commun. 2018, 9, 1919. [Google Scholar] [CrossRef] [PubMed]
- Bente, K. Probabilistic Machine Learning in Polar Earth and Climate Science: A Review of Applications and Opportunities. In AAAI 2022 Fall Symposium: The Role of AI in Responding to Climate Challenges; Westin Arlington Gateway: Arlington, VA, USA, 2022. [Google Scholar]
- Walsh, J.E. A comparison of Arctic and Antarctic climate change, present and future. Antarct. Sci. 2009, 21, 179–188. [Google Scholar] [CrossRef]
- Wang, X.; Zender, C.S. Arctic and Antarctic diurnal and seasonal variations of snow albedo from multiyear Baseline Surface Radiation Network measurements. J. Geophys. Res. Earth Surf. 2011, 116. [Google Scholar] [CrossRef]
- Van den Broeke, M.; Reijmer, C.; Van As, D.; Boot, W. Daily cycle of the surface energy balance in Antarctica and the influence of clouds. Int. J. Climatol. 2006, 26, 1587–1605. [Google Scholar] [CrossRef]












| Station | Location | Label | From | To |
|---|---|---|---|---|
| Barrow [33] | 71.32° N, 156.61° W | BAR | 1 January 2010 | 31 December 2022 |
| Ny-Ålesund [34] | 78.92° N, 11.93° E | NYA | 1 January 2011 | 31 December 2019 |
| Dome C [35] | 75.01° S, 123.33° E | DOM | 1 January 2011 | 31 December 2019 |
| Neumayer [36,37] | 70.68° S, 8.27° W | GVN | 1 January 2011 | 31 December 2019 |
| Syowa [38,39,40] | 69.01° S, 39.58° E | SYO | 1 January 2011 | 31 December 2019 |
| South Pole [41] | 90° S, 0° E | SPO | 1 January 2011 | 30 June 2017 |
| Station | Valid Data | Valid Label | Valid Label (%) |
|---|---|---|---|
| SYO | 4,733,280 | 4,673,872 | 98.74 |
| SPO | 3,417,120 | 2,277,068 | 66.64 |
| DOM | 4,722,106 | 4,260,044 | 90.21 |
| GVN | 4,733,277 | 4,645,894 | 98.15 |
| NYA | 4,733,280 | 4,641,825 | 98.07 |
| BAR | 5,961,600 | 4,565,934 | 76.59 |
| BAR | DOM | GVN | NYA | SYO | SPO | ||
|---|---|---|---|---|---|---|---|
| Balanced Accuracy | KNN | 0.66 | 0.65 | 0.72 | 0.74 | 0.73 | 0.73 |
| Random Forest | 0.69 | 0.66 | 0.74 | 0.76 | 0.77 | 0.74 | |
| XGBoost | 0.69 | 0.66 | 0.75 | 0.78 | 0.78 | 0.76 | |
| Precision | KNN | 0.81 | 0.69 | 0.86 | 0.86 | 0.84 | 0.72 |
| Random Forest | 0.83 | 0.70 | 0.87 | 0.88 | 0.86 | 0.74 | |
| XGBoost | 0.83 | 0.71 | 0.87 | 0.88 | 0.87 | 0.76 | |
| Recall | KNN | 0.79 | 0.69 | 0.86 | 0.86 | 0.84 | 0.72 |
| Random Forest | 0.83 | 0.70 | 0.87 | 0.88 | 0.86 | 0.72 | |
| XGBoost | 0.84 | 0.72 | 0.88 | 0.89 | 0.87 | 0.75 | |
| F1 Score | KNN | 0.80 | 0.69 | 0.86 | 0.86 | 0.84 | 0.72 |
| Random Forest | 0.83 | 0.70 | 0.87 | 0.88 | 0.86 | 0.73 | |
| XGBoost | 0.83 | 0.71 | 0.87 | 0.88 | 0.87 | 0.75 |
Disclaimer/Publisher’s Note: The statements, opinions and data contained in all publications are solely those of the individual author(s) and contributor(s) and not of MDPI and/or the editor(s). MDPI and/or the editor(s) disclaim responsibility for any injury to people or property resulting from any ideas, methods, instructions or products referred to in the content. |
© 2025 by the authors. Licensee MDPI, Basel, Switzerland. This article is an open access article distributed under the terms and conditions of the Creative Commons Attribution (CC BY) license (https://creativecommons.org/licenses/by/4.0/).
Share and Cite
Cavaliere, A.; Frangipani, C.; Baracchi, D.; Busetto, M.; Lupi, A.; Mazzola, M.; Pulimeno, S.; Vitale, V.; Shullani, D. Surface Broadband Radiation Data from a Bipolar Perspective: Assessing Climate Change Through Machine Learning. Climate 2025, 13, 147. https://doi.org/10.3390/cli13070147
Cavaliere A, Frangipani C, Baracchi D, Busetto M, Lupi A, Mazzola M, Pulimeno S, Vitale V, Shullani D. Surface Broadband Radiation Data from a Bipolar Perspective: Assessing Climate Change Through Machine Learning. Climate. 2025; 13(7):147. https://doi.org/10.3390/cli13070147
Chicago/Turabian StyleCavaliere, Alice, Claudia Frangipani, Daniele Baracchi, Maurizio Busetto, Angelo Lupi, Mauro Mazzola, Simone Pulimeno, Vito Vitale, and Dasara Shullani. 2025. "Surface Broadband Radiation Data from a Bipolar Perspective: Assessing Climate Change Through Machine Learning" Climate 13, no. 7: 147. https://doi.org/10.3390/cli13070147
APA StyleCavaliere, A., Frangipani, C., Baracchi, D., Busetto, M., Lupi, A., Mazzola, M., Pulimeno, S., Vitale, V., & Shullani, D. (2025). Surface Broadband Radiation Data from a Bipolar Perspective: Assessing Climate Change Through Machine Learning. Climate, 13(7), 147. https://doi.org/10.3390/cli13070147

