Abstract
Bangladesh, one of the most vulnerable countries to climate change, has been experiencing significant climate change-induced risks. Particularly, the northwest region of the country has been severely affected by climate extremes, including droughts and heat waves. Therefore, proper understanding and assessment of future climate change scenarios is crucial for the adaptive management of water resources. The current study used the statistical downscaling model (SDSM) to downscale and analyze climate change-induced future changes in temperature and precipitation based on multiple global climate models (GCMs), including HadCM3, CanESM2, and CanESM5. A quantitative approach was adopted for both calibration and validation, showing that the SDSM is well-suited for downscaling mean temperature and precipitation. Furthermore, bias correction was applied to enhance the accuracy of the downscaled climate variables. The downscaled projections revealed an upward trend in mean annual temperatures, while precipitation exhibited a declining trend up to the end of the century for all scenarios. The observed data periods for the CanESM5, CanESM2, and HadCM3 GCMs used in SDSM were 1985–2014, 1975–2005, and 1975–2001, respectively. Based on the aforementioned periods, the projections for the next century indicate that under the CanESM5 (SSP5-8.5 scenario), temperature is projected to increase by 0.98 °C, with a 12.4% decrease in precipitation. For CanESM2 (RCP8.5 scenario), temperature is expected to rise by 0.94 °C, and precipitation is projected to decrease by 10.3%. Similarly, under HadCM3 (A2 scenario), temperature is projected to increase by 0.67 °C, with a 7.0% decrease in precipitation. These downscaled pathways provide a strong basis for assessing the potential impacts of future climate change across the northwestern region of Bangladesh.
1. Introduction
According to the Sixth Assessment Report of the Intergovernmental Panel on Climate Change (IPCC), the atmosphere, ocean, cryosphere, and biosphere are changing rapidly and widely due to the effects of human-caused climate change [1]. This results in intensifying weather and climate extremes globally and causes significant negative effects and losses that disproportionately affect vulnerable communities that have made the fewest contributions to the crisis. By 2020, the Earth’s surface temperature had increased by 1.1 °C compared to pre-industrial levels (1850–1900) as a result of human activity, specifically the emission of greenhouse gases from unsustainable energy use, land use, consumption, and production patterns [1]. Ref. [2] assessed that the global temperature will temporarily surpass 1.5 °C, exceeding pre-industrial levels over the course of the next five years (2024–2028). It is estimated globally that the rate of rise in temperature is 0.13 °C/decade [3]. Additionally, global precipitation patterns are shifting, with many places seeing a rise in the intensity of heavy rainfall events that increase the danger of floods, while others—like the Mediterranean and southern Africa—are seeing notable drops that exacerbate drought conditions. These changes are making extreme weather events more frequent and posing long-term problems for agriculture and water management [1]. Numerous human and environmental systems are at serious risk from such large-scale changes, especially those that include land and coastal ecosystems [4,5]. The implications are already being felt in industries like forestry [5] (Seidl et al., 2018), agriculture [6], and biodiversity [7], where the impact of climate change are increasing vulnerability and causing disruptions in ecosystem services.
Using sophisticated mathematical models, notably global climate models (GCMs), which are also known as general circulation models, it is possible to undertake in-depth evaluations of the condition of the climate in the past, in the present, and in the future [8,9]. Significant advances in climate modeling are reflected in the development of GCMs over the development phases of the Coupled Model Intercomparison Project (CMIP) [10]. Although it had a restricted model complexity and low horizontal resolutions, CMIP3 signaled the start of concerted efforts and offered fundamental insights into the effects of climate change [11]. CMIP5 saw improvements in the physics of the models as well as increased resolutions (around 100–200 km). Additionally, scenario frameworks were expanded with representative concentration pathways (RCPs), which enabled better assessments of future climate changes. However, uncertainties remained regarding regional projections and extreme events [12,13]. The CMIP6 models represented significant advancements since they incorporated more complex climatic processes and have resolutions that are even higher (down to 25–50 km) [14]. The use of shared socioeconomic pathways (SSPs) makes it possible to conduct a more detailed investigation of potential future scenarios. These developments highlight the growing complexity and usefulness of GCMs in the context of understanding climate change [15].
Due to their structure, GCMs are able to precisely model the complicated relationships that occur between the atmosphere, water bodies, and land surfaces, offering insights into current and projected climatic processes [16]. The GCMs use broad-scale grid networks to estimate future climates [17]. However, the findings from GCMs are not directly appropriate for analyzing localized environmental and hydrological implications of climate change due to their relatively coarse spatial resolution [18,19]. Local variables impact regional climatic patterns more than global trends. For several nations and economic sectors, the Intergovernmental Panel on Climate Change (IPCC) recommends more detailed research on climate change consequences at regional and local levels [6]. Evaluation of climatic variability and projection of future trends at a national level may help us understand long-term climate patterns and their local causes. In order to eliminate this problem, downscaling methods are often used to improve GCM results so that local effect estimates are more precise [20]. This method refines the broad-scale GCM outputs into finer resolutions, providing more accurate local data and improving the precision of local effect estimates [21].
The development of regional or local climate scenarios typically makes use of two basic downscaling techniques: dynamical and statistical downscaling. Utilizing regional climate models (RCMs) that are driven by coarse-resolution general circulation model (GCM) data in order to provide information at the regional scale is what is known as dynamical downscaling (DD). On the other hand, statistical downscaling (SD) is when quantitative correlations are established between large-scale atmospheric factors (predictors) and local surface variables (predictands) in order to generate localized scenarios [22]. In order to give site-specific insights, both dynamical and statistical downscaling approaches depend on historical observation data. Numerous studies [23,24,25,26,27,28] have used the aforementioned downscaling techniques to explore the impacts of climate change across different parts of the world.
The SD technique, which is well-known for its high-speed performance and cost-effectiveness, has been becoming increasingly popular. Various statistical techniques can refine coarse-resolution data to finer scales, including automated statistical downscaling (ASD) [29], multiple linear regression (MLR) [30], Bayesian models [31], support vector machines (SVM) [32,33], classification and regression trees (CART) [34], non-homogeneous hidden Markov models [35], artificial neural networks (ANN) [31,36], and the statistical downscaling model (SDSM) [37,38,39,40]. Among these, the SDSM technique is very popular for the assessment of climate impacts globally due to its simplicity to handle and robustness in application [41,42].
Bangladesh is widely recognized as one of the most vulnerable countries in the world to climate change [43]. It is also the eighth most densely populated country in the world (around 1350 people per square kilometer) [44]. Every year, a multitude of individuals in this nation encounter climate-related difficulties, which include a range of natural calamities such as floods, droughts, coastal flooding, saltwater infiltration, and cyclones [45]. Rising summer temperatures and heavy rainfalls are examples of recurring climate events that have become more noticeable in recent years in Bangladesh, which is reflecting the global trends [46,47,48]. The country has distinct landscapes, with its northwest region being particularly highly vulnerable to climate risks. The Barind Tract, which is located in the region, is prone to droughts and extreme temperatures and faces significant challenges due to its extreme climatic vulnerability [49]. Issues such as protracted droughts, declining groundwater levels, reduced surface water supply, and increasing soil salinity are critical concerns in the northwest region of Bangladesh [50,51,52]. The region’s agricultural stability and economic well-being are at risk as climate change exacerbates the aforementioned challenges.
The northwest region of Bangladesh is an important economic hub due to its substantial agricultural resources and economic contributions [53]. Known for its pastoral communities and fertile lands, this area significantly contributes to the nation’s economic stability and food security, accounting for approximately 8% of the nation’s GDP annually [54]. Given its heavy dependency on agriculture, the region is particularly vulnerable to climate-related impacts such as extended droughts, groundwater depletion, and floods. Considering its economic importance and vulnerability, climate trends and future projections must be factored into planning for agricultural practices, infrastructure development, and disaster preparedness in northwest Bangladesh. Statistical downscaling approaches have been used in a number of studies to estimate climatic scenarios, utilizing GCMs and RCMs. For example, ref. [55] evaluated projected temperature and precipitation changes using the Hadley Centre Coupled Model version 3 (HadCM3). Similar to this, ref. [56] assessed climatic variability and its possible effects on agriculture in the northwest area using models from the CMIP5. In another study, ref. [57] estimated reference evapotranspiration trends using the Canadian Earth System Model version 2 (CanESM2), which has important ramifications for the region’s management of water resources. Ref. [27] also used sophisticated machine learning techniques, such as support vector machines (SVM) and the statistical downscaling model (SDSM), to downscale GCM outputs from CMIP5. However, to the best of the authors’ knowledge, no past study has yet applied SDSM to project climate change specifically for the northwest region of Bangladesh, taking into account CMIP6 data. Therefore, the objective of the current study is to provide detailed simulations of temperature and precipitation patterns in the northwest region of Bangladesh using SDSM under SRES, RCP, and SSP scenarios from three GCMs, namely, HadCM3, CanESM2, and CanESM5, for three future time periods, including 2025–2050, 2051–2075, and 2076–2100, respectively. This study focuses on future trends in average annual precipitation and temperature, and it also tests how well different global climate models (GCMs) can predict what is expected to occur in the northwest region of Bangladesh. It is expected that the findings of the current study will be useful to understand the potential climate change impact across the northwest region of Bangladesh for the sensible and adaptive management of water resources and natural ecosystems.
2. Study Area and Data Description
2.1. Climatic Features of the Study Area
The northwest region of Bangladesh is considered the study area in the current study that covers Rangpur and Rajshahi divisions. The location of the study area is shown in Figure 1, which is situated between 88°01′ and 89°56′ east longitude and between 24°00′ and 26°38′ north latitude. This region has an area of around 31,119.87 km2 and is divided into sixteen districts. An estimated 37.96 million people live in the area [58]. The region covers the Barind Tract, which is significant for its high agricultural output, contributing approximately 30% of the national GDP from agriculture. Key crops such as rice and mangoes play a central role in this economic contribution [59]. The region relies heavily on the Ganges River and its tributaries, with over 50% of the agricultural land in the northwest dependent on irrigation from these water sources [56]. Furthermore, agriculture is the primary livelihood for approximately 45% of the population in this region [48]. The climate of the northwest is characterized as tropical, with distinct seasons: a cool and dry winter (December–February), a hot and dry pre-monsoon summer (March–May), a wet monsoon season (June–September), and a post-monsoon autumn (October–November) [60,61].
Figure 1.
Location map of the study area (the north-west region of Bangladesh) with all meteorological stations.
The Ganges (Padma), Jamuna, and Teesta are three of the main rivers that form the river morphology of the northwest region of Bangladesh. These rivers have a substantial impact on the hydrology and geography of the area. Although these rivers are essential for transportation, agriculture, and fishing, they also present difficulties because of frequent flooding and erosion of the riverbanks, especially during the monsoon season. These rivers are dynamic, which leads to the creation of char lands—often used for seasonal agriculture—and the altering of river channels [62].
This region’s economy is based mostly on agriculture, and Bangladesh’s most productive agricultural districts are found here thanks to the rich alluvial plains. Rice, wheat, jute, sugarcane, and a variety of fruits and vegetables are the main crops. Year-round farming has been made possible by the availability of water from rivers and the installation of irrigation systems, but the area still suffers difficulties with soil erosion, drought, and waterlogging. Millions of people rely on the effective management of these environmental conditions for their livelihoods since agricultural practices are closely linked to seasonal climatic patterns [63].
The Bangladesh Meteorological Department (BMD) collected meteorological data, such as mean temperature (Tmean) and precipitation, from six weather stations located in the northwest area of Bangladesh during a 39-year period (1975–2014). The climatic conditions of the study region are summarized in Table 1. However, 3.2% of the data was found to be missing; this is calculated using Python’s (Version 3.9) linear regression approach. It is important to note, based on [64], that the range of maximum missing data might be considered as 5%.
Table 1.
Geographic and meteorological characteristics of six weather stations based on observed data (1975–2014).
The geographical features and summary statistics of the study area’s climatic variables—specifically, mean temperature (Tmean), and precipitation—are shown in Figure 2. The plot displays the monthly average variations in temperature and precipitation based on data from 1975 to 2014. As can be seen from Figure 2a, the average temperature is about 25.3 °C across the study area. Bogra station is the warmest place with an average temperature of 25.9 °C, while Rajshahi is the coolest at 24.9 °C. Additionally, January has the lowest mean temperature at 17.0 °C, and August has the highest at 29.4 °C. Figure 2b shows the monthly precipitation distribution across all climate stations, with a significant peak of 398 mm in July and a low of 6 mm in January, representing 20.2% and 0.3% of the total precipitation (1977 mm), respectively. However, the highest precipitation occurs in Rangpur (2709 mm), while Ishwardi receives the lowest (1755 mm).
Figure 2.
Mean monthly (a) temperature and (b) precipitation at weather stations for the baseline period (1975–2014) in the northwest region of Bangladesh.
2.2. General Circulation Models
Future climate scenarios in this study were developed using observed data and outputs from general circulation models (GCMs). The GCM outputs with reanalysis data of the National Centers for Environmental Prediction (NCEP) were collected from the Canadian climate scenarios website (https://climate-scenarios.canada.ca/?page=CanDCS6-data, accessed on 25 August 2024). Each model provided unique insights, enabling the capture of both historical climate patterns and future projections of key climatic variables. For instance, the HadCM3 model offers historical climate data from 1961 to 2001, with future projections available from 2002 to 2099. The CanESM2 model includes historical data from 1961 to 2005, with future projections extending from 2006 to 2100. The CanESM5 model provides historical data from 1979 to 2014, with future projections running from 2015 to 2100. The details of the three GCMs are summarized in Table 2.
Table 2.
Temporal extent used in this study for the historical period, including model scenarios, spatial resolution, references, CMIP phases.
3. Methodology
In the current study, three GCMs, including HadCM3, CanESM2, and CanESM5, were considered for climate projections. The selection of these models was based on several factors, including their historical simulation periods, spatial resolution, and ability to represent regional climate trends, as well as their performance in previous studies. HadCM3, an earlier-generation model, was chosen to provide historical context for climate projections. Its longer availability and established role in the climate modeling community allowed for comparisons with more recent models. However, due to its older nature, HadCM3 has been noted to have certain limitations in accurately representing regional climate variables such as temperature and precipitation, particularly in the context of modern climate dynamics. In contrast, CanESM2, a more advanced model, was selected for its improved representation of key climate variables. With higher spatial resolution and more sophisticated physical processes, CanESM2 provides more accurate simulations, especially of temperature and precipitation patterns, compared to HadCM3. Its capability to simulate a broader range of climate scenarios further led to its inclusion in this study. Finally, CanESM5, the latest model in the series, was included to take advantage of its further enhancements in spatial resolution and physical process modeling. It was expected that CanESM5 would provide a more robust simulation of future climate dynamics, which is critical for improving the accuracy and reliability of future climate projections. The differences between these models, particularly in their spatial resolution and representation of physical processes, were expected to influence the accuracy of climate projections. By incorporating the aforementioned GCMs, a broad spectrum of potential climate outcomes was captured, and the range of uncertainty in future climate predictions was assessed.
The current study follows several key stages. First, climate data, including mean daily temperature and precipitation from 1975 to 2014, were collected from the Bangladesh Meteorological Department (BMD). Moreover, data from three GCMs—HadCM3, CanESM2, and CanESM5—were downloaded, each representing different scenario families such as SRES, RCPs, and SSPs, respectively.
Next, the statistical downscaling model (SDSM v4.2.9) was used to refine the GCM data to a localized scale. In order to ensure reliable predictions, correlation coefficients, partial r-values, and p-values were calculated by developing a correlation matrix between the local predictands (mean temperature and precipitation) and the NCEP predictors. After selecting the most suitable predictor(s), the model was used in the calibration phase.
Following a satisfactory calibration phase, the model proceeded to the validation phase, which included bias correction. Following validation, projections of mean temperature and precipitation were evaluated for the periods 2002 to 2099 for HadCM3, 2006 to 2100 for CanESM2, and 2015 to 2100 for CanESM5, based on their respective climate scenarios. Finally, projections of mean annual rainfall and temperature (Tmean) up to 2100 were analyzed. The complete methodological framework adopted in the current study is illustrated in Figure 3.
Figure 3.
The methodological flow diagram of the study from data collection to climate projection analysis.
3.1. Description of Statistical Downscaling Model (SDSM)
The statistical downscaling model (SDSM) is a hybrid regression-based approach that integrates stochastic weather generation with multiple linear regression to evaluate future climate scenarios [65]. It offers three primary models: the annual, the seasonal, and the monthly sub-model. The annual model is designed for annual climate data and focuses on predicting long-term trends. The seasonal model is used for data that varies seasonally, capturing seasonal patterns and fluctuations. The monthly sub-model, which was employed in this study, is specifically designed for analyzing finer temporal scale data, such as monthly or daily climate variables. Among these, the monthly sub-model is considered the most suitable for the downscaling of daily climate data as it offers higher accuracy in capturing short-term variability and finer patterns compared to the other two models [66].
The model consists of four primary components: selecting predictors, calibrating the model, generating weather data, and producing future climate variable series [66]. It establishes relationships between large-scale predictors and local-scale predictands, using a linear approach to simulate weather patterns and align observed data with simulated climate outputs through optimized model parameters [67,68,69,70,71]. Different GCMs operate on varying calendars, which were preserved during downscaling. HadCM3 follows a 360-day calendar, while CanESM2 and CanESM5 use a 365-day calendar [72,73].
3.2. Screening of NCEP Predictor List
Uploading local climate variables, comparing absolute correlations with 26 NCEP/NCAR predictors, selecting a super predictor (SP) based on the smallest p-value and highest partial correlation, and repeatedly screening other predictors by determining their statistical significance using p-values, correlation coefficients, and partial correlations to guarantee robustness are all steps considered in the SDSM predictor selection process. The step-by-step full procedure is outlined below:
Step 1: Local climate variables, such as Tmean and precipitation, were correlated with 26 NCEP/NCAR climate variables by constructing a correlation matrix. The top 12 variables with the highest absolute correlation coefficients were identified for further analysis (SDSM allows a maximum of 12 predictors in its screening process). The variable showing the highest correlation was referred to as the super predictor (SP). The SP is defined as the variable with the strongest statistical relationship (i.e., the highest absolute correlation or partial correlation) with the target variable, demonstrating the most reliable predictive power.
Step 2: A correlation matrix was created between the SP and the remaining predictors. Absolute partial correlation coefficients (p.r) and p-values were calculated. Predictors with p-values < 0.05 and the highest partial correlation (p.r) were prioritized for primary selection. This ensures that selected predictors are both statistically significant and strongly related to the predictands.
Step 3: In order to address multicollinearity, the remaining predictors (after the primary selection process) were re-correlated with respect to the SP. The p-values, absolute correlation coefficients, and partial correlation coefficients were evaluated. Predictors with p-values greater than 0.05 and individual correlation coefficients less than 0.5 were removed to reduce multicollinearity, as predictors that are weakly correlated with the SP are less likely to contribute meaningfully to the model.
Step 4: Further, the percentage difference in partial correlation (Pd%) was calculated using the absolute partial correlation coefficient (p.r) and the absolute correlation (R1) between predictors and predictands [68,74,75] by using Equation (1). Predictors with Pd% values exceeding 60% were removed to maintain prediction consistency [76].
Generally, one to three predictors without multicollinearity are sufficient to model climatic variability [77].
3.3. Analysis of Model Performance
In order to evaluate the successful execution of the model calibration, the correlation of determination (R2), the Kling–Gupta efficiency (KGE), and the Nash–Sutcliffe model efficiency coefficient (NSE) were used as they provide a comprehensive assessment of the model’s predictive accuracy, bias, and ability to capture variability. The aforementioned metrics expressed by Equations (2)–(4) are given in the following:
where x is the observed value, y is the modeled or simulated value, r is the pearson correlation, σ is the standard deviation, and and are the mean observed and simulated values, respectively.
However, about 30 years of observed data were chosen for each model as this duration is widely accepted as sufficient for long-term future climate predictions, ensuring that robust and reliable projections are made. In each case, approximately 70% of the observed data was used for calibration, and the remaining 30% was reserved for validation [74]. The calibration period was performed from 1975 to 1995 for HadCM3 and CanESM2 and from 1985 to 2005 for CanESM5. These metrics provide a comprehensive assessment of model accuracy, with values approaching 1 indicating optimal performance. Specifically, higher R2 values signify stronger correlations between observed and simulated data. KGE measures how well the model handles bias, variability, and correlation, while NSE values close to 1 indicate greater predictive accuracy and reliability.
After the model demonstrated satisfactory calibration performance, it was subsequently used for validation checks. The validation performance was assessed separately for each period (1996–2001 for HadCM3, 1996–2005 for CanESM2, and 2006–2014 for CanESM5) using statistical metrics, including RMSE, MAE, and MBE. These metrics were computed to compare observed and simulated values, providing a quantitative evaluation of prediction accuracy. The formulas used for the aforementioned error statistics are given by the following Equations (5)–(7) as follows:
where x and y represent the observed and simulated values, respectively, and is the total number of data points. Lower RMSE and MAE values indicate better model performance, while MBE assesses systematic bias. These statistical evaluations ensure a robust assessment of the model’s predictive accuracy across the validation periods. To improve prediction accuracy, bias correction was applied using Equations (8) and (9), following the approach detailed in ref. [74]. The correction process adjusted systematic errors in temperature and precipitation projections by aligning the model outputs with observed long-term means. The effectiveness of bias correction was evaluated by recalculating RMSE, MAE, and MBE after applying the correction. This step ensured that potential biases were minimized before further analysis in the results section.
where To and Po are the corrected temperature and precipitation, respectively; ds, d, and ob are the daily downscaling future data, long-term mean monthly data by SDSM, and long-term mean monthly observed data, respectively.
3.4. Assessment of Future Scenarios
After passing demanding calibration and validation processes, the downscaling model was used to downscale climatic variables for the study region and predict future climate changes. A thorough analysis of potential long-term changes in climatic variables is made possible by these scenarios. Three separate future time periods were included in the analysis—2025–2050, 2051–2075, and 2076–2100—in order to fully evaluate projected climatic changes and trends. These time frames were chosen to provide a thorough understanding of both short- and long-term climatic changes. Furthermore, the mean annual predicted data for various scenarios were evaluated and compared to each other to enhance accuracy.
4. Results
4.1. Selecting Key Predictors
The predictor selection process is summarized in Table 3, which shows the top 11 predictors for Tmean at the Rangpur station for CanESM5, ranked by correlation values, partial correlation (pr), and p-values to ensure prediction accuracy. Temperature at 2 m (temp) was considered a super predictor (SP) for this station because it showed the highest correlation with the predictand (Tmean) compared to other predictors. Its significant influence on local climate conditions, particularly temperature variability, stems from its direct representation of surface air temperature. This is highly sensitive to the region’s climatic patterns, including seasonal variations, local weather systems, and interactions between the atmosphere and land surface.
Table 3.
Most suitable predictor list for Tmean at Rangpur station (CanESM5).
In regions like Rangpur, the near-surface temperature plays a key role in driving and influencing the local atmospheric conditions, including rainfall patterns and other climate variables, making it a highly relevant predictor. Additionally, the high correlation of “temp” with the target variable (e.g., Tmean) in this specific location suggests that temperature at 2 m is a dominant factor influencing the area’s climate as it is better able to capture the variability in temperature trends than other predictors. This makes “temp” a more reliable and significant predictor for that station compared to other variables. It is important to note that the process described above was specifically applied to the Rangpur station for Tmean using CanESM5. However, the same procedure and strategy were followed for each station to select the top predictors for both Tmean and precipitation, considering correlation values, partial correlation (pr), and p-values. Since each GCM has unique characteristics and their output values differ, predictor values were calculated separately for each GCM to ensure prediction accuracy. Hence, the 26 predictors from each GCM for each station were selected and evaluated using the same procedure to create the most suitable predictors list for all three models.
The numbers in Table 4 show the position of each NCEP predictor, as generated by the SDSM tool for the study area. For HadCM3, both temperature at 2 m (temp) and 1000 hPa specific humidity (shum) were chosen as predictors for Tmean, while only temperature at 2 m (temp) was used for CanESM2 and CanESM5. For precipitation predictions, temp, shum, and total precipitation (prcp) were selected for HadCM3, while “temp” and “shum” were used for CanESM2, and only “temp” for CanESM5. These predictors are important for the study area because they directly affect the local climate.
Table 4.
Selected NCEP predictors for the study area, with the numbers indicating the position of each predictor.
In the northwest region of Bangladesh, temperature at 2 m (temp) is the main factor driving seasonal and regional changes, so it is a key predictor for both temperature and precipitation. The 1000 hPa specific humidity (shum) and precipitation (prcp) also play important roles but are gradually excluded in the models due to their weaker relationship with the observed climate patterns, especially with different GCMs. Additionally, “shum” affects moisture levels and temperature, while “prcp” reflects how moisture moves in the atmosphere. However, as the GCMs simulate moisture processes at different scales, “prcp” becomes less important for future projections, especially for CanESM5. As a result, the selected predictors are crucial for capturing the main climate drivers in the region.
4.2. Model Calibration
The calibration results used to evaluate the SDSM model’s performance are presented in Table 5. For the HadCM3 model, the calibration for Tmean was strong, with R2 = 0.923, KGE = 0.931, and NSE = 0.901, indicating near-perfect accuracy. The performance for precipitation was slightly lower but still high, with R2 = 0.917, KGE = 0.935, and NSE = 0.893. The CanESM2 model demonstrated excellent performance for both Tmean, with R2 = 0.939, KGE = 0.945, and NSE = 0.919, and precipitation, with R2 = 0.958, KGE = 0.966, and NSE = 0.936. However, the CanESM5 model outperformed both models, showing superior results for Tmean (R2 = 0.961, KGE = 0.978, and NSE = 0.921) and precipitation (R2 = 0.967, KGE = 0.977, and NSE = 0.976). Overall, the CanESM5 model demonstrated the highest predictive capability for both Tmean and precipitation, surpassing the HadCM3 and CanESM2 models.
Table 5.
Statistical performance of SDSM during calibration.
4.3. Model Validation Before and After Bias Correction
After the model’s calibration performance was satisfied, the validation phase was conducted, both before and after bias correction. The validation results for Tmean are presented in Table 6, while the precipitation results are shown in Table 7. As can be seen from Table 6, significant improvements in the validation results after bias correction for Tmean were observed across all models. For the HadCM3 model, RMSE was reduced from 0.986 to 0.758, MAE decreased from 0.783 to 0.608, and MBE shifted from 0.130 to −0.068, indicating a notable enhancement in accuracy. Similarly, slight improvements were observed for the CanESM2 model, with RMSE decreasing from 0.946 to 0.942, MAE from 0.759 to 0.753, and MBE showing a minimal shift from 0.060 to −0.002. The CanESM5 model also benefited from bias correction, with RMSE improved from 0.927 to 0.922, MAE reduced from 0.745 to 0.743, and MBE changed from 0.037 to 0.001, highlighting enhanced predictive performance.
Table 6.
Statistical performance check for Tmean (°C) during validation (monthly).
Table 7.
Statistical performance check for precipitation (mm) during validation (monthly).
For precipitation results shown in Table 7, for the HadCM3 model, RMSE was reduced from 87.804 to 87.735, MAE decreased from 58.319 to 58.153, and MBE shifted from 30.653 to 0.014, indicating a strong enhancement in accuracy. The CanESM2 model showed modest improvements, with RMSE decreasing from 87.274 to 80.812, MAE from 56.056 to 50.852, and a slight change in MBE from 23.735 to −0.099. For the CanESM5 model, RMSE dropped from 86.708 to 85.976, MAE from 54.382 to 52.870, and MBE adjusted from 51.305 to 0.003. Among all models, the CanESM5 model demonstrated the most consistent and accurate performance following bias correction.
4.4. Mean Annual Change and Magnitude of Time-Series Trend of Tmean and Precipitation for Future Climates
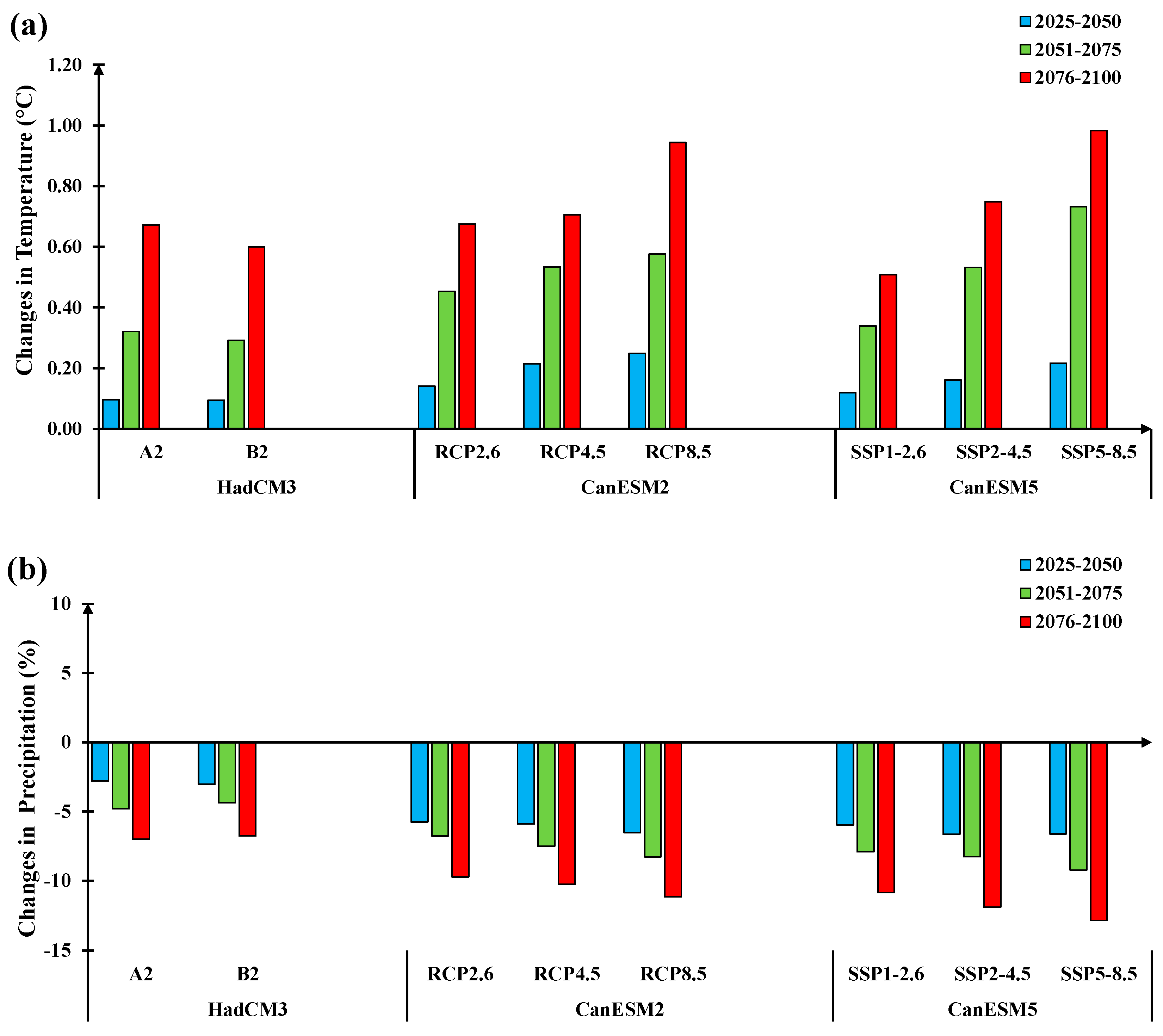
Figure 4a illustrated a steady increase in mean temperature, while Figure 4b showed a notable decrease in precipitation across all future periods of 2025–2050, 2051–2075, and 2076–2100 under their respective scenarios. These trends were projected relative to the baseline periods of 1975–2001 for HadCM3, 1975–2005 for CanESM2, and 1985–2014 for CanESM5.
Figure 4.
Prediction of future (a) Tmean and (b) precipitation for three distinct time period under various global warming scenarios.
For the HadCM3 model, the A2 scenario showed a gradual temperature increase, starting with a 0.10 °C rise in the early 21st century (2025–2050), growing to 0.32 °C by the mid-century (2051–2075), and reaching 0.67 °C by the late 21st century (2076–2100) compared to the baseline period. Under the B2 scenario, the temperature increase was slightly lower, with a projected rise of 0.60 °C by the late 21st century. For the CanESM2 model, the RCP2.6 scenario predicted the lowest temperature increase, starting with a rise of 0.14 °C during 2025–2050, peaking at 0.45 °C in 2051–2075, and then continuing to rise to 0.67 °C by the late 21st century. Similarly, in the RCP4.5 and RCP8.5 scenarios, the mean temperature was expected to rise by 0.71 °C and 0.94 °C, respectively, by the end of the century. However, for the CanESM5 model, the SSP1-2.6, SSP2-4.5, and SSP5-8.5 scenarios evaluated the temperature increase as 0.51 °C, 0.75 °C, and 0.98 °C, respectively, by the end of the 21st century (Figure 4a).
In Figure 4b, for the near future period (2025–2050), HadCM3 showed a slight decrease in precipitation, with reductions of 2.8% under the A2 scenario and 3.0% under the B2 scenario. In comparison, CanESM2 predicted more pronounced declines, with reductions of 5.7% under the RCP2.6 scenario, 5.9% under the RCP4.5 scenario, and 6.5% under the RCP8.5 scenario. Meanwhile, CanESM5 projected reductions of 5.9%, 6.3%, and 6.6% under the SSP1-2.6, SSP2-4.5, and SSP5-8.5 scenarios, respectively.
As the century progressed into the period 2051–2075, the downward trend in precipitation continued. HadCM3 projected further reductions of 4.8% under the A2 scenario and 4.4% under the B2 scenario. CanESM2 anticipated larger reductions, with declines of 6.8% under the RCP2.6 scenario, 7.5% under the RCP4.5 scenario, and 8.3% under the RCP8.5 scenario. Meanwhile, CanESM5 forecasted even more substantial reductions, ranging from 7.9% under the SSP1-2.6 scenario, 8.3% under the SSP2-4.5 scenario, to 9.3% under the SSP5-8.5 scenario.
By the period 2076–2100, the decline in precipitation became more pronounced. HadCM3 projected reductions of up to 7.0% under the A2 scenario and 6.8% under the B2 scenario. CanESM2 predicted the most significant decline, particularly 9.8% under the RCP2.6 scenario, 10.3% under the RCP4.5 scenario, and 11.1% under the RCP8.5 scenario. Meanwhile, CanESM5 also showed notable reductions, with precipitation dropping by up to 10.9% under the SSP1-2.6 scenario, 11.9% under the SSP2-4.5 scenario, and 12.8% under the SSP5-8.5 scenario.
It is important to note that the projected temperature increases for the CanESM2 model are slightly higher than those for the HadCM3 model, while the CanESM5 model predicts even higher temperature increases compared to both HadCM3 and CanESM2. This trend suggests that the more recent models, particularly CanESM5, tend to forecast stronger warming in comparison to their predecessors.
Therefore, it can be concluded that the model upgrade to CanESM5 provides more robust and potentially accurate climate projections, making it a valuable tool for assessing future climate change impacts. These findings are supported by the model’s demonstrated performance in reproducing historical climate patterns, which enhances confidence in its ability to predict future scenarios. By grounding the analysis in historical validation, the results from CanESM5 can be considered more reliable for projecting future climate scenarios. This highlights the importance of using updated models, validated against historical data, for robust and credible climate research.
Figure 5a–c shows the time series of mean temperature changes, while Figure 5d–f present the percentage changes in mean precipitation, comparing observed values with future projections under different climate scenarios. In HadCM3 (Figure 5a), historical data from 1975 to 2001 were compared with future projections for the A2 (high emissions) and B2 (lower emissions) scenarios spanning the period from 2002 to 2099. Based on observed data, both scenarios showed a moderate rising trend, with the A2 scenario showing a somewhat sharper rise than the B2 scenario.

Figure 5.
Comparison of mean annual Tmean changes—(a) HadCM3, (b) CanESM2, (c) CanESM5—and percentage of precipitation changes—(d) HadCM3, (e) CanESM2, (f) CanESM5—under their representative climatic scenarios relative to the baseline periods.
In CanESM2 (Figure 5b), observed data were compared with future projections under three scenarios: RCP2.6 (low emissions), RCP4.5 (moderate emissions), and RCP8.5 (high emissions). RCP8.5 showed the highest temperature increase, especially after 2050, while RCP2.6 had the least warming. Similarly, in CanESM5 (Figure 5c), observed data were compared with projections under SSP1-2.6 (low emissions), SSP2-4.5 (moderate emissions), and SSP5-8.5 (high emissions). SSP5-8.5 showed the greatest temperature rise, particularly after the mid-21st century, while SSP1-2.6 had the lowest increase.
While the temperature was projected to rise, precipitation consistently declined over time. In HadCM3 (Figure 5d), the A2 scenario exhibited a sharper precipitation decline compared to the B2 scenario. Similarly, in CanESM2 (Figure 5e), the RCP8.5 scenario showed a more pronounced decline in precipitation than RCP4.5, with RCP2.6 showing the least reduction. In CanESM5 (Figure 5f), the SSP5-8.5 scenario had the steepest decline, followed by SSP2-4.5, while SSP1-2.6 showed the smallest decrease. This inverse relationship highlights that those higher emissions scenarios not only caused significant temperature increases but also led to more substantial precipitation decreases.
5. Discussion
Bangladesh’s climate is characterized by significant variations in temperature and rainfall patterns across different regions and time periods [78]. This study conducted climate change predictions to assess the potential impacts of future climate variability on key sectors such as agriculture, water resources, and infrastructure in the northwest of Bangladesh. By utilizing the three significant and widely used general circulation models (GCMs), namely, HadCM3, CanESM2, and CanESM5, this research aimed to project future temperature and precipitation changes under various emission scenarios, including SRES, RCP, and SSP. These predictions are essential for understanding the region’s vulnerability to climate change and for developing effective adaptation strategies to mitigate potential risks. The key process for selecting the most suitable predictors involves evaluating a correlation matrix, calculating partial correlations, and determining p-values between the NCEP predictors and observed climatic variables, such as mean temperature (Tmean) and precipitation. In order to avoid multicollinearity, the percentage difference in partial correlation (Pd%) was calculated. This approach helps identify the predictors that are most strongly related to the target climate variables, ensuring that the selected predictors provide accurate and reliable input for climate model projections. Although the predictors selected in this study align with those identified by ref. [79] for the same region in Bangladesh, this study brings a new perspective by reassessing these predictors in light of recent climate models and scenarios. This ensures a more accurate and up-to-date evaluation of the region’s climate projections. However, the relationship between the predictors and predictands was strong for mean temperature but weak for precipitation, which is consistent with the findings from several earlier studies [67,74,75].
During calibration, the statistical metrics for mean temperature (Tmean) were in the range of 0.923 < R2 < 0.961, 0.931 < KGE < 0.978, and 0.901 < NSE < 0.921, and for precipitation, the metrics were in the range of 0.917 < R2 < 0.967, 0.935 < KGE < 0.977, and 0.893 < NSE < 0.976. The lowest metric values within these ranges were observed for HadCM3, while the highest values were observed for CanESM5. While the results from HadCM3 are acceptable, the results from CanESM5 highlight its exceptional performance in accurately capturing the variability of both mean temperature (Tmean) and precipitation among the three GCMs. The upgraded model demonstrated notable improvements, particularly in the predictions made by CanESM5, which showed the highest accuracy across all models. These results are supported by the findings of previous studies [80,81].
Most studies assessing climate change predictions using SDSM evaluate the model’s performance both before and after bias correction during validation. In this study, the model’s performance was evaluated using three statistical metrics, including RMSE, MAE, and MBE, which were used to assess the accuracy and reliability of the predictions. It was found that the performance improved after bias correction, highlighting the importance of applying bias adjustment techniques to enhance the accuracy of climate predictions. Several past studies [70,71,82,83,84] have reported similar findings, which are consistent with the obtained results in the current study.
This study utilized three different climate models (GCMs), including CanESM5 (CMIP6), CanESM2 (CMIP5), and HadCM3 (CMIP3), respectively, to project future temperature trends under various scenarios. CanESM5 was used with SSP scenarios (SSP1-2.6, SSP2-4.5, and SSP5-8.5), which reflect different socioeconomic developments and emissions pathways. This model, being the latest in the CMIP6 suite, provides an updated and more refined projection compared to the older models. It is also worth mentioning that CanESM5 has not been widely applied with SDSM in Bangladesh yet, making this study a first attempt to assess future climate scenarios using this model. Meanwhile, the RCP scenarios (RCP2.6, RCP4.5, and RCP8.5) based on CanESM2, as well as the SRES scenarios (A2 and B2) using HadCM3, were also employed as these models have been used in previous SDSM studies in Bangladesh. By incorporating these models and scenarios, this study aims to provide a comprehensive analysis of future temperature projections for the northwest region of Bangladesh. The recurring pattern across SSP, RCP, and SRES scenarios highlights a consistent rise in temperatures, particularly in the later decades of the 21st century.
Although limited research has focused on the northwestern region of Bangladesh for climate change, its tropical geographical location and distinct climatic conditions set it apart from other parts of the country, contributing to variations in precipitation and temperature patterns in this area. Refs. [85,86] reported an overall increasing trend in average monthly temperatures across Bangladesh. According to ref. [87], between 1901 and 2022, Bangladesh experienced a 2 °C rise in average annual daily mean surface temperature, increasing from 24.64 °C to 26.60 °C. The minimum and maximum temperatures also rose by 1.63 °C and 2.33 °C, respectively. During this period, annual precipitation decreased from 2369.5 mm to 1662.3 mm, indicating a shift toward drier conditions. Another study [88] found a shift in drought patterns from the northern to the central and southern regions of Bangladesh between 1981 and 2020. Moreover, ref. [89] identified significant spatial and temporal variations in temperature and precipitation across Bangladesh from 1951 to 2020, with the most notable changes occurring in the northwest region of the country. The current study indicates that the average temperature (Tmean) is projected to rise, while precipitation is expected to decline. Specifically, under the SSP5-8.5 scenario, the annual Tmean could increase by up to 0.98 °C, and precipitation could decrease by up to 12.8% throughout the 21st century relative to the observed data from 1985–2014.
According to ref. [90], the temperatures may rise by up to 0.75 °C for the near future period (2015–2044) in Bangladesh. Ref. [86] predicted that the mean annual maximum temperature (Tmax) in Bangladesh will increase by 1.79 °C in the near future and 2.30 °C in the far future under SSP2-4.5 scenarios. The mean annual minimum temperature (Tmin) is expected to rise by 3.07 °C in the near future and 2.95 °C in the far future under SSP2-4.5. Notably, the northwest region of Bangladesh, along with other northern and central areas, will experience greater increases in extreme temperatures compared to the baseline period. Ref. [91] examined rainfall variability and trends in drought-prone northwest Bangladesh from 1959 to 2018. The analysis revealed a decrease in overall rainfall variability, an increase in pre-monsoon rainfall, and a decrease in monsoon rainfall. Based on the above discussion, it can be concluded that the current study strongly supports previous findings, indicating that the northwest region of Bangladesh is experiencing significant warming (with increasing temperatures) and drying (with decreasing precipitation).
The observed trends of rising temperatures, as well as declining precipitation trends, highlight the inevitability of managing agricultural water supplies in the northwest region of Bangladesh. The projections generated in the current study could be beneficial to guide planting schedules, crop selection, and irrigation strategies, reducing the risk of crop failure and enhancing food security. Improved groundwater management will also help ensure a stable water supply during dry spells by addressing seasonal and interannual climate variability. The findings of the current study could also be vital for infrastructure planning and disaster risk management. With climate change potentially increasing the frequency and severity of extreme weather events like floods and droughts, the research can inform the design of resilient infrastructure and disaster preparedness strategies, minimizing future damage to critical assets like buildings, roads, and water systems. Finally, the localized climate projections offer crucial insights for national and regional policymakers, enabling them to prioritize climate adaptation strategies tailored to the specific vulnerabilities of the northwest region of Bangladesh. The projected increase in temperature and decrease in rainfall could significantly impact crop selection, requiring a shift toward drought-resistant varieties and adjusted planting schedules. Reduced water availability emphasizes the need for efficient irrigation strategies, such as rainwater harvesting and optimized groundwater use. Additionally, water resource management must adapt through reservoir optimization and policy interventions. However, this study has certain limitations, including uncertainties in GCM projections, the assumption of stationarity in statistical downscaling, and constraints in high-resolution local data. Furthermore, broader socioeconomic and land-use changes, which influence climate impacts, were not explicitly considered. The current study not only contributes to the scientific understanding of potential impacts of climate change across the northwest region of Bangladesh but also plays a vital role in safeguarding the region’s socioeconomic well-being against the adverse effects of climate change.
6. Conclusions
The current study focuses on the projections of future climate changes in terms of changes in mean annual temperature and precipitation across the northwest region of Bangladesh. In the current study, the well-known decision support tool, statistical downscaling model (SDSM), was used to refine projections based on multiple GCMs, including HadCM3, CanESM2, and CanESM5. The projections were generated based on three different climate change scenarios related to each GCM that include the Special Report on Emissions Scenarios (SRES), the representative concentration pathways (RCPs), and the shared socioeconomic pathways (SSPs). The major conclusions drawn from the findings of the current study are outlined in the following:
- SDSM has proven to be a highly suitable tool for establishing strong correlations between predictors and local predictands over the northwest region of Bangladesh.
- Based on the calibration results, it can be concluded that CanESM5 gives the best performance among the three GCMs for temperature predictions, with R2 = 0.961, KGE = 0.978, and NSE = 0.921. This outperformed HadCM3 (R2 = 0.923; KGE = 0.931; NSE = 0.901) and CanESM2 (R2 = 0.939; KGE = 0.945; NSE = 0.919), all of which showed good agreement with observed data.
- For rainfall projections, CanESM5 again performed well, with R2 = 0.967, KGE = 0.977, and NSE = 0.976. However, CanESM2 (R2 = 0.958, KGE = 0.966, NSE = 0.936) showed slightly lower performance.
- After applying bias correction, the errors of the models can be substantially minimized, leading to more robust projection results. The bias correction significantly enhanced the reliability of the future predictions in the current study, ensuring more accurate and dependable projections for both temperature and rainfall.
- Temperature showed an upward trend, while rainfall showed a downward trend, indicating potential warming and decreasing rainfall in the future for this study.
- The climate change trends under different scenarios obtained in the current study revealed that the SSP scenarios offer more stable projections than the RCP scenarios, which show slightly lower but consistent trends. In contrast, the SRES scenarios exhibit unstable in both temperature and rainfall, indicating larger uncertainty in future projections.
Several studies have assessed climate change impacts in Bangladesh using these GCMs, and this study builds upon existing research by incorporating a refined methodology, updated dataset, and focused analysis of specific climate variables. These GCMs have been widely applied in previous studies, demonstrating their capability in capturing historical trends and future projections. Their inclusion enables comparisons with past findings and ensures consistency with established methodologies. Additionally, regional climate projections are evolving, and newer GCM simulations, such as those from CMIP6, provide improved representations of climate dynamics. Future climate trends are reassessed with these updated models, offering new insights into long-term climate change impacts for adaptation and mitigation strategies. The findings from this study will assist in predicting future climate extremes and their potential impacts on regional infrastructure, natural resources, the fossil industry, agriculture, and public health. Furthermore, it is expected that the current study will provide valuable insights for decision-makers, supporting the development of policies for climate change adaptation and mitigation in the northwest region of Bangladesh.
Author Contributions
M.M.R.: conceptualization, methodology, resources, investigation, data curation, formal analysis, software, writing—original draft; S.K.A.: supervision, conceptualization, methodology, formal analysis, visualization, writing—review and editing; T.S.: writing—review and editing; M.M.: writing—review and editing. All authors have read and agreed to the published version of the manuscript.
Funding
This research received no external funding.
Data Availability Statement
Data will be available from the corresponding author on request.
Acknowledgments
We express our sincere gratitude to the Bangladesh Meteorological Department (BMD) for providing the essential data for this study. We also acknowledge the valuable contributions and the support from Yokohama National University.
Conflicts of Interest
The authors declare that they have no known competing financial or competing interests and/or personal relationships that could have appeared to influence the work reported in this paper.
References
- Intergovernmental Panel on Climate Change (IPCC). Climate Change 2023: Synthesis Report. Contribution of Working Groups I, II and III to the Sixth Assessment Report of the Intergovernmental Panel on Climate Change (IPCC); Lee, H., Romero, J., Eds.; IPCC: Geneva, Switzerland, 2023; pp. 35–115. [Google Scholar] [CrossRef]
- World Meteorological Organization (WMO). WMO Global Annual to Decadal Climate Update 2024 and 2024–2028. Available online: https://library.wmo.int/viewer/68910/download?file=WMO_GADCU_2024-2028_en.pdf&type=pdf&navigator=1 (accessed on 25 August 2024).
- Trenberth, K.E.; Fasullo, J.T.; Branstator, G.; Phillips, A.S. Seasonal aspects of the recent pause in surface warming. Nat. Clim. Chang. 2014, 4, 911–916. [Google Scholar] [CrossRef]
- Mehvar, S.; Filatova, T.; Dastgheib, A.; van Steveninck, E.D.R.; Ranasinghe, R. Quantifying economic value of coastal ecosystem services: A Review. J. Mar. Sci. Eng. 2018, 6, 1. [Google Scholar] [CrossRef]
- Seidl, R.; Klonner, G.; Rammer, W.; Essl, F.; Moreno, A.; Neumann, M.; Dullinger, S. Invasive alien pests threaten the carbon stored in Europe’s forests. Nat. Commun. 2018, 9, 1626. [Google Scholar] [CrossRef] [PubMed]
- IPCC. Climate Change 2014: Impacts, Adaptation, and Vulnerability. Part A: Global and Sectoral Aspects. Contribution of Working Group II to the Fifth Assessment Report of the Intergovernmental Panel on Climate Change; Cambridge University Press: Cambridge, UK; New York, NY, USA, 2014; 1132p, Available online: https://www.ipcc.ch/report/ar5/wg2/ (accessed on 25 August 2024).
- Bellard, C.B.; Bertelsmeier, C.; Leadley, P.; Thuiller, W.; Courchamp, F. Impacts of climate change on the future biodiversity. Ecol. Lett. 2012, 15, 365–377. [Google Scholar] [CrossRef] [PubMed]
- Riahi, K.; van Vuuren, D.P.; Kriegler, E.; Edmonds, J.; O’Neill, B.C.; Fujimori, S.; Bauer, N.; Calvin, K.; Dellink, R.; Fricko, O.; et al. The Shared Socioeconomic Pathways and their energy, land use, and greenhouse gas emissions implications: An overview. Glob. Environ. Chang. 2017, 42, 153–168. [Google Scholar] [CrossRef]
- Taylor, K.E.; Stouffer, R.J.; Meehl, G.A. An overview of CMIP5 and the experimental design. Bull. Am. Meteorol. Soc. 2012, 93, 485–498. [Google Scholar] [CrossRef]
- Su, F.; Duan, X.; Chen, D.; Hao, Z.; Cuo, L. Evaluation of the global climate models in the CMIP5 over the Tibetan Plateau. J. Clim. 2013, 26, 3184–3208. [Google Scholar] [CrossRef]
- Madhusoodhanan, C.G.; Sreeja, K.G.; Eldho, T.I. Climate change impact assessments on the water resources of India under extensive human interventions. Ambio 2016, 45, 725–741. [Google Scholar] [CrossRef]
- Choudhury, B.A.; Rajesh, P.V.; Zahan, Y.; Goswami, B.N. Evolution of the Indian summer monsoon rainfall simulations from CMIP3 to CMIP6 models. Clim. Dyn. 2022, 58, 2637–2662. [Google Scholar] [CrossRef]
- Joetzjer, E.; Douville, H.; Delire, C.; Ciais, P. Present-day and future Amazonian precipitation in global climate models: CMIP5 versus CMIP3. Clim. Dyn. 2013, 41, 2921–2936. [Google Scholar] [CrossRef]
- Carvalho, D.; Rafael, S.; Monteiro, A.; Rodrigues, V.; Lopes, M.; Rocha, A. How well have CMIP3, CMIP5 and CMIP6 future climate projections portrayed the recently observed warming. Sci. Rep. 2022, 12, 11983. [Google Scholar] [CrossRef]
- Chen, H.; Sun, J.; Lin, W.; Xu, H. Comparison of CMIP6 and CMIP5 models in simulating climate extremes. Sci. Bull. 2020, 65, 1415–1418. [Google Scholar] [CrossRef] [PubMed]
- Illangasingha, S.; Koike, T.; Rasmy, M.; Tamakawa, K.; Matsuki, H.; Selvarajah, H. A holistic approach for using global climate model (GCM) outputs in decision making. J. Hydrol. 2023, 626, 130213. [Google Scholar] [CrossRef]
- Phoenix, G.K.; Lee, J.A. Predicting impacts of Arctic climate change: Past lessons and future challenges. Ecol. Res. 2004, 19, 65–74. [Google Scholar] [CrossRef]
- Krysanova, V.; Zaherpour, J.; Didovets, I.; Gosling, S.N.; Gerten, D.; Hanasaki, N.; Müller Schmied, H.; Pokhrel, Y.; Satoh, Y.; Tang, Q.; et al. How evaluation of global hydrological models can help to improve credibility of river discharge projections under climate change. Clim. Chang. 2020, 163, 1353–1377. [Google Scholar] [CrossRef]
- Fan, H.; Jiang, M.; Xu, L.; Zhu, H.; Cheng, J.; Jiang, J. Comparison of long short-term memory networks and the hydrological model in runoff simulation. Water 2020, 12, 175. [Google Scholar] [CrossRef]
- Dibike, Y.; Muhammad, A.; Shrestha, R.R.; Spence, C.; Bonsal, B.; de Rham, L.; Rowley, J.; Evenson, G.; Stadnyk, T. Application of dynamic contributing area for modelling the hydrologic response of the Assiniboine River Basin to a changing climate. J. Great Lakes Res. 2021, 47, 663–676. [Google Scholar] [CrossRef]
- Zhang, Q.; Li, Y.P.; Huang, G.H.; Wang, H.; Li, Y.F.; Liu, Y.R.; Shen, Z.Y. A novel statistical downscaling approach for analyzing daily precipitation and extremes under the impact of climate change: Application to an arid region. J. Hydrol. 2022, 615, 128730. [Google Scholar] [CrossRef]
- Pathak, R.; Sahany, S.; Mishra, S.K. Impact of stochastic entrainment in the NCAR CAM deep convection parameterization on the simulation of South Asian summer monsoon. Clim. Dyn. 2021, 57, 3365–3384. [Google Scholar] [CrossRef]
- Ahmadi, H.; Azizzadeh, J. The impacts of climate change based on regional and global climate models (RCMs and GCMs) projections (case study: Ilam province). Model. Earth Syst. Environ. 2020, 6, 685–696. [Google Scholar] [CrossRef]
- Di Virgilio, G.; Ji, F.; Tam, E.; Nishant, N.; Evans, J.P.; Thomas, C.; Riley, M.L.; Beyer, K.; Grose, M.R.; Narsey, S.; et al. Selecting CMIP6 GCMs for CORDEX Dynamical Downscaling: Model Performance, Independence, and Climate Change Signals. Earth’s Future 2022, 10, e2021EF002625. [Google Scholar] [CrossRef]
- Keller, A.A.; Garner, K.L.; Rao, N.; Knipping, E.; Thomas, J. Downscaling approaches of climate change projections for watershed modeling: Review of theoretical and practical considerations. PLoS Water 2022, 1, e0000046. [Google Scholar] [CrossRef]
- Lin, Q.; Steger, S.; Pittore, M.; Zhang, Y.; Zhang, J.; Zhou, L.; Wang, L.; Wang, Y.; Jiang, T. Contrasting Population Projections to Induce Divergent Estimates of Landslides Exposure Under Climate Change. Earth’s Future 2023, 11, e2023EF003741. [Google Scholar] [CrossRef]
- Mahdy, I.H.; Roy, P.P.; Kabir, R. Assessing climate change impacts with downscaling techniques: A case study. Int. J. Sci. Res. Arch. 2024, 12, 1645–1652. [Google Scholar] [CrossRef]
- Ostad-Ali-Askari, K.; Ghorbanizadeh, H.K.; Shayannejad, M.; Zareian, M.J. Effect of climate change on precipitation patterns in an arid region using GCM models: Case study of Isfahan-Borkhar Plain. Nat. Hazards Rev. 2020, 21, 04020006. [Google Scholar] [CrossRef]
- Hessami, M.; Gachon, P.; Ouarda, T.B.M.J.; St-Hilaire, A. Automated regression-based statistical downscaling tool. Environ. Model. Softw. 2008, 23, 813–834. [Google Scholar] [CrossRef]
- Choubin, B.; Khalighi-Sigaroodi, S.; Malekian, A.; Kişi, Ö. Multiple linear regression, multi-layer perceptron network and adaptive neuro-fuzzy inference system for forecasting precipitation based on large-scale climate signals. Hydrol. Sci. J. 2016, 61, 1001–1009. [Google Scholar] [CrossRef]
- Smith, R.L.; Tebaldi, C.; Nychka, D.; Mearns, L.O. Bayesian modeling of uncertainty in ensembles of climate models. J. Am. Stat. Assoc. 2009, 104, 97–116. [Google Scholar] [CrossRef]
- Tripathi, S.; Srinivas, V.V.; Nanjundiah, R.S. Downscaling of precipitation for climate change scenarios: A support vector machine approach. J. Hydrol. 2006, 330, 621–640. [Google Scholar] [CrossRef]
- Chen, H.; Wu, W.; Liu, H.-B. Assessing the relative importance of climate variables to rice yield variation using support vector machines. Theor. Appl. Climatol. 2016, 126, 105–111. [Google Scholar] [CrossRef]
- Choubin, B.; Zehtabian, G.; Azareh, A.; Rafiei-Sardooi, E.; Sajedi-Hosseini, F.; Kişi, Ö. Precipitation forecasting using classification and regression trees (CART) model: A comparative study of different approaches. Environ. Earth Sci. 2018, 77, 314. [Google Scholar] [CrossRef]
- Nyongesa, A.M.; Zeng, G.; Ongoma, V. Non-homogeneous hidden Markov model for downscaling of short rains occurrence in Kenya. Theor. Appl. Climatol. 2020, 139, 1333–1347. [Google Scholar] [CrossRef]
- Moghanlo, S.; Alavinejad, M.; Oskoei, V.; Saleh, H.N.; Mohammadi, A.A.; Mohammadi, H.; DerakhshanNejad, Z. Using artificial neural networks to model the impacts of climate change on dust phenomenon in the Zanjan region, north-west Iran. Urban Clim. 2021, 35, 100750. [Google Scholar] [CrossRef]
- Baghanam, A.H.; Eslahi, M.; Sheikhbabaei, A.; Seifi, A.J. Assessing the impact of climate change over the northwest of Iran: An overview of statistical downscaling methods. Theor. Appl. Climatol. 2020, 141, 1135–1150. [Google Scholar] [CrossRef]
- El Hafyani, M.; Essahlaoui, N.; Essahlaoui, A.; Mohajane, M.; Van Rompaey, A. Generation of climate change scenarios for rainfall and temperature using SDSM in a Mediterranean environment: A case study of Boufakrane River watershed, Morocco. J. Umm Al-Qura Univ. Appl. Sci. 2023, 9, 436–448. [Google Scholar] [CrossRef]
- Kristvik, E.; Kleiven, G.H.; Lohne, J.; Muthanna, T.M. Assessing the robustness of raingardens under climate change using SDSM and temporal downscaling. Water Sci. Technol. 2018, 77, 1640–1650. [Google Scholar] [CrossRef]
- Munawar, S.; Tahir, M.N.; Baig, M.H.A. Twenty-first century hydrologic and climatic changes over the scarcely gauged Jhelum River basin of Himalayan region using SDSM and RCPs. Environ. Sci. Pollut. Res. 2022, 29, 11196–11208. [Google Scholar] [CrossRef]
- Chen, J.; Brissette, F.P.; Leconte, R. Uncertainty of downscaling method in quantifying the impact of climate change on hydrology. J. Hydrol. 2011, 401, 190–202. [Google Scholar] [CrossRef]
- Gebrechorkos, S.H.; Bernhofer, C.; Hülsmann, S. Climate change impact assessment on the hydrology of a large river basin in Ethiopia using a local-scale climate modelling approach. Sci. Total Environ. 2020, 742, 140504. [Google Scholar] [CrossRef]
- Jerin, T.; Azad, M.A.K.; Khan, M.N. Climate change-triggered vulnerability assessment of the flood-prone communities in Bangladesh: A gender perspective. Int. J. Disaster Risk Reduct. 2023, 95, 103851. [Google Scholar] [CrossRef]
- World Bank. World Bank Open Data 2024. Available online: https://data.worldbank.org (accessed on 30 August 2024).
- Uddin, M.J. Climate change, vulnerabilities, and migration: Insights from ecological migrants in Bangladesh. J. Environ. Dev. 2024, 33, 50–74. [Google Scholar] [CrossRef]
- Nath, H.; Adhikary, S.K.; Nath, S.; Kafy, A.A.; Islam, A.R.M.T.; Alsulamy, S.; Khedher, K.M.; Shohan, A.A.A. Long-term trends and spatial variability in rainfall in the southeast region of Bangladesh: Implication for sustainable water resources management. Theor. Appl. Climatol. 2024, 155, 3693–3717. [Google Scholar] [CrossRef]
- Anik, A.H.; Sultan, M.B.; Alam, M.; Parvin, F.; Ali, M.M.; Tareq, S.M. The impact of climate change on water resources and associated health risks in Bangladesh: A review. Water Secur. 2023, 18, 100133. [Google Scholar] [CrossRef]
- Rahman, M.A.; Ali, M.; Mojid, M.A.; Anjum, N.; Haq, M.E.; Kainose, A.; Dissanayaka, K.D.C.R. Crop coefficient, reference crop evapotranspiration and water demand of dry-season Boro rice as affected by climate variability: A case study from northeast Bangladesh. Irrig. Drain. 2023, 72, 148–165. [Google Scholar] [CrossRef]
- Rabby, M.F.; Adhikary, S.K. Alternative probability distribution functions for drought calculation using the standardized precipitation index. AIP Conf. Proc. 2025, 3262, 020008. [Google Scholar] [CrossRef]
- Hossain, M.Z.; Adhikary, S.K.; Nath, H.; Kafy, A.A.; Altuwaijri, H.A.; Rahman, M.T. Integrated geospatial and analytical hierarchy process approach for assessing sustainable management of groundwater recharge potential in Barind Tract. Water 2024, 16, 2918. [Google Scholar] [CrossRef]
- Sujan, M.H.; Hasan, M.M.; Hossain, M.Z. Application of integrated approaches to assess the vulnerability to environmental degradation in the northwestern Barind Tract of Bangladesh. GeoJournal 2023, 88, 6053–6072. [Google Scholar] [CrossRef]
- Adhikary, S.K.; Das, S.K.; Saha, G.C.; Chaki, T. Groundwater drought assessment for Barind irrigation project in Northwestern Bangladesh. In Proceedings of the 20th International Congress on Modelling and Simulation (MODSIM 2013), Modelling and Simulation Society of Australia and New Zealand, Adelaide, Australia, 1–6 December 2013; pp. 2917–2923. [Google Scholar] [CrossRef]
- Akter, R.; Hasan, N.; Reza, F.; Asaduzzaman, M.; Begum, K.; Shammi, M. Hydrobiology of saline agriculture ecosystem: A review of scenario change in south-west region of Bangladesh. Hydrobiology 2023, 2, 162–180. [Google Scholar] [CrossRef]
- Basher, S.A.; Iorio, F.D.; Fachin, S. Regional income dynamics in Bangladesh. Empir. Econ. 2024, 66, 1125–1159. [Google Scholar] [CrossRef]
- Islam, A.R.M.T.; Shen, S.; Hu, Z.; Rahman, M.A. Drought hazard evaluation in Boro paddy cultivated areas of western Bangladesh at current and future climate change conditions. Adv. Meteorol. 2017, 2017, 3514381. [Google Scholar] [CrossRef]
- Acharjee, T.K.; van Halsema, G.; Ludwig, F.; Hellegers, P. Declining trends of water requirements of dry season Boro rice in the north-west Bangladesh. Agric. Water Manag. 2017, 180, 148–159. [Google Scholar] [CrossRef]
- Rahman, M.A.; Yunsheng, L.; Sultana, N.; Ongoma, V. Analysis of reference evapotranspiration (ETO) trends under climate change in Bangladesh using observed and CMIP5 data sets. Meteorol. Atmos. Phys. 2019, 131, 639–655. [Google Scholar] [CrossRef]
- Bangladesh Bureau of Statistics (BBS). Statistical Year Book of Bangladesh 2022; Bangladesh Bureau of Statistics (BBS): Dhaka, Bangladesh, 2022. [Google Scholar]
- Shahid, S. Impact of climate change on irrigation water demand of dry season Boro rice in northwest Bangladesh. Clim. Chang. 2011, 105, 433–453. [Google Scholar] [CrossRef]
- Alamgir, M.; Ahmed, K.; Homsi, R.; Dewan, A.; Wang, J.-J.; Shahid, S. Downscaling and projection of spatiotemporal changes in temperature of Bangladesh. Earth Syst. Environ. 2019, 3, 381–398. [Google Scholar] [CrossRef]
- Rahman, S.M.; Rahman, S.M.; Ali, M.S.; Mamun, M.A.A.; Uddin, M.N. Estimation of seasonal boundaries using temperature data: A case of northwest part of Bangladesh. Math. Clim. Weather Forecast. 2020, 6, 50–62. [Google Scholar] [CrossRef]
- Alam, S.; Jahan, S.; Noor, F. The Surface Water System, Flood and Water Resources Management of Bangladesh. In Bangladesh Geosciences and Resources Potential; CRC Press: Boca Raton, FL, USA, 2022. [Google Scholar]
- Acharjee, T.K.; Ludwig, F.; van Halsema, G.; Hellegers, P.; Supit, I. Future changes in water requirements of Boro rice in the face of climate change in North-West Bangladesh. Agric. Water Manag. 2017, 194, 172–183. [Google Scholar] [CrossRef]
- Madley-Dowd, P.; Hughes, R.; Tilling, K.; Heron, J. The proportion of missing data should not be used to guide decisions on multiple imputation. J. Clin. Epidemiol. 2019, 110, 63–73. [Google Scholar] [CrossRef]
- Wilby, R.L.; Dawson, C.W.; Barrow, E.M. SDSM-A decision support tool for the assessment of regional climate change impacts. Environ. Model. Softw. 2002, 17, 145–157. [Google Scholar] [CrossRef]
- Mahmood, R.; Babel, M.S. Future changes in extreme temperature events using the statistical downscaling model (SDSM) in the trans-boundary region of the Jhelum River basin. Weather Clim. Extrem. 2014, 5–6, 56–66. [Google Scholar] [CrossRef]
- Al-Mukhtar, M.; Qasim, M. Future predictions of precipitation and temperature in Iraq using the statistical downscaling model. Arab. J. Geosci. 2019, 12, 25. [Google Scholar] [CrossRef]
- Rana, M.M.; Adhikary, S.K. Climate change projection over southwest coastal region of Bangladesh using statistical downscaling model. AIP Conf. Proc. 2023, 2713, 050016. [Google Scholar] [CrossRef]
- Gulacha, M.M.; Mulungu, D.M.M. Generation of climate change scenarios for precipitation and temperature at local scales using SDSM in Wami-Ruvu River Basin Tanzania. Phys. Chem. Earth Parts A/B/C 2017, 100, 62–72. [Google Scholar] [CrossRef]
- Phuong, D.N.D.; Duong, T.Q.; Liem, N.D.; Tram, V.N.Q.; Cuong, D.K.; Loi, N.K. Projections of future climate change in the Vu Gia Thu Bon River basin, Vietnam by using statistical downscaling model (SDSM). Water 2020, 12, 3. [Google Scholar] [CrossRef]
- Shukla, R.; Khare, D.; Dwivedi, A.K.; Rudra, R.P.; Palmate, S.S.; Ojha, C.S.P.; Singh, V.P. Evaluation of statistical downscaling model’s performance in projecting future climate change scenarios. J. Water Clim. Chang. 2023, 14, 3559–3595. [Google Scholar] [CrossRef]
- Tatsumi, K.; Oizumi, T.; Yamashiki, Y. Assessment of future precipitation indices in the Shikoku region using a statistical downscaling model. Stoch. Environ. Res. Risk Assess. 2014, 28, 1447–1464. [Google Scholar] [CrossRef]
- Wilby, R.L.; Dawson, C.W.; Murphy, C.; O’Connor, P.; Hawkins, E. The Statistical DownScaling Model-Decision Centric (SDSM-DC): Conceptual basis and applications. Clim. Res. 2014, 61, 259–276. [Google Scholar] [CrossRef]
- Mahmood, R.; Babel, M.S. Evaluation of SDSM developed by annual and monthly sub-models for downscaling temperature and precipitation in the Jhelum basin, Pakistan and India. Theor. Appl. Climatol. 2013, 113, 27–44. [Google Scholar] [CrossRef]
- Shahriar, S.A.; Siddique, M.A.M.; Rahman, S.M.A. Climate change projection using statistical downscaling model over Chittagong Division, Bangladesh. Meteorol. Atmos. Phys. 2021, 133, 1409–1427. [Google Scholar] [CrossRef]
- Hasan, D.S.N.A.b.P.A.; Ratnayake, U.; Shams, S.; Nayan, Z.B.H.; Rahman, E.K.A. Prediction of climate change in Brunei Darussalam using statistical downscaling model. Theor. Appl. Climatol. 2018, 133, 343–360. [Google Scholar] [CrossRef]
- Jaiswal, R.K.; Lohani, A.K.; Tiwari, H.L. A decision support system framework for strategic water resources planning and management under projected climate scenarios for a reservoir complex. J. Hydrol. 2021, 603, 127051. [Google Scholar] [CrossRef]
- Haque, C.E.; Khan, S.A.; Choudhury, M. Role of multi-level institutions in facilitating innovation and adaptation technologies for reducing climate risk and impact: Evidence from coastal communities of Bangladesh. Int. J. Disaster Risk Reduct. 2024, 111, 104669. [Google Scholar] [CrossRef]
- Alamgir, M.; Pour, S.H.; Mohsenipour, M.; Hasan, M.M.; Ismail, T. Predictors and their domain for statistical downscaling of climate in Bangladesh. J. Teknol. 2016, 78. [Google Scholar] [CrossRef]
- Bulti, A.T.; Yutura, G.A. Statistical downscaling of climate variables for local forecasts and applications to improve climate change prediction in upper Blue Nile basin. Phys. Chem. Earth Parts A/B/C 2025, 138, 103867. [Google Scholar] [CrossRef]
- Niazkar, M.; Goodarzi, M.R.; Fatehifar, A.; Abedi, M.J. Machine learning-based downscaling: Application f multi-gene genetic programming for downscaling daily temperature at Dogonbadan, Iran, under CMIP6 scenarios. Theor. Appl. Climatol. 2023, 151, 153–168. [Google Scholar] [CrossRef]
- Adeyeri, O.E.; Laux, P.; Lawin, A.E.; Oyekan, K.S.A. Multiple bias-correction of dynamically downscaled CMIP5 climate models temperature projection: A case study of the transboundary Komadugu-Yobe river basin, Lake Chad region, West Africa. SN Appl. Sci. 2020, 2, 1221. [Google Scholar] [CrossRef]
- Lotfi, M.; Kamali, G.A.; Meshkatee, A.H.; Varshavian, V. Performance analysis of LARS-WG and SDSM downscaling models in simulating temperature and precipitation changes in the west of Iran. Model. Earth Syst. Environ. 2022, 8, 4649–4659. [Google Scholar] [CrossRef]
- Rahman, M.; Nguyen, V.-T.-V. On snowmelt computations in the climate change context: Comparison of single-site and multisite downscaling of extreme daily temperature processes. Can. J. Civ. Eng. 2024, 51, 1290–1301. [Google Scholar] [CrossRef]
- Khan, M.H.R.; Rahman, A.; Luo, C.; Kumar, S.; Islam, G.M.A.; Hossain, M.A. Detection of changes and trends in climatic variables in Bangladesh during 1988–2017. Heliyon 2019, 5, e01268. [Google Scholar] [CrossRef]
- Akter, M.Y.; Islam, A.R.M.T.; Mallick, J.; Alam, M.M.; Alam, E.; Shahid, S.; Biswas, J.C.; Alam, G.M.; Pal, S.C.; Oliver, M.M.H. Temperature extremes projections over Bangladesh from CMIP6 multi-model ensemble. Theor. Appl. Climatol. 2024, 155, 8843–8869. [Google Scholar] [CrossRef]
- Jihan, M.A.T.; Popy, S.; Kayes, S.; Rasul, G.; Maowa, A.S.; Rahman, M.M. Climate Change Scenario in Bangladesh: Historical Data Analysis and Future Projection Based on CMIP6 Model. Sci. Rep. 2025, 15, 7856. [Google Scholar] [CrossRef]
- Mamun, M.A.A.; Sarker, M.R.; Sarker, M.A.R.; Roy, S.K.; Islam, S.A.; McKenzie, M.A.; Hossain, M.I.; Kabir, M.S. Identification of influential weather parameters and seasonal drought prediction in Bangladesh using machine learning algorithm. Sci. Rep. 2024, 14, 566. [Google Scholar] [CrossRef] [PubMed]
- Hazra, V.; Ashrit, R.; Thota, M.S. Weather and climate of Bangladesh, National Centre for Medium Range Weather Forecasting (NCMRWF), Research Report No: NMRF/RR/01/2024; Ministry of Earth Sciences: Noida, India, 2024. [Google Scholar] [CrossRef]
- Bhattacharjee, A.; Hassan, S.M.Q.; Hazra, P.; Kormoker, T.; Islam, S.; Alam, E.; Islam, M.K.; Islam, A.R.M.T. Future changes of summer monsoon rainfall and temperature over Bangladesh using 27 CMIP6 models. Geocarto Int. 2023, 38, 2285342. [Google Scholar] [CrossRef]
- Uddin, M.A.; Kamal, A.M.; Shahid, S.; Chung, E.-S. Volatility in rainfall and predictability of droughts in northwest Bangladesh. Sustainability 2020, 12, 9810. [Google Scholar] [CrossRef]
Disclaimer/Publisher’s Note: The statements, opinions and data contained in all publications are solely those of the individual author(s) and contributor(s) and not of MDPI and/or the editor(s). MDPI and/or the editor(s) disclaim responsibility for any injury to people or property resulting from any ideas, methods, instructions or products referred to in the content. |
© 2025 by the authors. Licensee MDPI, Basel, Switzerland. This article is an open access article distributed under the terms and conditions of the Creative Commons Attribution (CC BY) license (https://creativecommons.org/licenses/by/4.0/).