A Comparison between Radar Variables and Hail Pads for a Twenty-Year Period
Abstract
1. Introduction
2. Materials and Methods
2.1. The Region of Study
2.2. Data Sources
2.2.1. Hail Pad Network
- Null: no impacts of hail in the plaque.
- Graupel (from the Catalan word calamarsa): hail with a diameter under 0.5 cm.
- Hail: stones with a diameter between 0.5 and 2 cm.
- Severe hail: hail with a diameter over 2 cm.
2.2.2. Radar Network
2.3. Methodology
- *
- Identification of the potential hail days: each day with at least one register of a hail pad. The maximum hailstone diameter can be zero because each potential day the ADV staff analyzes all the possible hail pads hit by the hailstorm (because of the radar imagery or the comments of some spotters).
- *
- Pad characterization of the day: estimation of the centroid of the event (based on the coordinates and hail size of each of the daily registers), the maximum and mean hail size, and the area of interest (see an example in Figure 4).
- *
- Generation of the maximum daily VIL and VIL density fields: considering all the 6-minute instantaneous images (240 per day), we generate the maximum fields for each day of interest.
- *
- Radar characterization of the day: for the same region of interest in the second step, we calculate the maximum and median values of VIL and VIL density for each one of the hail pads.
- Date;
- The hail pad coordinates;
- The maximum hail size;
- The maximum and median VIL and VIL density.

3. Results
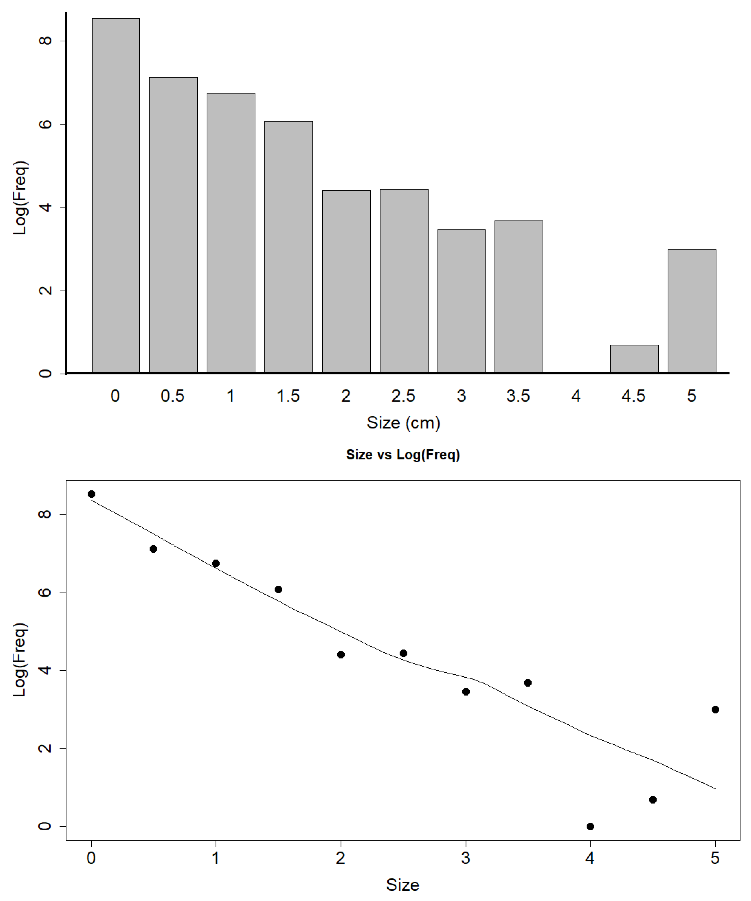
3.1. Characterization of the Hail Pad Data
3.2. Identification of the Thresholds for the Radar Variables
- No hail: VIL 1–12.5 kg/m2, VIL density 0.1–1.25 g/m3
- Graupel: VIL 12.5–22.5 kg/m2, VIL density 1.25–1.75 g/m3
- Hail: VIL 22.5–32.5 kg/m2, VIL density 1.75–2.75 g/m3
- Severe hail: VIL ≥ 32.5 kg/m2, VIL density ≥ 2.75 g/m3

3.3. Spatial Distribution Using VIL and VIL Density: A Comparison with Ground Registers
4. Discussion
5. Conclusions
- Hail time variability is similar to other regions, specially for the monthly distribution. In the case of the interannual variability, we did not find any clear trend, coinciding with other areas around the world.
- We found some thresholds for VIL and VIL density, which can be applied in real time for categorizing hail size in thunderstorms, and, on the other hand, to provide daily field maps of probable hail affectation.
- VIL density performs better than VIL in most cases.
- The comparison of radar variables and hail pad network data allows one to improve the knowledge of the spatial and time distribution of hail size.
Author Contributions
Funding
Institutional Review Board Statement
Data Availability Statement
Acknowledgments
Conflicts of Interest
References
- Rigo, T.; Farnell, C. A Summary of Hail Events during the Summer of 2022 in Catalonia: A Comparison with the Period of 2013–2021. Remote Sens. 2023, 15, 1012. [Google Scholar] [CrossRef]
- Rigo, T.; Farnell, C. The Variability of Hailfall in Catalonia and Its Climatic Implications. Climate 2023, 11, 16. [Google Scholar] [CrossRef]
- Farnell, C.; Rigo, T.; Heymsfield, A. Shape of hail and its thermodynamic characteristics related to records in Catalonia. Atmos. Res. 2022, 271, 106098. [Google Scholar] [CrossRef]
- Aran, M.; Pena, J.; Torà, M. Atmospheric circulation patterns associated with hail events in Lleida (Catalonia). Atmos. Res. 2011, 100, 428–438. [Google Scholar] [CrossRef]
- Farnell, C.; Llasat, M.d.C. Proposal of three thermodynamic variables to discriminate between storms associated with hail and storms with intense rainfall in Catalonia. Tethys 2013, 10, 25–34. [Google Scholar] [CrossRef]
- García-Ortega, E.; Fita, L.; Romero, R.; López, L.; Ramis, C.; Sánchez, J. Numerical simulation and sensitivity study of a severe hailstorm in northeast Spain. Atmos. Res. 2007, 83, 225–241. [Google Scholar] [CrossRef]
- Rigo, T.; Farnell, C. Using maximum Vertical Integrated Liquid (VIL) maps for identifying hail-affected areas: An operative application for agricultural purposes. J. Mediterr. Meteorol. Climatol. 2019, 16, 15–24. [Google Scholar] [CrossRef]
- Rigo, T.; Llasat, M.C. Forecasting hailfall using parameters for convective cells identified by radar. Atmos. Res. 2016, 169, 366–376. [Google Scholar] [CrossRef]
- Farnell, C.; Rigo, T.; Pineda, N. Lightning jump as a nowcast predictor: Application to severe weather events in Catalonia. Atmos. Res. 2017, 183, 130–141. [Google Scholar] [CrossRef]
- Marcos, J.; Sánchez, J.; Merino, A.; Melcón, P.; Mérida, G.; García-Ortega, E. Spatial and temporal variability of hail falls and estimation of maximum diameter from meteorological variables. Atmos. Res. 2021, 247, 105142. [Google Scholar] [CrossRef]
- Barrett, B.S.; Henley, B.N. Intraseasonal variability of hail in the contiguous United States: Relationship to the Madden—Julian oscillation. Mon. Weather. Rev. 2015, 143, 1086–1103. [Google Scholar] [CrossRef]
- Cao, Z. Severe hail frequency over Ontario, Canada: Recent trend and variability. Geophys. Res. Lett. 2008, 35. [Google Scholar] [CrossRef]
- Hermida, L.; Sánchez, J.L.; López, L.; Berthet, C.; Dessens, J.; García-Ortega, E.; Merino, A. Climatic trends in hail precipitation in France: Spatial, altitudinal, and temporal variability. Sci. World J. 2013, 2013, 494971. [Google Scholar] [CrossRef] [PubMed]
- Punge, H.J.; Kunz, M. Hail observations and hailstorm characteristics in Europe: A review. Atmos. Res. 2016, 176, 159–184. [Google Scholar] [CrossRef]
- Allen, J.T.; Giammanco, I.M.; Kumjian, M.R.; Jurgen Punge, H.; Zhang, Q.; Groenemeijer, P.; Kunz, M.; Ortega, K. Understanding hail in the earth system. Rev. Geophys. 2020, 58, e2019RG000665. [Google Scholar] [CrossRef]
- Manzato, A.; Cicogna, A.; Centore, M.; Battistutta, P.; Trevisan, M. Hailstone Characteristics in Northeast Italy from 29 Years of Hailpad Data. J. Appl. Meteorol. Climatol. 2022, 61, 1779–1795. [Google Scholar] [CrossRef]
- Rivero-Ordaz, L.; Merino, A.; Navarro, A.; Tapiador, F.J.; Sánchez, J.L.; García-Ortega, E. Detection and characterization of hailstorms over France using DPR data onboard the GPM Core Observatory. Atmos. Res. 2024, 302, 107308. [Google Scholar] [CrossRef]
- Malečić, B.; Cui, R.; Demory, M.E.; Horvath, K.; Jelić, D.; Schär, C.; Telišman Prtenjak, M.; Velasquez, P.; Ban, N. Simulating hail and lightning over the Alpine Adriatic region—A model intercomparison study. J. Geophys. Res. Atmos. 2023, 128, e2022JD037989. [Google Scholar] [CrossRef]
- Palencia, C.; Berthet, C.; Massot, M.; Castro, A.; Dessens, J.; Fraile, R. On the individual calibration of hailpads. Atmos. Res. 2007, 83, 493–504. [Google Scholar] [CrossRef]
- Lukach, M.; Foresti, L.; Giot, O.; Delobbe, L. Estimating the occurrence and severity of hail based on 10 years of observations from weather radar in B elgium. Meteorol. Appl. 2017, 24, 250–259. [Google Scholar] [CrossRef]
- Cică, R.; Burcea, S.; Bojariu, R. Assessment of severe hailstorms and hail risk using weather radar data. Meteorol. Appl. 2015, 22, 746–753. [Google Scholar]
- Nisi, L.; Martius, O.; Hering, A.; Kunz, M.; Germann, U. Spatial and temporal distribution of hailstorms in the Alpine region: A long-term, high resolution, radar-based analysis. Q. J. R. Meteorol. Soc. 2016, 142, 1590–1604. [Google Scholar]
- Fluck, E.; Kunz, M.; Geissbuehler, P.; Ritz, S.P. Radar-based assessment of hail frequency in Europe. Nat. Hazards Earth Syst. Sci. 2021, 21, 683–701. [Google Scholar] [CrossRef]
- Schuster, S.S.; Blong, R.J.; McAneney, K.J. Relationship between radar-derived hail kinetic energy and damage to insured buildings for severe hailstorms in Eastern Australia. Atmos. Res. 2006, 81, 215–235. [Google Scholar]
- Sánchez, J.; López, L.; García-Ortega, E.; Gil, B. Nowcasting of kinetic energy of hail precipitation using radar. Atmos. Res. 2013, 123, 48–60. [Google Scholar]
- Lindley, T.T.; Lemon, L.R. Preliminary observations of weak three-body scatter spikes associated with low-end severe hail. E-J. Sev. Storms Meteorol. 2007, 2, 1–15. [Google Scholar] [CrossRef]
- Carbunaru, D.V.; Sasu, M.; Burcea, S.; Bell, A. Detection of hail through the three-body scattering signatures and its effects on radar algorithms observed in Romania. Atmósfera 2014, 27, 21–34. [Google Scholar]
- Witt, A.; Nelson, S.P. The use of single-Doppler radar for estimating maximum hailstone size. J. Appl. Meteorol. Climatol. 1991, 30, 425–431. [Google Scholar] [CrossRef][Green Version]
- Blair, S.F.; Deroche, D.R.; Boustead, J.M.; Leighton, J.W.; Barjenbruch, B.L.; Gargan, W.P. A radar-based assessment of the detectability of giant hail. E-J. Sev. Storms Meteorol. 2011, 6, 1–30. [Google Scholar]
- Kunz, M.; Kugel, P.I. Detection of hail signatures from single-polarization C-band radar reflectivity. Atmos. Res. 2015, 153, 565–577. [Google Scholar]
- Wapler, K. The life-cycle of hailstorms: Lightning, radar reflectivity and rotation characteristics. Atmos. Res. 2017, 193, 60–72. [Google Scholar] [CrossRef]
- Boudevillain, B.; Andrieu, H. Assessment of vertically integrated liquid (VIL) water content radar measurement. J. Atmos. Ocean. Technol. 2003, 20, 807–819. [Google Scholar] [CrossRef]
- Stefan, S.; Barbu, N. Radar-derived parameters in hail-producing storms and the estimation of hail occurrence in Romania using a logistic regression approach. Meteorol. Appl. 2018, 25, 614–621. [Google Scholar] [CrossRef]
- Edwards, R.; Thompson, R.L. Nationwide comparisons of hail size with WSR-88D vertically integrated liquid water and derived thermodynamic sounding data. Weather. Forecast. 1998, 13, 277–285. [Google Scholar] [CrossRef]
- Amburn, S.A.; Wolf, P.L. VIL density as a hail indicator. Weather. Forecast. 1997, 12, 473–478. [Google Scholar] [CrossRef]
- Farnell, C.; Rigo, T.; Martin-Vide, J. Application of cokriging techniques for the estimation of hail size. Theor. Appl. Climatol. 2018, 131, 133–151. [Google Scholar] [CrossRef]
- Skripniková, K.; Řezáčová, D. Radar-based hail detection. Atmos. Res. 2014, 144, 175–185. [Google Scholar] [CrossRef]
- Ochoa-Rodriguez, S.; Wang, L.P.; Willems, P.; Onof, C. A review of radar-rain gauge data merging methods and their potential for urban hydrological applications. Water Resour. Res. 2019, 55, 6356–6391. [Google Scholar] [CrossRef]
- Kopp, J.; Manzato, A.; Hering, A.; Germann, U.; Martius, O. How observations from automatic hail sensors in Switzerland shed light on local hailfall duration and compare with hailpads measurements. Atmos. Meas. Tech. Discuss. 2023, 2023, 1–32. [Google Scholar] [CrossRef]
- Kopp, J.; Schröer, K.; Schwierz, C.; Hering, A.; Germann, U.; Martius, O. The summer 2021 Switzerland hailstorms: Weather situation, major impacts and unique observational data. Weather 2023, 78, 184–191. [Google Scholar] [CrossRef]
- Soderholm, J.S.; Kumjian, M.R.; McCarthy, N.; Maldonado, P.; Wang, M. Quantifying hail size distributions from the sky–application of drone aerial photogrammetry. Atmos. Meas. Tech. 2020, 13, 747–754. [Google Scholar] [CrossRef]
- Witt, A.; Burgess, D.W.; Seimon, A.; Allen, J.T.; Snyder, J.C.; Bluestein, H.B. Rapid-scan radar observations of an Oklahoma tornadic hailstorm producing giant hail. Weather. Forecast. 2018, 33, 1263–1282. [Google Scholar] [CrossRef]
- Metzger, E.; Nuss, W.A. The relationship between total cloud lightning behavior and radar-derived thunderstorm structure. Weather. Forecast. 2013, 28, 237–253. [Google Scholar] [CrossRef]
- Ortega, K.L. Evaluating multi-radar, multi-sensor products for surface hailfall diagnosis. E-J. Sev. Storms Meteorol. 2018, 13, 1–36. [Google Scholar] [CrossRef]











| VIL | DVIL | |||||||
|---|---|---|---|---|---|---|---|---|
| Null | Graupel | Hail | Sev. Hail | Null | Graupel | Hail | Sev. Hail | |
| median | 0.037 | 0.042 | 0.066 | 0.047 | 0.029 | 0.035 | 0.045 | 0.052 |
| skewness | 1.434 | 0.875 | 0.164 | 1.007 | 1.433 | 1.041 | 0.534 | 0.583 |
| kurtosis | 4.363 | 2.297 | 1.386 | 3.243 | 3.881 | 2.456 | 1.618 | 1.507 |
Disclaimer/Publisher’s Note: The statements, opinions and data contained in all publications are solely those of the individual author(s) and contributor(s) and not of MDPI and/or the editor(s). MDPI and/or the editor(s) disclaim responsibility for any injury to people or property resulting from any ideas, methods, instructions or products referred to in the content. |
© 2024 by the authors. Licensee MDPI, Basel, Switzerland. This article is an open access article distributed under the terms and conditions of the Creative Commons Attribution (CC BY) license (https://creativecommons.org/licenses/by/4.0/).
Share and Cite
Rigo, T.; Farnell, C. A Comparison between Radar Variables and Hail Pads for a Twenty-Year Period. Climate 2024, 12, 158. https://doi.org/10.3390/cli12100158
Rigo T, Farnell C. A Comparison between Radar Variables and Hail Pads for a Twenty-Year Period. Climate. 2024; 12(10):158. https://doi.org/10.3390/cli12100158
Chicago/Turabian StyleRigo, Tomeu, and Carme Farnell. 2024. "A Comparison between Radar Variables and Hail Pads for a Twenty-Year Period" Climate 12, no. 10: 158. https://doi.org/10.3390/cli12100158
APA StyleRigo, T., & Farnell, C. (2024). A Comparison between Radar Variables and Hail Pads for a Twenty-Year Period. Climate, 12(10), 158. https://doi.org/10.3390/cli12100158

