Evaluating the Efficacy of Different DEMs for Application in Flood Frequency and Risk Mapping of the Indian Coastal River Basin
Abstract
1. Introduction
2. Study Area and Data Collection
2.1. Study Area
2.2. Data Collection
3. Methodology
3.1. One-Dimensional–Two-Dimensional Hydrodynamic Models Using HEC-RAS
3.2. Frequency Analysis of the Flood Flow
3.2.1. Gumbel’s Extreme Value (GEV) Method
3.2.2. Log-Pearson Type III (LP-III) Method
4. Results and Discussion
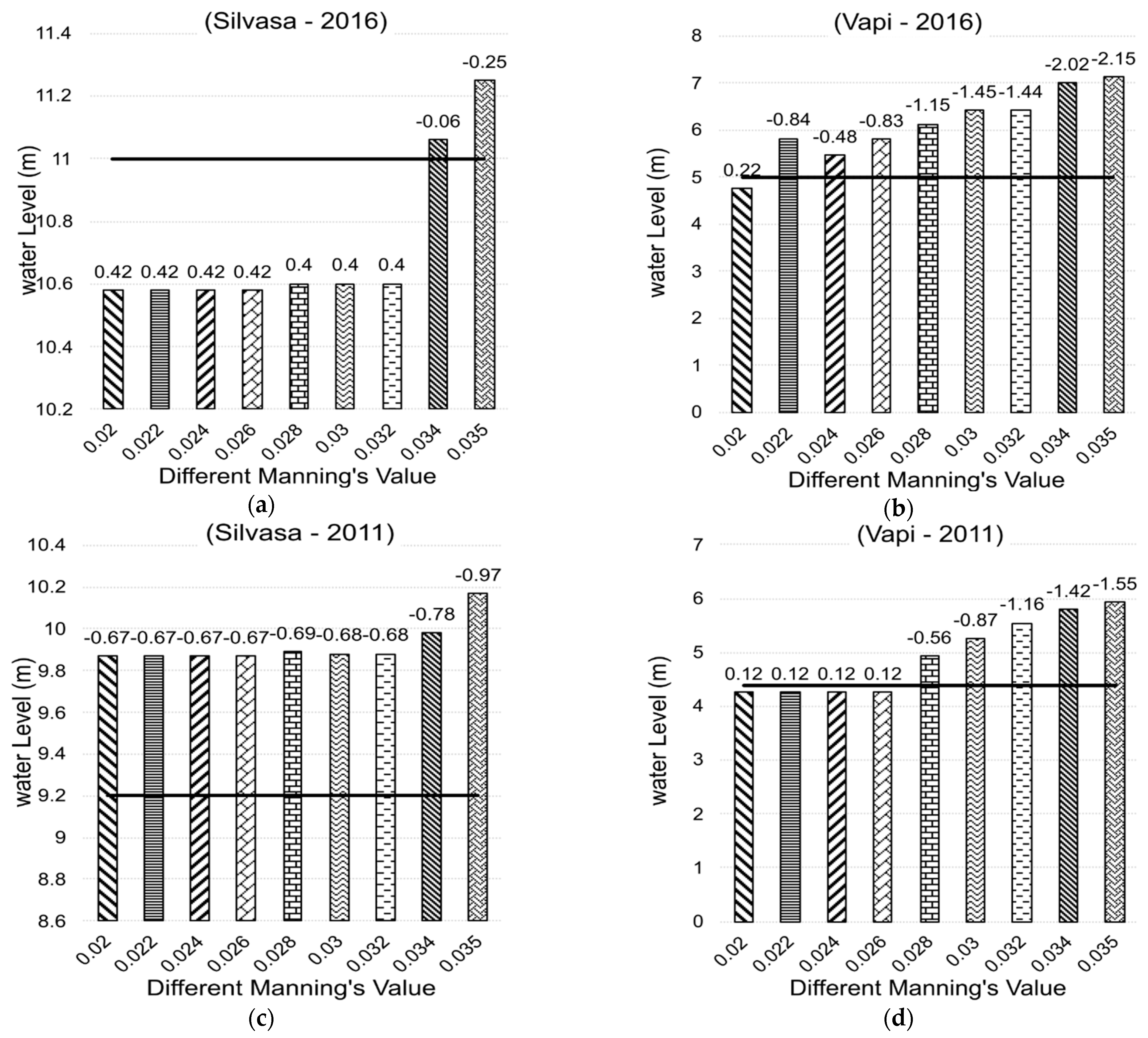
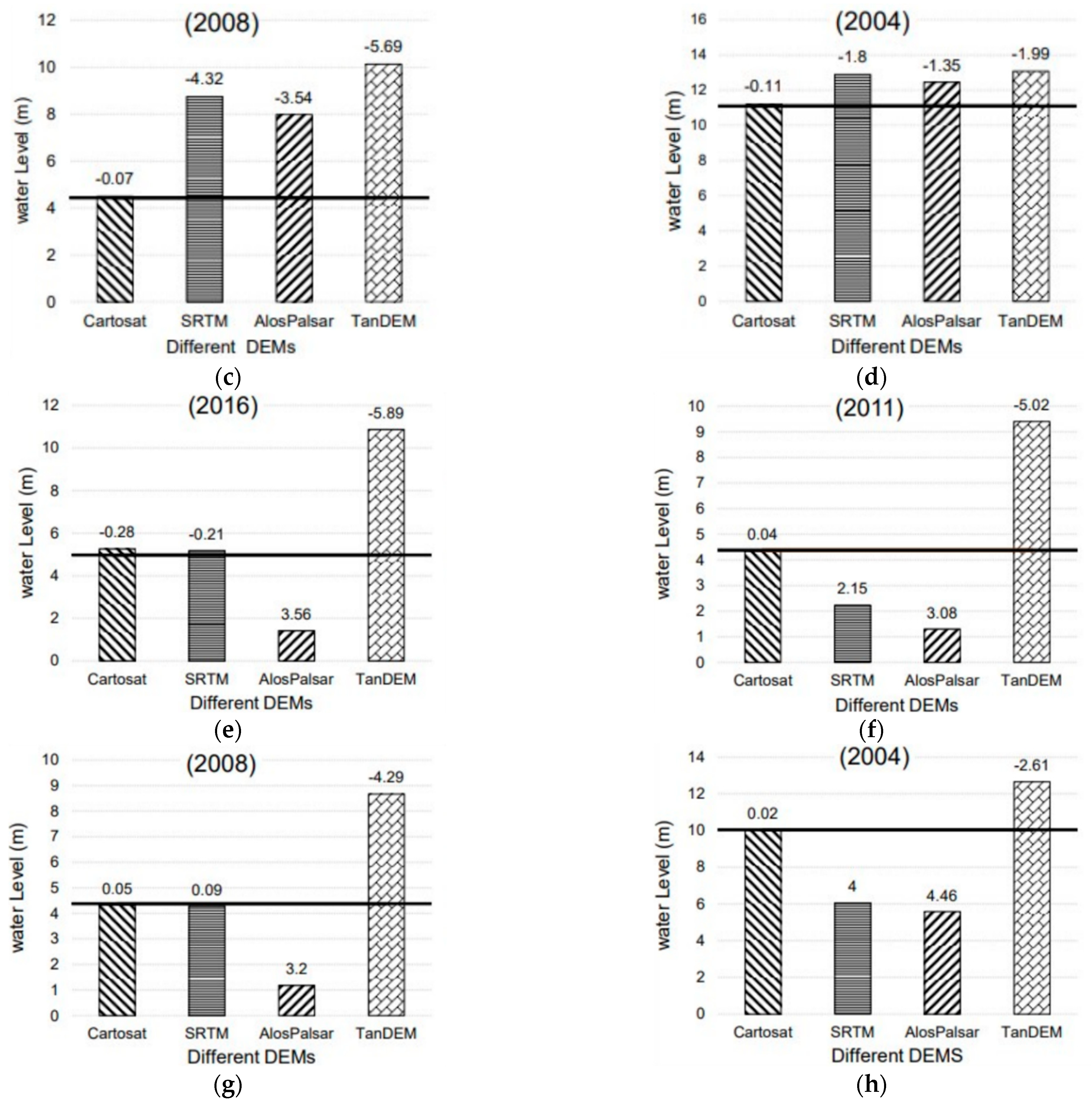
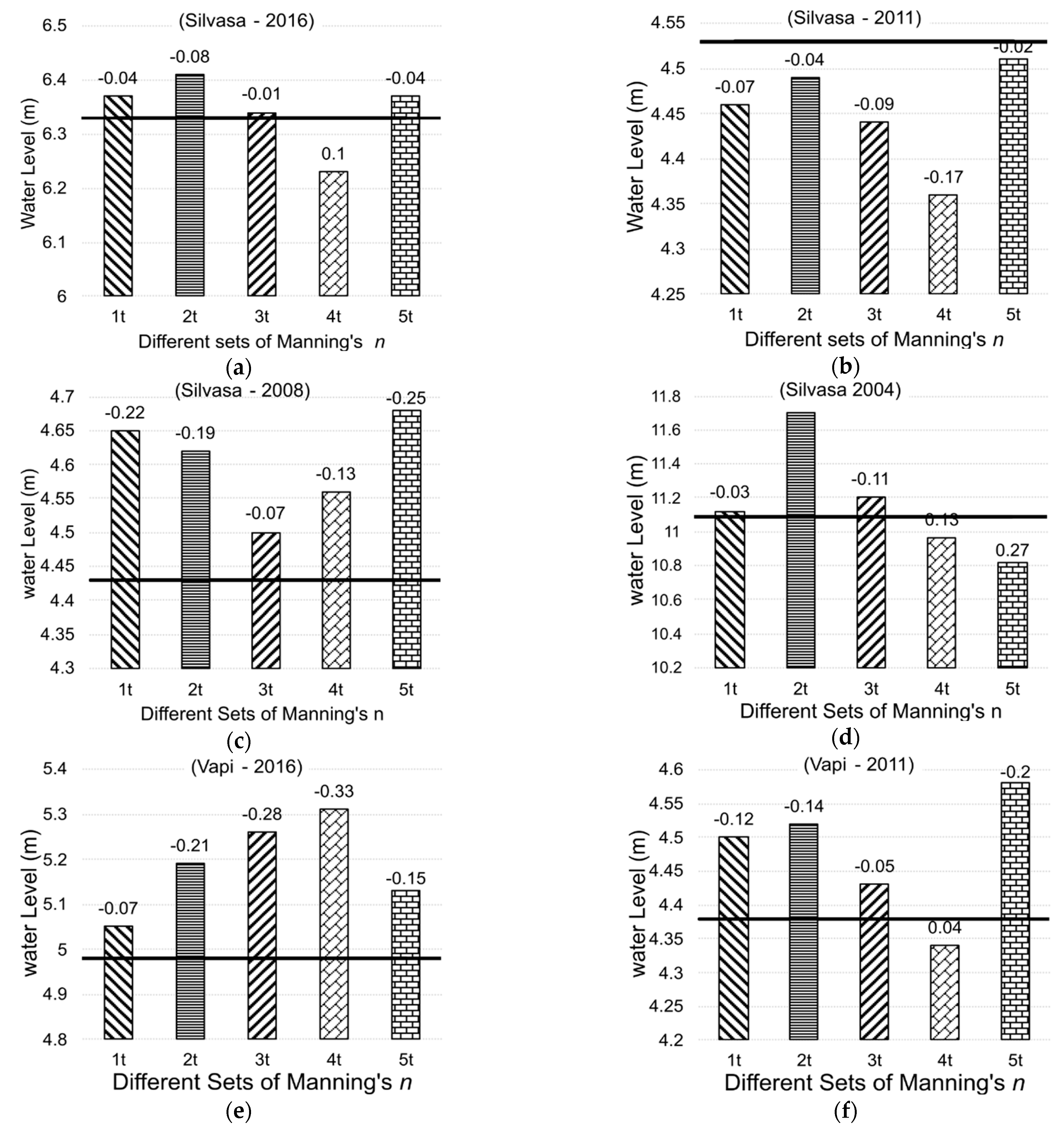
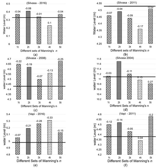
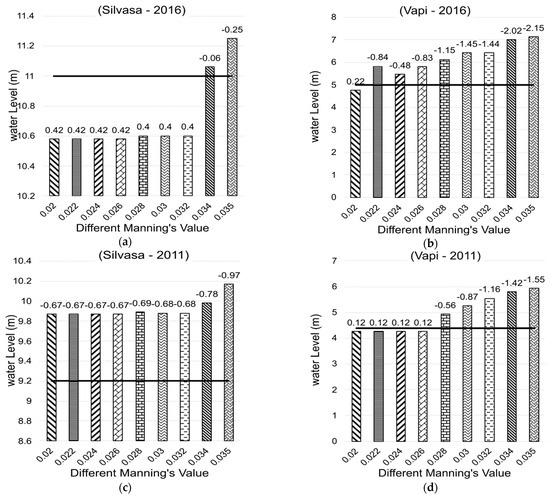
4.1. Evaluating Efficacy of Different DEMs for Hydrodynamic Modeling
4.2. Results of Flood Frequency Analysis (FFA)
4.3. Mapping of Flood Risk River Sections
4.4. Mapping of Flood Inundation and Risk Areas in Floodplain
4.5. Climate Change and Importance of Flood Modeling
4.6. Limitations and Future Scope of the Study
5. Summary and Conclusions
Author Contributions
Funding
Data Availability Statement
Conflicts of Interest
References
- Mangukiya, N.K.; Sharma, A. Flood risk mapping for the lower Narmada basin in India: A machine learning and IoT-based framework. Nat. Hazards 2022, 113, 1285–1304. [Google Scholar] [CrossRef]
- Tanoue, M.; Hirabayashi, Y.; Ikeuchi, H. Global-scale river flood vulnerability in the last 50 years. Sci. Rep. 2016, 6, 36021. [Google Scholar] [CrossRef] [PubMed]
- Dash, P.; Punia, M. Governance and disaster: Analysis of land use policy with reference to Uttarakhand flood 2013, India. Int. J. Disaster Risk Reduct. 2019, 36, 101090. [Google Scholar] [CrossRef]
- Huong, H.T.L.; Pathirana, A. Urbanization and climate change impacts on future urban flooding in Can Tho city, Vietnam. Hydrol. Earth Syst. Sci. 2013, 17, 379–394. [Google Scholar] [CrossRef]
- Mohanty, M.P.; Mudgil, S.; Karmakar, S. Flood management in India: A focussed review on the current status and future challenges. Int. J. Disaster Risk Reduct. 2020, 49, 101660. [Google Scholar] [CrossRef]
- Mohapatra, P.K.; Singh, R.D. Flood Management in India. Nat. Hazards 2003, 28, 131–143. [Google Scholar] [CrossRef]
- Nanditha, J.; Mishra, V. On the need of ensemble flood forecast in India. Water Secur. 2021, 12, 100086. [Google Scholar] [CrossRef]
- National Institution for Transforming India (NITI). Report of the Committee Constituted for Formulation of Strategy for Flood Management Works in Entire Country and River Management Activities and Works Related to Border Areas (2021–2026); NITI: New Delhi, India, 2021; 120p. Available online: https://www.preventionweb.net/publication/report-committee-constituted-formulation-strategy-flood-management-works-entire-country (accessed on 12 February 2023).
- National Institute of Disaster Management (NIDM). Hydro-Meteorological Disasters Characteristics of Flood; NIDM: New Delhi, India, 2007; pp. 1–46. Available online: https://nidm.gov.in/PDF/Disaster_hymet.pdf (accessed on 12 February 2023).
- Singh, R.D. Real-Time flood Forecasting: Indian Experience. In Hydrological Modelling in Arid and Semi-Arid Areas; Wheater, H., Sorooshian, S., Sharma, K.D., Eds.; Cambridge University Press: Cambridge, UK, 2007; pp. 139–156. ISBN 9780521869. [Google Scholar] [CrossRef]
- Tripathi, P. Flood Disaster in India: An Analysis of trend and Preparedness. Interdiscip. J. Contemp. Res. 2015, 2, 91–98. [Google Scholar]
- Yadav, S.M.; Mangukiya, N.K. Semi-arid River Basin Flood: Causes, Damages, and Measures. In Proceedings of the Fifth International Conference in Ocean Engineering (ICOE2019); Sundar, V., Sannasiraj, S.A., Sriram, V., Nowbuth, M.D., Eds.; Lecture Notes in Civil Engineering; Springer: Singapore, 2021; Volume 106, pp. 201–212. [Google Scholar] [CrossRef]
- Lim, N.; Brandt, S. Flood map boundary sensitivity due to combined effects of DEM resolution and roughness in relation to model performance. Geomat. Nat. Hazards Risk 2019, 10, 1613–1647. [Google Scholar] [CrossRef]
- Whipple, A.A.; Viers, J.H.; Dahlke, H.E. Flood regime typology for floodplain ecosystem management as applied to the unregulated Cosumnes River of California, United States. Ecohydrology 2017, 10, e1817. [Google Scholar] [CrossRef]
- Abdrabo, K.I.; Kantoush, S.A.; Saber, M.; Sumi, T.; Habiba, O.M.; Elleithy, D.; Elboshy, B. Integrated Methodology for Urban Flood Risk Mapping at the Microscale in Ungauged Regions: A Case Study of Hurghada, Egypt. Remote Sens. 2020, 12, 3548. [Google Scholar] [CrossRef]
- Mangukiya, N.K.; Yadav, S.M. Integrating 1D and 2D hydrodynamic models for semi-arid river basin flood simulation. Int. J. Hydrol. Sci. Technol. 2022, 14, 206–228. [Google Scholar] [CrossRef]
- Mehta, D.J.; Yadav, S.M. Hydrodynamic Simulation of River Ambica for Riverbed Assessment: A Case Study of Navsari Region. Lect. Notes Civ. Eng. 2020, 39, 127–140. [Google Scholar] [CrossRef]
- Mehta, D.J.; Eslamian, S.; Prajapati, K. Flood modelling for a data-scare semi-arid region using 1-D hydrodynamic model: A case study of navsari region. Model. Earth Syst. Environ. 2021, 8, 2675–2685. [Google Scholar] [CrossRef]
- Pramanik, N.; Panda, R.K.; Sen, D. One Dimensional Hydrodynamic Modeling of River Flow Using DEM Extracted River Cross-sections. Water Resour. Manag. 2010, 24, 835–852. [Google Scholar] [CrossRef]
- Shustikova, I.; Domeneghetti, A.; Neal, J.C.; Bates, P.; Castellarin, A. Comparing 2D capabilities of HEC-RAS and LISFLOOD-FP on complex topography. Hydrol. Sci. J. 2019, 64, 1769–1782. [Google Scholar] [CrossRef]
- Timbadiya, P.V.; Patel, P.L.; Porey, P.D. Hec-Ras Based Hydrodynamic Model in Prediction of Stages of Lower Tapi River. ISH J. Hydraul. Eng. 2011, 17, 110–117. [Google Scholar] [CrossRef]
- Timbadiya, P.V.; Patel, P.L.; Porey, P.D. A 1D–2D Coupled Hydrodynamic Model for River Flood Prediction in a Coastal Urban Floodplain. J. Hydrol. Eng. 2015, 20, 05014017. [Google Scholar] [CrossRef]
- Bales, J.; Wagner, C. Sources of uncertainty in flood inundation maps. J. Flood Risk Manag. 2009, 2, 139–147. [Google Scholar] [CrossRef]
- Beven, K.; Lamb, R.; Leedal, D.; Hunter, N. Communicating uncertainty in flood inundation mapping: A case study. Int. J. River Basin Manag. 2015, 13, 285–295. [Google Scholar] [CrossRef]
- Bellos, V.; Kourtis, I.M.; Moreno-Rodenas, A.; Tsihrintzis, V.A. Quantifying Roughness Coefficient Uncertainty in Urban Flooding Simulations through a Simplified Methodology. Water 2017, 9, 944. [Google Scholar] [CrossRef]
- Khojeh, S.; Ataie-Ashtiani, B.; Hosseini, S.M. Effect of DEM resolution in flood modeling: A case study of Gorganrood River, Northeastern Iran. Nat. Hazards 2022, 112, 2673–2693. [Google Scholar] [CrossRef]
- Muthusamy, M.; Casado, M.R.; Butler, D.; Leinster, P. Understanding the effects of Digital Elevation Model resolution in urban fluvial flood modelling. J. Hydrol. 2021, 596, 126088. [Google Scholar] [CrossRef]
- Papaioannou, G.; Vasiliades, L.; Loukas, A.; Aronica, G.T. Probabilistic flood inundation mapping at ungauged streams due to roughness coefficient uncertainty in hydraulic modelling. Adv. Geosci. 2017, 44, 23–34. [Google Scholar] [CrossRef]
- Pathan, A.I.; Agnihotri, P.G.; Eslamian, S.; Patel, D. Comparative analysis of 1D hydrodynamic flood model using globally available DEMs—A case of the coastal region. Int. J. Hydrol. Sci. Technol. 2022, 13, 92. [Google Scholar] [CrossRef]
- Wohl, E.E. Uncertainty in Flood Estimates Associated with Roughness Coefficient. J. Hydraul. Eng. 1998, 124, 219–223. [Google Scholar] [CrossRef]
- Farr, T.G.; Rosen, P.A.; Caro, E.; Crippen, R.; Duren, R.; Hensley, S.; Kobrick, M.; Paller, M.; Rodriguez, E.; Roth, L.; et al. The Shuttle Radar Topography Mission. Rev. Geophys. 2007, 45, RG2004. [Google Scholar] [CrossRef]
- Samarasinghe, J.T.; Basnayaka, V.; Gunathilake, M.B.; Azamathulla, H.M.; Rathnayake, U. Comparing combined 1D/2d and 2D hydraulic simulations using high-resolution topographic data: Examples from Sri Lanka—Lower kelani river basin. Hydrology 2022, 9, 39. [Google Scholar] [CrossRef]
- Muhadi, N.A.; Abdullah, A.F.; Bejo, S.K.; Mahadi, M.R.; Mijic, A. The Use of LiDAR-Derived DEM in Flood Applications: A Review. Remote Sens. 2020, 12, 2308. [Google Scholar] [CrossRef]
- Brandt, S.A. Modeling and visualizing uncertainties of flood boundary delineation: Algorithm for slope and DEM resolution dependencies of 1D hydraulic models. Stoch. Environ. Res. Risk Assess. 2016, 30, 1677–1690. [Google Scholar] [CrossRef]
- McClean, F.; Dawson, R.; Kilsby, C. Implications of Using Global Digital Elevation Models for Flood Risk Analysis in Cities. Water Resour. Res. 2020, 56, e2020WR028241. [Google Scholar] [CrossRef]
- Li, J.; Wong, D.W. Effects of DEM sources on hydrologic applications. Comput. Environ. Urban Syst. 2010, 34, 251–261. [Google Scholar] [CrossRef]
- Brunner, G. HEC-RAS river Analysis System, Hydraulic Reference Manual, Version 4.1; Technical Report; US Army Corps of Engineers Hydrologic Engineering Center: Davis, CA, USA, 2010.
- Gumbel, E.J. The Return Period of Flood Flows. Ann. Math. Stat. 1941, 12, 163–190. [Google Scholar] [CrossRef]
- Hoshi, K.; Stedinger, J.R.; Burges, S.J. Estimation of log-normal quantiles: Monte Carlo results and first-order approximations. J. Hydrol. 1984, 71, 1–30. [Google Scholar] [CrossRef]
- Phien, H.N.; Ajirajah, T.J. Applications of the log Pearson type-3 distribution in hydrology. J. Hydrol. 1984, 73, 359–372. [Google Scholar] [CrossRef]
- Distributed Active Archive Center. ALOS PALSAR—Radiometric Terrain Correction, PALSAR_Radiometric_Terrain_Corrected_high_res. 2015. Available online: https://asf.alaska.edu/data-sets/derived-data-sets/alos-palsar-rtc/alos-palsar-radiometric-terrain-correction/ (accessed on 12 February 2023). [CrossRef]
- German Aerospace Center (DLR). TanDEM-X—Digital Elevation Model (DEM)—Global, 90m; German Aerospace Center (DLR): Oberpfaffenhofen, Germany, 2018. [Google Scholar] [CrossRef]
- CartoDEM Project. Augmented Stereo Strip Triangulation (ASST) Software Analysis Architecture Document—Report SAC/RESIPA/SIPG/CARTODEM/TN-01/February; Space Application Centre (ISRO): Ahmedabad, India, 2008.
- Pathan, A.I.; Agnihotri, P.G. Application of new HEC-RAS version 5 for 1D hydrodynamic flood modeling with special reference through geospatial techniques: A case of River Purna at Navsari, Gujarat, India. Model. Earth Syst. Environ. 2021, 7, 1133–1144. [Google Scholar] [CrossRef]
- Pathan, A.I.; Agnihotri, P.G.; Patel, D.; Prieto, C. Identifying the efficacy of tidal waves on flood assessment study—A case of coastal urban flooding. Arab. J. Geosci. 2021, 14, 2132. [Google Scholar] [CrossRef]
- Subramanya, K. Engineering Hydrology, 4th ed.; Tata McGraw-Hill Education: New York, NY, USA, 2013. [Google Scholar]
- Chow, V.T. Open-Channel Hydraulics; McGraw-Hill: New York, NY, USA, 1959. [Google Scholar]
- Mangukiya, N.K.; Mehta, D.J.; Jariwala, R. Flood frequency analysis and inundation mapping for lower Narmada basin, India. Water Pract. Technol. 2022, 17, 612–622. [Google Scholar] [CrossRef]
- Asante, K.O.; Artan, G.A.; Pervez, S.; Bandaragoda, C.; Verdin, J.P. Technical Manual for the Geospatial Stream Flow Model (GeoSFM). World Wide Web 2008, 605, 594–6151. [Google Scholar] [CrossRef]
- Gunathilake, M.B.; Amaratunga, Y.V.; Perera, A.; Chathuranika, I.M.; Gunathilake, A.S.; Rathnayake, U. Evaluation of future climate and potential impact on streamflow in the Upper Nan River basin of Northern Thailand. Adv. Meteorol. 2020, 2020, 8881118. [Google Scholar] [CrossRef]
- Emmanouil, S.; Langousis, A.; Nikolopoulos, E.I.; Anagnostou, E.N. Exploring the Future of Rainfall Extremes over CONUS: The Effects of High Emission Climate Change Trajectories on the Intensity and Frequency of Rare Precipitation Events. Earths Future 2023, 11, e2022EF003039. [Google Scholar] [CrossRef]
- Lei, C.; Yu, Z.; Sun, X.; Wang, Y.; Yuan, J.; Wang, Q.; Han, L.; Xu, Y. Urbanization effects on intensifying extreme precipitation in the rapidly urbanized Tai Lake Plain in East China. Urban Clim. 2023, 47, 101399. [Google Scholar] [CrossRef]
- Tamm, O.; Saaremäe, E.; Rahkema, K.; Jaagus, J.; Tamm, T. The intensification of short-duration rainfall extremes due to climate change—Need for a frequent update of intensity–duration–frequency curves. Clim. Serv. 2023, 30, 100349. [Google Scholar] [CrossRef]
- Qiu, J.; Shen, Z.; Xie, H. Drought impacts on hydrology and water quality under climate change. Sci. Total Environ. 2023, 858, 159854. [Google Scholar] [CrossRef]
- Ogunrinde, A.T.; Oguntunde, P.G.; Akinwumiju, A.S.; Fasinmirin, J.T.; Adawa, I.S.; Ajayi, T.A. Effects of climate change and drought attributes in Nigeria based on RCP 8.5 climate scenario. Phys. Chem. Earth Parts A/B/C 2023, 129, 103339. [Google Scholar] [CrossRef]
- Rusca, M.; Savelli, E.; Di Baldassarre, G.; Biza, A.; Messori, G. Unprecedented droughts are expected to exacerbate urban inequalities in Southern Africa. Nat. Clim. Chang. 2022, 13, 98–105. [Google Scholar] [CrossRef]
- Sahana, V.; Mondal, A. Evolution of multivariate drought hazard, vulnerability and risk in India under climate change. Nat. Hazards Earth Syst. Sci. 2023, 23, 623–641. [Google Scholar] [CrossRef]















| Gumbel’s EV | Log-Pearson Type III | ||
|---|---|---|---|
| Parameters | Calculated Value | Parameters | Calculated Value |
| Number of years (N) | 30 | Number of years (N) | 30 |
| 4318.702 | 3.567 | ||
| Standard deviation (σx) | 2974.462 | Standard deviation (σz) | 0.240 |
| Reduced mean (Yn) | 0.536 | Coefficient of Skewness (Cs) | 0.273 |
| Reduced standard deviation (Sn) | 1.112 | ||
| Return Period (T) | Gumbel’s EV Method | LP-III Method | ||||
|---|---|---|---|---|---|---|
| YT | KT | XT | KZ | ZT | Qt = Antilog (ZT) | |
| 10 | 2.250 | 1.541517 | 8903.887 | 1.307 | 3.8808 | 7600.0 |
| 25 | 3.199 | 2.394185 | 11,440.116 | 1.841 | 4.0092 | 10,213.4 |
| 50 | 3.902 | 3.026743 | 13,321.635 | 2.196 | 4.0945 | 12,430.8 |
| 100 | 4.600 | 3.654631 | 15,189.261 | 2.525 | 4.1736 | 14,913.6 |
| LULC Class | Manning’s n | ||||
|---|---|---|---|---|---|
| 1t | 2t | 3t | 4t | 5t | |
| Water | 0.02 | 0.03 | 0.02 | 0.04 | 0.02 |
| Built-up area | 0.1 | 0.12 | 0.09 | 0.08 | 0.13 |
| Trees | 0.16 | 0.16 | 0.15 | 0.14 | 0.017 |
| Crops | 0.03 | 0.032 | 0.035 | 0.036 | 0.038 |
| Flooded vegetation | 0.05 | 0.06 | 0.07 | 0.08 | 0.09 |
| Bare ground | 0.022 | 0.024 | 0.025 | 0.027 | 0.026 |
| Shrub | 0.13 | 0.13 | 0.11 | 0.09 | 0.14 |
Disclaimer/Publisher’s Note: The statements, opinions and data contained in all publications are solely those of the individual author(s) and contributor(s) and not of MDPI and/or the editor(s). MDPI and/or the editor(s) disclaim responsibility for any injury to people or property resulting from any ideas, methods, instructions or products referred to in the content. |
© 2023 by the authors. Licensee MDPI, Basel, Switzerland. This article is an open access article distributed under the terms and conditions of the Creative Commons Attribution (CC BY) license (https://creativecommons.org/licenses/by/4.0/).
Share and Cite
Gangani, P.; Mangukiya, N.K.; Mehta, D.J.; Muttil, N.; Rathnayake, U. Evaluating the Efficacy of Different DEMs for Application in Flood Frequency and Risk Mapping of the Indian Coastal River Basin. Climate 2023, 11, 114. https://doi.org/10.3390/cli11050114
Gangani P, Mangukiya NK, Mehta DJ, Muttil N, Rathnayake U. Evaluating the Efficacy of Different DEMs for Application in Flood Frequency and Risk Mapping of the Indian Coastal River Basin. Climate. 2023; 11(5):114. https://doi.org/10.3390/cli11050114
Chicago/Turabian StyleGangani, Parth, Nikunj K. Mangukiya, Darshan J. Mehta, Nitin Muttil, and Upaka Rathnayake. 2023. "Evaluating the Efficacy of Different DEMs for Application in Flood Frequency and Risk Mapping of the Indian Coastal River Basin" Climate 11, no. 5: 114. https://doi.org/10.3390/cli11050114
APA StyleGangani, P., Mangukiya, N. K., Mehta, D. J., Muttil, N., & Rathnayake, U. (2023). Evaluating the Efficacy of Different DEMs for Application in Flood Frequency and Risk Mapping of the Indian Coastal River Basin. Climate, 11(5), 114. https://doi.org/10.3390/cli11050114

