Time Series Homogenization with ACMANT: Comparative Testing of Two Recent Versions in Large-Size Synthetic Temperature Datasets
Abstract
:1. Introduction
2. Main Concepts and Methods of Climate Data Homogenization
- (a)
- Time series comparison: This is usually solved either using (i) composite reference series or using (ii) pairwise comparisons. Further possibilities are (iii) the use of multiple reference series or (iv) combined time series comparison.
- (i)
- A composite reference series includes the simple or weighted average of some selected neighbor series [1,24]. With the averaging, the impacts of possible inhomogeneities in the neighbor series are attenuated. Weightings can be applied according to the squared spatial correlations [24] or using ordinary kriging [25].
- (ii)
- Pairwise comparisons: The candidate series is compared one-by-one to each of the selected neighbor series [8,26]. The detected breaks in individual time series comparisons are subjected to a final evaluation. An automated version of this procedure has been developed [9]. Pairwise comparison is often considered a modern and powerful homogenization tool [4,10,27,28], although this method has both advantages and drawbacks in comparison to the use of composite reference series [29].
- (iii)
- (iv)
- Combined time series comparison: First, the break detection is performed using pairwise comparisons, then the break detection is repeated using composite reference series. In the second step of the combined time series comparison, the dates of the breakpoints detected in the first step are set as fix break positions, and only possible additional breaks are searched in the second step [18].
- (b)
- Detection of inhomogeneities: A large number of inhomogeneity detection methods have been used in the history of climate data homogenization. Most inhomogeneity detection methods detect breaks only, and in the modern homogenization practice inhomogeneity detection always means break detection. This is because the modeling of more complex inhomogeneity structures than breaks acts as an additional error source in the inhomogeneity detection [31]. In the use of break detection methods, gradually changing inhomogeneity biases are approached with the detection of one or more breaks, and the methods must be prepared to detect multiple break occurrences. From this point of view, break detection methods can be sorted to three main groups: (i) iterative, hierarchical approach to the final solution with the detection of one break in an iteration step, and cutting the time series into two parts at the detected breakpoint (binary segmentation) [32] to examine them separately for the detection of possible further breaks; (ii) direct detection of multiple break structures; and (iii) the use of moving windows (i.e., sections of time series) for detecting one or zero breaks in each window.
- (i)
- There are a large variety of single break detection methods. The maximum likelihood methods like the Bayesian test [33] or Penalized Maximal t Test (PMT) [34] are the best methods, but their advantage over many other methods is minor [31]. Another type of method, the Standard Normal Homogeneity Test (SNHT) [35], is the most commonly used single break detection method. SNHT is a likelihood ratio test, and its simplicity compensates for the minor and practically imperceptible decrease in accuracy relative to the maximum likelihood methods.
- (ii)
- The direct detection of multiple break structures is performed mostly using step function fitting, following the model of [8]. Its bivariate version was developed by Domonkos [12]. A different kind of multiple break detection method is applied by Szentimrey [7,20]. Beyond these, there exists a method in which all breaks of a network of time series are jointly detected (joint segmentation [36]). It is included in HOMER [10,37,38] and Bart [19,39] and is known as Joint detection.
- (iii)
- Break detection using moving windows: such methods are generally not recommended since their results are generally poor due to the limited coherence between the pieces of the break detection results. However, in Climatol [11,40,41,42] a combination of binary segmentation and moving windows is applied with very good results [13,16,17,43].
- (c)
- Corrections for removing inhomogeneity biases: Various methods are in use, but in relative homogenization one method clearly outperforms the others, and it is the joint calculation of correction terms for the network of time series whose data are homogenized together. The so-called ANOVA correction model was introduced to homogenization by Henry Caussinus and Olivier Mestre [8]. The model does not presume conditions other than those that are generally used in relative homogenization; hence, it does not have any specific error source. The joint calculation of correction terms is based on an equation system, in which the slightly modified forms of Equation (1) are written for each time point of the time series and also for each homogeneous section (i.e., sections between two adjacent detected breakpoints, or between an endpoint of the time series and the closest detected break to the endpoint) of each time series [8,12,37,44,45]. The ANOVA correction model has a more developed version, referred to as the weighted ANOVA model [12] in which the spatial variation in the climate signal is taken into account. The ANOVA correction model is applied in PRODIGE, HOMER, Bart, AHOPS [30], and ACMANT.
3. Data
3.1. Properties of the Source Dataset
3.2. Dense Test Dataset
3.3. Moderately Dense Test Dataset
4. ACMANT Homogenization Method
4.1. ACMANTv5.1
4.2. Version A52
- (i)
- The length of the overlapping periods in the use of relative time series for break detection is changed. The concept and practice of using overlapping relative time series are presented at section B6 and step 10.1 of the ACMANTv4 description [12]. As a first approach, only one relative time series is used, always the one with the highest β score. This score is determined primarily using the number of neighbor series included in the composite reference series, but some other factors are also considered. However, close to any endpoint of a relative time series (which can be different to the endpoints of the candidate series), the reliability of break detection is reduced. Therefore, overlapping of relative time series is applied when it helps to cease or reduce such edge effects. In ACMANTv5.1, the maximum length of the overlap is 9 years, while in A52 it is increased to 15 years. However, when a detected break point is close to the endpoint of the previously used relative time series, the overlap by the lately used relative time series extends only to the timing of that detected break. This parameter change is applied in all break detection steps of A52 when multiple relative time series are used.
- (ii)
- The creation of relative time series for break detection in the first homogenization cycle is modified. The applied modifications partly change the content of steps 9.1–9.3 of ACMANTv4. Note that in ACMANTv5, these steps are part of the combined time series comparison.
- (iii)
- In the gap filling steps of A52, the use of monthly data is preferred in several details of the procedure, even when daily data homogenization is performed. The earlier concept of always using daily data for gap filling in daily data homogenization was based on the fact that monthly values may have elevated uncertainty when some of their daily data are missing. However, tests proved (not shown) that the use of daily data in gap filling does not yield perceptible accuracy improvement in the final results, except for a few details of the procedure, which are presented here and still considered in A52. The motivation of these changes is that the reduction in using daily data in gap filling steps often significantly reduces the computational time.
4.3. Version A53
- (a)
- Generation of large networks: identical to the network construction of the earlier method versions (see step 3.6 of the ACMANTv4 description).
- (b)
- Generation of small networks:
- (i)
- First, the best correlating 20 neighbor series are selected.
- (ii)
- When the first 20 neighbor series do not cover parts of the homogenized section of the candidate series sufficiently, further neighbor series are selected when neighbor series s with index S > 0 can be found (Equation (11)).
- (c)
- Use of small networks and large networks in A53: In most parts of A53 the small network is used. The exceptions are the second step of the combined time series comparison, i.e., the break detection with composite reference series in the first homogenization cycle, and the preparatory steps for that break detection step.
4.4. Selection of Method Versions
5. Efficiency Measures
- (i)
- RMSE of daily values:
- (ii)
- RMSE of annual values:
- (iii)
- Absolute value of linear trend bias (Trb) when trend slopes are denoted with α:
- (iv)
- The improvement in ACMANTv5 in comparison with the ACMANTv4 results is characterized with the Z-index [18].
6. Results
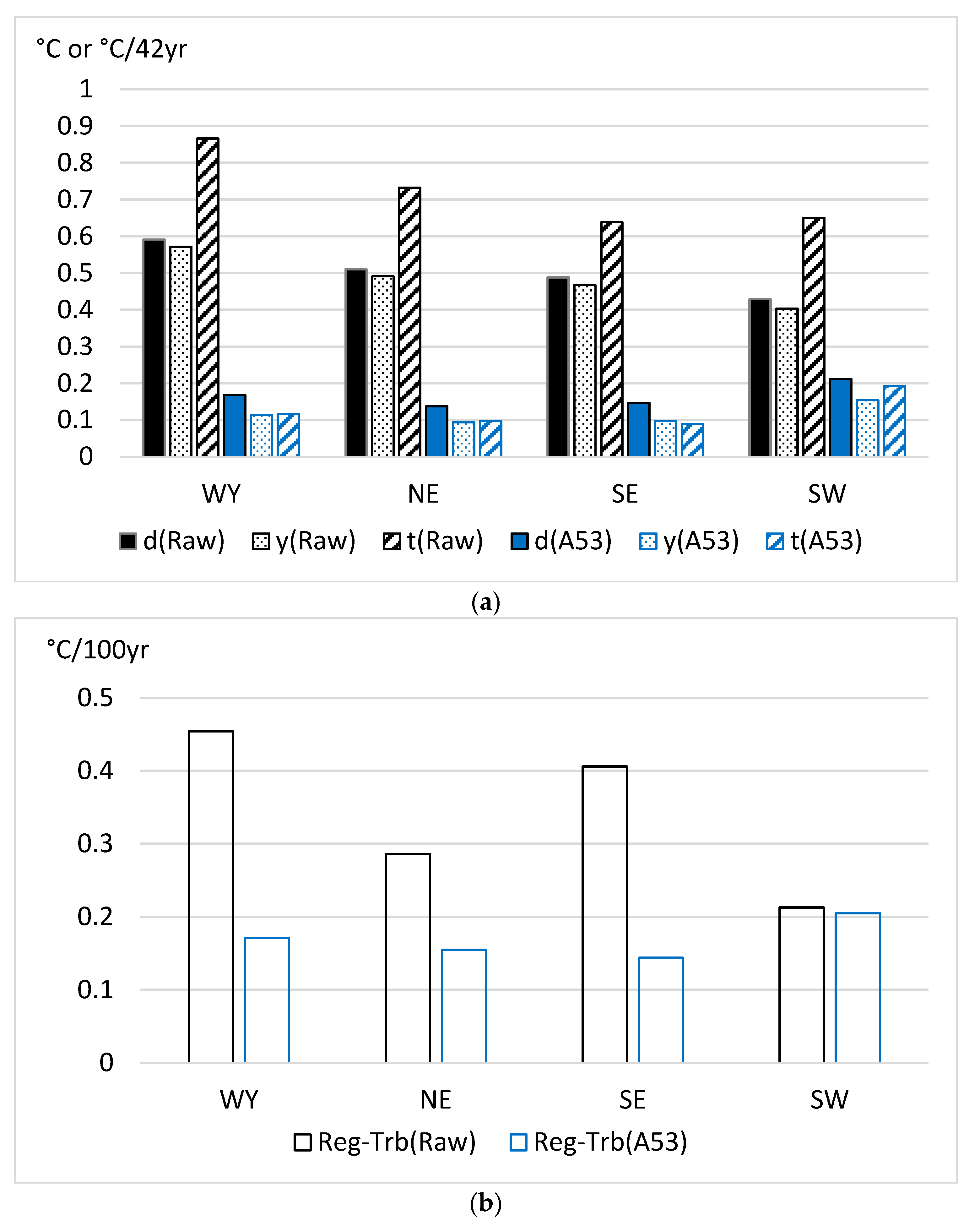
6.1. Results for the Dense Test Dataset
6.2. Results for the Moderately Dense Dataset
6.3. Z-Index of Accuracy Improvement
7. Discussion
- (i)
- Homogenization methods are applied for several climate variables and for data observed under varied geographical conditions and using varied observation practices. Therefore, the differences found between homogenization efficiencies might be related to larger and more important absolute differences in climate characteristics than those for the K2016 dataset.
- (ii)
8. Conclusions
- The found differences between ACMANTv5 accuracy and ACMANTv4 accuracy are generally small, and ACMANTv5 often gave slightly worse results than ACMANTv4.
- A reduction in network sizes reduced the RMSE and station specific trend errors of ACMANTv5, while it did not change the regional mean trend biases significantly.
- Regional mean trend biases are particularly sensitive both to the simulated climate properties of the test dataset and to the fine details of the applied homogenization method. Therefore, further improvements in the creation and use of more high-quality homogenous test datasets are needed.
- The joint analysis of the results of this study and an earlier study indicates that the inclusion of combined time series comparison in ACMANT is likely favorable.
Funding
Data Availability Statement
Conflicts of Interest
References
- Moberg, A.; Alexandersson, H. Homogenization of Swedish temperature data. Part II: Homogenized gridded air temperature compared with a subset of global gridded air temperature since 1861. Int. J. Climatol. 1997, 17, 35–54. [Google Scholar] [CrossRef]
- Auer, I.; Böhm, R.; Jurkovic, A.; Orlik, A.; Potzmann, R.; Schöner, W.; Ungersböck, M.; Brunetti, M.; Nanni, T.; Maugeri, M.; et al. A new instrumental precipitation dataset for the Greater Alpine Region for the period 1800–2002. Int. J. Climatol. 2005, 25, 139–166. [Google Scholar] [CrossRef]
- Begert, M.; Schlegel, T.; Kirchhofer, W. Homogeneous temperature and precipitation series of Switzerland from 1864 to 2000. Int. J. Climatol. 2005, 25, 65–80. [Google Scholar] [CrossRef]
- Menne, M.J.; Williams, C.N.; Vose, R.S. The U.S. Historical Climatology Network Monthly Temperature Data, Version 2. Bull. Am. Meteor. Soc. 2009, 90, 993–1008. [Google Scholar] [CrossRef]
- Haimberger, L.; Tavolato, C.; Sperka, S. Homogenization of the global radiosonde temperature dataset through combined comparison with reanalysis background series and neighboring stations. J. Clim. 2012, 25, 8108–8131. [Google Scholar] [CrossRef]
- Nguyen, K.N.; Quarello, A.; Bock, O.; Lebarbier, E. Sensitivity of change-point detection and trend estimates to GNSS IWV time series properties. Atmosphere 2021, 12, 1102. [Google Scholar] [CrossRef]
- Szentimrey, T. Multiple Analysis of Series for Homogenization (MASH). In Second Seminar for Homogenization of Surface Climatological Data; Szalai, S., Szentimrey, T., Szinell, C., Eds.; WMO WCDMP-41; WMO: Geneva, Switzerland, 1999; pp. 27–46. [Google Scholar]
- Caussinus, H.; Mestre, O. Detection and correction of artificial shifts in climate series. J. R. Stat. Soc. Ser. C Appl. Stat. 2004, 53, 405–425. [Google Scholar] [CrossRef]
- Menne, M.J.; Williams, C.N., Jr. Homogenization of temperature series via pairwise comparisons. J. Clim. 2009, 22, 1700–1717. [Google Scholar] [CrossRef]
- Mestre, O.; Domonkos, P.; Picard, F.; Auer, I.; Robin, S.; Lebarbier, E.; Böhm, R.; Aguilar, E.; Guijarro, J.; Vertacnik, G.; et al. HOMER: Homogenization software in R—Methods and applications. Időjárás 2013, 117, 47–67. [Google Scholar]
- Guijarro, J.A. Homogenization of Climatic Series with Climatol; 2018. Available online: http://www.climatol.eu/homog_climatol-en.pdf (accessed on 25 September 2023).
- Domonkos, P. ACMANTv4: Scientific Content and Operation of the Software; 2020, 71p. Available online: https://github.com/dpeterfree/ACMANT/blob/ACMANTv4.4/ACMANTv4_description.pdf (accessed on 25 September 2023).
- Killick, R.E. Benchmarking the Performance of Homogenisation Algorithms on Daily Temperature Data. Ph.D. Thesis, University of Exeter, Exeter, UK, 2016. Available online: https://ore.exeter.ac.uk/repository/handle/10871/23095 (accessed on 5 November 2023).
- Chimani, B.; Venema, V.; Lexer, A.; Andre, K.; Auer, I.; Nemec, J. Inter-comparison of methods to homogenize daily relative humidity. Int. J. Climatol. 2018, 38, 3106–3122. [Google Scholar] [CrossRef]
- Guijarro, J.A. Recommended Homogenization Techniques Based on Benchmarking Results. WP-3 Report of INDECIS Project. 2019. Available online: http://www.indecis.eu/docs/Deliverables/Deliverable_3.2.b.pdf (accessed on 25 September 2023).
- Domonkos, P.; Guijarro, J.A.; Venema, V.; Brunet, M.; Sigró, J. Efficiency of time series homogenization: Method comparison with 12 monthly temperature test datasets. J. Clim. 2021, 34, 2877–2891. [Google Scholar] [CrossRef]
- Guijarro, J.A.; López, J.A.; Aguilar, E.; Domonkos, P.; Venema, V.K.C.; Sigró, J.; Brunet, M. Homogenization of monthly series of temperature and precipitation: Benchmarking results of the MULTITEST project. Int. J. Climatol. 2023, 43, 3994–4012. [Google Scholar] [CrossRef]
- Domonkos, P. Combination of using pairwise comparisons and composite reference series: A new approach in the homogenization of climatic time series with ACMANT. Atmosphere 2021, 12, 1134. [Google Scholar] [CrossRef]
- Joelsson, L.M.T.; Sturm, C.; Södling, J.; Engström, E.; Kjellström, E. Automation and evaluation of the interactive homogenization tool HOMER. Int. J. Climatol. 2022, 42, 2861–2880. [Google Scholar] [CrossRef]
- Szentimrey, T. Overview of mathematical background of homogenization, summary of method MASH and comments on benchmark validation. Int. J. Climatol. 2023. early view. [Google Scholar] [CrossRef]
- Venema, V.; Mestre, O.; Aguilar, E.; Auer, I.; Guijarro, J.A.; Domonkos, P.; Vertacnik, G.; Szentimrey, T.; Štěpánek, P.; Zahradníček, P.; et al. Benchmarking monthly homogenization algorithms. Clim. Past 2012, 8, 89–115. [Google Scholar] [CrossRef]
- Lindau, R.; Venema, V.K.C. The uncertainty of break positions detected by homogenization algorithms in climate records. Int. J. Climatol. 2016, 36, 576–589. [Google Scholar] [CrossRef]
- Lindau, R.; Venema, V.K.C. The joint influence of break and noise variance on the break detection capability in time series homogenization. Adv. Stat. Clim. Meteorol. Oceanogr. 2018, 4, 1–18. [Google Scholar] [CrossRef]
- Peterson, T.C.; Easterling, D.R. Creation of homogeneous composite climatological reference series. Int. J. Climatol. 1994, 14, 671–679. [Google Scholar] [CrossRef]
- Szentimrey, T. Methodological questions of series comparison. In Sixth Seminar for Homogenization and Quality Control in Climatological Databases; Lakatos, M., Szentimrey, T., Bihari, Z., Szalai, S., Eds.; WMO WCDMP-76; WMO: Geneva, Switzerland, 2010; pp. 1–7. [Google Scholar]
- Craddock, J.M. Methods of comparing annual rainfall records for climatic purposes. Weather 1979, 34, 332–346. [Google Scholar] [CrossRef]
- Kuglitsch, F.G.; Toreti, A.; Xoplaki, E.; Della-Marta, P.M.; Luterbacher, J.; Wanner, H. Homogenization of daily maximum temperature series in the Mediterranean. J. Geophys. Res. 2009, 114, D15108. [Google Scholar] [CrossRef]
- Trewin, B. A daily homogenized temperature data set for Australia. Int. J. Climatol. 2013, 33, 1510–1529. [Google Scholar] [CrossRef]
- Domonkos, P.; Tóth, R.; Nyitrai, L. Climate Observations: Data Quality Control and Time Series Homogenization; Elsevier: Amsterdam, The Netherlands, 2022; 302p. [Google Scholar]
- Rustemeier, E.; Kapala, A.; Meyer-Christoffer, A.; Finger, P.; Schneider, U.; Venema, V.; Ziese, M.; Simmer, C.; Becker, A. AHOPS Europe—A gridded precipitation data set from European homogenized time series. In Proceedings of the Ninth Seminar for Homogenization and Quality Control in Climatological Databases; Szentimrey, T., Lakatos, M., Hoffmann, L., Eds.; WMO WCDMP-85; WMO: Geneva, Switzerland, 2017; pp. 88–101. [Google Scholar]
- Domonkos, P. Efficiency evaluation for detecting inhomogeneities by objective homogenisation methods. Theor. Appl. Climatol. 2011, 105, 455–467. [Google Scholar] [CrossRef]
- Easterling, D.R.; Peterson, T.C. A new method for detecting undocumented discontinuities in climatological time series. Int. J. Climatol. 1995, 15, 369–377. [Google Scholar] [CrossRef]
- Perreault, L.; Haché, M.; Slivitzky, M.; Bobée, B. Detection of changes in precipitation and runoff over eastern Canada and U.S. using a Bayesian approach. Stoch. Environ. Res. Risk Assess. 1999, 13, 201–216. [Google Scholar] [CrossRef]
- Wang, X.L.; Wen, Q.H.; Wu, Y. Penalized maximal t test for detecting undocumented mean change in climate data series. J. Appl. Meteor. Climatol. 2007, 46, 916–931. [Google Scholar] [CrossRef]
- Alexandersson, H. A homogeneity test applied to precipitationdata. J. Climatol. 1986, 6, 661–675. [Google Scholar] [CrossRef]
- Picard, F.; Lebarbier, E.; Hoebeke, M.; Rigaill, G.; Thiam, B.; Robin, S. Joint segmentation, calling, and normalization of multiple CGH profiles. Biostatistics 2011, 12, 413–428. [Google Scholar] [CrossRef]
- Mamara, A.; Argiriou, A.; Anadranistakis, E. Detection and correction of inhomogeneities in Greek climate temperature series. Int. J. Climatol. 2014, 34, 3024–3043. [Google Scholar] [CrossRef]
- Gofa, F.; Mamara, A.; Anadranistakis, M.; Flocas, H. Developing gridded climate data sets of precipitation for Greece based on homogenized time series. Climate 2019, 7, 68. [Google Scholar] [CrossRef]
- Joelsson, L.M.T.; Engström, E.; Kjellström, E. Homogenization of Swedish mean monthly temperature series 1860–2021. Int. J. Climatol. 2023, 43, 1079–1093. [Google Scholar] [CrossRef]
- Skrynyk, O.; Aguilar, E.; Guijarro, J.; Randriamarolaza, L.Y.A.; Bubin, S. Uncertainty evaluation of Climatol’s adjustment algorithm applied to daily air temperature time series. Int. J. Climatol. 2021, 41 (Suppl. 1), E2395–E2419. [Google Scholar] [CrossRef]
- Kessabi, R.; Hanchane, M.; Guijarro, J.A.; Krakauer, N.Y.; Addou, R.; Sadiki, A.; Belmahi, M. Homogenization and trends analysis of monthly precipitation series in the Fez-Meknes region, Morocco. Climate 2022, 10, 64. [Google Scholar] [CrossRef]
- Pita-Díaz, O.; Ortega-Gaucin, D. Analysis of anomalies and trends of climate change indices in Zacatecas, Mexico. Climate 2020, 8, 55. [Google Scholar] [CrossRef]
- Coll, J.; Domonkos, P.; Guijarro, J.; Curley, M.; Rustemeier, E.; Aguilar, E.; Walsh, S.; Sweeney, J. Application of homogenization methods for Ireland’s monthly precipitation records: Comparison of break detection results. Int. J. Climatol. 2020, 40, 6169–6188. [Google Scholar] [CrossRef]
- Lindau, R.; Venema, V. On the reduction of trend errors by the ANOVA joint correction scheme used in homogenization of climate station records. Int. J. Climatol. 2018, 38, 5255–5271. [Google Scholar] [CrossRef]
- Prohom, M.; Domonkos, P.; Cunillera, J.; Barrera-Escoda, A.; Busto, M.; Herrero-Anaya, M.; Aparicio, A.; Reynés, J. CADTEP: A new daily quality-controlled and homogenized climate database for Catalonia (1950–2021). Int. J. Climatol. 2023, 43, 4771–4789. [Google Scholar] [CrossRef]
- Williams, C.N.; Menne, M.J.; Thorne, P. Benchmarking the performance of pairwise homogenization of surface temperatures in the United States. J. Geophys. Res. 2012, 117, D05116. [Google Scholar] [CrossRef]
- Menne, M.J.; Williams, C.N.; Gleason, B.E.; Rennie, J.J.; Lawrimore, J.H. The Global Historical Climatology Network monthly temperature dataset, version 4. J. Clim. 2018, 31, 9835–9854. [Google Scholar] [CrossRef]
- Thorne, P.W.; Menne, M.J.; Williams, C.N.; Rennie, J.J.; Lawrimore, J.H.; Vose, R.S.; Peterson, T.C.; Durre, I.; Davy, R.; Esau, I.; et al. Reassessing changes in diurnal temperature range: A new data set and characterization of data biases. J. Geophys. Res. Atmos. 2016, 121, 5115–5137. [Google Scholar] [CrossRef]
- Laapas, M.; Venäläinen, A. Homogenization and trend analysis of monthly mean and maximum wind speed time series in Finland, 1959–2015. Int. J. Climatol. 2017, 37, 4803–4813. [Google Scholar] [CrossRef]
- O’Neill, P.; Connolly, R.; Connolly, M.; Soon, W.; Chimani, B.; Crok, M.; de Vos, R.; Harde, H.; Kajaba, P.; Nojarov, P.; et al. Evaluation of the homogenization adjustments applied to European temperature records in the Global Historical Climatology Network Dataset. Atmosphere 2022, 13, 285. [Google Scholar] [CrossRef]
- Vincent, L.A.; Wang, X.L.; Milewska, E.J.; Wan, H.; Yang, F.; Swail, V. A second generation of homogenized Canadian monthly surface air temperature for climate trend analysis. J. Geophys. Res. 2012, 117, D18110. [Google Scholar] [CrossRef]
- Kuglitsch, F.G.; Auchmann, R.; Bleisch, R.; Brönnimann, S.; Martius, O.; Stewart, M. Break detection of annual Swiss temperature series. J. Geophys. Res. 2012, 117, D13105. [Google Scholar] [CrossRef]
- Domonkos, P. Automatic homogenization of time series: How to use metadata? Atmosphere 2022, 13, 1379. [Google Scholar] [CrossRef]
- Prohom, M.; Barriendos, M.; Sanchez-Lorenzo, A. Reconstruction and homogenization of the longest instrumental precipitation series in the Iberian Peninsula (Barcelona, 1786–2014). Int. J. Climatol. 2016, 36, 3072–3087. [Google Scholar] [CrossRef]
- Camuffo, D.; della Valle, A.; Becherini, F. Instrumental and observational problems of the earliest temperature records in Italy: A methodology for data recovery and correction. Climate 2023, 11, 178. [Google Scholar] [CrossRef]
- Fioravanti, G.; Piervitali, E.; Desiato, F. A new homogenized daily data set for temperature variability assessment in Italy. Int. J. Climatol. 2019, 39, 5635–5654. [Google Scholar] [CrossRef]
- Yosef, Y.; Aguilar, E.; Alpert, P. Changes in extreme temperature and precipitation indices: Using an innovative daily homogenized database in Israel. Int. J. Climatol. 2019, 39, 5022–5045. [Google Scholar] [CrossRef]
- Adeyeri, O.E.; Laux, P.; Ishola, K.A.; Zhou, W.; Balogun, I.A.; Adeyewa, Z.D.; Kunstmann, H. Homogenising meteorological variables: Impact on trends and associated climate indices. J. Hydrol. 2022, 607, 127585. [Google Scholar] [CrossRef]
- Molina-Carpio, J.; Rivera, I.A.; Espinoza-Romero, D.; Cerón, W.L.; Espinoza, J.-C.; Ronchail, J. Regionalization of rainfall in the upper Madeira basin based on interannual and decadal variability: A multi-seasonal approach. Int. J. Climatol 2023. early view. [Google Scholar] [CrossRef]
- Compo, G.P.; Whitaker, J.S.; Sardeshmukh, P.D.; Matsui, N.; Allan, R.J.; Yin, X.; Gleason, B.E., Jr.; Vose, R.S.; Rutledge, G.; Bessemoulin, P.; et al. The twentieth century reanalysis project. Q. J. R. Meteorol. Soc. 2011, 137, 1–28. [Google Scholar] [CrossRef]
- Domonkos, P. Manual of ACMANTv5. 2021. Available online: https://github.com/dpeterfree/ACMANT/tree/ACMANTv5_documents (accessed on 25 September 2023).
- Domonkos, P.; Coll, J. Time series homogenisation of large observational datasets: The impact of the number of partner series on the efficiency. Clim. Res. 2017, 74, 31–42. [Google Scholar] [CrossRef]





| Data Section | Number of Series | Number of Detected Breaks in Homogeneous Data | |
|---|---|---|---|
| PHA | ACMANTv5 | ||
| WY1 | 75 | 4 | 7 (0.15) |
| WY2 | 158 | 5 | 11 (0.12) |
| WY3 | 158 | 16 | 9 (0.18) |
| WY4 | 75 | 3 | 12 (0.61) |
| SE1 | 153 | 13 | 53 (0.09) |
| SE2 | 210 | 9 | 58 (0.10) |
| SE3 | 210 | 15 | 69 (0.10) |
| NE1 | 146 | 11 | 4 (0.09) |
| NE2 | 207 | 9 | 11 (0.09) |
| NE3 | 207 | 11 | 5 (0.06) |
| SW1 | 151 | 50 | 77 (0.16) |
| SW2 | 222 | 28 | 131 (0.15) |
| SW3 | 222 | 31 | 100 (0.18) |
| c′ | c+ | c′ | c+ | c′ | c+ | |||
|---|---|---|---|---|---|---|---|---|
| 1 | −2.50 | 3.50 | 4 | 0.31 | 0.69 | 7 | 2.44 | −1.44 |
| 2 | −1.30 | 2.30 | 5 | 1.00 | 0.00 | 8 | 3.30 | −2.30 |
| 3 | −0.44 | 1.44 | 6 | 1.69 | −0.69 | 9 | 4.50 | −3.50 |
| Z (%) | |||||
|---|---|---|---|---|---|
| RMSE-d | RMSE-y | Trb | Reg-Trb | ||
| Dense dataset | A52 | 2.1 | 3.7 | 2.2 | 7.4 |
| A53 | −0.4 | −0.6 | −1.5 | 1.0 | |
| Moderately dense dataset | A52 | 4.3 | 5.7 | 7.9 | 18.2 |
| A53 | −1.5 | −2.3 | −3.0 | 18.4 | |
Disclaimer/Publisher’s Note: The statements, opinions and data contained in all publications are solely those of the individual author(s) and contributor(s) and not of MDPI and/or the editor(s). MDPI and/or the editor(s) disclaim responsibility for any injury to people or property resulting from any ideas, methods, instructions or products referred to in the content. |
© 2023 by the author. Licensee MDPI, Basel, Switzerland. This article is an open access article distributed under the terms and conditions of the Creative Commons Attribution (CC BY) license (https://creativecommons.org/licenses/by/4.0/).
Share and Cite
Domonkos, P. Time Series Homogenization with ACMANT: Comparative Testing of Two Recent Versions in Large-Size Synthetic Temperature Datasets. Climate 2023, 11, 224. https://doi.org/10.3390/cli11110224
Domonkos P. Time Series Homogenization with ACMANT: Comparative Testing of Two Recent Versions in Large-Size Synthetic Temperature Datasets. Climate. 2023; 11(11):224. https://doi.org/10.3390/cli11110224
Chicago/Turabian StyleDomonkos, Peter. 2023. "Time Series Homogenization with ACMANT: Comparative Testing of Two Recent Versions in Large-Size Synthetic Temperature Datasets" Climate 11, no. 11: 224. https://doi.org/10.3390/cli11110224
APA StyleDomonkos, P. (2023). Time Series Homogenization with ACMANT: Comparative Testing of Two Recent Versions in Large-Size Synthetic Temperature Datasets. Climate, 11(11), 224. https://doi.org/10.3390/cli11110224
