Thunderstorm Activity and Extremes in Vietnam for the Period 2015–2019
Abstract
1. Introduction
2. Data and Methods
2.1. Lightning Location Data
2.2. Thunderstorm Day Data
3. Results
3.1. Thunderstorm Occurrence in Vietnam
3.2. Thunderstorm Days
3.3. Most Intense Thunderstorm Days
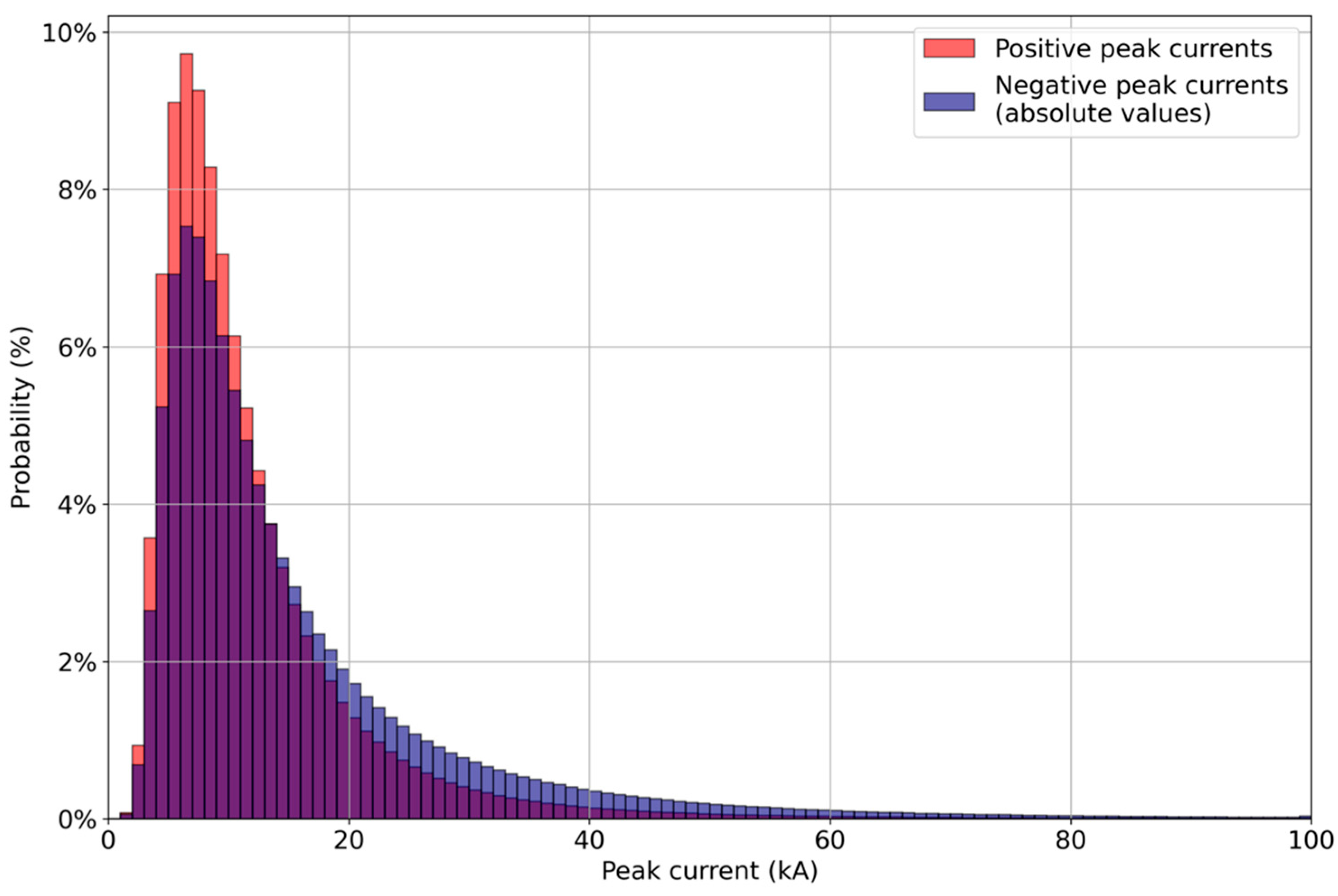
3.4. Peak Currents
4. Discussion and Conclusions
Author Contributions
Funding
Data Availability Statement
Acknowledgments
Conflicts of Interest
References
- Holle, R. Annual rates of lightning fatalities per country. In Proceedings of the 20th International Lightning Detection Conference, Tucson, AZ, USA, 21–23 April 2008. [Google Scholar]
- Woodhams, B.J.; Birch, C.E.; Marsham, J.H.; Bain, C.L.; Roberts, N.M.; Boyd, D.F. What is the added value of a convection-permitting model for forecasting extreme rainfall over tropical East Africa? Mon. Weather. Rev. 2018, 146, 2757–2780. [Google Scholar] [CrossRef]
- GCOS. The Status of the Global Climate Observing System 2021: The GCOS Status Report (GCOS-240); GCOS-240; WMO: Geneva, Switzerland, 2021. [Google Scholar]
- Goodman, S.J.; Blakeslee, R.J.; Koshak, W.J.; Mach, D.; Bailey, J.; Buechler, D.; Carey, L.; Schultz, C.; Bateman, M.; McCaul, E.; et al. The GOES-R Geostationary Lightning Mapper (GLM). Atmos. Res. 2013, 125–126, 34–49. [Google Scholar] [CrossRef]
- Hui, W.; Zhang, W.; Lyu, W.; Li, P. Preliminary Observations from the China Fengyun-4A Lightning Mapping Imager and Its Optical Radiation Characteristics. Remote Sens. 2020, 12, 2622. [Google Scholar] [CrossRef]
- Grandell, J.; Stuhlmann, R.; Dobber, M.; Bennett, A.; Biron, D.; Defer, E.; Finke, U.; Hoeller, H.; Lopez, P.; Mach, D.M.; et al. EUMETSAT Meteosat Third Generation (MTG) lightning imager: From mission requirements to product development. AGU Fall Meet. Abstr. 2010, 2010, AE21A-0257. [Google Scholar]
- WMO. World Distribution of Thunderstorm Days, Part 1; WMO-No. 21; WMO: Geneva, Switzerland, 1956. [Google Scholar]
- WMO. World Distribution of Thunderstorm Days, Part 2; WMO-No. 21; WMO: Geneva, Switzerland, 1956. [Google Scholar]
- Dewan, A.; Ongee, E.T.; Rafiuddin, M.; Rahman, M.; Mahmood, R. Lightning activity associated with precipitation and CAPE over Bangladesh. Int. J. Climatol. 2017, 38, 1649–1660. [Google Scholar] [CrossRef]
- Iwasaki, H. Relating Lightning Features and Topography over the Tibetan Plateau Using the World Wide Lightning Location Network Data. J. Meteorol. Soc. Jpn. Ser. II 2016, 94, 431–442. [Google Scholar] [CrossRef]
- Jayawardena, I.M.S.P.; Mäkelä, A. Spatial and Temporal Variability of Lightning Activity in Sri Lanka. In Multi-Hazard Early Warning and Disaster Risks; Springer: Cham, Switzerland, 2021; pp. 573–586. [Google Scholar] [CrossRef]
- Xia, R.; Zhang, D.-L.; Wang, B. A 6-yr Cloud-to-Ground Lightning Climatology and Its Relationship to Rainfall over Central and Eastern China. J. Appl. Meteorol. Climatol. 2015, 54, 2443–2460. [Google Scholar] [CrossRef]
- Zhao, P.; Xiao, H.; Liu, C.; Zhou, Y.; Xu, X.; Hao, K. Evaluating a simple proxy for climatic cloud-to-ground lightning in Sichuan Province with complex terrain, Southwest China. Int. J. Clim. 2021, 42, 3909–3927. [Google Scholar] [CrossRef]
- Yuan, T.; Di, Y.; Qie, K. Variability of lightning flash and thunderstorm over East/Southeast Asia on the ENSO time scales. Atmos. Res. 2016, 169, 377–390. [Google Scholar] [CrossRef]
- Amory-Mazaudier, C.; Le Huy, M.; Cohen, Y.; Doumbia, V.; Bourdillon, A.; Fleury, R.; Fontaine, B.; Duyen, C.H.; Kobea, A.; Laroche, P.; et al. Sun-Earth System Interaction studies over Vietnam: An international cooperative project. Ann. Geophys. 2006, 24, 3313–3327. [Google Scholar] [CrossRef][Green Version]
- Christian, H.; Blakeslee, R.; Goodman, S.; Mach, D.; Stewart, M.; Buechler, D.; Koshak, W.; Hall, J.; Boeck, W.; Driscoll, K.; et al. The Lightning Imaging Sensor. In NASA Conference Publication; NASA: Washington, WA, USA, 1999; pp. 746–749. [Google Scholar]
- Zhang, D.; Cummins, K.L.; Bitzer, P.; Koshak, W.J. Evaluation of the Performance Characteristics of the Lightning Imaging Sensor. J. Atmos. Ocean. Technol. 2019, 36, 1015–1031. [Google Scholar] [CrossRef]
- Son, H.H.; Anh, N.X.L.; Thanh, P.X.; Hiep, N.V. A research on lightning warning by integrated data: A case study for Gialam area, Hanoi city. Vietnam. J. Hydrol. 2020, 720, 32–48. [Google Scholar] [CrossRef]
- Mäkelä, A.; Ylikangas, I.; Karki, R.; Budhathoki, K.P.; Perrels, A.; Säntti, K.; Partio, M.; Keränen, M. FNEP: Finnish-Nepalese Project for improving the meteorological readiness in Nepal. J. Hydrol. Meteorol. 2016, 8, 72–76. [Google Scholar] [CrossRef][Green Version]
- Venäläinen, A.; Pilli-Sihvola, K.; Tuomenvirta, H.; Ruuhela, R.; Kululanga, E.; Mtilatila, L.; Kanyanga, J.; Nkomoki, J. Analysis of the meteorological capacity for early warnings in Malawi and Zambia. Climatol. Dev. 2015, 8, 190–196. [Google Scholar] [CrossRef]
- Robinson, P.J.; Henderson-Sellers, A. Contemporary Climatology; Addison Wesley Longman: Singapore, 1999; p. 317. [Google Scholar]
- Ngo-Duc, T.; Kieu, C.; Thatcher, M.; Nguyen-Le, D.; Phan-Van, T. Climate projections for Vietnam based on regional climate models. Climatol. Res. 2014, 60, 199–213. [Google Scholar] [CrossRef]
- Phan, V.T.; Ngo-Duc, T.; Ho, T.-M.-H. Seasonal and interannual variations of surface climate elements over Vietnam. Climatol. Res. 2009, 40, 49–60. [Google Scholar] [CrossRef]
- Ho, T.-M.; Phan, V.-T.; Le, N.; Nguyen, Q.-T. Extreme climatic events over Vietnam from observational data and RegCM3 projections. Climatol. Res. 2011, 49, 87–100. [Google Scholar] [CrossRef]
- Nguyen, D.-Q.; Renwick, J.; McGregor, J. Variations of surface temperature and rainfall in Vietnam from 1971 to 2010. Int. J. Clim. 2013, 34, 249–264. [Google Scholar] [CrossRef]
- Pohjola, H.; Mäkelä, A. The comparison of GLD360 and EUCLID lightning location systems in Europe. Atmos. Res. 2013, 123, 117–128. [Google Scholar] [CrossRef]
- Murphy, M.J.; Said, R.K. Comparisons of Lightning Rates and Properties From the U.S. National Lightning Detection Network (NLDN) and GLD360 with GOES-16 Geostationary Lightning Mapper and Advanced Baseline Imager Data. J. Geophys. Res. Atmos. 2020, 125. [Google Scholar] [CrossRef]
- Boccippio, D.J.; Cummins, K.L.; Christian, H.J.; Goodman, S.J. Combined Satellite- and Surface-Based Estimation of the Intracloud–Cloud-to-Ground Lightning Ratio over the Continental United States. Mon. Weather Rev. 2001, 129, 108–122. [Google Scholar] [CrossRef]
- Cummins, K.; Murphy, M.J.; Bardo, E.A.; Hiscox, W.L.; Pyle, R.B.; Pifer, A.E. A Combined TOA/MDF Technology Upgrade of the U.S. National Lightning Detection Network. J. Geophys. Res. Earth Surf. 1998, 103, 9035–9044. [Google Scholar] [CrossRef]
- Orville, R.E.; Huffines, G.R.; Burrows, W.R.; Holle, R.L.; Cummins, K.L. The North American lightning detection network (NALDN)—First results: 1998–2000. Mon. Weather Rev. 2002, 130, 2098–2109. [Google Scholar] [CrossRef]
- Poelman, D.R.; Schulz, W.; Vergeiner, C. Performance characteristics of distinct lightning detection networks covering Belgium. J. Atmos. Ocean. Technol. 2013, 30, 942–951. [Google Scholar] [CrossRef]
- Said, R.; Murphy, M.J. GLD360 upgrade: Performance analysis and applications. In Proceedings of the 24th International Lightning Detection Conference and International Lightning Meteorology Conference, San Diego, CA, USA, 18–21 April 2016. [Google Scholar]
- Rudlosky, S.D.; Peterson, M.J.; Kahn, D.T. GLD360 Performance Relative to TRMM LIS. J. Atmos. Ocean. Technol. 2017, 34, 1307–1322. [Google Scholar] [CrossRef]
- Mäkelä, A.; Shrestha, R.; Karki, R. Thunderstorm characteristics in Nepal during the pre-monsoon season 2012. Atmos. Res. 2014, 137, 91–99. [Google Scholar] [CrossRef]
- Seneviratne, S.I.; Nicholls, N.; Easterling, D.; Goodess, C.; Kanae, S.; Kossin, J.; Luo, Y.; Marengo, J.; McInnes, K.; Rahimi, M.; et al. Changes in climate extremes and their impacts on the natural physical environment. In Managing the Risks of Extreme Events and Disasters to Advance Climate Change Adaptation; Field, C.B., Barros, V., Stocker, T.F., Qin, D., Dokken, D.J., Ebi, K.L., Mastrandrea, M.D., Mach, K.J., Plattner, G.-K., Allen, S.K., et al., Eds.; Cambridge University Press: Cambridge, UK; New York, NY, USA, 2012; pp. 109–230. [Google Scholar]
- Ukkonen, P.; Mäkelä, A. Evaluation of Machine Learning Classifiers for Predicting Deep Convection. J. Adv. Model. Earth Syst. 2019, 11, 1784–1802. [Google Scholar] [CrossRef]
- Hautala, R.; Leviäkangas, P. (Eds.) Ilmatieteen Laitoksen Palveluiden Vaikuttavuus: Hyötyjen arviointi ja Arvottaminen eri Hyödyntäjätoimialoilla. (Only in Finnish, Abstract in English); VTT Publications No. 665; VTT Technical Research Centre of Finland: Esburg, Finland, 2007; Available online: https://www.vtt.fi/inf/pdf/publications/2007/P665.pdf (accessed on 28 September 2022).
- Leviäkangas, P.; Hautala, R.; Räsänen, J.; Öörni, R.; Sonninen, S.; Hekkanen, M.; Ohlström, M.; Venäläinen, A.; Saku, S. Benefits of meteorological services in Croatia; VTT Tied.—Res. Notes; VTT Technical Research Centre of Finland: Esburg, Finland, 2007; pp. 1–78. [Google Scholar]
- UN/ISDR. Strengthening the Hydrometeorological Services in South Eastern Europe. In South Eastern Europe Disaster Risk Mitigation and Adaptation Programme; 2008; Available online: https://library.wmo.int/doc_num.php?explnum_id=9902 (accessed on 28 September 2022).










| Date | Flashes |
|---|---|
| 9 May 2018 | 257,184 |
| 21 June 2019 | 200,525 |
| 20 September 2015 | 190,516 |
| 29 April 2016 | 180,168 |
| 20 May 2019 | 173,561 |
| 23 May 2017 | 169,154 |
| 8 May 2018 | 168,715 |
| 29 August 2019 | 168,346 |
| 21 April 2016 | 162,207 |
| 19 July 2019 | 160,073 |
Publisher’s Note: MDPI stays neutral with regard to jurisdictional claims in published maps and institutional affiliations. |
© 2022 by the authors. Licensee MDPI, Basel, Switzerland. This article is an open access article distributed under the terms and conditions of the Creative Commons Attribution (CC BY) license (https://creativecommons.org/licenses/by/4.0/).
Share and Cite
Van Mai, K.; Laurila, T.K.; Hoang, L.P.; Duc Du, T.; Mäkelä, A.; Kiesiläinen, S. Thunderstorm Activity and Extremes in Vietnam for the Period 2015–2019. Climate 2022, 10, 141. https://doi.org/10.3390/cli10100141
Van Mai K, Laurila TK, Hoang LP, Duc Du T, Mäkelä A, Kiesiläinen S. Thunderstorm Activity and Extremes in Vietnam for the Period 2015–2019. Climate. 2022; 10(10):141. https://doi.org/10.3390/cli10100141
Chicago/Turabian StyleVan Mai, Khiem, Terhi K. Laurila, Lam Phuc Hoang, Tien Duc Du, Antti Mäkelä, and Sami Kiesiläinen. 2022. "Thunderstorm Activity and Extremes in Vietnam for the Period 2015–2019" Climate 10, no. 10: 141. https://doi.org/10.3390/cli10100141
APA StyleVan Mai, K., Laurila, T. K., Hoang, L. P., Duc Du, T., Mäkelä, A., & Kiesiläinen, S. (2022). Thunderstorm Activity and Extremes in Vietnam for the Period 2015–2019. Climate, 10(10), 141. https://doi.org/10.3390/cli10100141

