Performance Assessment and Mitigation of Timing Covert Channels over the IEEE 802.15.4
Abstract
1. Introduction
2. Research Background
3. Overview of the IEEE 802.15.4 DSME
4. System Design and Implementation
4.1. Covert Helper
| Algorithm 1 Sender’s algorithm |
|
4.2. Covert Helper Receiver
| Algorithm 2 Receiver’s algorithm |
|
4.3. Specific TCC Implementation Details
4.4. Simulation Setup
5. Results
5.1. Metrics and Information Sources
- Covert Channel Efficiency, which is represented as the fraction of covert traffic successfully transmitted over the total overt traffic in the GTS slot during the simulation. It informs the impact of the covert channel in the network, in terms of transmission delays;
- Covert Channel Capacity, which measures the amount of covert information successfully transmitted in the covert channel per second of simulation time.
5.2. On/Off Technique
5.2.1. Impact of SO upon the Covert Channel
5.2.2. Impact of Packet length
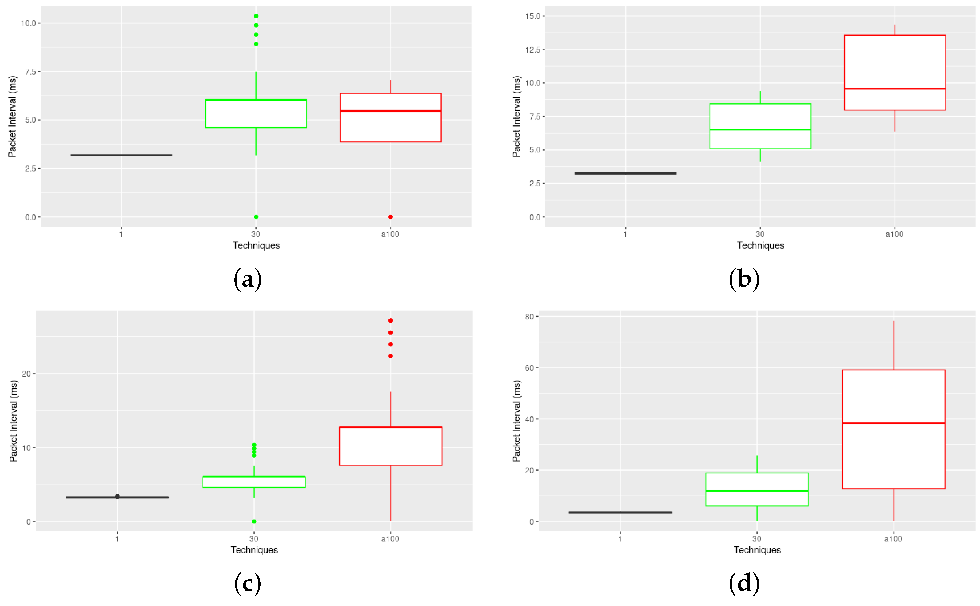
5.3. Analysis of More Complex TCC Techniques
5.4. Impact of the TCC Encoding Interval ()
Covert Channel Impairment
- Restrict small packet lengths: Packet length affects the CC performance metrics, particularly for lower SOs. Higher packet lengths reduce the traffic that can fit in each GTS slot, which reduces CC transmission opportunities. On the other hand, smaller packets may lead to more frequent transmissions, which creates more TCC transmission opportunities. Relying on padding techniques to deal with small data portions, if really needed, can and should be considered as a preventive measure to reduce exfiltration capacity;
- Decrease SO to the minimum: The smaller the SO, the higher the periodicity of slots, and, if there are no available packets to transmit in that slot, no covert information can be transmitted. As shown, high SOs are more flexible and can cope with very low frequency traffic while still managing to convey covert information. This should be paired with the next recommendation;
- Decrease traffic generation frequency: Frequent generation of packets for transmission increases the TCC opportunities. If low SOs are used and a TGR > 0.4, one can heavily impair these TCC implementations;
- Pay attention to any increase in packet inter-arrival times: Such TCCs work by inserting variable intervals between packet transmissions. Larger TCC bit encoding techniques tend to insert non-negligible delays between frames, which can be noticed as a sudden increase in delay.
6. Conclusions
6.1. Lessons Learned
6.2. Further Research
Author Contributions
Funding
Data Availability Statement
Conflicts of Interest
Abbreviations
| IoT | Internet of Things |
| IIoT | Industrial Internet of Things |
| D-DoS | Distributed Denial of Service |
| IEEE | Institute of Electrical and Electronics Engineers |
| MAC | Media Access Control |
| DSME | Deterministic and Synchronous Multichannel Extension |
| TSCH | Time Slotted Channel Hopping |
| GTS | Guaranteed Timeslot |
| PDU | Protocol Data Unit |
| LAN | Local Area Network |
| DSSS | Direct Spread Spectrum Sequence |
| LQI | Link Quality Indication |
| WSN | Wireless Sensor Network |
| CAP | Contention Access Period |
| CFP | Contention Free Period |
| BO | Beacon Order |
| MO | Multisuperframe Order |
| SO | Superframe Order |
| EB | Enhanced Beacon |
| SD | Superframe Duration |
| MD | Multisuperframe Duration |
| BI | Beacon Interval |
| PAN | Personal Area Network |
| OSI | Open Systems Interconnection |
| SAP | Service Access Points |
| TGR | Traffic Generation Rate |
| CC | Covert Channel |
| TCC | Timing Covert Channel |
References
- U.S. Department of Defense. DoD Policy Recommendations for the Internet of Things (IoT); U.S. Department of Defense: Washington, DC, USA, 2016.
- Al-Turjman, F.; Nawaz, M.H.; Ulusar, U.D. Intelligence in the Internet of Medical Things era: A systematic review of current and future trends. Comput. Commun. 2020, 150, 644–660. [Google Scholar] [CrossRef]
- Sinha, A.; Shrivastava, G.; Kumar, P. Architecting user-centric internet of things for smart agriculture. Sustain. Comput. Inform. Syst. 2019, 23, 88–102. [Google Scholar] [CrossRef]
- Muñuzuri, J.; Onieva, L.; Cortés, P.; Guadix, J. Using IoT data and applications to improve port-based intermodal supply chains. Comput. Ind. Eng. 2020, 139, 105668. [Google Scholar] [CrossRef]
- Wang, J.H. T cell receptors, mechanosensors, catch bonds and immunotherapy. Prog. Biophys. Mol. Biol. 2020, 153, 23–27. [Google Scholar] [CrossRef] [PubMed]
- Liu, K.; Bi, Y.; Liu, D. Internet of Things based acquisition system of industrial intelligent bar code for smart city applications. Comput. Commun. 2020, 150, 325–333. [Google Scholar] [CrossRef]
- Statista. Number of IoT Devices 2015–2025. Available online: https://www.statista.com/statistics/471264/iot-number-of-connected-devices-worldwide/ (accessed on 24 July 2022).
- Lin, J.; Yu, W.; Zhang, N.; Yang, X.; Zhang, H.; Zhao, W. A Survey on Internet of Things: Architecture, Enabling Technologies, Security and Privacy, and Applications. IEEE Internet Things J. 2017, 4, 1125–1142. [Google Scholar] [CrossRef]
- Frustaci, M.; Pace, P.; Aloi, G.; Fortino, G. Evaluating Critical Security Issues of the IoT World: Present and Future Challenges. IEEE Internet Things J. 2018, 5, 2483–2495. [Google Scholar] [CrossRef]
- Lu, S.; Chen, Z.; Fu, G.; Li, Q. A Novel Timing-based Network Covert Channel Detection Method. J. Phys. Conf. Ser. 2019, 1325, 012050. [Google Scholar] [CrossRef]
- Liu, Z.; Liu, J.; Zeng, Y.; Ma, J. Covert Wireless Communication in IoT Network: From AWGN Channel to THz Band. IEEE Internet Things J. 2020, 7, 3378–3388. [Google Scholar] [CrossRef]
- Caviglione, L.; Merlo, A.; Migliardi, M. Covert Channels in IoT Deployments through Data Hiding Techniques. In Proceedings of the 2018 32nd International Conference on Advanced Information Networking and Applications Workshops (WAINA), Krakow, Poland; 2018; pp. 559–563. [Google Scholar] [CrossRef]
- SecurityWeek 70 Percent of IoT Devices Vulnerable to Cyberattacks: HP. 2014. Available online: https://www.securityweek.com/70-iot-devices-vulnerable-cyberattacks-hp/ (accessed on 24 July 2023).
- Larson, S. A Smart Fish Tank Left a Casino Vulnerable to Hackers. 2017. Available online: https://money.cnn.com/2017/07/19/technology/fish-tankhack-darktrace/index.html (accessed on 24 July 2023).
- Stanislav, M.; Beardsley, T. HACKING IoT: A Case Study on Baby Monitor Exposures and Vulnerabilities. Rapid7 Rep. 2015. Available online: https://www.rapid7.com/globalassets/external/docs/Hacking-IoT-A-Case-Study-on-Baby-Monitor-Exposures-and-Vulnerabilities.pdf (accessed on 24 July 2023).
- Simon, S. ‘Internet Of Things’ Hacking Attack Led to Widespread Outage of Popular Websites. NPR, 2016. Available online: https://www.npr.org/2016/10/22/498954197/internet-outage-update-internet-of-things-hacking-attack-led-to-outage-of-popula (accessed on 24 July 2023).
- Krebs, B. Mirai IoT Botnet Co-Authors Plead Guilty—Krebs on Security. 2017. Available online: https://krebsonsecurity.com/2017/12/mirai-iot-botnet-co-authors-plead-guilty/ (accessed on 24 July 2023).
- Kolias, C.; Kambourakis, G.; Stavrou, A.; Voas, J. DDoS in the IoT: Mirai and other botnets. Computer 2017, 50, 80–84. [Google Scholar] [CrossRef]
- Cirani, S.; Ferrari, G.; Veltri, L. Enforcing Security Mechanisms in the IP-Based Internet of Things: An Algorithmic Overview. Algorithms 2013, 6, 197–226. [Google Scholar] [CrossRef]
- Riahi Sfar, A.; Natalizio, E.; Challal, Y.; Chtourou, Z. A roadmap for security challenges in the Internet of Things. Digit. Commun. Netw. 2018, 4, 118–137. [Google Scholar] [CrossRef]
- Kim, D.; Choi, J.Y.; Hong, J.E. Evaluating energy efficiency of Internet of Things software architecture based on reusable software components. Int. J. Distrib. Sens. Netw. 2017, 13, 1550147716682738. [Google Scholar] [CrossRef]
- Hu, J.; Lin, C.; Li, X. Relationship Privacy Leakage in Network Traffics. In Proceedings of the 2016 25th International Conference on Computer Communication and Networks (ICCCN), Waikoloa, HI, USA, 1–4 August 2016; pp. 1–9. [Google Scholar] [CrossRef]
- Caviglione, L. Trends and Challenges in Network Covert Channels Countermeasures. Appl. Sci. 2021, 11, 1641. [Google Scholar] [CrossRef]
- IEEE Std 802.15.4-2020; IEEE Standard for Low-Rate Wireless Networks. IEEE: Piscataway, NJ, USA, 2020; pp. 1–800. [CrossRef]
- IEEE Std 802.15.4e-2012IEEE Standard for Local and Metropolitan Area Networks—Part 15.4: Low-Rate Wireless Personal Area Networks (LR-WPANs) Amendment 1: MAC Sublayer; IEEE: Piscataway, NJ, USA, 2012; pp. 1–225. [CrossRef]
- Lampson, B.W. A note on the confinement problem. Commun. ACM 1973, 16, 613–615. [Google Scholar] [CrossRef]
- Wolf, M. Covert channels in LAN protocols. In Proceedings of the Local Area Network Security; Berson, T.A., Beth, T., Eds.; Lecture Notes in Computer Science; Springer: Berlin/Heidelberg, Germany, 1989; pp. 89–101. [Google Scholar] [CrossRef]
- an Tan, Y.; Zhang, X.; Sharif, K.; Liang, C.; Zhang, Q.; Li, Y. Covert Timing Channels for IoT over Mobile Networks. IEEE Wirel. Commun. 2018, 25, 38–44. [Google Scholar] [CrossRef]
- Biswas, A.K.; Ghosal, D.; Nagaraja, S. A Survey of Timing Channels and Countermeasures. ACM Comput. Surv. 2017, 50, 1–39. [Google Scholar] [CrossRef]
- Baker, T.; Liang, C.; Li, Y. A Reliable Covert Channel for Stealthy Data Transmission for Internet-of-Underwater-Things. IEEE Internet Things Mag. 2022, 5, 42–46. [Google Scholar] [CrossRef]
- Liu, B.; Gu, C.; He, S.; Chen, J. LoPhy: A Resilient and Fast Covert Channel over LoRa PHY. In Proceedings of the 22nd International Conference on Information Processing in Sensor Networks, San Antonio, TX, USA, 9–12 May 2023; Association for Computing Machinery: New York, NY, USA, 2023; pp. 1–13. [Google Scholar] [CrossRef]
- Hou, N.; Zheng, Y. CloakLoRa: A Covert Channel over LoRa PHY. In Proceedings of the 2020 IEEE 28th International Conference on Network Protocols (ICNP), Madrid, Spain, 13–16 October 2020; pp. 1–11. [Google Scholar] [CrossRef]
- Vanderhallen, S.; Van Bulck, J.; Piessens, F.; Mühlberg, J.T. Robust authentication for automotive control networks through covert channels. Comput. Netw. 2021, 193, 108079. [Google Scholar] [CrossRef]
- Nain, A.K.; Rajalakshmi, P. A reliable covert channel over IEEE 802.15.4 using steganography. In Proceedings of the 2016 IEEE 3rd World Forum on Internet of Things, WF-IoT 2016, Reston, VA, USA, 12–14 December 2016; pp. 711–716. [Google Scholar] [CrossRef]
- Tuptuk, N.; Hailes, S. Covert channel attacks in pervasive computing. In Proceedings of the 2015 IEEE International Conference on Pervasive Computing and Communications (PerCom), St. Louis, MO, USA, 23–27 March 2015; pp. 236–242. [Google Scholar] [CrossRef]
- Martins, D.; Guyennet, H. Steganography in MAC layers of 802.15.4 protocol for securing wireless sensor networks. In Proceedings of the 2010 2nd International Conference on Multimedia Information Networking and Security, Nanjing, China, 4–6 November 2010; pp. 824–828. [Google Scholar] [CrossRef][Green Version]
- Tian, J.; Xiong, G.; Li, Z.; Gou, G. A Survey of Key Technologies for Constructing Network Covert Channel. Secur. Commun. Netw. 2020, 2020, 8892896. [Google Scholar] [CrossRef]
- Severino, R.; Rodrigues, J.; Ferreira, L.L. Exploring Timing Covert Channel Performance over the IEEE 802.15.4. In Proceedings of the 2022 IEEE 27th International Conference on Emerging Technologies and Factory Automation (ETFA), Stuttgart, Germany, 6–9 September 2022; pp. 1–8. [Google Scholar] [CrossRef]
- Köstler, M.; Kauer, F.; Lübkert, T.; Turau, V. Towards an Open Source Implementation of the IEEE 802.15.4 DSME Link Layer. In Proceedings of the 15. GI/ITG KuVS Fachgespräch Sensornetze; Scholz, J., von Bodisco, A., Eds.; University of Applied Sciences Augsburg, Department of Computer Science: Augsburg, Germany, 2016; p. 4. [Google Scholar]
- Aguilar, R.; Ramos, L.F.; Lourenço, P.B.; Severino, R.; Gomes, R.; Gandra, P.; Alves, M.; Tovar, E. Prototype WSN Platform for Performing Dynamic Monitoring of Civil Engineering Structures. In Proceedings of the Sensors, Instrumentation and Special Topics; Proulx, T., Ed.; Springer: New York, NY, USA, 2011; Volume 6, pp. 81–89. [Google Scholar]
- Sámano, R.; Viana, J.; Ferreira, N.; Loureiro, J.; Cintra, J.; Rocha, A.; Tovar, E. Active flow control using dense wireless sensor and actuator networks. Microprocess. Microsyst. 2018, 61, 279–295. [Google Scholar] [CrossRef]




















| SO | MO | BO | |
|---|---|---|---|
| A | 4 | 5 | 6 |
| B | 5 | 6 | 7 |
| C | 6 | 7 | 8 |
| D | 7 | 8 | 9 |
| E | 8 | 9 | 10 |
| F | 10 | 11 | 12 |
| G | 12 | 13 | 14 |
Disclaimer/Publisher’s Note: The statements, opinions and data contained in all publications are solely those of the individual author(s) and contributor(s) and not of MDPI and/or the editor(s). MDPI and/or the editor(s) disclaim responsibility for any injury to people or property resulting from any ideas, methods, instructions or products referred to in the content. |
© 2023 by the authors. Licensee MDPI, Basel, Switzerland. This article is an open access article distributed under the terms and conditions of the Creative Commons Attribution (CC BY) license (https://creativecommons.org/licenses/by/4.0/).
Share and Cite
Severino, R.; Rodrigues, J.; Alves, J.; Ferreira, L.L. Performance Assessment and Mitigation of Timing Covert Channels over the IEEE 802.15.4. J. Sens. Actuator Netw. 2023, 12, 60. https://doi.org/10.3390/jsan12040060
Severino R, Rodrigues J, Alves J, Ferreira LL. Performance Assessment and Mitigation of Timing Covert Channels over the IEEE 802.15.4. Journal of Sensor and Actuator Networks. 2023; 12(4):60. https://doi.org/10.3390/jsan12040060
Chicago/Turabian StyleSeverino, Ricardo, João Rodrigues, João Alves, and Luis Lino Ferreira. 2023. "Performance Assessment and Mitigation of Timing Covert Channels over the IEEE 802.15.4" Journal of Sensor and Actuator Networks 12, no. 4: 60. https://doi.org/10.3390/jsan12040060
APA StyleSeverino, R., Rodrigues, J., Alves, J., & Ferreira, L. L. (2023). Performance Assessment and Mitigation of Timing Covert Channels over the IEEE 802.15.4. Journal of Sensor and Actuator Networks, 12(4), 60. https://doi.org/10.3390/jsan12040060

