Effects of Gibberellin (GA4+7) in Grain Filling, Hormonal Behavior, and Antioxidants in High-Density Maize (Zea mays L.)
Abstract
1. Introduction
2. Materials and Methods
2.1. Seed and Reagent Source
2.2. Study Site Description
2.3. Experimental Design and Treatments
2.4. Sampling and Measurements
2.4.1. Grain-Filling Process
2.4.2. Endogenous Hormone
2.4.3. Antioxidant Enzyme
2.4.4. Yield and Yield Components
2.5. Statistical Analysis
3. Results
3.1. Effects of GA4+7 on Yield and Yield Component
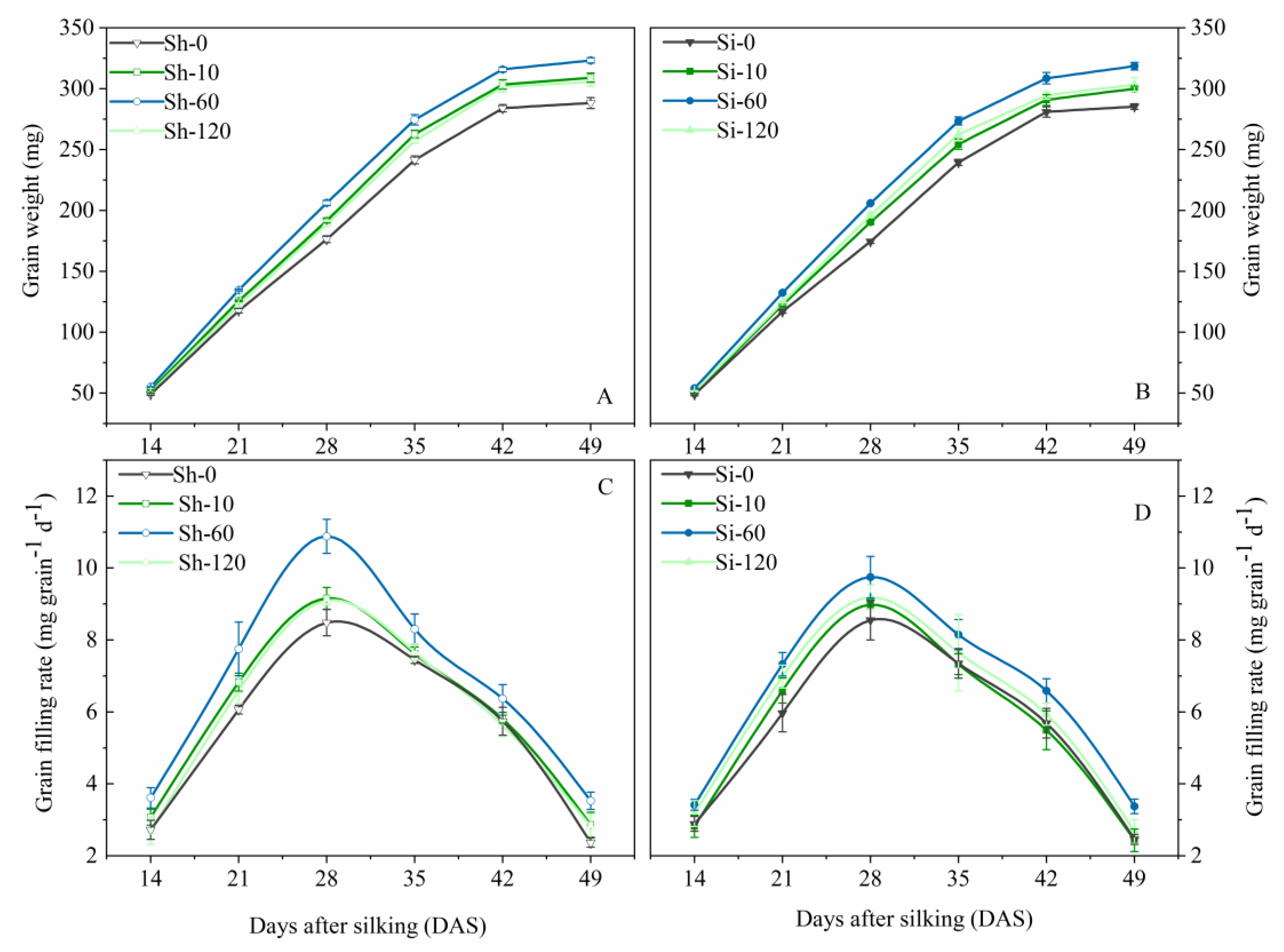
3.2. Effects of GA4+7 on Grain-Filling Rate
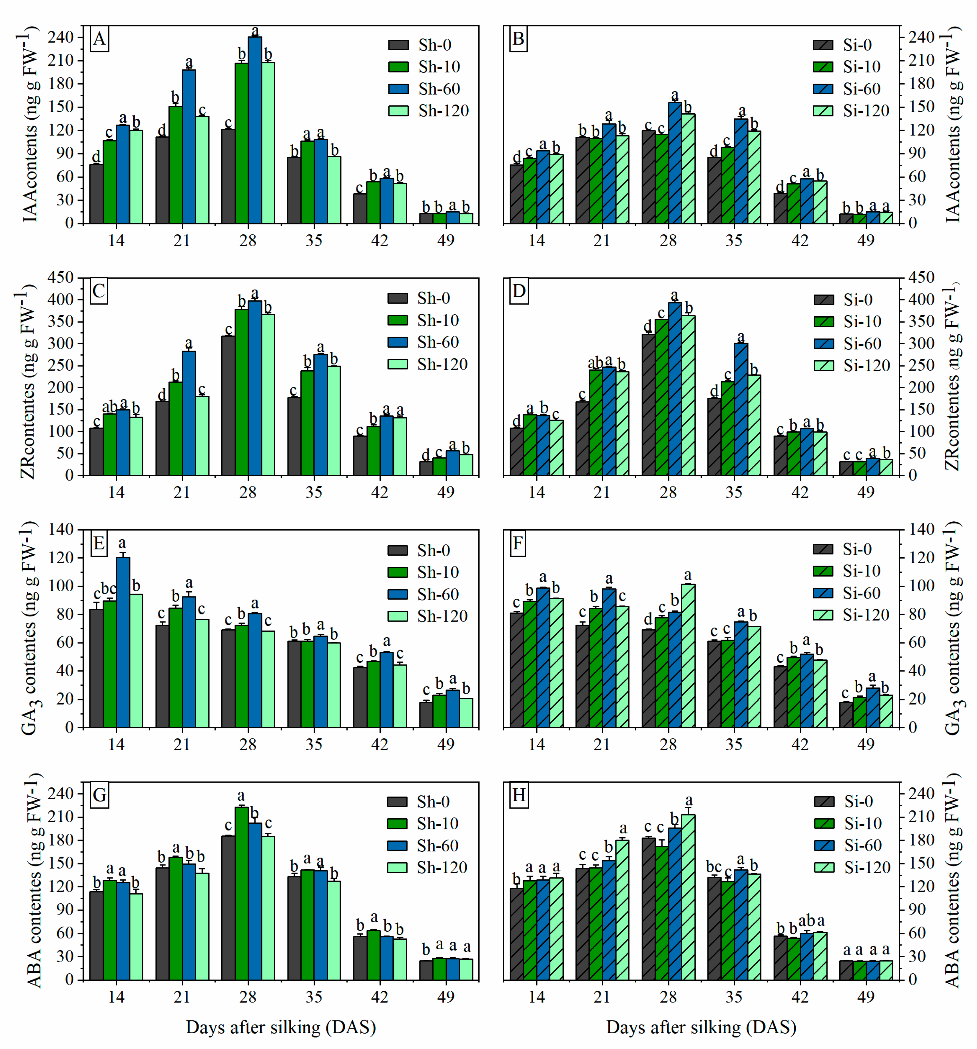
3.3. Effect of GA4+7 on Hormonal Changes in Grains
3.3.1. IAA and ZR Contents in Grains
3.3.2. GA Contents in Grains
3.3.3. ABA Contents in Grains
3.4. Effects of GA4+7 on Antioxidant Enzymes
3.4.1. SOD Activity
3.4.2. POD Activity
3.4.3. CAT Activity
3.4.4. MDA Contents
3.5. Economic Benefit Analysis of Applying GA4+7 in Maize
4. Discussion
4.1. Effects of GA4+7 Smearing Application on Grain Yield
4.2. Relationship of Hormone Changes and Maize Grain Filling
4.3. Effects of GA4+7 Smearing Application on the Antioxidant Enzymes
5. Conclusions
Author Contributions
Funding
Conflicts of Interest
References
- Achard, P.; Renou, J.P.; Berthomé, R.; Harberd, N.P.; Genschik, P. Plant DELLAs restrain growth and promote survival of adversity by reducing the levels of reactive oxygen species. Curr. Biol. 2008, 18, 656–660. [Google Scholar] [CrossRef] [PubMed]
- Qi, W.Z.; Liu, H.H.; Liu, P.; Dong, S.T.; Zhao, B.Q.; So, H.B.; Li, G.; Liu, H.D.; Zhang, J.W.; Zhao, B. Morphological and physiological characteristics of corn (Zea mays L.) roots from cultivars with different yield potentials. Eur. J. Agron. 2012, 38, 54–63. [Google Scholar] [CrossRef]
- Kamran, M.; Cui, W.W.; Ahmad, I.; Meng, X.P.; Zhang, X.D.; Su, W.N.; Chen, J.Z.; Ahmad, S.; Fahad, S.; Han, Q.F.; et al. Effect of paclobutrazol, a potential growth regulator on stalk mechanical strength, lignin accumulation and its relation with lodging resistance of maize. Plant Growth Regul. 2017, 84, 317–332. [Google Scholar] [CrossRef]
- Alexandratos, N.; Bruinsma, J. World Agriculture towards 2030/2050: The 2012 Revision; ESA Working Papers; Food and Agriculture Organization of the United Nations: Rome, Italy, 2012. [Google Scholar]
- Hussain, S.; Peng, S.B.; Fahad, S.; Khaliq, A.; Huang, J.L.; Cui, K.H.; Nie, L.X. Rice management interventions to mitigate greenhouse gas emissions: A review. Environ. Sci. Pollut. Res. Int. 2015, 22, 3342–3360. [Google Scholar] [CrossRef] [PubMed]
- Tokatlidis, I.S.; Has, V.; Melidis, V.; Has, I.; Mylonas, I.; Evgenidis, G.; Copandean, A.; Ninou, E.; Fasoula, V.A. Maize hybrids less dependent on high plant densities improve resource-use efficiency in rainfed and irrigated conditions. Field Crops Res. 2011, 120, 345–351. [Google Scholar] [CrossRef]
- Tokatlidis, I.S.; Koutroubas, S.D. A review of maize hybrids’ dependence on high plant populations and its implications for crop yield stability. Field Crops Res. 2004, 88, 103–114. [Google Scholar] [CrossRef]
- Van Ittersum, M.K.; Cassman, K.G. Yield gap analysis-rationale, methods and applications—Introduction to the special issue. Field Crops Res. 2013, 143, 1–3. [Google Scholar] [CrossRef]
- Feng, P.; Shen, X.H.; Zheng, H.Y.; Zhang, H.; Li, Z.J.; Yang, H.K.; Li, M.S. Effects of planting density on kernel filling and dehydration characteristics for maize hybrids. Chin. Agric. Sci. Bull. 2014, 30, 92–100. [Google Scholar]
- Tollenaar, M.; Aguilera, A. Radiation use efficiency of an old and a new maize hybrid. Agron. J. 1992, 84, 536–541. [Google Scholar] [CrossRef]
- Maddonni, G.A.; Otegui, M.E. Intra-specific competition in maize: Early establishment of hierarchies among plants affects final kernel set. Field Crops Res. 2004, 85, 1–13. [Google Scholar] [CrossRef]
- Yang, J.S.; Gao, H.Y.; Liu, P.; Geng, L.I.; Dong, S.T.; Zhang, J.W.; Wang, J.F. Effects of planting density and row spacing on canopy apparent photosynthesis of high-yield summer corn. Acta Agron. Sin. 2010, 36, 1226–1235. [Google Scholar] [CrossRef]
- Novacek, M.J.; Mason, S.C.; Galusha, T.D.; Yaseen, M. Twin rows minimally impact irrigated maize yield, morphology, and lodging. Agron. J. 2013, 105, 268–276. [Google Scholar] [CrossRef]
- Sangoi, L.; Almeida, M.L.D.; Silva, P.R.F.D.; Argenta, G. Morpho-physilogical bases for greater tolerance of modern maize hybrids to high plant densities. Bragantia 2002, 61, 101–110. [Google Scholar] [CrossRef][Green Version]
- Zhang, M.; Song, Z.W.; Chen, T.; Yan, X.G.; Zhu, P.; Ren, J.; Deng, A.X.; Zhang, W.J. Differences in responses of biomass production and grain-filling to planting density between spring maize cultivars. J. Maize Sci. 2015, 23, 57–65. [Google Scholar]
- Echartea, L.; Luque, S.; Andradea, F.H.; Sadrasa, V.O.; Cirilo, A.; Oteguic, M.E.; Vega, C.R.C. Response of maize kernel number to plant density in Argentinean hybrids released between 1965 and 1993. Field Crops Res. 2000, 68, 1–8. [Google Scholar] [CrossRef]
- Vega, C.R.C.; Andrade, F.H.; Sadras, V.O.; Uhart, S.A.; Valentinuz, O.R. Seed number as a function of growth. A comparative study in soybean, sunflower, and maize. Crop Sci. 2001, 41, 748–754. [Google Scholar] [CrossRef]
- Vega, C.R.C.; Andrade, F.H.; Sadras, V.O. Reproductive partitioning and seed set efficiency in soybean, sunflower and maize. Field Crops Res. 2001, 72, 163–175. [Google Scholar] [CrossRef]
- Borrás, L.; Maddonni, G.A.; Otegui, M.E. Leaf senescence in maize hybrids: Plant population, row spacing and kernel set effects. Field Crops Res. 2003, 82, 13–26. [Google Scholar] [CrossRef]
- Takai, T.; Fukuta, Y.; Shiraiwa, T.; Horie, T. Time-related mapping of quantitative trait loci controlling grain-filling in rice (Oryza sativa L.). J. Exp. Bot. 2005, 56, 2107–2118. [Google Scholar] [CrossRef]
- Wang, E.; Wang, J.J.; Zhu, X.D.; Hao, W.; Wang, L.Y.; Li, Q.; Lin, H.X.; Ma, H.; Zhang, G.Q.; He, Z.H. Control of rice grain-filling and yield by a gene with a potential signature of domestication. Nat. Genet. 2008, 40, 1370–1374. [Google Scholar] [CrossRef]
- Yang, J.C.; Zhang, J.H.; Liu, K.; Wang, Z.Q.; Liu, L.J. Abscisic acid and ethylene interact in wheat grains in response to soil drying during grain filling. New Phytol. 2006, 171, 293–303. [Google Scholar] [CrossRef] [PubMed]
- Morris, R.O.; Blevins, D.G.; Dietrich, J.T.; Durley, R.C.; Gelvin, S.B.; Gray, J.; Hommes, N.G.; Kaminek, M.; Mathews, L.J.; Meilan, R. Cytokinins in plant pathogenic bacteria and developing cereal grains. Funct. Plant Biol. 1993, 20, 621. [Google Scholar] [CrossRef]
- Wu, C.Y.; Trieu, A.; Radhakrishnan, P.; Kwok, S.F.; Harris, S.; Zhang, K.; Wang, J.; Wan, J.; Zhai, H.; Takatsuto, S.; et al. Brassinosteroids regulate grain filling in rice. Plant Cell 2008, 20, 2130–2145. [Google Scholar] [CrossRef]
- Xu, G.W.; Zhang, J.H.; Lam, H.M.; Wang, Z.Q.; Yang, J.C. Hormonal changes are related to the poor grain filling in the inferior spikelets of rice cultivated under non-flooded and mulched condition. Field Crops Res. 2007, 101, 53–61. [Google Scholar] [CrossRef]
- Liu, Y.; Sui, Y.W.; Gu, D.D.; Wen, X.X.; Chen, Y.; Li, C.H.; Liao, Y.C. Effects of conservation tillage on grain filling and hormonal changes in wheat under simulated rainfall conditions. Field Crops Res. 2013, 144, 43–51. [Google Scholar] [CrossRef]
- Ali, S.; Xu, Y.Y.; Ahmad, I.; Jia, Q.M.; Huang, F.Y.; Daur, I.; Wei, T.; Cai, T.; Ren, X.L.; Zhang, P.; et al. The ridge furrow cropping technique indirectly improves seed filling endogenous hormonal changes and winter wheat production under simulated rainfall conditions. Agric. Water Manag. 2018, 204, 138–148. [Google Scholar] [CrossRef]
- Yang, J.C.; Zhang, J.J.; Wang, Z.Q.; Zhu, Q.S.; Wang, W. Hormonal changes in the grains of rice subjected to water stress during grain filling. Plant Physiol. 2001, 127, 315–323. [Google Scholar] [CrossRef]
- Ahmad, I.; Kamran, M.; Ali, S.; Cai, T.; Bilegjargal, B.; Liu, T.L.; Han, Q.F. Seed filling in maize and hormones crosstalk regulated by exogenous application of uniconazole in semiarid regions. Environ. Sci. Pollut. Res. 2018, 25, 33225–33239. [Google Scholar] [CrossRef]
- Hedden, P. Gibberellin metabolism and its regulation. J. Plant Growth Regul. 2001, 20, 317–318. [Google Scholar] [CrossRef]
- Yamaguchi, S. Gibberellin metabolism and its regulation. Annu. Rev. Plant Biol. 2008, 59, 225–251. [Google Scholar] [CrossRef]
- Grennan, A.K. Gibberellin metabolism enzymes in rice. Plant Physiol. 2006, 141, 524–526. [Google Scholar] [CrossRef] [PubMed]
- Macmillan, J. Occurrence of gibberellins in vascular plants, fungi, and bacteria. J. Plant Growth Regul. 2001, 20, 387–442. [Google Scholar] [CrossRef] [PubMed]
- Hedden, P.; Thomas, S.G. Gibberellin biosynthesis and its regulation. Biochem. J. 2012, 444, 11–25. [Google Scholar] [CrossRef] [PubMed]
- Qian, C.L.; Ren, N.N.; Wang, J.Y.; Xu, Q.; Chen, X.H.; Qi, X.H. Effects of exogenous application of CPPU, NAA and GA4+7 on parthenocarpy and fruit quality in cucumber (Cucumis sativus L.). Food Chem. 2018, 243, 410–413. [Google Scholar] [CrossRef] [PubMed]
- Niu, Q.F.; Wang, T.; Li, J.Z.; Yang, Q.Q.; Qian, M.J.; Teng, Y.W. Effects of exogenous application of GA4+7 and N-(2-chloro-4-pyridyl)-N′-phenylurea on induced parthenocarpy and fruit quality in Pyrus pyrifolia ‘Cuiguan’. Plant Growth Regul. 2014, 76, 251–258. [Google Scholar] [CrossRef]
- Looney, N.E.; Granger, R.L.; Chu, C.L.; Mcartney, S.J.; Mander, L.N.; Pharis, R.P. Influences of gibberellins A4, A4 + 7, and A4 + iso—A7 on apple fruit quality and tree productivity. I. Effects on fruit russet and tree yield components. J. Hortic. Sci. Biotechnol. 2015, 67, 613–618. [Google Scholar] [CrossRef]
- Shi, P.; Chen, G.C.; Huang, Z.W. Effects of La3+ on the active oxygen-scavenging enzyme activities in cucumber seedling leaves. Russ. J. Plant Physiol. 2005, 52, 294–297. [Google Scholar]
- Wang, Y.C.; Gu, W.R.; Xie, T.L.; Li, L.J.; Sun, Y.; Zhang, H.; Li, J.; Wei, S. Mixed compound of DCPTA and CCC increases maize yield by improving plant morphology and up-regulating photosynthetic capacity and antioxidants. PLoS ONE 2016, 11, e0149404. [Google Scholar] [CrossRef]
- Zhang, L.J.; Zeng, F.L.; Xiao, R. Effect of lanthanum ions (La3+) on the reactive oxygen species scavenging enzymes in wheat leaves. Biol. Trace Elem. Res. 2003, 91, 243–252. [Google Scholar] [CrossRef]
- Liu, Y.; Han, J.; Liu, D.D.; Gu, D.D.; Wang, Y.P.; Liao, Y.C.; Wen, X.X. Effect of plastic film mulching on the grain filling and hormonal changes of maize under different irrigation conditions. PLoS ONE 2015, 10, e0122791. [Google Scholar] [CrossRef]
- Richards, F.J. A flexible growth function for empirical use. J. Exp. Bot. 1959, 10, 290–301. [Google Scholar] [CrossRef]
- Zhang, H.; Chen, T.T.; Wang, Z.Q.; Yang, J.C.; Zhang, J.H. Involvement of cytokinins in the grain filling of rice under alternate wetting and drying irrigation. J. Exp. Bot. 2010, 61, 3719–3733. [Google Scholar] [CrossRef] [PubMed]
- Ekmekci, Y.; Terzioglu, S. Effects of oxidative stress induced by paraquat on wild and cultivated wheats. Pestic. Biochem. Physiol. 2005, 83, 69–81. [Google Scholar] [CrossRef]
- Zhao, H.; Dai, T.B.; Jing, Q.; Jiang, D.; Cao, W.X. Leaf senescence and grain filling affected by post-anthesis high temperatures in two different wheat cultivars. Plant Growth Regul. 2007, 51, 149–158. [Google Scholar] [CrossRef]
- Zhang, Z.L. Experimental Guide of Plant Physiology; Higher Education Press: Beijing, China, 2001; pp. 28–32. [Google Scholar]
- Bilyeu, K.D.; Laskey, J.G.; Morris, R.O. Dynamics of expression and distribution of cytokinin oxidase/dehydrogenase in developing maize kernels. Plant Growth Regul. 2003, 39, 195–203. [Google Scholar] [CrossRef]
- Dietrich, J.T.; Kaminek, M.; Blevins, D.G.; Reinbott, T.M.; Morris, R.O. Changes in cytokinins and cytokinin oxidase activity in developing maize kernels and the effects of exogenous cytokinin on kernel development. Plant Physiol. Biochem. 1995, 33, 327–336. [Google Scholar]
- Yang, J.C.; Peng, S.B.; Visperas, R.M.; Sanico, A.L.; Zhu, Q.S.; Gu, S.L. Grain filling pattern and cytokinin content in the grains and roots of rice plants. Plant Growth Regul. 2000, 30, 261–270. [Google Scholar] [CrossRef]
- Yang, J.C.; Zhang, J.H.; Huang, Z.L.; Wang, Z.Q.; Zhu, Q.S.; Liu, L.J. Correlation of cytokinin levels in the endosperms and roots with cell number and cell division activity during endosperm development in rice. Ann. Bot. 2002, 90, 369–377. [Google Scholar] [CrossRef]
- Herzog, H. Relation of source and sink during grain filling period in Wheat and some aspects of its regulation. Physiol. Plant 2006, 56, 155–160. [Google Scholar] [CrossRef]
- Zhang, Y.J.; Zhang, X.; Chen, C.J.; Zhou, M.G.; Wang, H.C. Effects of fungicides JSi-12099-19, azoxystrobin, tebuconazloe, and carbendazim on the physiological and biochemical indices and grain yield of winter wheat. Pestic. Biochem. Physiol. 2010, 98, 151–157. [Google Scholar] [CrossRef]
- Ishimaru, K.; Hirotsu, N.; Madoka, Y.; Murakami, N.; Hara, N.; Onodera, H.; Kashiwagi, T.; Ujiie, K.; Shimizu, B.; Onishi, A.; et al. Loss of function of the IAA-glucose hydrolase gene TGW6 enhances rice grain weight and increases yield. Nat. Genet. 2013, 45, 707–711. [Google Scholar] [CrossRef]
- Fu, J.; Xu, Y.J.; Chen, L.; Yuan, L.M.; Wang, Z.Q.; Yang, J.C. Changes in enzyme activities involved in starch synthesis and hormone concentrations in superior and inferior spikelets and their association with grain filling of super rice. Rice Sci. 2013, 20, 120–128. [Google Scholar] [CrossRef]
- Davies, P.J. The plant hormones: Their Nature, occurrence, and functions. In Plant Hormones; Davies, P.J., Ed.; Springer: Dordrecht, The Netherlands, 2010; pp. 1–15. [Google Scholar]
- Seth, A.K.; Wareing, P.F. Hormone-directed transport of metabolites and its possible role in plant Senescence. J. Exp. Bot. 1967, 18, 65–77. [Google Scholar] [CrossRef]
- Singh, G.; Gerung, S.B. Hormonal role in the problem of sterility in Oryza sativa. Plant Physiol. Biochem. 1982, 9, 22–23. [Google Scholar]
- Yang, J.C.; Wang, Z.Q.; Zhu, Q.S.; Su, B.L. Regulation of ABA and GA to the grain filling of rice. Acta Agron. Sin. 1999, 25, 341–348. [Google Scholar]
- White, C.N.; Proebsting, W.M.; Hedden, P.; Rivin, C.J. Gibberellins and Seed Development in Maize. I. Evidence That Gibberellin/Abscisic Acid Balance Governs Germination versus Maturation Pathways. Plant Physiol. 2000, 122, 1081–1088. [Google Scholar] [CrossRef]
- White, C.N.; Rivin, C.J. Gibberellins and Seed Development in Maize. II. Gibberellin Synthesis Inhibition Enhances Abscisic Acid Signaling in Cultured Embryos. Plant Physiol. 2000, 122, 1089–1097. [Google Scholar] [CrossRef]
- Pang, C.H.; Wang, B.S. Oxidative stress and salt tolerance in plants. In Progress in Botany; Lüttge, U., Beyschlag, W., Murata, J., Eds.; Springer: Berlin/Heidelberg, Germany, 2008; Volume 69, pp. 231–245. [Google Scholar]
- Zhang, L.J.; Yang, T.W.; Gao, Y.S.; Liu, Y.B.; Zhang, T.G.; Xu, S.J.; Zeng, F.L.; An, L.Z. Effect of lanthanum ions (La3+) on ferritin-regulated antioxidant process under PEG stress. Biol. Trace Elem. Res. 2006, 113, 193–208. [Google Scholar] [CrossRef]
- Li, Y.T. Plant Physiology; Higher Education Press: Beijing, China, 2002. [Google Scholar]





| Soil Layer (cm) | SOM (g kg−1) | STN (g kg−1) | STP (g kg−1) | STK (g kg−1) | SAN (mg kg−1) | SAP (mg kg−1) | SAK (mg kg−1) |
|---|---|---|---|---|---|---|---|
| 0–20 | 10.91 | 1.41 | 0.82 | 5.86 | 58.41 | 26.18 | 95.98 |
| 20–40 | 8.85 | 0.99 | 0.73 | 4.99 | 46.30 | 19.85 | 68.24 |
| Year | Treatments | Kernel Number (No.ear−1) | Ear Length (cm) | Ear Diameter (mm) | Thousand Kernel Weight (g) | Grain Yield (t hm−2) |
|---|---|---|---|---|---|---|
| 2015 | Sh-0 | 477 ± 7ab | 14.1 ± 0.4b | 45.6 ± 0.4b | 284.1 ± 7.1b | 8.3 ± 0.3c |
| Sh-10 | 474 ± 18ab | 14.9 ± 0.2a | 46.2 ± 1.1b | 311.9 ± 9.6a | 9.5 ± 0.3b | |
| Sh-60 | 501 ± 12a | 14.9 ± 0.1a | 49.7 ± 0.7a | 319.1 ± 4.1a | 10.5 ± 0.7a | |
| Sh-120 | 470 ± 17b | 14 ± 0.5b | 45.3 ± 0.9b | 294.2 ± 8.8b | 8.9 ± 0.5bc | |
| Si-0 | 475.1 ± 2.3b | 14.1 ± 0.5b | 45.8 ± 0.1b | 285.1 ± 6.2c | 8.2 ± 0.22c | |
| Si-10 | 462.1 ± 25.2b | 14.1 ± 0.3b | 45.3 ± 0.7b | 297 ± 2b | 8.16 ± 0.49c | |
| Si-60 | 523 ± 20.1a | 15.4 ± 0.5a | 47.1 ± 0.5a | 311.7 ± 6.5a | 10.88 ± 0.14a | |
| Si-120 | 489.2 ± 19.9ab | 14.6 ± 0.3ab | 46.8 ± 0.3a | 305.4 ± 6.2ab | 9.89 ± 0.17b | |
| 2016 | Sh-0 | 512 ± 2c | 15.4 ± 0.2c | 46.8 ± 1b | 294.1 ± 4.6c | 8.8 ± 0.5c |
| Sh-10 | 582 ± 4b | 16.3 ± 0.2b | 49.5 ± 0.5a | 315.3 ± 3.9b | 9.9 ± 0.5b | |
| Sh-60 | 602 ± 10a | 17.3 ± 0.7a | 50.2 ± 0.4a | 329.8 ± 6.5a | 11.1 ± 0.1a | |
| Sh-120 | 577 ± 3b | 16.7 ± 0.5ab | 48 ± 0.9b | 312 ± 3.9b | 9.1 ± 0.4bc | |
| Si-0 | 506 ± 6c | 15.2 ± 0.5b | 46.9 ± 0.5c | 290.8 ± 7.5b | 8.7 ± 0.03d | |
| Si-10 | 581 ± 6b | 17.2 ± 0.1a | 49.7 ± 0.2a | 310.3 ± 7.1a | 9.6 ± 0.02c | |
| Si-60 | 613 ± 9a | 17.5 ± 0.4a | 49.3 ± 0.6a | 320.9 ± 3.9a | 11.74 ± 0.76a | |
| Si-120 | 581 ± 7b | 17.4 ± 0.2a | 48.3 ± 0.5b | 307.7 ± 9.6a | 10.5 ± 0.05b |
| Treatments | Wmax (mg) | Gmax (mg Grain−1 d−1) | Gmean (mg Grain−1 d−1) |
|---|---|---|---|
| Sh-0 | 288.3 ± 4.51c | 8.48 ± 0.37c | 5.47 ± 0.08c |
| Sh-10 | 309.0 ± 3.81b | 9.16 ± 0.31b | 5.89 ± 0.15b |
| Sh-60 | 323.2 ± 2.2a | 10.88 ± 0.47a | 6.74 ± 0.05a |
| Sh-120 | 305.8 ± 3.86b | 9.09 ± 0.12bc | 5.75 ± 0.11b |
| Si-0 | 285.3 ± 2.18c | 8.55 ± 0.54b | 5.48 ± 0.24c |
| Si-10 | 300.1 ± 2.09b | 8.98 ± 0.14ab | 5.61 ± 0.03bc |
| Si-60 | 318.5 ± 3.09a | 9.74 ± 0.58a | 6.43 ± 0.06a |
| Si-120 | 303.6 ± 5.64b | 9.18 ± 0.35ab | 5.93 ± 0.37b |
| Years | Treatments | CC (Yuan hm−2) | FC (Yuan hm−2) | LC (Yuan hm−2) | GC (Yuan hm−2) | TC (Yuan hm−2) | YI (Yuan hm−2) | NI (Yuan hm−2) |
|---|---|---|---|---|---|---|---|---|
| 2015 | Sh-0 | 1325 | 2603 | 370 | 0 | 4298 | 16,740 | 12,442b |
| Sh-10 | 126 | 4424 | 17,100 | 12,676b | ||||
| Sh-60 | 756 | 5054 | 18,900 | 13,846a | ||||
| Sh-120 | 1512 | 5810 | 16,020 | 10,210c | ||||
| Si-0 | 1325 | 2603 | 370 | 0 | 4298 | 14,760 | 10,462c | |
| Si-10 | 126 | 4424 | 14,690 | 10,266c | ||||
| Si-60 | 756 | 5054 | 19,580 | 14,526a | ||||
| Si-120 | 1512 | 5810 | 17,800 | 11,990b | ||||
| 2016 | Sh-0 | 1325 | 2603 | 370 | 0 | 4298 | 16,720 | 12,422c |
| Sh-10 | 126 | 4424 | 18,810 | 14,386b | ||||
| Sh-60 | 756 | 5054 | 21,090 | 16,036a | ||||
| Sh-120 | 1512 | 5810 | 17,290 | 11,480d | ||||
| Si-0 | 1325 | 2603 | 370 | 0 | 4298 | 16530 | 12,232c | |
| Si-10 | 126 | 4424 | 18,240 | 13,816b | ||||
| Si-60 | 756 | 5054 | 22,306 | 17,252a | ||||
| Si-120 | 1512 | 5810 | 19,950 | 14,140b |
| Wmax | Gmax | Gmean | |
|---|---|---|---|
| IAA | 0.889 ** | 0.866 ** | 0.832 * |
| ZR | 0.988 ** | 0.914 ** | 0.908 ** |
| GA3 | 0.859 ** | 0.841 ** | 0.897 ** |
| ABA | 0.481 | 0.376 | 0.495 |
© 2020 by the authors. Licensee MDPI, Basel, Switzerland. This article is an open access article distributed under the terms and conditions of the Creative Commons Attribution (CC BY) license (http://creativecommons.org/licenses/by/4.0/).
Share and Cite
Cui, W.; Song, Q.; Zuo, B.; Han, Q.; Jia, Z. Effects of Gibberellin (GA4+7) in Grain Filling, Hormonal Behavior, and Antioxidants in High-Density Maize (Zea mays L.). Plants 2020, 9, 978. https://doi.org/10.3390/plants9080978
Cui W, Song Q, Zuo B, Han Q, Jia Z. Effects of Gibberellin (GA4+7) in Grain Filling, Hormonal Behavior, and Antioxidants in High-Density Maize (Zea mays L.). Plants. 2020; 9(8):978. https://doi.org/10.3390/plants9080978
Chicago/Turabian StyleCui, Wenwen, Quanhao Song, Bingyun Zuo, Qingfang Han, and Zhikuan Jia. 2020. "Effects of Gibberellin (GA4+7) in Grain Filling, Hormonal Behavior, and Antioxidants in High-Density Maize (Zea mays L.)" Plants 9, no. 8: 978. https://doi.org/10.3390/plants9080978
APA StyleCui, W., Song, Q., Zuo, B., Han, Q., & Jia, Z. (2020). Effects of Gibberellin (GA4+7) in Grain Filling, Hormonal Behavior, and Antioxidants in High-Density Maize (Zea mays L.). Plants, 9(8), 978. https://doi.org/10.3390/plants9080978
