Selenium Enhances Cadmium Accumulation Capability in Two Mustard Family Species—Brassica napus and B. juncea
Abstract
1. Introduction
2. Results
2.1. Effect of Different Valence States of Se on Plant Growth
2.2. Effect of Different Valence States of Se on Se and Cd Content
2.3. Effect of Different Valence States of Se on H2O2, O2−, and Lipid Peroxidation
2.4. Effect of Different Valence States of Se on Antioxidant Enzymes Activities
2.5. Effect of Different Valence States of Se on Photosynthetic Parameters
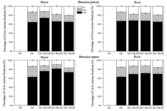
2.6. Effect of Different Valence States of Se on Subcellular Cd Distribution
3. Discussion
4. Materials and Methods
4.1. Plant Materials and Experimental Design
4.2. Plant Growth, Biomass, and Element Determination
4.3. Histochemical Staining and Determination of H2O2, O2−, and Lipid Peroxidation
4.4. Determination of Antioxidant Enzyme Activity
4.5. Determination of Photosystem Parameters and Chlorophyll Fluorescence
4.6. Subcellular Distribution of Cd
4.7. Data Analysis
5. Conclusions
Author Contributions
Funding
Acknowledgments
Conflicts of Interest
Abbreviations
| AsA | ascorbic acid |
| BJ | Brassica juncea |
| BN | Brassica napus |
| CAT | catalase |
| Cd | Cadmium |
| Ci | intercellular carbon dioxide concentration |
| DAB | 3,3-diaminobenzidine |
| DTT | dithiothreitol |
| DW | dry weight |
| Fco | organelle part fraction |
| Fcw | cell wall fraction |
| Fs | soluble fraction |
| Fv/Fm | maximum photochemical quantum yield of PSII |
| Gs | stomatal conductance |
| GSH | glutathione |
| ICP-MS | inductively coupled plasma-mass spectrometry |
| MDA | malondialdehyde |
| NBT | nitro blue tetrazolium |
| NPQ | non-photochemical quenching |
| Pn | net photosynthetic rate |
| POD | peroxidase |
| PSII | photosystem II |
| Se | Selenium |
| SOD | superoxide dismutase |
| TBARS | thiobarbituric acid-reactive substances |
| Tr | transpiration rate |
| ΦPSII | actual photochemical efficency |
References
- Alkorta, I.; Hernándezallica, J.; Becerril, J.M.; Amezaga, I.; Albizu, I.; Garbisu, C. Recent findings on the phytoremediation of soils contaminated with environmentally toxic heavy metals and metalloids such as zinc, cadmium, lead, and arsenic. Rev. Environ. Sci. Biol. 2004, 3, 71–90. [Google Scholar] [CrossRef]
- Liu, L.; Hao, X.H.; Tian, L.F.; Dai, X.J.; Liang, M.Z.; Li, D.P.; Chen, L.B. Research progresses on the mechanism of Cd absorption, transport and accumulation in plant. Life Sci. Res. 2015, 4, 515–517. [Google Scholar]
- Moral, R.; Gomez, I.; Pedreno, J.N.; Mataix, J. Effects of cadmium on nutrient distribution, yield, and growth of tomato grown in soilless culture. J. Plant Nutr. 1994, 17, 953–962. [Google Scholar] [CrossRef]
- Shah, K.; Kumar, R.G.; Verma, S.; Dubey, R.S. Effect of cadmium on lipid peroxidation, superoxide anion generation and activities of antioxidant enzymes in growing rice seedlings. Plant Sci. 2001, 161, 1135–1144. [Google Scholar] [CrossRef]
- Wangstrand, H.; Eriksson, J.; Born, I. Cadmium concentration in winter wheat as affected by nitrogen fertilization. Eur. J. Agron. 2007, 26, 209–214. [Google Scholar] [CrossRef]
- Chen, Q.; Lu, X.; Guo, X.; Pan, Y.; Yu, B.; Tang, Z.; Qing, G. Differential responses to cd stress induced by exogenous application of Cu, Zn or Ca in the medicinal plant. Cathar. Roseus. Ecotoxicol. Environ. Saf. 2018, 157, 266–275. [Google Scholar] [CrossRef] [PubMed]
- Nawaz, F.; Ashraf, M.Y.; Ahmad, R.; Waraich, E.A.; Shabbir, R.N.; Bukhari, M.A. Supplemental selenium improves wheat grain yield and quality through alterations in biochemical processes under normal and water deficit conditions. Food Chem. 2015, 175, 350–357. [Google Scholar] [CrossRef] [PubMed]
- Saidi, I.; Chtourou, Y.; Djebali, W. Selenium alleviates cadmium toxicity by preventing oxidative stress in sunflower (Helianthus annuus) seedlings. J. Plant Physiol. 2014, 171, 85–91. [Google Scholar] [CrossRef] [PubMed]
- Zhao, J.; Hu, Y.; Gao, Y.; Li, Y.; Li, B.; Dong, Y.; Chai, Z. Mercury modulates Selenium activity via altering its accumulation and speciation in garlic (Allium sativum). Metallomics 2013, 5, 896. [Google Scholar] [CrossRef]
- Feng, R.; Wei, C.; Tu, S.; Ding, Y.; Song, Z. A dual role of Se on Cd toxicity: Evidences from the uptake of Cd and some essential elements and the growth responses in paddy rice. Biol. Trace Elem. Res. 2012, 151, 113–121. [Google Scholar] [CrossRef]
- Lin, L.; Zhou, W.; Dai, H.; Cao, F.; Zhang, G.; Wu, F. Selenium reduces cadmium uptake and mitigates cadmium toxicity in rice. J. Hazard. Mater. 2012, 235–236, 343–351. [Google Scholar] [CrossRef] [PubMed]
- Sharma, V.K.; Mcdonald, T.J.; Sohn, M.; Anquandah, G.A.K.; Pettine, M.; Zboril, R. Assessment of toxicity of selenium and cadmium selenium quantum dots: A review. Chemosphere 2017, 188, 403–413. [Google Scholar] [CrossRef] [PubMed]
- Dechun, S.; Huanzhong, H. The phytoremediation potential of oilseed rape (B. juncea) as a hyperaccumulator for cadmium contaminated soil. J. Environ. Sci. 2002, 22, 48–51. [Google Scholar]
- D’Alessandro, A.; Taamalli, M.; Gevi, F.; Timperio, A.M.; Zolla, L.; Ghnaya, T. Cadmium stress responses in Brassica juncea: Hints from proteomics and metabolomics. J. Proteome Res. 2013, 12, 4979–4997. [Google Scholar] [CrossRef]
- Ginneken, L.V.; Meers, E.; Guisson, R.; Ruttens, A.; Elst, K.; Tack, F.M.G.; Vangronsveld, J.; Diels, L.; Dejonghe, W. Phytoremediation for heavy metal-contaminated soils combined with bioenergy production. J. Environ. Eng. Landsc. 2007, 15, 227–236. [Google Scholar] [CrossRef]
- Hawrylak-Nowak, B.; Dresler, S.; Wójcik, M. Selenium affects physiological parameters and phytochelatins accumulation in cucumber (Cucumis sativus L.) plants grown under cadmium exposure. Sci. Horticult. 2014, 172, 10–18. [Google Scholar] [CrossRef]
- Mozafariyan, M.; Shekari, L.; Hawrylak-Nowak, B.; Kamelmanesh, M.M. Protective role of selenium on pepper exposed to cadmium stress during reproductive stage. Biol. Trace Elem. Res. 2014, 160, 97–107. [Google Scholar] [CrossRef]
- Malik, J.A.; Kumar, S.; Thakur, P.; Sharma, S.; Kaur, N.; Kaur, R.; Pathania, D.; Bhandhari, K.; Kaushal, N.; Singh, K.; et al. Promotion of growth in mungbean (Phaseolus aureus Roxb.) by Selenium is associated with stimulation of carbohydrate metabolism. Biol. Trace Elem. Res. 2011, 143, 530–539. [Google Scholar] [CrossRef]
- Pennanen, A.; Xue, T.L.; Hartikainen, H. Protective role of selenium in plant subjected to severe UV irradiation stress. J. Appl. Bot. Angew. Bot. 2015, 76, 66–76. [Google Scholar]
- Shanker, K.; Mishra, S.; Srivastava, S.; Srivastava, R.; Daas, S.; Prakash, S.; Srivastava, M.M. Effect of selenite and selenite on plant uptake and translocation of mercury by tomato (Lycopersicum esculentum). Plant Soil 1996, 183, 233–238. [Google Scholar] [CrossRef]
- Wu, Z.; Liu, S.; Zhao, J.; Wang, F.; Du, Y.; Zou, S.; Lia, H.; Wen, D.; Huang, Y. Comparative responses to Silicon and Selenium in relation to antioxidant enzyme system and the glutathione-ascorbate cycle in flowering Chinese cabbage (Brassica campestris L. ssp. chinensis var. utilis) under cadmium stress. Environ. Exp. Bot. 2017, 133, 1–11. [Google Scholar] [CrossRef]
- Zhang, L.H.; Shi, W.M.; Wang, X.C. Difference in Selenium accumulation in shoots of two rice cultivars. Pedosphere 2006, 5, 104–111. [Google Scholar] [CrossRef]
- Banuelos, G.S.; Fakra, S.C.; Walse, S.S.; Marcus, M.A.; Yang, S.I.; Pickering, I.J.; Pilon-Smits, E.A.H.; Freeman, J.L. Selenium accumulation, distribution, and speciation in spineless prickly pear cactus: A drought- and salt-tolerant, Selenium-enriched nutraceutical fruit crop for biofortified foods. Plant Physiol. 2010, 155, 315–327. [Google Scholar] [CrossRef] [PubMed]
- Persson, D.P.; Chen, A.; Aarts, M.G.M.; Salt, D.E.; Schjoerring, J.K.; Husted, S. Multi-element bioimaging of Arabidopsis thaliana roots. Plant Physiol. 2016, 172, 835–847. [Google Scholar] [CrossRef]
- Tamaoki, M.; Freeman, J.L.; Pilon-Smits, E.A.H. Cooperative ethylene and jasmonic acid signaling regulates selenite resistance in Arabidopsis. Plant Physiol. 2008, 146, 1219–1230. [Google Scholar] [CrossRef]
- Terry, N.; Zayed, A.M.; Souza, M.P.D. Selenium in higher plants. Annu. Rev. Plant Biol. 2000, 51, 401–432. [Google Scholar] [CrossRef]
- Gomes, M.A.D.; Hauser-Davis, R.A.; Suzuki, M.S.; Vitória, A.P. Plant Chromium uptake and transport, physiological effects and recent advances in molecular investigations. Ecotox. Environ. Safe. 2017, 140, 55–64. [Google Scholar] [CrossRef]
- Lai, H.Y. Subcellular distribution and chemical forms of cadmium in impatiens walleriana in relation to its phytoextraction potential. Chemosphere 2015, 138, 370–376. [Google Scholar] [CrossRef]
- Cobbett, C.S. Phytochelatins and their roles in heavy metal detoxification. Plant Physiol. 2000, 123, 825–832. [Google Scholar] [CrossRef]
- Zhu, X.F.; Wang, Z.W.; Dong, F.; Lei, G.J.; Shi, Y.Z.; Li, G.X.; Zheng, S.J. Exogenous auxin alleviates cadmium toxicity in Arabidopsis thaliana by stimulating synthesis of hemicellulose 1 and increasing the cadmium fixation capacity of root cell walls. J. Hazard. Mater. 2013, 263, 398–403. [Google Scholar] [CrossRef]
- Zhao, Y.Y.; Hu, C.X.; Wu, Z.C.; Liu, X.W.; Cai, M.M.; Jia, W.; Zhao, X.H. Selenium reduces cadmium accumulation in seed by increasing cadmium retention in root of oilseed rape (Brassica napus L.). Environ. Exp. Bot. 2019, 158, 161–170. [Google Scholar] [CrossRef]
- DalCorso, G.; Farinati, S.; Maistri, S.; Furini, A. How plants cope with cadmium: Staking all on metabolism and gene expression. J. Integr. Plant Biol. 2008, 50, 1268–1280. [Google Scholar] [CrossRef] [PubMed]
- Mendoza-Cozatl, D.G.; Jobe, T.O.; Hauser, F.; Schroeder, J.I. Long-distance transport, vacuolar sequestration, tolerance, and transcriptional responses induced by cadmium and arsenic. Curr. Opin. Plant Biol. 2011, 14, 554–562. [Google Scholar] [CrossRef] [PubMed]
- Filek, M.; Keskinen, R.; Hartikainen, H.; Szarejko, I.; Janiak, A.; Miszalski, Z.; Golda, A. The protective role of Selenium in rape seedlings subjected to cadmium stress. J. Plant Physiol. 2008, 165, 833–844. [Google Scholar] [CrossRef]
- Tang, H.; Liu, Y.; Gong, X.; Zeng, G.; Zheng, D.; Wang, D.; Sun, Z.; Zhou, L.; Zeng, X. Effects of selenium and silicon on enhancing antioxidative capacity in ramie (Boehmeria nivea (L.) Gaud) under cadmium stress. Environ. Sci. Pollut. Res. 2015, 22, 9999–10008. [Google Scholar] [CrossRef]
- Mishra, S.; Srivastava, S.; Tripathi, R.D.; Kumar, R.; Seth, C.S.; Gupta, D.K. Lead detoxification by coontail (Ceratophyllum demersum L.) involves induction of phytochelatins and antioxidant system in response to its accumulation. Chemosphere 2006, 65, 1027–1039. [Google Scholar] [CrossRef]
- Gill, S.S.; Tuteja, N. Reactive oxygen species and antioxidant machinery in abiotic stress tolerance in crop plants. Plant Physiol. Biochem. 2010, 48, 909–930. [Google Scholar] [CrossRef]
- Ahmad, P.; Abd Allah, E.F.; Hashem, A.; Sarwat, M.; Gucel, S. Exogenous application of Selenium mitigates cadmium toxicity in Brassica juncea L. (Czern & Cross) by Up-regulating antioxidative system and secondary netabolites. J. Plant Growth Regul. 2016, 35, 936–950. [Google Scholar]
- Qing, X.; Zhao, X.; Hu, C.; Wang, P.; Zhang, Y.; Zhang, X.; Zhang, P.; Wang, P.; Shi, H.; Jia, F.; et al. Selenium alleviates chromium toxicity by preventing oxidative stress in cabbage (Brassica campestris L. ssp pekinensis) leaves. Ecotox. Environ. Safe. 2015, 114, 179–189. [Google Scholar] [CrossRef]
- Küpper, H.; Parameswaran, A.; Leitenmaier, B.; Trtílek, M.; Šetlík, I. Cadmium-induced inhibition of photosynthesis and long-term acclimation to cadmium stress in the hyperaccumulator. Thlaspi Caerulescens. New Phytol. 2007, 175, 655–674. [Google Scholar] [CrossRef]
- Chen, Y.E.; Cui, J.M.; Yang, J.C.; Zhang, Z.W.; Yuan, M.; Song, C.; Yang, H.; Liu, H.M.; Wang, C.Q.; Zhang, H.Y.; et al. Biomonitoring heavy metal contaminations by moss visible parameters. J. Hazard. Mater. 2015, 296, 201–209. [Google Scholar] [CrossRef] [PubMed]
- Chen, Y.E.; Mao, H.T.; Wu, N.; Khan, A.; Din, A.M.U.; Ding, C.B.; Zhang, Z.W.; Yuan, S.; Yuan, M. Different tolerance of photosynthetic apparatus to Cd stress in two rice cultivars with the same leaf Cd accumulation. Acta Physiol. Plant. 2019, 41, 191. [Google Scholar] [CrossRef]
- Kumar, M.; Bijo, A.J.; Baghel, R.S.; Reddy, C.R.K.; Jha, B. Selenium and spermine alleviate cadmium induced toxicity in the red seaweed Gracilaria dura by regulating antioxidants and DNA methylation. Plant Physiol. Biochem. 2012, 51, 129–138. [Google Scholar] [CrossRef] [PubMed]
- Mallick, N.; Mohn, F.H. Use of chlorophyll fluorescence in metal-stress research: A case study with the green microalgae Scenedesmus. Ecotox. Environ. Safe. 2003, 55, 64–69. [Google Scholar] [CrossRef]
- Alyemeni, M.N.; Ahanger, M.A.; Wijaya, L.; Alam, P.; Bhardwaj, R.; Ahmad, P. Selenium mitigates cadmium-induced oxidative stress in tomato (Solanum lycopersicum L.) plants by modulating chlorophyll fluorescence, osmolyte accumulation, and antioxidant system. Protoplasma 2017, 255, 459–469. [Google Scholar] [CrossRef]
- Khan, N.A.; Asgher, M.; Per, T.S.; Masood, A.; Fatma, M.; Khan, M.I.R. Ethylene potentiates sulfur-mediated reversal of cadmium inhibited photosynthetic responses in mustard. Front. Plant Sci. 2016, 7, 1628. [Google Scholar] [CrossRef]
- Yang, Y.; Qi, M.; Mei, C. Endogenous salicylic acid protects rice plants from oxidative damage caused by aging as well as biotic and abiotic stress. Plant J. 2004, 40, 909–919. [Google Scholar] [CrossRef]
- Djanaguiraman, M.; Prasad, P.V.V.; Seppanen, M. Selenium protects sorghum leaves from oxidative damage under high temperature stress by enhancing antioxidant defense system. Plant Physiol. Biochem. 2012, 48, 999–1007. [Google Scholar] [CrossRef]
- Liu, X.; Peng, K.; Wang, A.; Lian, C.; Shen, Z. Cadmium accumulation and distribution in populations of Phytolacca americana L. and the role of transpiration. Chemosphere 2010, 78, 1136–1141. [Google Scholar] [CrossRef]
- Esfandiari, E.O.; Shakiba, M.R.; Mahboob, S.A.; Alyari, H.; Toorchi, M. Water stress, antioxidant enzyme activity and lipid peroxidation in wheat seedling. J. Food Agric. Environ. 2015, 5, 149–153. [Google Scholar]
- Verma, S.; Mishra, S.N. Putrescine alleviation of growth in salt stressed Brassica juncea by inducing antioxidative defense system. J. Plant Physiol. 2005, 162, 669–677. [Google Scholar] [CrossRef] [PubMed]
- Wang, J.; Yuan, J.; Yang, Z.; Huang, B.; Zhou, Y.; Xin, J.; Gong, Y.L.; Yu, H. Variation in cadmium accumulation among 30 cultivars and cadmium subcellular distribution in 2 selected cultivars of water spinach (Ipomoea aquatica Forsk). J. Agr. Food Chem. 2009, 57, 8942–8949. [Google Scholar] [CrossRef] [PubMed]






| Materials | Treatments | Pn (μmol m−2 s−1) | Gs (mmol m−2 s−1) | Ci (mmol m−2 s−1) | Tr (μmol m−2 s−1) |
|---|---|---|---|---|---|
| BJ | CK | 14.36 ± 0.03b | 1.08 ± 0.08a | 399.68 ± 1.51e | 1.45 ± 0.03d |
| Cd | 6.59 ± 0.01i | 0.16 ± 0.00f | 374.63 ± 0.50f | 0.77 ± 0.00g | |
| Cd + Se(VI) | 9.37 ± 0.06g | 0.68 ± 0.01d | 434.11 ± 0.06c | 2.54 ± 0.02a | |
| Cd + Se(IV) | 12.95 ± 0.06d | 0.77 ± 0.05c | 349.80 ± 1.50h | 2.18 ± 0.04d | |
| Cd + Se(II) | 13.32 ± 0.00c | 0.49 ± 0.01e | 373.08 ± 0.42fg | 1.99 ± 0.00c | |
| BN | CK | 16.85 ± 0.02a | 0.04 ± 0.00e | 442.03 ± 0.12b | 2.20 ± 0.00b |
| Cd | 5.77 ± 0.01j | 0.12 ± 0.01f | 400.25 ± 2.42e | 0.24 ± 0.02h | |
| Cd + Se(VI) | 8.89 ± 0.06h | 0.96 ± 0.01b | 423.74 ± 0.37d | 1.32 ± 0.00e | |
| Cd + Se(IV) | 11.49 ± 0.09f | 0.14 ± 0.00f | 371.07 ± 2.41g | 1.22 ± 0.02f | |
| Cd + Se(II) | 12.00 ± 0.04e | 0.73 ± 0.00c | 492.57 ± 0.14a | 1.97 ± 0.00c |
© 2020 by the authors. Licensee MDPI, Basel, Switzerland. This article is an open access article distributed under the terms and conditions of the Creative Commons Attribution (CC BY) license (http://creativecommons.org/licenses/by/4.0/).
Share and Cite
Zhang, Z.-W.; Dong, Y.-Y.; Feng, L.-Y.; Deng, Z.-L.; Xu, Q.; Tao, Q.; Wang, C.-Q.; Chen, Y.-E.; Yuan, M.; Yuan, S. Selenium Enhances Cadmium Accumulation Capability in Two Mustard Family Species—Brassica napus and B. juncea. Plants 2020, 9, 904. https://doi.org/10.3390/plants9070904
Zhang Z-W, Dong Y-Y, Feng L-Y, Deng Z-L, Xu Q, Tao Q, Wang C-Q, Chen Y-E, Yuan M, Yuan S. Selenium Enhances Cadmium Accumulation Capability in Two Mustard Family Species—Brassica napus and B. juncea. Plants. 2020; 9(7):904. https://doi.org/10.3390/plants9070904
Chicago/Turabian StyleZhang, Zhong-Wei, Yi-Ying Dong, Ling-Yang Feng, Zong-Lin Deng, Qiang Xu, Qi Tao, Chang-Quan Wang, Yang-Er Chen, Ming Yuan, and Shu Yuan. 2020. "Selenium Enhances Cadmium Accumulation Capability in Two Mustard Family Species—Brassica napus and B. juncea" Plants 9, no. 7: 904. https://doi.org/10.3390/plants9070904
APA StyleZhang, Z.-W., Dong, Y.-Y., Feng, L.-Y., Deng, Z.-L., Xu, Q., Tao, Q., Wang, C.-Q., Chen, Y.-E., Yuan, M., & Yuan, S. (2020). Selenium Enhances Cadmium Accumulation Capability in Two Mustard Family Species—Brassica napus and B. juncea. Plants, 9(7), 904. https://doi.org/10.3390/plants9070904

