Discovery of Dihydrophaseic Acid Glucosides from the Florets of Carthamus tinctorius
Abstract
1. Introduction
2. Results and Discussion
2.1. Isolation of Compounds
2.2. Elucidation of Compound Structures
2.3. Inhibitory Effects of Compounds 1 and 2 on Adipogenesis in 3T3-L1 Preadipocytes
3. Materials and Methods
3.1. Plant Material
3.2. Extraction and Isolation
(2E,4E)-Dihydrophaseic Acid Methyl Ester-3-O-β-D-Glucopyranoside (1)
3.3. Computational Analysis
3.4. Enzymatic Hydrolysis and Absolute Configuration Determination of the Sugar Moiety
3.5. Cell Culture and Differentiation
3.6. Oil Red O Staining
3.7. Reverse Transcription and Quantitative Real-Time PCR
- β-actin forward, 5′-ACGGCCAGGTCATCACTATTG-3′
- β-actin reverse, 5′-TGGATGCCACAGGATTCCA-3′
- Adipsin forward, 5′-CATGCTCGGCCCTACATG-3′
- Adipsin reverse, 5′-CACAGAGTCGTCATCCGTCAC-3′
- Fabp4 forward, 5′-AAGGTGAAGAGCATCATAACCCT-3′
- Fabp4 reverse, 5′-TCACGCCTTTCATAACACATTCC-3′
3.8. Statistical Analysis
4. Conclusions
Supplementary Materials
Author Contributions
Funding
Conflicts of Interest
References
- Delshad, E.; Yousefi, M.; Sasannezhad, P.; Rakhshandeh, H.; Ayati, Z. Medical uses of Carthamus tinctorius L. (Safflower): A comprehensive review from traditional medicine to modern medicine. Electron. Physician 2018, 10, 6672–6681. [Google Scholar] [CrossRef] [PubMed]
- Hong, H.; Kim, H.; Lee, T.; Kim, D.; Kim, H.; Choo, Y.; Park, Y.; Lee, Y.; Kim, C. Inhibitory effect of a Korean traditional medicine, Honghwain-Jahage (water extracts of Carthamus tinctorius L. seed and Hominis placenta) on interleukin-1-mediated bone resorption. J. Ethnopharmacol. 2002, 79, 143–148. [Google Scholar] [CrossRef]
- Russo, E.; Dreher, M.C.; Mathre, M.L. Women and Cannabis: Medicine, Science, and Sociology, 1st ed.; Haworth Press: New York, NY, USA, 2003; p. 6. [Google Scholar]
- Zhou, X.; Tang, L.; Xu, Y.; Zhou, G.; Wang, Z. Towards a better understanding of medicinal uses of Carthamus tinctorius L. in traditional Chinese medicine: A phytochemical and pharmacological review. J. Ethnopharmacol. 2014, 151, 27–43. [Google Scholar] [CrossRef] [PubMed]
- He, J.; Shen, Y.; Jiang, J.; Yang, Y.; Feng, Z.; Zhang, P.; Yuan, S.; Hou, Q. New polyacetylene glucosides from the florets of Carthamus tinctorius and their weak anti-inflammatory activities. Carbohydr. Res. 2011, 346, 1903–1908. [Google Scholar] [CrossRef] [PubMed]
- Chiwocha, S.D.; Abrams, S.R.; Ambrose, S.J.; Cutlerm, A.J.; Loewen, M.; Ross, A.R.; Kermodem, A.R. A method for profiling classes of plant hormones and their metabolites using liquid chromatography-electrospray ionization tandem mass spectrometry: An analysis of hormone regulation of thermodormancy of lettuce (Lactuca sativa L.) seeds. Plant J. 2003, 35, 405–417. [Google Scholar] [CrossRef]
- Jiang, J.S.; Xia, P.F.; Feng, Z.M.; Zhang, P.C. Chemical constituents from flowers of Carthamus tinctorius. Zhongguo Zhong Yao Za Zhi 2008, 33, 2911–2913. [Google Scholar]
- Clark, T.N.; Ellsworth, K.; Li, H.; Johnson, J.A.; Gray, C.A. Isolation of the plant hormone (+)-abscisic acid as an antimycobacterial constituent of the medicinal plant endophyte Nigrospora sp. Nat. Prod. Commun. 2013, 8, 1673–1674. [Google Scholar] [CrossRef]
- Kim, K.H.; Choi, S.U.; Lee, K.R. Diterpene Glycosides from the Seeds of Pharbitis nil. J. Nat. Prod. 2009, 72, 1121–1127. [Google Scholar] [CrossRef]
- Masi, M.; Meyer, S.; Cimmino, A.; Andolfi, A.; Evidente, A. Pyrenophoric acid, a phytotoxic sesquiterpenoid penta-2,4-dienoic acid produced by a potential mycoherbicide, Pyrenophora semeniperda. J. Nat. Prod. 2014, 77, 925–930. [Google Scholar] [CrossRef]
- So, H.M.; Eom, H.J.; Lee, D.; Kim, S.; Kang, K.S.; Lee, I.K.; Baek, K.-H.; Park, J.Y.; Kim, K.H. Bioactivity evaluations of betulin identified from the bark of Betula platyphylla var. japonica for cancer therapy. Arch. Pharm. Res. 2018, 41, 815–822. [Google Scholar]
- Yu, J.S.; Roh, H.-S.; Baek, K.-H.; Lee, S.; Kim, S.; So, H.M.; Moon, E.; Pang, C.; Jang, T.S.; Kim, K.H. Bioactivity-guided isolation of ginsenosides from Korean Red Ginseng with cytotoxic activity against human lung adenocarcinoma cells. J. Ginseng Res. 2018, 42, 562–570. [Google Scholar] [CrossRef] [PubMed]
- Baek, S.C.; Choi, E.; Eom, H.J.; Jo, M.S.; Kim, S.; So, H.M.; Kim, S.H.; Kang, K.S.; Kim, K.H. LC/MS-based analysis of bioactive compounds from the bark of Betula platyphylla var. japonica and their effects on regulation of adipocyte and osteoblast differentiation. Nat. Prod. Sci. 2018, 24, 235–240. [Google Scholar]
- Yu, J.S.; Lee, D.; Lee, S.R.; Lee, J.W.; Choi, C.-I.; Jang, T.S.; Kang, K.S.; Kim, K.H. Chemical characterization of cytotoxic indole acetic acid derivative from Mulberry fruit (Morus alba L.) against human cervical cancer. Bioorg. Chem. 2018, 76, 28–36. [Google Scholar] [CrossRef] [PubMed]
- Trinh, T.A.; Park, E.J.; Lee, D.; Song, J.H.; Lee, H.L.; Kim, K.H.; Kim, Y.; Jung, K.; Kang, K.S.; Yoo, J.E. Estrogenic activity of sanguiin H-6 through activation of estrogen receptor α coactivator-binding site. Nat. Prod. Sci. 2019, 25, 28–33. [Google Scholar] [CrossRef][Green Version]
- Jo, M.S.; Yu, J.S.; Lee, J.C.; Lee, S.; Cho, Y.C.; Park, H.J.; Kim, K.H. Lobatamunsolides A–C, Norlignans from the Roots of Pueraria lobata and their Nitric Oxide Inhibitory Activities in Macrophages. Biomolecules 2019, 9, 755. [Google Scholar] [CrossRef]
- He, J.; Chen, Z.; Yang, Y.; Jiang, J.; Feng, Z.; Zhang, P. Chemical constituents from aqueous extract of Carthamus tinctorius. Chin. Pharm. J. 2014, 49, 455–458. [Google Scholar]
- Pavia, D.L.; Lampman, G.M.; Kriz, G.S.; Vyvyan, J.R. Introduction to Spectroscopy, 4th ed.; Cengage Learning: Stamford, CT, USA, 2008; pp. 237–297. [Google Scholar]
- Nguyen, T.T.H.; Nguyen, X.N.; Yen, D.T.H.; Hang, D.T.T.; Tai, B.H.; Quang, T.H.; Hoang, L.T.A.; Kiem, P.V.; Minh, C.V.; Kim, E.J.; et al. Chemical constituents of the Annona glabra fruit and their cytotoxic activity. Pharm. Biol. 2015, 53, 1602–1607. [Google Scholar]
- Lee, S.R.; Yi, S.A.; Nam, K.H.; Ryoo, R.; Lee, J.; Kim, K.H. Pantheric acids A-C from a poisonous mushroom, Amanita pantherina promote lipid accumulation in adipocytes. J. Nat. Prod. 2019, 82, 3489–3493. [Google Scholar] [CrossRef]
- Baek, S.C.; Nam, K.H.; Yi, S.A.; Jo, M.S.; Lee, K.H.; Lee, Y.H.; Lee, J.; Kim, K.H. Anti-adipogenic effect of β-carboline alkaloids from garlic (Allium sativum). Foods 2019, 8, 673. [Google Scholar] [CrossRef]
- Lee, S.; Choi, E.; Yang, S.-M.; Ryoo, R.; Moon, E.; Kim, S.-H.; Kim, K.H. Bioactive compounds from sclerotia extract of Poria cocos that control adipocyte and osteoblast differentiation. Bioorg. Chem. 2018, 81, 27–34. [Google Scholar] [CrossRef]
- Lee, S.R.; Park, H.B.; Kim, K.H. Highly sensitive, simple, and cost/time-effective method to determine the absolute configuration of a secondary alcohol using competing enantioselective acylation coupled with LC/MS. Anal. Chem. 2018, 90, 13212–13216. [Google Scholar] [CrossRef] [PubMed]
- So, H.M.; Yu, J.S.; Khan, Z.; Subedi, L.; Ko, Y.-J.; Lee, I.K.; Park, W.S.; Chung, S.J.; Ahn, M.-J.; Kim, S.Y.; et al. Chemical constituents of the root bark of Ulmus davidiana var. japonica and their potential biological activities. Bioorg. Chem. 2019, 91, 103145. [Google Scholar] [PubMed]
- Rischera, M.; Lee, S.R.; Eom, H.J.; Park, H.B.; Vollmers, J.; Kaster, A.-K.; Shin, Y.-H.; Oh, D.-C.; Kim, K.H.; Beemelmanns, C. Spirocyclic cladosporicin A and cladosporiumins I and J from a Hydractinia-associated Cladosporium sphaerospermum SW67. Org. Chem. Front. 2019, 6, 1084–1093. [Google Scholar] [CrossRef]
- Lee, S.R.; Seok, S.; Ryoo, R.; Choi, S.U.; Kim, K.H. Macrocyclic Trichothecene Mycotoxins from a Deadly Poisonous Mushroom Podostroma cornu-damae. J. Nat. Prod. 2019, 82, 122–128. [Google Scholar] [CrossRef] [PubMed]
- Lv, M.-M.; Tan, M.-H.; Lu, L.-W.; Zhang, R.-H.; Guo, Z.-Y.; Liu, C.-X.; Yang, J.; Zou, K.; Proksch, P. Chinoketides A and B, two new antimicrobial polyketides from the endophytes of Distylium chinense with the “Black-Box” co-culture method. Nat. Prod. Sci. 2018, 24, 159–163. [Google Scholar] [CrossRef]

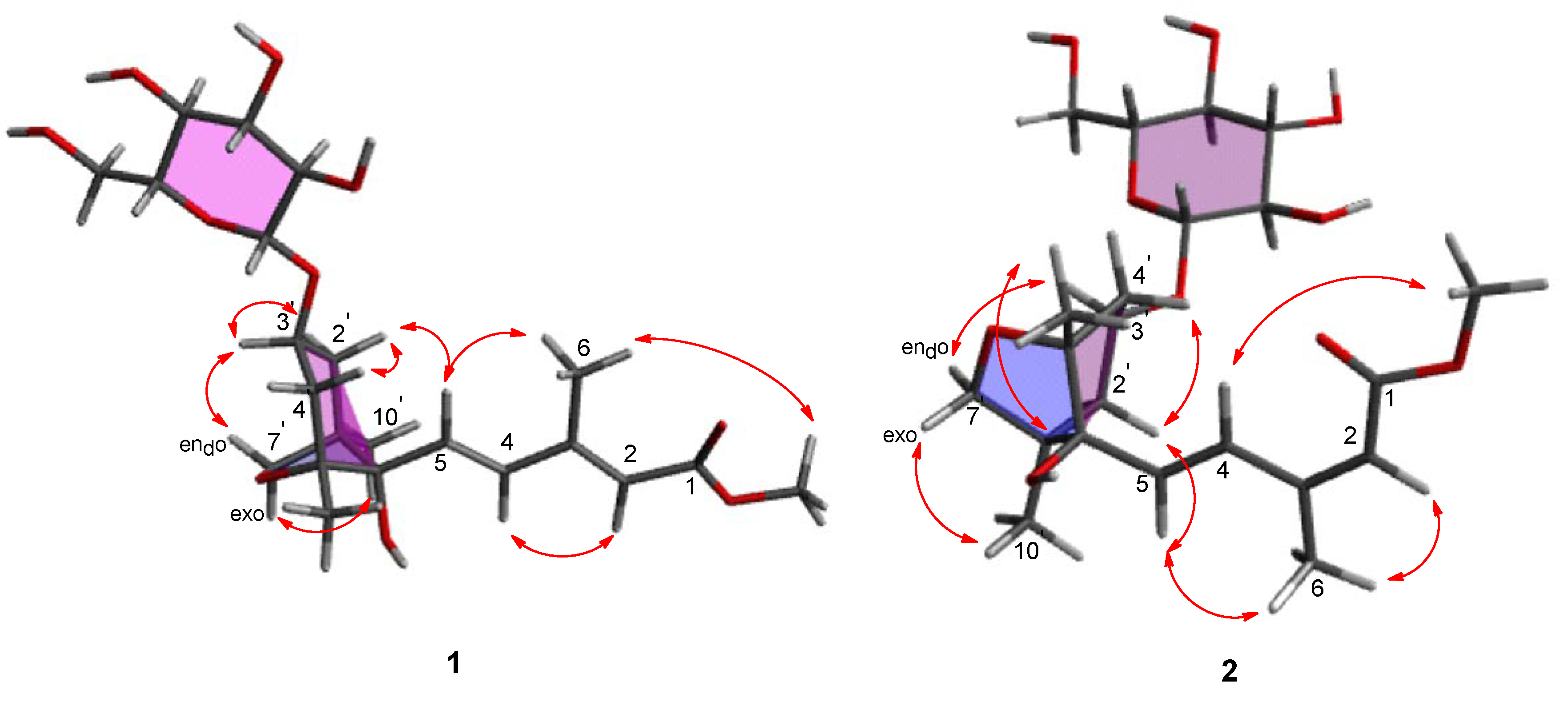
) and key heteronuclear multiple bond correlation (HMBC) (
) correlations for compound 1.
) and key heteronuclear multiple bond correlation (HMBC) (
) correlations for compound 1.



| Position | 1 | 2 | ||
|---|---|---|---|---|
| δH | δC | δH | δC | |
| 1 | 168.8 | 167.9 | ||
| 2 | 5.89 s | 120.0 | 5.78 s | 117.3 |
| 3 | 153.2 | 151.9 | ||
| 4 | 6.66 d (15.5) | 137.3 | 8.01 d (15.5) | 131.5 |
| 5 | 6.58 d (15.5) | 134.2 | 6.55 d (15.5) | 135.4 |
| 6 | 2.34 s | 13.9 | 2.09 s | 20.8 |
| 1’ | 49.4 | 49.2 | ||
| 2’ | ax: 1.80 dd (14.0, 10.0); eq: 2.00 ddd (14.0, 7.0, 1.5) | 42.5 | ax: 1.81 dd (13.5, 11.0); eq: 2.19 dd (13.5, 5.5) | 42.3 |
| 3’ | 4.26 tt (10.0, 7.0) | 73.6 | 4.28 tt (11.0, 5.5) | 73.6 |
| 4’ | ax: 1.80 dd (14.0, 10.0); eq: 2.20 ddd (14.0, 7.0, 1.5) | 42.5 | ax: 1.81 m; eq: 1.99 dd (13.5, 5.5) | 42.3 |
| 5’ | 87.6 | 87.2 | ||
| 7’ | endo: 3.77 d (7.5); exo: 3.80 d (7.5) | 76.9 | endo: 3.76 d (7.5); exo: 3.81 d (7.5) | 76.7 |
| 8’ | 83.1 | 83.1 | ||
| 9’ | 1.13 s | 19.4 | 1.17 s | 19.2 |
| 10’ | 0.91 s | 16.0 | 0.94 s | 15.9 |
| 1’’ | 4.37 d (8.0) | 102.1 | 4.36 d (8.0) | 102.5 |
| 2’’ | 3.14 dd (9.0, 8.0) | 74.9 | 3.14 dd (9.0, 8.0) | 74.9 |
| 3’’ | 3.28 m | 77.8 | 3.28 m | 77.8 |
| 4’’ | 3.28 m | 71.3 | 3.28 m | 71.3 |
| 5’’ | 3.35 m | 77.9 | 3.35 m | 77.9 |
| 6’’ | 3.86 dd (12.0, 2.0); 3.66 dd (12.0, 5.5) | 62.6 | 3.86 dd (12.0, 2.0); 3.66 dd (12.0, 5.5) | 62.3 |
| OCH3’ | 3.70 s | 51.2 | 3.70 s | 50.8 |
© 2020 by the authors. Licensee MDPI, Basel, Switzerland. This article is an open access article distributed under the terms and conditions of the Creative Commons Attribution (CC BY) license (http://creativecommons.org/licenses/by/4.0/).
Share and Cite
Baek, S.C.; Lee, B.S.; Yi, S.A.; Yu, J.S.; Lee, J.; Ko, Y.-J.; Pang, C.; Kim, K.H. Discovery of Dihydrophaseic Acid Glucosides from the Florets of Carthamus tinctorius. Plants 2020, 9, 858. https://doi.org/10.3390/plants9070858
Baek SC, Lee BS, Yi SA, Yu JS, Lee J, Ko Y-J, Pang C, Kim KH. Discovery of Dihydrophaseic Acid Glucosides from the Florets of Carthamus tinctorius. Plants. 2020; 9(7):858. https://doi.org/10.3390/plants9070858
Chicago/Turabian StyleBaek, Su Cheol, Bum Soo Lee, Sang Ah Yi, Jae Sik Yu, Jaecheol Lee, Yoon-Joo Ko, Changhyun Pang, and Ki Hyun Kim. 2020. "Discovery of Dihydrophaseic Acid Glucosides from the Florets of Carthamus tinctorius" Plants 9, no. 7: 858. https://doi.org/10.3390/plants9070858
APA StyleBaek, S. C., Lee, B. S., Yi, S. A., Yu, J. S., Lee, J., Ko, Y.-J., Pang, C., & Kim, K. H. (2020). Discovery of Dihydrophaseic Acid Glucosides from the Florets of Carthamus tinctorius. Plants, 9(7), 858. https://doi.org/10.3390/plants9070858

