Postveraison Deficit Irrigation Effects on Fruit Quality and Yield of “Flame Seedless” Table Grape Cultivated under Greenhouse and Net
Abstract
1. Introduction
2. Material and Methods
2.1. Experimental Site and Vine Management
2.2. Experimental Design and Measurements
3. Results
3.1. Irrigation Water Applied
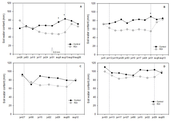
3.2. Soil Water Content
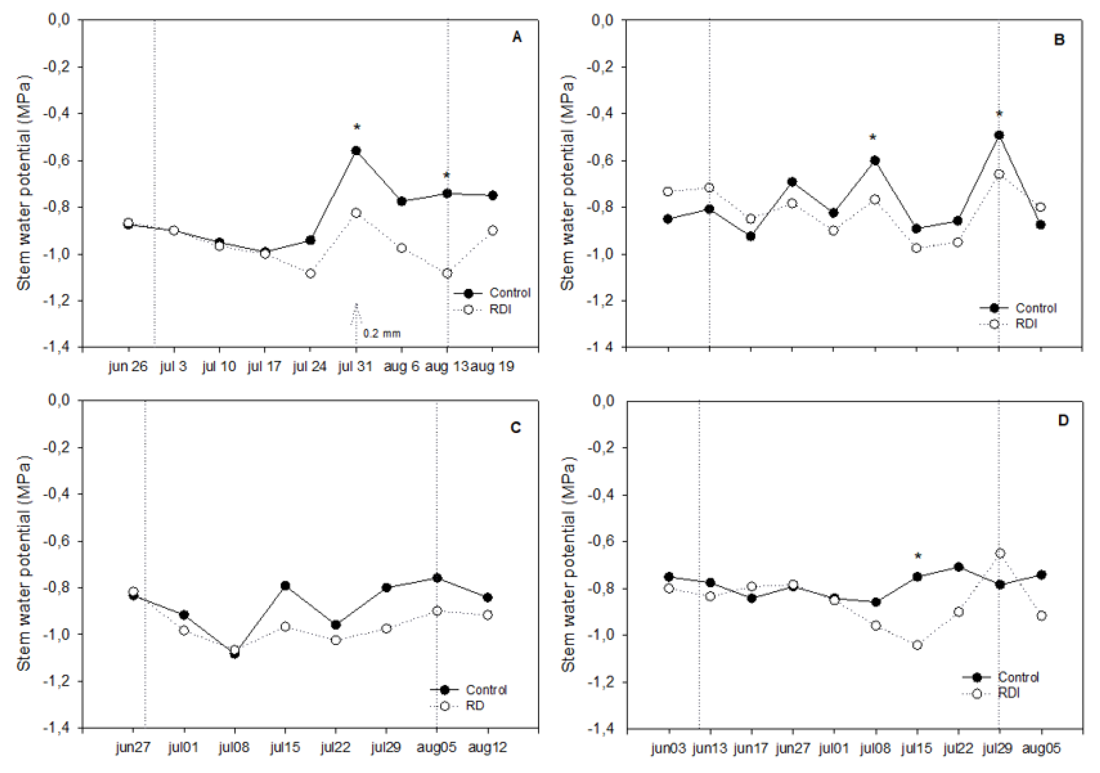
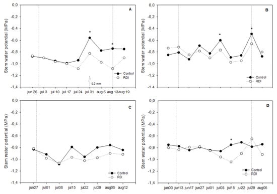
3.3. Stem Water Potential
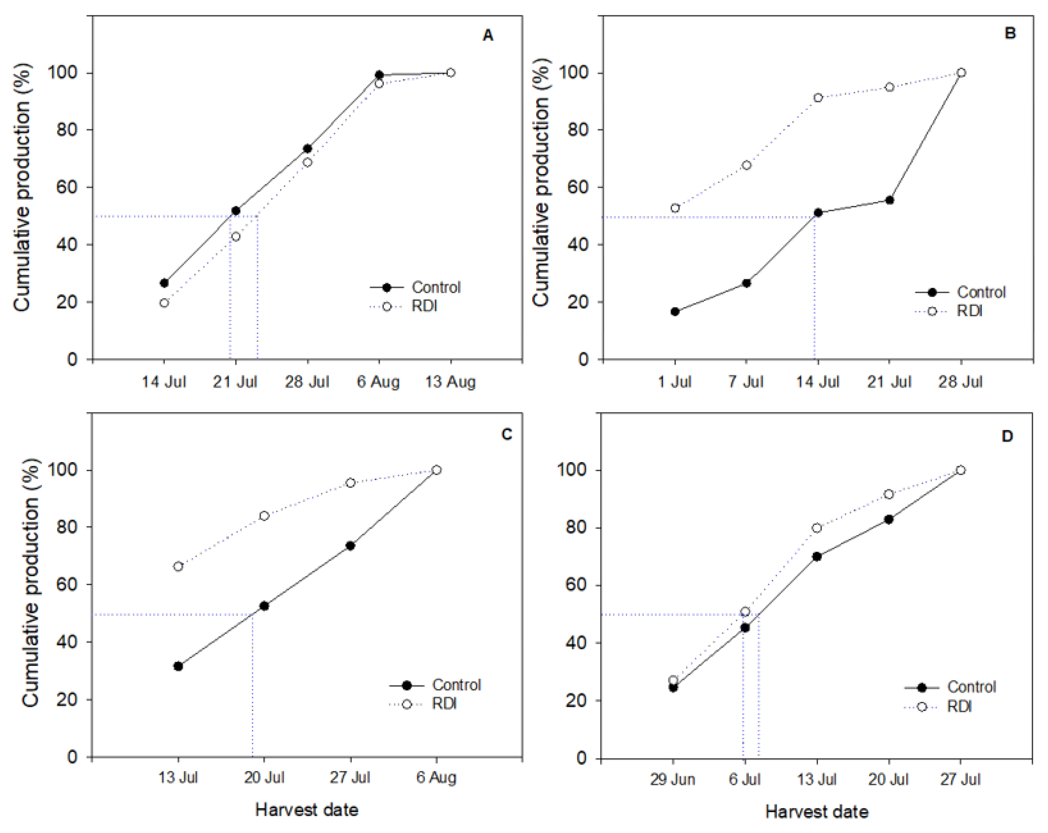
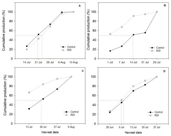
3.4. Yield
3.5. Water Use Efficiency (WUE)
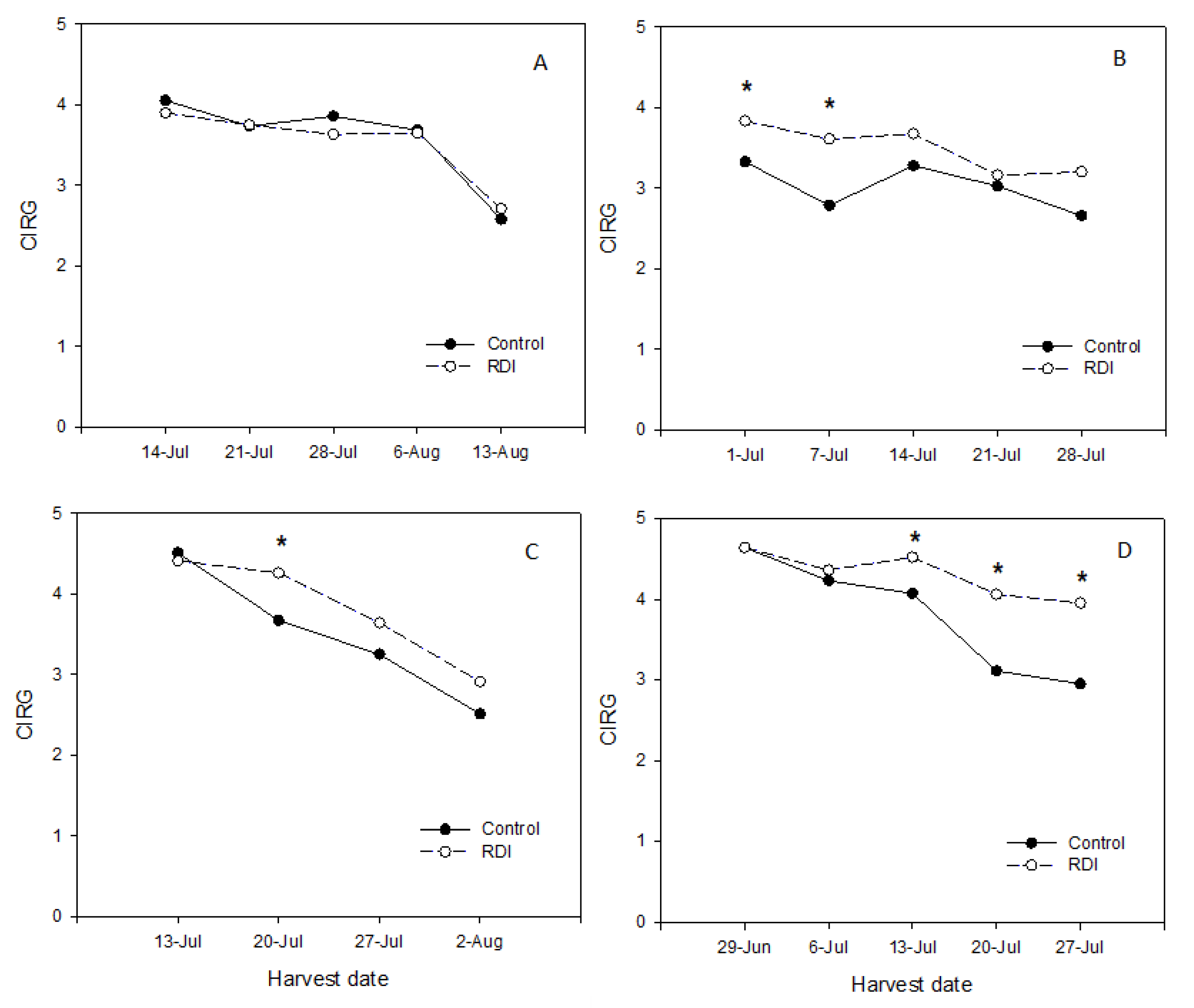
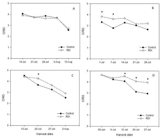
3.6. Fruit Quality
4. Discussion
5. Conclusions
Author Contributions
Funding
Conflicts of Interest
References
- Roberto, S.R.; De Assis, A.M.; Yamamoto, L.Y.; Miotto, L.C.V.; Sato, A.J.; Koyama, R.; Genta, W. Application timing and concentration of abscisic acid improve color of ‘Benitaka’ table grape. Sci. Hortic. 2012, 142, 44–48. [Google Scholar] [CrossRef]
- Shahab, M.; Roberto, S.R.; Ahmed, S.; Colombo, R.C.; Silvestre, J.P.; Koyama, R.; De Souza, R.T. Anthocyanin accumulation and color development of ‘Benitaka’ table grape subjected to exogenous abscisic acid application at different timings of ripening. Agronomy 2019, 9, 164. [Google Scholar] [CrossRef]
- De Oliveira, A.F.; Nieddu, G. Deficit irrigation strategies in Vitis vinifera L. cv. Cannoau under Mediterranean climate. Part II-Cluster microclimate and anthocyanin accumulation patterns. S. Afr. J. Enol. Vitic. 2013, 34, 184–195. [Google Scholar]
- Movahed, N.; Pastore, C.; Cellini, A.; Allegro, G.; Valentini, G.; Zenoni, S.; Cavallini, E.; D’Incà, E.; Tornielli, G.B.; Filippetti, I. The grapevine VviPrx31 peroxidase as a candidate gene involved in anthocyanin degradation in ripening berries under high temperature. J. Plant Res. 2016, 129, 513–526. [Google Scholar] [CrossRef] [PubMed]
- Downey, M.O.; Dokoozlian, N.; Drstic, M. Cultural practice and environmental impacts on the flavonid composition of grapes and wine: A review of recent researchs. Am. J. Enol. Vitic. 2006, 57, 257–268. Available online: https://www.ajevonline.org/content/ajev/57/3/257.full.pdf (accessed on 28 September 2020).
- Papaioannou, C.; Katsoulas, N.; Maletsika, P.; Siomos, A.; Kittas, C. Effects of a UV-absorbing greenhouse covering film on tomato yield and quality. Span. J. Agric. Res. 2012, 10, 959–966. [Google Scholar] [CrossRef]
- Di Lorenzo, R.; Gambino, C.; Scafidi, P. Summer pruning in table grape. Adv. Hort. Sci. 2011, 25, 143–150. [Google Scholar]
- Pastore, C.; Zenoni, S.; Fasoli, M.; Pezzotti, M.; Tornielli, G.B.; Filippetti, I. Selective defoliation affects plant growth, fruit transcriptional ripening program and flavonoid metabolism in grapevine. BMC Plant Biol. 2013, 13, 30. [Google Scholar] [CrossRef]
- Ferrara, G.; Mazzeo, A.; Matarrese, A.M.S.; Pacucci, C.; Pacifico, A.; Gambacorta, G.; Faccia, M.; Trani, A.; Gallo, V.; Cafagna, I.; et al. Application of abscisic acid (S-ABA) to ‘crimson seedless’ grape berries in a Mediterranean climate: Effects on color, chemical characteristics, metabolic profile, and S-ABA concentration. J. Plant Growth Regul. 2013, 32, 491–505. [Google Scholar] [CrossRef]
- Peppi, M.C.; Fidelibus, M.W.; Dokoozlian, N. Timing and concentration of abscisic acid applications affect the quality of ‘crimson seedless’ grapes. Int. J. Fruit Sci. 2008, 7, 71–83. [Google Scholar] [CrossRef]
- Deluc, L.G.; Quilici, D.R.; Decendit, A.; Grimplet, J.; Wheatley, M.D.; Schlauch, K.A.; Mérillon, J.-M.; Cushman, J.C.; Cramer, G.R. Water deficit alters differentially metabolic pathways affecting important flavor and quality traits in grape berries of Cabernet Sauvignon and Chardonnay. BMC Genom. 2009, 10, 212–233. [Google Scholar] [CrossRef]
- Hiratsuka, S.; Onodera, H.; Kawai, Y.; Kubo, T.; Itoh, H.; Wada, R. ABA and sugar effects on anthocyanin formation in grape berry cultured in vitro. Sci. Hortic. 2001, 90, 121–130. [Google Scholar] [CrossRef]
- Lund, S.T.; Peng, F.Y.; Nayar, T.; Reid, K.E.; Schlosser, J. Gene expression analyses in individual grape (Vitis vinifera L.) berries during ripening initiation reveal that pigmentation intensity is a valid indicator of developmental staging within the cluster. Plant Mol. Biol. 2008, 68, 301–315. [Google Scholar] [CrossRef]
- Peppi, M.C.; Fidelibus, M.W.; Dokoozlian, N. Abscisic acid application timing and concentration affect firmness, pigmentation, and color of ‘flame seedless’ grapes. HortScience 2006, 41, 1440–1445. [Google Scholar] [CrossRef]
- Marco, A.T.; Francisco, J.D.N.; Adilson, P.J.; Marlon, J.R.D.S.; Sergio, R.R.; Ronny, C.S.; Tecchio, M.A.; Neto, F.J.D.; Junior, A.P.; Da Silva, M.J.R.; et al. Improvement of color and increase in anthocyanin content of Niagara Rosada grapes with application of abscisic acid. Afr. J. Biotechnol. 2017, 16, 1400–1403. [Google Scholar] [CrossRef]
- Neto, F.J.D.; Tecchio, M.A.; Junior, A.P.; Vedoato, B.T.F.; Lima, G.; Roberto, S.R. Effect of ABA on colour of berries, anthocyanin accumulation and total phenolic compounds of ‘Rubi’ table grape (Vitis vinifera). Aust. J. Crop. Sci. 2017, 11, 199–205. [Google Scholar] [CrossRef]
- Balint, G.; Reynolds, A.G. Impact of irrigation strategies on abscisic acid and its catabolites profiles in leaves and berries of Baco noir grapes. J. Plant Growth Regul. 2013, 32, 884–900. [Google Scholar] [CrossRef]
- Calderon-Orellana, A.; Bambach, N.; Aburto, F.; Calderón, M. Water deficit synchronizes berry color development in crimson seedless table grapes. Am. J. Enol. Vitic. 2018, 70, 60–67. [Google Scholar] [CrossRef]
- Conesa, M.R.; Dodd, I.C.; Temnani, A.; De La Rosa, J.; Pérez-Pastor, A. Physiological response of post-veraison deficit irrigation strategies and growth patterns of table grapes (cv. Crimson Seedless). Agric. Water Manag. 2018, 208, 363–372. [Google Scholar] [CrossRef]
- Fuentes, S.; De Bei, R.; Collins, M.; Escalona, J.; Medrano, H.; Tyerman, S. Night-time responses to water supply in grapevines (Vitis vinifera L.) under deficit irrigation and partial root-zone drying. Agric. Water Manag. 2014, 138, 1–9. [Google Scholar] [CrossRef]
- Niculcea, M.; López, J.; Sánches-Díaz, M.; Antolín, M.C. Involvement of berry hormonal content in the response to pre- and post-veraison water deficit indifferent grapevine (Vitis vinifera L.) cultivars. Aust. J. Grape Wine Res. 2014, 20, 281–291. [Google Scholar] [CrossRef]
- Peacock, W.; Dokoozlian, N.; Peacock, R.; Allen, B. Irrigation and Canopy Management Strategies for ‘Crimson Seedless’; Cooperative Extension, University of California: Tulare County, CA, USA, 1997; pp. 10–97. Available online: http://cetulare.ucanr.edu/files/82044.pdf (accessed on 28 August 2020).
- Pinillos, V.; Chiamolera, F.M.; Ortiz, J.F.; Hueso, J.J.; Cuevas, J. Post-veraison regulated deficit irrigation in ‘Crimson Seedless’ table grape saves water and improves berry skin color. Agric. Water Manag. 2016, 165, 181–189. [Google Scholar] [CrossRef]
- Conesa, M.R.; Falagán, N.; De La Rosa, J.M.; Aguayo, E.; Domingo, R.; Pérez-Pastor, A. Post-veraison deficit irrigation regimes enhance berry coloration and health-promoting bioactive compounds in ‘Crimson Seedless’ table grapes. Agric. Water Manag. 2016, 163, 9–18. [Google Scholar] [CrossRef]
- Alonso, F.; Hueso, J.J.; Navarro, J.L.; Cuevas, J. Efectos de la cubierta plástica sobre la precocidad del cultivar de uva de mesa apirena ‘Flame Seedless’. Actas Hortic. 2003, 39, 444–446. [Google Scholar]
- Tarricone, L.; Amendolagine, A.; Di Gennaro, D.; Masi, G.; Gentilesco, G. Rootstock and soil management effects on productive characteristics of ‘Princess Seedless®’ table grapes in Apulia region (southern Italy): First results. Acta Hortic. 2018, 197–204. [Google Scholar] [CrossRef]
- IMIDA. Servicio de Información Agraria de Murcia. 2012. Available online: http://siam.imida.es (accessed on 31 January 2020).
- Topp, G.C.; David, J.L.; Annan, A.P. Electromagnetic, determination of soilwater content: Measurement in coaxial transmission lines. Water Resour. Res. 1980, 16, 574–582. [Google Scholar] [CrossRef]
- McCutchan, H.; Shackel, K.S. Stem water potential as a sensitive indicator ofwater stress in prune trees (Prunus domestica L. cv. French). J. Am. Soc. Hortic. Sci. 1992, 117, 607–611. [Google Scholar] [CrossRef]
- Carreño, J.; Martínez, A.; Almeda, L.; Fernández-López, J.A. Proposal of anindex for the objective evaluation of the color of red table grapes. Food Res. Int. 1995, 28, 373–377. [Google Scholar] [CrossRef]
- Herrera, J.C.; Castellarin, S.D. Preveraison water deficit accelerates berry color change in Merlot grapevines. Am. J. Enol. Vitic. 2016, 67, 356–360. [Google Scholar] [CrossRef]
- Kyraleou, M.; Koundouras, S.; Kallithraka, S.; Theodorou, N.; Proxenia, N.; Kotseridis, Y. Effect of irrigation regime on anthocyanin content and antioxidant activity of Vitis vinifera L. cv. Syrah grapes under semiarid conditions. J. Sci. Food Agric. 2015, 96, 988–996. [Google Scholar] [CrossRef]
- Acevedo-Opazo, C.; Ortega-Farias, S.; Fuentes, S. Effects of grapevine (Vitis vinifera L.) water status on water consumption, vegetative growth and grape quality: An irrigation scheduling application to achieve regulated deficit irrigation. Agric. Water Manag. 2010, 97, 956–964. [Google Scholar] [CrossRef]
- Attia, F.; García, F.; Ben Mariem, F.; Nuzzo, V.; Dedieu, F.; García, M.; Lamaze, T. Water stress in Tannant and Duras grapevines cultivars (Vitis vinifera L.): Leaf photosynthesis and grape phenolic maturity. J. Int. Sci. Vigne Vin. 2010, 81–93. [Google Scholar]
- Bucchetti, B.; Matthews, M.A.; Falginella, L.; Peterlunger, E.; Castellarin, S.D. Effect of water deficit on Merlot grape tannins and anthocyanins across four seasons. Sci. Hortic. 2011, 128, 297–305. [Google Scholar] [CrossRef]
- El-Ansary, D.O.; Okamoto, G. Vine water relations and quality of ‘Muscat of Alexandria’ table grapes subjected to partial root-zone drying and regulated deficit irrigation. J. Jpn. Soc. Hortic. Sci. 2007, 76, 13–19. [Google Scholar] [CrossRef]
- Intrigliolo, D.S.; Castel, J.R. Response of grapevine cv. ‘Tempranillo’ to timingand amount of irrigation: Water relations, vine growth, yield and berry and wine composition. Irrig. Sci. 2010, 28, 113–125. [Google Scholar] [CrossRef]
- Matthews, M.A.; Anderson, M.M. Fruit ripening in Vitis vinifera L. responsesto seasonal water deficits. Am. J. Enol. Vitic. 1988, 39, 313–320. [Google Scholar]
- Santesteban, L.G.; Miranda, C.; Royo, J.B. Regulated deficit irrigation effects on growth, yield, grape quality and individual anthocyanin composition in Vitis vinifera L. cv. ‘Tempranillo’. Agric. Water Manag. 2011, 98, 1171–1179. [Google Scholar] [CrossRef]
- Faci, J.M.; Blanco, O.; Medina, E.T.; Martínez-Cob, A. Effect of post veraisonregulated deficit irrigation in production and berry quality of Autumn Royaland Crimson table grape cultivars. Agric. Water Manag. 2014, 134, 73–83. [Google Scholar] [CrossRef]
- Colapietra, M. L´uva da Tavola. Lo Coltura, il Mercato, il Consumo Ed; Il Sole 24 Ore Edagricole: Milano, Italy, 2004; p. 382. [Google Scholar]
- Behboudian, M.H.; Marsal, J.; Girona, J.; López, G. Quality and yield responses of decidious fruits to reduced irrigation. Hortic. Rev. 2011, 38, 149–189. [Google Scholar]
- Naor, A. Irrigation Scheduling and evaluation of tree water status in deciduous orchards. Hortic. Rev. 2010, 32, 111–165. [Google Scholar] [CrossRef]






| Net | ||||||||||||
|---|---|---|---|---|---|---|---|---|---|---|---|---|
| Jan | Feb | Mar | Apr | May | Jun | Jul | Aug | Sep | Oct | Nov | Dec | |
| Kc a | - | 0.28 | 0.30 | 0.33 | 0.40 | 0.45 | 0.45 | 0.38 | 0.30 | 0.30 | 0.25 | - |
| ETo b | 47 | 64 | 90 | 113 | 140 | 164 | 200 | 165 | 116 | 87 | 56 | 45 |
| Greenhouse | ||||||||||||
| Kc a | -- | 0.30 | 0.30 | 0.38 | 0.40 | 0.43 | 0.40 | 0.35 | 0.3 | 0.30 | 0.25 | - |
| ETo b | 31 | 29 | 37 | 60 | 101 | 113 | 121 | 106 | 82 | 57 | 37 | 27 |
| 2015 | 2016 | ||||
|---|---|---|---|---|---|
| Treatment | TWA (mm) | WA-RDI (mm) | TWA (mm) | WA-RDI (mm) | |
| Net | Control | 475.0 | 112.0 | 473.0 | 94.6 |
| RDI | 389.2 (18.1%) | 26.2 (76.6%) | 400.2 (15.4%) | 21.8 (77.0%) | |
| Greenhouse | Control | 317.1 | 96.0 | 315.0 | 114.9 |
| RDI | 244.3 (23.0%) | 23.0 (76.0%) | 231.6 (26.5%) | 31.5 (72.6%) | |
| 2015 | 2016 | |||||||||
|---|---|---|---|---|---|---|---|---|---|---|
| Treatments | Total Yield (kg Vine−1) | Yield Per Cluster Type (kg Vine−1) | Cluster Weight (kg) | Total Yield (kg Vine−1) | Yield Per Cluster Type (kg Vine-1) | Cluster Weight (kg) | ||||
| >80% | 60–80% | <60% | >80% | 60–80% | <60% | |||||
| Net | Net | |||||||||
| Control | 24.9 | 22.0 | 2.0 | 0.4 | 0.35 | 31.6 | 21.8 | 8.2 | 1.5 | 0.46 |
| RDI | 28.6 | 24.3 | 3.9 | 0.4 | 0.39 | 26.0 | 22.9 | 2.8 | 0.4 | 0.37 |
| p | n.s. | n.s | n.s | n.s. | n.s | n.s. | n.s. | n.s. | n.s. | n.s. |
| Greenhouse | Greenhouse | |||||||||
| Control | 31.1 a * | 12.6 | 12.1 a | 5.9 a | 0.38 | 33.1 a | 26.0 | 4.6 a | 1.3 | 0.41 |
| RDI | 20.6 b | 16.6 | 3.8 b | 0.2 b | 0.31 | 26.0 b | 23.6 | 1.3 b | 0.2 | 0.36 |
| p | 0.04 | n.s | 0.01 | 0.03 | n.s | n.s | 0.03 | n.s | n.s | |
| 2015 | 2016 | |
|---|---|---|
| Treatment | WUE (kg m−3) | WUE (kg m−3) |
| Net | ||
| Control | 2.9 | 3.9 |
| RDI | 3.8 | 3.6 |
| p | n.s. | n.s. |
| Greenhouse | ||
| Control | 8.0 | 8.6 |
| RDI | 6.9 | 9.2 |
| p | n.s. | n.s. |
| 2015 | 2016 | |||||||
|---|---|---|---|---|---|---|---|---|
| Treatments | Diameter (cm) | Weight (g) | TSS (°Brix) | TA (g L−1 Tartaric Acid) | Diameter (cm) | Weight (g) | TSS (°Brix) | TAn(g L−1 Tartaric Acid) |
| Net | Net | |||||||
| Control | 1.8 | 3.6 | 16.2 | 5.5 | 1.8 | 3.6 | 14.9 | 4.0 |
| RDI | 1.8 | 3.5 | 16.2 | 6.1 | 1.7 | 3.0 | 15.3 | 4.6 |
| p | n.s | n.s | n.s | n.s | n.s | n.s | n.s | n.s |
| Greenhouse | Greenhouse | |||||||
| Control | 1.9 | 4.2 | 14.9 | 5.0 | 1.9 | 4.7 | 15.4 | 2.0 |
| RDI | 1.9 | 4.1 | 15.0 | 4.8 | 1.8 | 4.2 | 15.9 | 2.1 |
| p | n.s | n.s | n.s | n.s | n.s | n.s | n.s | n.s |
| 2015 | 2016 | |||||||
|---|---|---|---|---|---|---|---|---|
| Treatment | Net | |||||||
| L* | C * | h° | CIRG | L* | C* | h° | CIRG | |
| Control | 31.4 | 8.2 | 37.7 | 4.1 | 29.9 | 6.9 | 47.0 | 4.4 |
| RDI | 32.1 | 9.3 | 44.8 | 3.9 | 29.5 | 7.5 | 32.3 | 4.5 |
| p | 0.35 | 0.32 | 0.71 | 0.44 | 0.41 | 0.42 | 0.31 | 0.85 |
| Greenhouse | ||||||||
| L* | C* | h° | CIRG | L* | C* | h° | CIRG | |
| Control | 33.1 | 9.4 | 52.0 | 3.3 | 30.9 | 7.9 | 24.8 a | 4.1 |
| RDI | 32.3 | 8.6 | 46.4 | 3.7 | 30.1 | 6.6 | 17.6 b | 4.5 |
| p | 0.30 | 0.55 | 0.55 | 0.19 | 0.04 | 0.20 | 0.04 | 0.06 |
Publisher’s Note: MDPI stays neutral with regard to jurisdictional claims in published maps and institutional affiliations. |
© 2020 by the authors. Licensee MDPI, Basel, Switzerland. This article is an open access article distributed under the terms and conditions of the Creative Commons Attribution (CC BY) license (http://creativecommons.org/licenses/by/4.0/).
Share and Cite
Pinillos, V.; Ibáñez, S.; Cunha, J.M.; Hueso, J.J.; Cuevas, J. Postveraison Deficit Irrigation Effects on Fruit Quality and Yield of “Flame Seedless” Table Grape Cultivated under Greenhouse and Net. Plants 2020, 9, 1437. https://doi.org/10.3390/plants9111437
Pinillos V, Ibáñez S, Cunha JM, Hueso JJ, Cuevas J. Postveraison Deficit Irrigation Effects on Fruit Quality and Yield of “Flame Seedless” Table Grape Cultivated under Greenhouse and Net. Plants. 2020; 9(11):1437. https://doi.org/10.3390/plants9111437
Chicago/Turabian StylePinillos, Virginia, Sonia Ibáñez, Jéssica M. Cunha, Juan J. Hueso, and Julián Cuevas. 2020. "Postveraison Deficit Irrigation Effects on Fruit Quality and Yield of “Flame Seedless” Table Grape Cultivated under Greenhouse and Net" Plants 9, no. 11: 1437. https://doi.org/10.3390/plants9111437
APA StylePinillos, V., Ibáñez, S., Cunha, J. M., Hueso, J. J., & Cuevas, J. (2020). Postveraison Deficit Irrigation Effects on Fruit Quality and Yield of “Flame Seedless” Table Grape Cultivated under Greenhouse and Net. Plants, 9(11), 1437. https://doi.org/10.3390/plants9111437

