In Vitro Regeneration of Capparis spinosa L. by Using a Temporary Immersion System
Abstract
:1. Introduction
2. Materials and Methods
2.1. Culture Media and Conditions
2.1.1. Solid Medium
- Substrate A1: 6.6 µM BAP (Sigma-Aldrich B-3408), 0.25 µM IBA (Sigma-Aldrich I-5.386);
- Substrate A2: 6.6 µM mT (Duchefa T0941), 0.25 µM IBA.
2.1.2. PlantForm Temporary Immersion System
2.2. Data Analysis
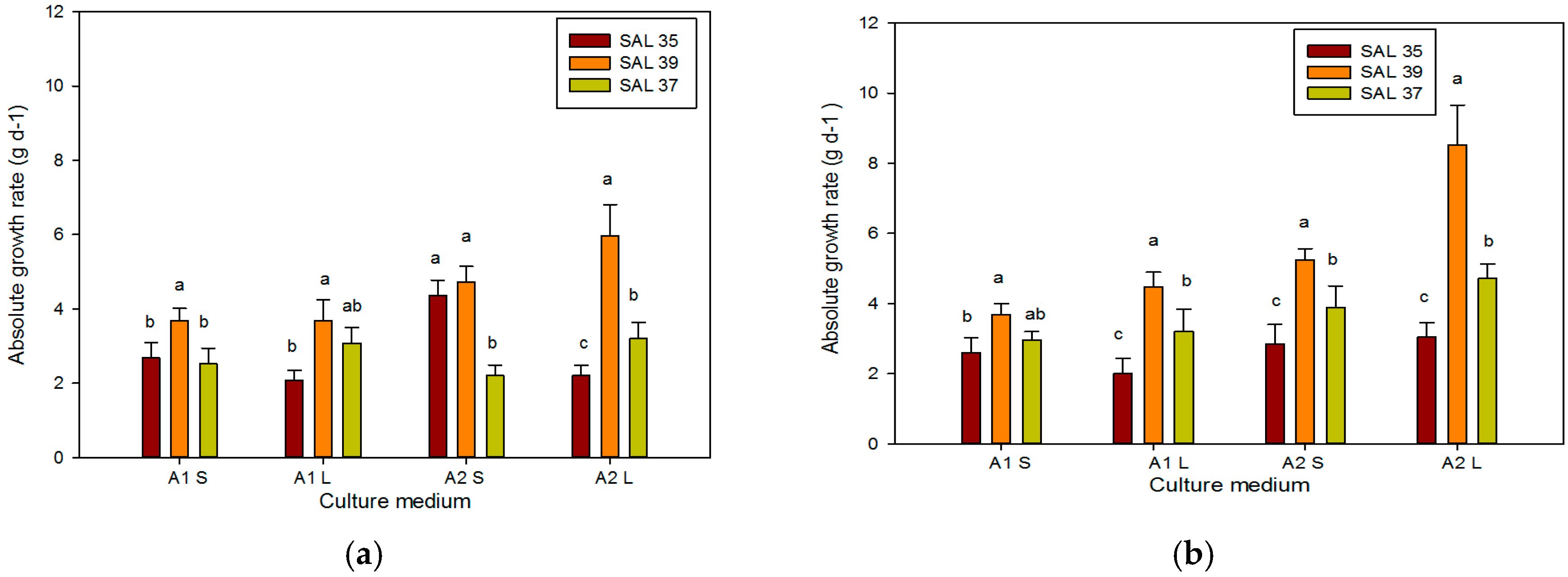
3. Results and Discussion
4. Conclusions
Author Contributions
Funding
Acknowledgments
Conflicts of Interest
References
- Fici, S. Intraspecific variation and evolutionary trends in Capparis spinosa L. (Capparaceae). Plant Syst. Evol. 2001, 228, 123–141. [Google Scholar] [CrossRef]
- Fici, S. A taxonomic revision of the Capparis spinosa group (Capparaceae) from the Mediterranean to Central Asia. Phytotaxa 2014, 174, 1–24. [Google Scholar] [CrossRef]
- Bounous, G.; Barone, E. Prospettive di sviluppo di specie legnose per le zone aride e semi-aride del Meridione e nuovi criteri di utilizzo: Cappero. Terra Sole 1989, 568, 733–735. [Google Scholar]
- Gruère, G.P.; Giuliani, A.; Smale, M. Marketing underutilized Plant Species for the Benefit of the Poor: A Conceptual Framework; Kontoleon, A., Pasqual, U., Smale, M., Eds.; Agrobiodiversity Conservation and Economic Development; Routledge: Abington, UK, 2006; pp. 73–87. [Google Scholar]
- Barbera, G.; Di Lorenzo, R.; Barone, E. Observations on Capparis populations cultivated in Sicily and on their vegetative and productive behaviour. Agric. Mediterr. 1991, 121, 32–39. [Google Scholar]
- Zargari, A. Medicinal Plants, 4th ed.; Tehran University Publications: Tehran, Iran, 1986; Volume 1, pp. 249–252. [Google Scholar]
- Al-Said, M.S.; Abdelsattar, E.A.; Khalifa, S.I.; El-feraly, F.S. Isolation and identification of an anti-inflammatory principle from Capparis spinosa. Pharmazi 1988, 43, 640–641. [Google Scholar]
- Bonina, F.; Puglia, C.; Ventura, D.; Aquino, R.; Tortora, S.; Sacchi, A.; Saija, A.; Tomaino, A.; Pellegrino, M.; de Caprariis, P. In vitro antioxidant and in vivo photoprotective effects of a lyophilized extract of Capparis spinosa L. buds. J. Cosmet. Sci. 2002, 53, 321–336. [Google Scholar]
- Sozzi, G.O.; Chiesa, A. Improvement of caper (Capparis spinosa L.) seed germination by breaking seed coat-induced dormancy. Sci. Hortic. 1995, 62, 255–261. [Google Scholar] [CrossRef]
- Bahrani, M.J.; Ramazani, G.M.; Shekafandeh, A.; Taghvaei, M. Seed germination of wild Caper (Capparis spinosa L. var. parviflora) as affected by dormancy breaking treatments and salinity levels. Seed Sci. Technol. 2008, 36, 776–780. [Google Scholar] [CrossRef]
- Barbera, G.; Di Lorenzo, R. The caper culture in Italy. Acta Hortic. 1984, 144, 167–171. [Google Scholar] [CrossRef]
- Hare, K.; Mahdi, A.; Dhurendra, S.; Udayvir, S.; Nitesh, C.; Maliheh, E.; Radha, K.S. Somaclonal variations and their applications in horticultural crops improvement. Biotech 2016, 6, 54. [Google Scholar]
- Ancora, G.; Cuozzo, L. In vitro propagation of caper (Capparis spinosa L.). In Proceedings of the XXVIII Convegno della S.I.G. A, Bracciano, Italy, 3–5 October 1984. [Google Scholar]
- Rodriguez, R.; Rey, M.; Cuozzo, L.; Ancora, G. In vitro propagation of caper (Capparis spinosa L.). In Vitro Cell. Dev. Biol. 1990, 26, 531–536. [Google Scholar] [CrossRef]
- Salem, A.B.; Zemni, H.; Ghorbel, A. Propagation of caper (Capparis spinosa L.) by herbaceous cuttings and in vitro culture. Agric. Med. 2001, 31, 42–48. [Google Scholar]
- Chalak, L.; Elbitar, A.; Cordahi, N.; Hage, C.; Chehade, A. In vitro propagation of Capparis spinosa L. Acta Hortic. 2003, 616, 335–338. [Google Scholar] [CrossRef]
- Caglar, C.; Caglar, S.; Ergin, O.; Yarim, M. The influence of growth regulators on shoot proliferation and rooting of in vitro propagated caper. J. Environ. Biol. 2005, 26, 479–485. [Google Scholar] [PubMed]
- Musallam, I.; Duwayri, M.; Shibli, R. Micropropagation of caper (Capparis spinosa L.) from wild plants. Funct. Plant Sci. Biotechnol. 2010, 5, 17–21. [Google Scholar]
- Al-Safadi, B.; Elias, R. Improvement of caper (Capparis spinosa L.) propagation using in vitro culture and gamma irradiation. Sci. Hortic. 2011, 127, 290–297. [Google Scholar] [CrossRef]
- Carra, A.; Del Signore, M.B.; Sottile, F.; Ricci, A.; Carimi, F. Potential use of new diphenylurea derivatives in micropropagation of Capparis spinosa L. Plant Growth Regul. 2012, 66, 229–237. [Google Scholar] [CrossRef]
- Horshati, E.; Jambor-Benczur, E. In vitro propagation of Capparis spinosa. Acta Hortic. 2006, 725, 151–154. [Google Scholar] [CrossRef]
- Movafeghi, A.; Ghader, H.; Aliasgharpour, M. Regeneration of Capparis spinosa L. using hypocotyl explants. Iran. J. Biol. 2008, 21, 289–297. [Google Scholar]
- Pierik, R.L.M. In vitro culture of higher plants as a tool in the propagation of horticultural crops. Acta Hortic. 1988, 226, 25–40. [Google Scholar] [CrossRef]
- Oliveira, A.S.C.; Filho, F.N.C.; Do Nascimiento, R.A.H.; Paiva, L.K.B. A palma forageira: Alternativa para o semi-árido. Rev. Verde Agroecol. Desenvolv. Sustent. 2011, 6, 49–58. [Google Scholar]
- Zobayed, S.M.A.; Saxena, P.K. In vitro-grown roots; a superior explants for prolific shoot regeneration of St. John’s wort (Hypericum perforatum L. cv ‘New Stem’) in temporary immersion bioreactor. Plant Sci. 2003, 165, 463–470. [Google Scholar] [CrossRef]
- Aitken-Christie, J.; Jones, C. Towards automation: Radiate pine shoot hedges in vitro. Plant Cell Tissue Organ Cult. 1987, 8, 185–196. [Google Scholar] [CrossRef]
- Alvard, D.; Cote, F.; Teisson, C. Comparison of methods of liquid medium culture for banana micropropagation. Effects of temporary immersion of explants. Plant Cell Tissue Organ Cult. 1993, 32, 55–60. [Google Scholar] [CrossRef]
- Rioseras, B.; López-García, M.T.; Yagüe, P.; Sánchez, J.; Manteca, A. Mycelium differentiation and development of Streptomyces coelicolor in lab-scale bioreactors: Programmed cell death, differentiation, and lysis are closely linked to undecylprodigiosin and actinorhodin production. Bioresour. Technol. 2014, 151, 191–198. [Google Scholar] [CrossRef]
- Lorenzo, J.C.; Gonzalez, B.L.; Escalona, M.; Teisson, C.; Espinosa, P.; Borroto, C. Sugarcane shoot formation in a improved temporary immersion system. Plant Cell Tissue Organ Cult. 1998, 54, 197–200. [Google Scholar] [CrossRef]
- Escalona, M.; Lorenzo, J.C.; Gonzales, B.; Daquinta, M.; Gonzalez, J.L.; Desjardins, Y.; Borroto, C.G. Pineapple (Ananas comosus L. Merr) micropropagation in temporary immersion systems. Plant Cell Rep. 1999, 18, 743–748. [Google Scholar] [CrossRef]
- Gupta, P.K.; Timmis, R. Mass propagation of conifer trees in liquid cultures—Progress towards commercialization. Plant Cell Tissue Organ Cult. 2005, 81, 339–346. [Google Scholar] [CrossRef]
- Viclhez, J.; Albany, N. Multiplicacion in vitro de Psidium guajava L. en sistemas de immersion temporal. Rev. Colomb. Biotecnol. 2014, 2, 96–103. [Google Scholar]
- Maciel, A.D.; Rodrigues, F.A.; Pasqual, M.; de Carvalho, C.H. Acclimatization of Coffee (‘Coffea racemosa’, ‘Coffea arabica’) somaclones obtained from temporary immersion bioreactor system (RITA). Aust. J. Crop Sci. 2016, 10, 169–175. [Google Scholar]
- Perez, M.; Bueno, M.A.; Escalona, M.; Toorop, P.; Rodrìguez, R.; Cañal, M.J. Temporary immersion systems (RITA®) for the improvement of cork oak somatic embryogenic culture proliferation and somatic embryo production. Trees 2013, 27, 1277–1284. [Google Scholar] [CrossRef]
- Harris, R.E.; Mason, E.B. Two machines for in vitro propagation of plants in liquid media. Can. J. Plant Sci. 1983, 63, 311–316. [Google Scholar] [CrossRef]
- Businge, E.; Trifonova, A.; Schneider, C.; Rödel, P.; Egertsdotter, U. Evaluation of a New Temporary Immersion Bioreactor System for Micropropagation of Cultivars of Eucalyptus, Birch and Fir. Forests 2017, 8, 196. [Google Scholar] [CrossRef]
- Welander, M.; Persson, J.; Asp, H.; Zhu, L.H. Evaluation of a new vessel system based on temporary immersion system for micropropagation. Sci. Hortic. 2014, 179, 227–232. [Google Scholar] [CrossRef]
- Yan, H.; Liang, C.; Li, Y. Improved growth and quality of Siraitia grosvenorii plantlets using a temporary immersion system. Plant Cell Tissue Organ Cult. 2010, 103, 131–135. [Google Scholar] [CrossRef]
- Damiano, C.; La Starza, S.R.; Monticelli, S.; Gentile, A.; Caboni, E.; Frattarelli, A. Propagation of Prunus and Malus by temporary immersion. In Liquid Culture Systems for in vitro Plant Propagation; Hvoslef-Eide, A.K., Preil, W., Eds.; Springer: Berlin, Germany, 2005; pp. 243–251. [Google Scholar]
- Murashige, T.; Skoog, F.A. Revised medium for rapid growth and bioassays with tobacco tissue cultures. Physiol. Plant. 1962, 15, 473–497. [Google Scholar] [CrossRef]
- Etienne, H.; Berthouly, M. Temporary immersion systems in plant micropropagation. Plant Cell Tissue Organ Cult. 2002, 69, 215–231. [Google Scholar] [CrossRef]
- Benelli, C.; De Carlo, A. In vitro multiplication and growth improvement of Olea europaea L. cv ‘Canino’ with temporary immersion system (PlantForm). 3 Biotech 2018, 8, 317. [Google Scholar] [CrossRef]
- Abbas, H.; Qaiser, M. In Vitro Conservation of Cadaba heterotricha Stocks, an Endangered Species in Pakistan. Pak. J. Bot. 2010, 42, 1553–1559. [Google Scholar]
- Kubalakova, M.; Strnad, M. The effects of aromatic cytokinins on micropropagation and regeneration of sugar beet in vitro. Biol. Plant. 1992, 34, 578–579. [Google Scholar]
- Werbrouk, S.P.O.; Strnad, M.; Van Onckolen, H.A.; Deberg, P.C. Meta-Topolin an alternative tobenzyladenine in tissue culture. Physiol. Plant. 1996, 98, 291–297. [Google Scholar] [CrossRef]
- Chiancone, B.; Karasawa, M.M.G.; Gianguzzi, V.; Abdelgalel, A.M.; Bárány, I.; Testillano, D.; Marinoni, D.; Botta, D.; Germanà, M.A. Early embryo achievement through isolated microspore culture in Citrus clementina Hort. ex Tan., cvs. ‘Monreal Rosso’ and ‘Nules’. Front. Plant Sci. 2015, 6, 413. [Google Scholar] [CrossRef] [PubMed]
- Chiancone, B.; Martorana, L.; Gianguzzi, V.; Germanà, M.A. The effects of meta-Topolin and benzyladenine on in vitro organogenesis from epicotyl cuttings of Troyer citrange (Citrus sinensis [L.] Osbeck × Poncirus trifoliata [L.] Raf.). Acta Hortic. 2017, 1155, 185–192. [Google Scholar] [CrossRef]
- Mamun, N.H.A.; Egertsdotter, U.; Aidun, C.K. Bioreactor technology for clonal propagation of plants and metabolite production. Front. Biol. 2015, 10, 177–193. [Google Scholar] [CrossRef]
- Ziv, M. Simple bioreactors for mass propagation of plants. Plant Cell Tissue Organ Cult. 2005, 81, 277–285. [Google Scholar] [CrossRef]









© 2019 by the authors. Licensee MDPI, Basel, Switzerland. This article is an open access article distributed under the terms and conditions of the Creative Commons Attribution (CC BY) license (http://creativecommons.org/licenses/by/4.0/).
Share and Cite
Gianguzzi, V.; Inglese, P.; Barone, E.; Sottile, F. In Vitro Regeneration of Capparis spinosa L. by Using a Temporary Immersion System. Plants 2019, 8, 177. https://doi.org/10.3390/plants8060177
Gianguzzi V, Inglese P, Barone E, Sottile F. In Vitro Regeneration of Capparis spinosa L. by Using a Temporary Immersion System. Plants. 2019; 8(6):177. https://doi.org/10.3390/plants8060177
Chicago/Turabian StyleGianguzzi, Valeria, Paolo Inglese, Ettore Barone, and Francesco Sottile. 2019. "In Vitro Regeneration of Capparis spinosa L. by Using a Temporary Immersion System" Plants 8, no. 6: 177. https://doi.org/10.3390/plants8060177
APA StyleGianguzzi, V., Inglese, P., Barone, E., & Sottile, F. (2019). In Vitro Regeneration of Capparis spinosa L. by Using a Temporary Immersion System. Plants, 8(6), 177. https://doi.org/10.3390/plants8060177

