Abstract
Painted nettle (Plectranthus scutellarioides (L.) R.Br.) is an ornamental plant belonging to Lamiaceae family, native of Asia. Its leaves constitute one of the richest sources of trans-rosmarinic acid, a well-known antioxidant and antimicrobial phenolic compound. These biological activities attract interest from the cosmetic industry and the demand for the development of green sustainable extraction processes. Here, we report on the optimization and validation of an ultrasound-assisted extraction (USAE) method using ethanol as solvent. Following preliminary single factor experiments, the identified limiting extraction parameters (i.e., ultrasound frequency, extraction duration, and ethanol concentration) were further optimized using a full factorial design approach. The method was then validated following the recommendations of the association of analytical communities (AOAC) to ensure the precision and accuracy of the method used to quantify trans-rosmarinic acid. Highest trans-rosmarinic acid content was obtained using pure ethanol as extraction solvent following a 45-minute extraction in an ultrasound bath operating at an ultrasound frequency of 30 kHz. The antioxidant (in vitro radical scavenging activity) and antimicrobial (directed toward Staphylococcus aureus ACTT6538) activities were significantly correlated with the trans-rosmarinic acid concentration of the extract evidencing that these key biological activities were retained following the extraction using this validated method. Under these conditions, 110.8 mg/g DW of trans-rosmarinic acid were extracted from lyophilized P. scutellarioides leaves as starting material evidencing the great potential of this renewable material for cosmetic applications. Comparison to other classical extraction methods evidenced a clear benefit of the present USAE method both in terms of yield and extraction duration.
1. Introduction
Plectranthus scutellarioides (L.) R.Br. or painted nettle (Figure 1a) is an ornamental and medicinal plant, mainly found in Asia, currently spread over America, Southern Africa, and Europe [1,2]. Its synonym, Coleus blumei Benth. is also well-known. This plant is a species member of the Lamiaceae family, widely cultivated as an ornamental plant due to the beauty of its leaves. Furthermore, local people in many countries have long been used P. scutellarioides as an herbal medicine. For example, local Indian people in Arunachal Pradesh use hot water extract of P. scutellarioides mixing with fruit juice to apply on the skin in order to decrease undesirable symptoms after scorpion bite [3]. In addition, Tlanchinol people in Mexico use the infusion of this plant for gastrointestinal diseases treatment [4]. Interestingly, its leaves constitute one of the richest sources of an antioxidant and antimicrobial phenolic compound, namely trans-rosmarinic acid (RA) (Figure 1b) [5,6,7,8].
Figure 1.
(a) Painted nettle (Plectranthus scutellarioides (L.) R.Br.) leaves morphology; (b) Chemical structures of p-coumaric acid, caffeic acid, p-hydrophenyllactic acid, dihydrophenyllactic acid, and trans-rosmarinic acid (picture taken by C.H.).
From a strict chemical point of view, RA is a caffeic acid and dihydrophenyllactic acid ester; however, biologically, its biosynthetic precursors are p-coumaric acid and p-hydroxyphenyllactic acid, respectively (Figure 1b). RA has been identified as one of the main bioactive compounds in many Lamiaceae from the Nepetoideae subfamily [8], and beside P. scutellarioides other Plectranthus species have been described for their accumulation of RA such as P. barbatus [9,10,11,12], P. vericallatus [9,12], P. madagascarensis [12,13], P. ecklonii [9], P. fructicosus [9], P. lanuginosus [9], P. hadiensis [12], P. neochilus [12], P. amboinicus [14], or P. ornatus [15]. These studies focusing on the biological activities associated with the presence of RA in the extracts obtained from these Plectranthus species or comparison of RA content variation among some of these species. Indeed, a number of relevant biological activities have been ascribed to this natural compound among which antioxidant [16], antimicrobial [7], anti-inflammatory [17], antimutagenic [8], antiagiogenic [8], neuroprotective [18], Alzheimer disease preventive action [19] with acetylcholinesterase inhibition capacity [10,11].
Antioxidant action is of particular interest since excessive accumulation of free radicals could constitute a starting point or aggravating factor for many diseases though their potential damages on membrane lipids, DNA, and proteins. Today, natural antioxidants are considered as potential safer and efficient drugs to prevent a wide range of diseases resulting from oxidative stress [20]. Indeed, damaging effects on health, including carcinogenesis, of their synthetic antioxidant and preservative counterparts have been pointed out [21]. As a consequence, the uses of some of these synthetic compounds are now strictly regulated, some have been removed from the ‘generally recognized as safe’ (GRAS) list and are now forbidden for food applications in Japan, Canada, and Europe [22]. Natural compounds have therefore attracted attention because of their potential for application to the food, cosmetic and pharmaceutical industries as natural preservatives because of their antioxidant and antibacterial activities [23,24]. However, the development of effective extraction methods of these natural compounds is necessary. Many extraction methods have been developed to extract natural antioxidants from various naturally occurring matrices based on maceration extraction, Soxhlet extraction, microwave assisted extraction, or ultrasound-assisted extraction (USAE) [25,26,27]. Green extraction technologies have attracted high interest in modern industries over the last decade and ultrasound-assisted extraction (USAE) is now considered as one of the most efficient energy-saving process in terms of duration, selectivity, and reproducibility, operating under soft- to mid-extraction conditions [25]. The improvement of extraction efficiency obtained using USAE is reported to rely on both acoustic cavitation and mechanical effects [25]. Indeed, ultrasounds (US) produce an acoustic cavitation effect facilitating the penetration of the extraction solvent. Consequently, an easier release of the intracellular content of the plant material is observed thank to a greater solvent agitation resulting in an increased surface contact between the solvent and the target compound as well as an enhanced solubility of the target compound into the extraction solvent [25].
To date, most of the studies dealing with RA production from P. scutellarioides have focused on the elucidation of its biosynthetic pathway [8] and/or biotechnological approaches to improve its production in planta using in vitro technologies [5,7,8,28,29,30]. Little attention has been paid to the optimization of its extraction from the leaves of this ornamental plant. This ornamental plant is known as easy to propagate by cuttings and high renewable biomass production of leaves can be obtained through basic horticultural approaches, therefore the development of green extraction of RA using this raw starting material for potential cosmetic applications could be very promising. In the literature, some studies have reported on the optimization of USAE of RA from the leaves of other Lamiaceae plants such as Hyssopus cuspidatus [31], Rosmarinus officinalis [32,33], Melissa officinalis [34], Mentha piperita, Mentha longifolia, or Ocimum basilicum [35]. RA contents reported by these studies evidenced a strong matrix effect. Plant matrix can have considerable effects (so-called matrix effects) both on the optimal extraction conditions and the resulting extraction yields [36]. This matrix effect depends on the plant species, plant origins, organs or tissue used, drying and storage conditions, and so on. For example, RA obtained following USAE of Rosmarinus officinalis dried leaves greatly varied according to the extraction conditions used, as determined by three independent studies [32,33,37], thus evidencing the necessity to specifically optimize and validate the extraction conditions for each plant matrix. In the present study, our goals were to develop and validate a green USAE protocol of RA from P. scutellarioides leaves for future cosmetic applications as natural antioxidant and natural preservative using ethanol as green extraction solvent. For this purpose, in order to extract high amount of RA from P. scutellarioides leaves we have determined of the most critical extraction parameters—among ethanol concentration, US frequencies, solvent to material ratio, extraction temperature and extraction duration, applied a factorial design of experiment taking into account the possible interaction between the limiting extraction parameters, determined the optimal extraction conditions after statistical analysis and using 3D surface plots, and validated the optimal extraction conditions. Then antioxidant and antibacterial activities of each extract were determined using, the DPPH assay and a validated 96-well plate assay for the monitoring of Staphylococcus aureus ACTT6538 growth inhibition, respectively. The efficiency of this optimized and validated extraction protocol was finally compared to the conventional heat reflux extraction procedures.
2. Results and Discussion
2.1. Preliminary Single Factor Experiments
The relative effect of different independent parameters on the extraction yield of RA from P. scutellarioides leaves was first evaluated through single-factor experiments. Here, the effects of several parameters described as important in the literature have been studied: ethanol concentration in aqueous solution, extraction time, extraction temperature, ultrasound frequency, and solvent-to-material ratio (S/M ratio). The main objective of these preliminary single factor experiments was to determine the main limiting factors that will be then applied in the design of experiment in order to evaluate the interaction effect of these extraction parameters.
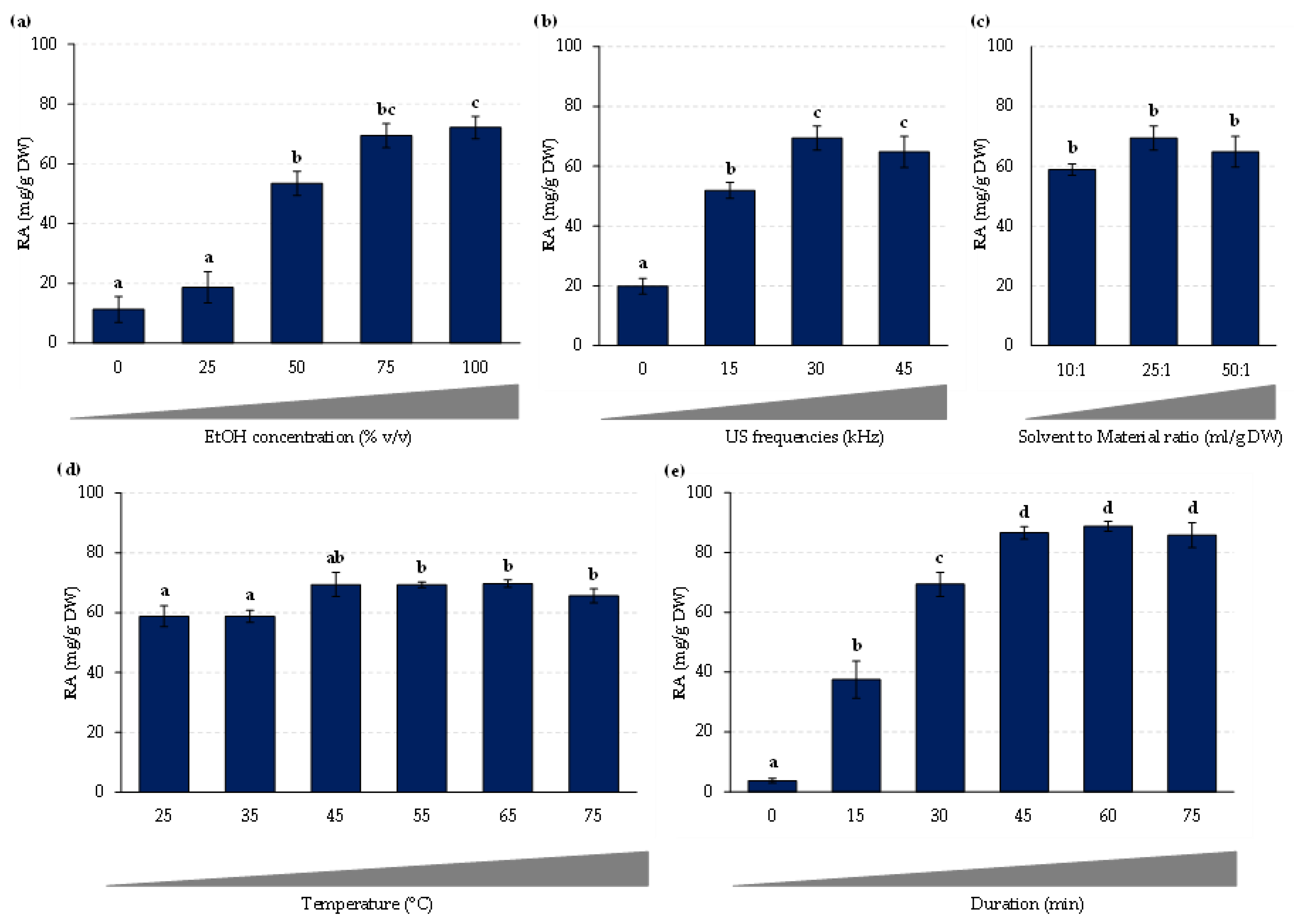
As part of a green chemistry approach development, the choice of extraction solvent is one of the crucial parameters to take into account. Various organic solvents have commonly been used to extract antioxidant polyphenols from a various plant matrix, such as methanol, ethanol, and acetone [26]. Among these solvents, ethanol is non-toxic to humans and environmentally friendly. Its extraction efficiency can further be improved by mixing it with water, thus making it able to extract a wide range of phenolic compounds. These two universal solvents also present the great advantage of being inexpensive and are therefore widely used in the agri-food and/or cosmetic industries [25,26,27]. For all these reasons, we chose ethanol as the extraction solvent and tested the influence of ethanol concentration in aqueous solution on the extraction of RA. Preliminary experiments were conducted with various concentrations of aqueous ethanol solutions (0, 25, 50, 75, and 100% (v/v)) using fixed S/M ratio (25:1 mL/g DW), extraction time (30 min), sonication frequency (30 kHz), and extraction temperature (45°C). The results shown in Figure 2a indicate that the RA extraction yield increases with the ethanol concentration reaching a peak (82.1 ± 6.5 mg / g DW) with pure ethanol (100%). The reasons for this could be related to the solubility of RA, which LogP of 2.4 indicates higher solubility in octanol than in water, and to the polarity of ethanol.
Figure 2.
RA contents extracted from P. scutellarioides leaves as of function of (a) ethanol concentration, (b) ultrasound frequency, (c) solvent to material ratio, (d) extraction temperature, and (e) extraction duration. For a complete description of the extraction conditions, see text. Values are means ± SD of 3 independent replicates. Different letters (a–d) represent significant differences between the various extraction conditions (p < 0.05).
It is well established that the ultrasound frequency could greatly influence the extraction efficiency through cavitation effect and by influencing diffusion coefficient of the targeted compounds, resulting in the solubility improvement of the target compound in the extraction solvent. From this observation, it appears that the extraction efficiency could be improved by an increase of the ultrasonic frequency. Nevertheless, high ultrasound frequency can, on the contrary, lead in some conditions to the degradation of the bioactive compounds and consequently considerably reduce the extraction yield [25,26,27]. Therefore, the ultrasound frequency must be precisely optimized. The effect of different ultrasound frequency (0, 15, 30, and 45 kHz) on the extraction yield of RA was thus next evaluated using fixed parameters set as follows: ethanol concentration 100%, S/M ratio 25:1 mL/g DW, extraction time 45 min, and extraction temperature of 45 °C. According to the results presented in Figure 2b, application of ultrasound frequency of 30 and 45 kHz here improved the RA extraction.
Different solvent to material (S/M) ratios were then evaluated (10:1, 25:1, and 50:1 ml of pure ethanol per gram of DW material). These experiments were conducted using fixed ethanol concentration (100% (v/v)), extraction time (30 min), sonication frequency (30 kHz), and extraction temperature (45 °C). The results shown in Figure 2c indicate that the RA extraction yield was not significantly influenced by the S/M ratio.
The effect of different extraction temperature (25, 35, 45, 55, 65, and 75°C) on the extraction yield of RA was thus next evaluated using fixed parameters set as follows: ethanol concentration 100%, S/M ratio 25:1 mL/g DW, extraction time 45 min and ultrasound frequency 45 kHz. According to the results presented in Figure 2d, the extraction efficiency is here only slightly influenced by the temperature parameter. Indeed, only a slight increase in the extraction yield was noted by increasing the extraction temperature from 25 to 65°C, whereas increasing extraction temperature to 75 °C using these conditions resulted in a decreased RA yield. It is accepted that an excessive temperature coupled to ultrasound can cause the degradation of the target compound [25,26,27]. From these results, extraction temperature did not appear as a limiting parameter for the extraction of RA from P. scutellarioides leaves.
The effect of extraction duration on the RA extraction efficiency was studied for a duration ranging from 0 to 60 min, with other parameters fixed at 100% for ethanol concentration, 25:1 mL/g (DW) for S/M ratio, 45°C as the extraction temperature and 30 kHz ultrasound frequency. The results depicted in Figure 2e indicate that the RA extraction yield increases with the extraction time in a first phase reaching a plateau after 45 min. We noted that the observed increase between 45 and 60 min was not statistically significant. Under these conditions, the maximum extraction efficiency could therefore be obtained after 45 min. It has been described that prolonged ultrasound can lead to the degradation of antioxidant phenolic compounds [25,26,27]. Consequently, extraction time was set to 45 min for the following experiments.
2.2. Develoment of a Multifactorial Approach
Experimental factorial design associated with statistical analysis and 3D surface response plots have proven their efficiencies in the precise and rapid optimization of extraction protocols by taking into account the possible interaction between independent variables which is not the case when developing an extraction protocol using a single factor approach [38]. Here, from our preliminary experiments, three influencing variables were selected to optimize RA extraction from P. scutellarioides leaves using a factorial design approach: aqueous ethanol concentration (X1, ranging from 50 to 100 % (v/v)), US frequency (X2, ranging from 15 to 45 kHz) and extraction duration (X3, ranging from 15 to 45 min). The coded levels and actual experimental values of each independent variables are presented in Table 1. Note that, according to our preliminary experiments, a solvent to material ratio of 25:1 ml/g DW and an operating temperature of 45°C were chosen.
Table 1.
Identities, code unit, coded levels and actual experimental values of the three independent variables.
Here, a full factorial design was chosen for the optimization because of the high reproducibility of the obtained results due to the real measurement of a extensive number of experimental conditions compared to other design of experiments approaches [39]. For the experiment, the 27 different conditions (run ID) using independent process variables were randomized (run order), tested as independent triplicates, and the resulting extracted RA content evaluated by HPLC (Table 2).
Table 2.
Results of experimental design.
Under these extraction conditions, we found RA contents extracted from freeze-dried P. scutellarioides leaves ranging from 2.4 (Obs22) to 110.8 (Obs24) mg/g DW. Following multiple regression analysis, the RA content (Y) as a function of the different variables (X1, X2, and X3) was represented by the following second order polynomial equation: Y = 73.22 + 31.74X1 + 6.70X2 + 2.15X3 − 17.60X12 − 8.68X22 − 0.65X32 + 6.34X1X2 + 2.11X1X3 − 4.11X2X3 (Table 3).
Table 3.
Statistical analysis of the regression coefficients.
As a result of the statistical analysis, the linear coefficients X1 and X2, the quadratic coefficients X12 and X22 as well as the interaction coefficient X1X2 appeared to significantly influence the extraction efficiency of RA from freeze-dried P. scutellarioides leaves. On the contrary, the other linear (X3), quadratic (X32) and interaction (X1X3 and X2X3) coefficients were insignificant (p > 0.05). Therefore, ethanol concentration (X1) as well ultrasound frequency (X2) and their interaction appeared to influence greatly the extraction efficiency over extraction duration.
Analysis of variance (ANOVA) result and the fit of the obtained model are listed in Table 4. The model was highly significant as indicated by the high F-value (22.72) and the low p-value (p < 0.0001), but also by the low lack of fit F-value (0.87) and its non-significant associated p-value (p > 0.05). The RA contents predicted vs. the experimentally measured RA contents are plotted in Figure S1 and confirmed the high precision of the model. The determination coefficient R2 of 0.924 and the adjusted R2 of 0.883 both confirmed this model is adequate to predict the RA extraction yield from freeze-dried P. scutellarioides leaves. In addition, the variation coefficient value (CV = 0.79%) also indicated the adequacy between the model and experimental values.
Table 4.
ANOVA of the predicted model for USAE of RA from freeze-dried P. scutellarioides leaves.
Here, the 3D plots accounted for the complexity of the USAE of RA from lyophilized P. scutellarioides leaves. All the linear coefficients (ethanol concentration, ultrasound frequency, and extraction duration) as well as the interaction coefficients X1X2 (ethanol concentration and ultrasound frequency) and X1X3 (ethanol concentration and extraction duration) of the second-order polynomial equation obtained were positive, indicating that increasing these parameters exerted a global favorable action on RA extraction. In good agreement with this observation, the resulting 3D plots confirmed the favorable positive effects on RA extraction resulting in the increase of ethanol concentration combined with the increased extraction duration or ultrasound frequency (Figure 3a,b). On the contrary, all the quadratic coefficients and the interaction coefficient X2X3 (ultrasound frequency and extraction duration) were negative. Thus, it clearly appeared that RA extraction according to these parameters passed by a maximum (Figure 3c). Here, prolonged extraction duration associated with high ultrasound frequency resulted in a decrease in RA content. This observed decrease could be due to partial degradation of RA. High ultrasound frequency is known to be potentially destructive and to induce oxidation of natural products that could lead to the loss of the biological activities of these compounds [25,26,27]. According to the adjusted second order polynomial equation, optimal conditions were 45 min extraction in an ultrasound bath operating at 36.8 kHz and using 99.8% (v/v) aqueous ethanol as extraction solvent. These conditions were adjusted to the material and highest RA content was therefore obtained following 45 minutes extraction in an ultrasound bath operating at 30 kHz and using pure ethanol as extraction solvent. Under these conditions, an RA content of 110.8 mg/g DW was measured from lyophilized P. scutellarioides leaves. The relative RA purity was estimated according to the method described by Falé et al. [11] for P. barbatus leaves decoction. Under our optimal extraction conditions, RA was estimated to represent around 70% of the total absorption of the wavelength using PDA detection. This was further confirmed by DEDL detection (data not shown). Our optimal conditions are quite similar to those described by Caleja et al. [34] for the USAE of RA from R. officinalis leaves, but comparatively our results showed a higher extraction yield with P. scutellarioides leaves as starting material. In the literature, RA extraction yields from Lamiaceae leaves using USAE greatly varied [40,41], ranging from 0.01 mg/g DW in H. cuspidatus [31] to 86.3 mg/g DW in M. officinalis [34], whereas a higher yield of 12.6 mg/g DW was obtained using Marantha depressa (Maranthaceae) leaves as starting material [42]. Comparatively, our results are in the high range of these values.
Figure 3.
Predicted surface response plots of the RA extraction yield as a function of (a) ultrasound frequency and ethanol concentration, (b) extraction duration and ethanol concentration, and (c) extraction duration and ultrasound frequency.
2.3. Validation of the Extraction Method
Quantification of RA was achieved by HPLC analysis (Figure S2) and RA was identified by comparison with an authentic standard. A good separation resolution must be one of the primary goal for quantitative HPLC analysis. For this purpose, a separation resolution (RS) of at least 1.5 should be obtained, with the exception of samples containing a high number of component, which is the case of raw plant extracts, or compounds more difficult to separate such as isomers [43]. Here, the presence of cis-RA, an isomer of trans-RA, resulted in a separation resolution of ca 1.3 (1.298). Considering that we here work with a raw plant extract and the nature of the ‘interfering’ peak, this resolution (higher than 1.0) is therefore acceptable according to international standards [43]. To ensure the accuracy and precision of the method used to quantify RA, the HPLC method was validated. The validation parameters are presented in Table 5.
Table 5.
Validation parameters of the HPLC method.
The six-point calibration curve of the peak areas (y) against the injected quantities of RA at 320 nm was linear over the wide range analyzed (50–1000 µg/ml) with R2 > 0.999 and the slope of the standard covering the analytical range varied at most 1% relative standard deviation (RSD) over a four-week period. The LOD (S/N = 3) and the LOQ (S/N = 10) were as low as 1.8 ng and 5.3 ng. Then, the instrumental precision determination was obtained through five injections of the same sample. The method precision and stability were confirmed by the low RSD values of 0.48% and 0.94% obtained for interday and intraday precisions respectively (Table 5). The repeatabilty of the method was evidenced with a RSD value as low as 3.5%, as well as its accuracy, determined by four levels of h standard addition (from 5 to 50 µg/mL) showing a good recovery with a mean for the RSD values of 2.8% (Table 5).
2.4. Biological Activities of the Extracts
The next steps were the evaluation of the antioxidant and antimicrobial activities of the 27 extracts obtained using the full factorial design in order to confirm that the extraction did not alter the biological properties of RA and to establish correlations between these biological activities and the RA content. For this purpose, antioxidant activity was determined by the radical scavenging activity using the commonly used DPPH in vitro assay [44], whereas antimicrobial activity was determined by monitoring the growth inhibition of pathogenic strain of Staphylococcus aureus strain ACTT6538 using microplate method described by El Abdellaoui et al. [45]. The results are presented as a heatmap representation and classified using a hierarchical clustering analysis (HCA) using Euclidian distance (Figure 4). The individual values are presented in Table S1.
Figure 4.
Hierarchical clustering analysis of RA contents and antioxidant (DPPH radical scavenging activity) and antimicrobial (growth inhibition of S. aureus ACTT6538) of the 27 extracts obtained following USAE of P. scutellarioides leaves.
Surface response plots showing the impact of the three independent parameters (ethanol concentration, ultrasound frequency, and extraction duration) are presented in Figure S3 for the radical scavenging activity and Figure S4 for the antimicrobial activity. These 3D plots depicted a very similar aspects to those obtained for RA extraction (Figure 3). Strong significant correlations were observed between RA content and antioxidant activity (Pearson coefficient correlation (PCC) = 0.836, p = 0.004 **) as well as between RA content and antimicrobial activity (PCC = 0.822, p = 0.017 *) were calculated confirming that the applied USAE conditions maintained RA into a bioactive form and preserved the associated biological activities. In particular the extract obtained using optimal conditions, containing the highest RA content, here offered the best radical scavenging activity (89.7% inhibition of radical formation) and antimicrobial action toward S. areus (79.8% growth inhibtion).
2.5. Comparison with Conventional Extraction Protocol and Other Biotechnological Sources
The last step of this work was to compare the optimal USAE of RA from P. scutellarioides leaves with a conventional heat reflux extraction method. For this purpose the same ethanol concentration (pure ethanol), temparature (45°C), and solid-to-liquid ratio (25:1) conditions were used, but using three different extraction duration of 45 min (i.e., the same extraction time used for the optimal USAE of RA), 90 min (i.e., 2-times the duration used for the optimal USAE of RA), and 180 min (i.e., 4-times the duration used for the optimal USAE of RA). The RA contents obtained are presented in Table 6.
Table 6.
Comparison between conventional heat reflux method and ultrasound-assisted extraction (USAE) of RA from P. scutellarioides leaves.
The results of this comparison clearly indicated that USAE provided better RA extraction yield and in a shorter time compared with the conventional heat reflux method. Using the conventional heat reflux method, the RA content increased with extraction duration, but even after 180 minutes, the extraction yield is still lower than for USAE with a 3-times reduced extraction time. Note that for the same extraction duration the RA content obtained using the conventional heat reflux method is around half of this obtained using USAE. These results clearly evidenced that the use of USAE to extract RA from P. scutellarioides leaves is of great interest, in particular within the context of green chemistry, in term of reducing energy consumption by using this innovative technology. Here, USAE increased RA extraction yield and therefore lowered extraction costs (due to the reduction of treatment time and solvent consumption) certainly as a consequence of solvent heating by directly interacting with the water molecules present in the plant tissue resulting in a more efficient rupture of these tissue and release of RA into the solvent as it was hypothetized for other plants [25,26,27].
Many studies reported on RA production from P. scutellarioides using different biotechnological systems to improve its production from in planta using in vitro technologies, but little attention has been paid to the optimization of its extraction directly from the leaves of this ornamental plant. Here, using our optimized and validated USAE method, we report on RA yield of 11.08% DW from the leaves as starting material which is in the range of RA production obtained using biotechnological systems. Indeed, several authors reported on RA contents ranging from 2.85% (DW) following permeabilization using DMSO [30] to 19.00% (DW) after 4% sucrose feeding [29] using cell suspensions, or of 7.60% (DW) using hairy roots subjected to methyl jasmonate elicitation [28]. Considering P. scutellarioides as an ornamental plant that could easily be multiplied by cuttings, and its leaves are a cheap and renewable material, the present USAE method of RA, using P. scutellarioides leaves as raw starting material, is therefore of great interest for feasible industrial applications.
3. Materials and Methods
3.1. Chemicals and Reagents
Analytical grade extraction solvents were used in the present study and were obtained from Fisher Scientific (Illkirch, France). RA standard was purchased from Sigma-Aldrich (Saint-Quentin Fallavier, France). All chemicals for the purpose of antioxidant and antimicrobial activities were from Sigma-Aldrich (Saint-Quentin Fallavier, France).
3.2. Plant Materials
Plectranthus scutellarioides (L.) R.Br., seeds (commercial cultivar “Arc-en-Ciel Amélioré”) were obtained from Vilmorin-Mikado (La Ménitré, France). The plantlets resulting from seedlings were cultivated grew in pots (30 cm diameter and 30 cm depth), filled with a commercial garden soil (N: 250 g/m3, P2O5: 120 g/m3, K2O: 80 g/m3, 37% of dry matter, 65% of organic matter, pH: 6.2, conductivity: 49 mS/cm, water retention capacity: 70% vol.) in a phytotronic room at 25°C under a 16-h photoperiod (30 µmol/m2/s total amount of photosynthetically active radiation) and the relative humidity (RH) was approximately 30%. Plants were irrigated using overhead mist irrigation once a day and one complete watering per week. Three-month-old leaves (just before flowering in order to limit possible remobilization of RA from leaves to seeds) were collected, stored at −80°C and lyophilized prior to extraction.
3.3. Ultrasound-Assisted Extraction (USAE) Optimization
USAE was performed using an ultrasonic bath USC1200TH (Prolabo, Sion, Switzerland) with an inner dimension of 300 × 240 × 200 mm, an electrical power of 400W (i.e., acoustic power of 1W/cm2), maximal heating power of 400W, variable frequencies, equipped with a digital timer, a frequency and a temperature controller. The sample was placed in a 100-ml quartz tube topped by a vapor condenser and was suspended in 20 ml aqueous ethanol. For this purpose, various solvent to material (S/M) ratios were evaluated (10:1, 25:1, and 50:1 ml/g DW) and various aqueous ethanol concentrations (0, 25, 50, 75, and 100 % (v/v)) were evaluated. Different ultrasound frequencies (0, 15, 30, and 45 kHz), extraction temperatures (25, 35, 45, 55, 65, and 75°C), and extraction durations (0, 15, 30, 45, 60, and 75 min) were also tested. The extract was then centrifuged for 15 min at 3,000 rpm and the supernatant was filtered (0.45 μm) before HPLC analysis.
3.4. Conventional Solid/Liquid Extraction
The conventional heat reflux extraction consisted in S/M ratio of 25:1 ml/g DW using 20 ml of pure ethanol (100%) as the extraction solvent, in a water bath with extraction temperature set at 45°C during 45, 90, and 180 min. After these extraction times, the extract was centrifuged at 3,000 rpm for 15 min, and the resulting supernatant filtered (0.45 μm) prior HPLC analysis.
3.5. High-Performance Liquid Chromatography (HPLC) Analysis
Separation was performed using Varian (Les Ulis, France) high-performance liquid chromatography system equipped with Varian Prostar 230 pump Metachem Degasit, Varian Prostar 410 autosampler and Varian Prostar 335 Photodiode Array Detector (PAD) and driven by Galaxie version 1.9.3.2 software. Hypersil PEP 300 C18 (Thermo Fisher Scientific, Illkirch, France), 250 × 4.6 mm, 5 µm particle size equipped with a guard column Alltech (Thermo Fisher Scientific, Illkirch, France), 10 × 4.1 mm was utilized at 35°C was used for the separation. The mobile phase was composed of HPLC grade solvents: A is a mixture of HCOOH/H2O at pH 2.1 and B is CH3OH. Throughout one-hour run, mobile phase composition varied with a nonlinear gradient 8% B (0 min), 12% B (11 min), 30% B (17 min), 33% B (28 min), 100% B (30–35 min), 8% B (36 min) at a flow rate of 1 ml/min. A 10-min re-equilibration time was used among individual runs. The detection of compounds was set at 320 nm. Quantification was done based on assessment of retention time and UV spectrum of a reference standard purchased from Sigma-Aldrich (Saint-Quentin Fallavier, France). The samples examination was done in triplicates.
3.6. Experimental Design
Factorial experiment design and response surface plots were used to identify the optimal RA extraction conditions using XLSTAT2018 software (Addinsoft, Paris, France). Variables were coded at three levels −1, 0, and +1. The three independent variables and their values were selected following preliminary experiments: X1 ethanol concentration (50, 75, and 100% v/v), X2 ultrasound frequency (15, 30, and 45 kHz) and X3 extraction duration (30, 45, and 60 min). Twenty-seven observations of different combinations were prepared by taking values of selected variables at different levels as shown in Table 2. Note that all independent observations were carried out in triplicate. The equation calculation as well as statistical analysis were performed as described previously [24,46].
3.7. Method Validation
The method was then validated following the recommendations of the association of analytical communities (AOAC) to ensure the precision and accuracy of the method used to quantify RA.
Five-point calibration curves were made by means of diluted solutions of RA authentic commercial standard (Sigma Aldrich, Saint-Quentin Fallavier, France). Each sample was injected three times and arithmetic means was calculated to generate linear regression equations plotting was done by the peak areas (y) against the injected quantities (x) of RA standard compound. Coefficients of determination (R2) was used for linearity verification.
The signal-to-noise ratios (S:N) of 3:1 and 10:1, were used to respectively determine the limits of detection (LOD) and of quantification (LOQ).
Accuracy, method precision, stability, and repeatability were determined as described in Corbin et al. [26].
3.8. Antioxidant DPPH assay
The antioxidant activity was evaluated using the protocol described in [21,47].
3.9. Antibacterial Activity
The antibacterial activity was tested using the microplate protocol as described in [23,45] on Staphylococcus aureus ACTT6538.
3.10. Statistical Analysis
Each experiment was carried out at least in triplicate and XL-stat_2018 (Addinsoft, Paris, France) was used for all statistical analyses. All statistical tests were considered significant at p < 0.05.
4. Conclusions
Rosmarinic acid (RA) has already been demonstrated to be a promising compound for cosmetic applications. Nevertheless, its extraction was far from efficient. To date, many studies dealing with RA production from P. scutellarioides have focused on biotechnological approaches to improve its production from in planta using in vitro technologies, but little attention has been paid to the optimization of its extraction from the leaves of this ornamental plant. However, this plant is known as easy to propagate by cuttings and high renewable biomass production of leaves can be obtained through basic horticultural approaches. The development of green extraction of RA from this raw material in potential cosmetic applications is promising. Here we report on the development and validation of an efficient extraction procedure of the antioxidant and antimicrobial trans-rosmarinic acid from P. scutellarioides leaves. The present study describes an efficient and validated USAE method for RA extraction and quantification from P. scutellarioides leaves. A maximum RA of 11.08 % of P. scutellarioides leaves DW was obtained using pure ethanol a green extraction solvent in an ultrasonic bath operating at a 30 kHz frequency during 45 min. This extraction method was validated in terms of precision, repeatability, stability, and accuracy. The proposed method was proved as more efficient and less time-consuming than the conventional heat reflux method. Comparison with RA yields obtained from different P. scutellarioides systems confirmed that the leaves of this ornamental plant can be used as raw starting material for an efficient extraction of RA. Thus, the present method is of particular interest within the context of green chemistry in terms of reducing energy consumption and the use of green solvent. We anticipate that it could allow fast and easy extraction of RA for future cosmetic applications.
Supplementary Materials
The following are available online at https://www.mdpi.com/2223-7747/8/3/50/s1, Figure S1 Biplot representation of the linear relation between predicted vs. measured RA contents in the 27 sample extracts. Light blue contours represented p = 0.05; Figure S2 Representative chromatogram of a complete HPLC analysis of an extract of P. scutellarioides leaves obtained following USAE showing the presence of RA as main compound. t-RA: trans-RA (rosmarinic acid); IS: internal standard (4-hydroxychalcone); Figure S3 Predicted surface response plots of the antioxidant activity (% of DPPH radical scavenging activity) as a function of (a) ultrasound frequency and ethanol concentration, (b) extraction duration and ultrasound frequency, and (c) extraction duration and ethanol concentration; Figure S4 Predicted surface response plots of the antimicrobial activity (% of Staphylococcus aureus ACTT6538 growth inhibition) as a function of (a) ultrasound frequency and ethanol concentration, (b) extraction duration and ultrasound frequency, and (c) extraction duration and ethanol concentration; Table S1 Individual antioxidant and antimicrobial activities vs. RA contents in the 27 US extract samples.
Author Contributions
Conceptualization, C.H. and D.T.; Methodology, D.T., L.G., S.D., and S.R.; Software, S.D.; Validation, C.H., E.L., and D.T.; Formal analysis, C.H. and D.T.; Investigation, L.G., D.T., S.D., and S.R.; Resources, C.H. and D.T.; Data curation, C.H. and D.T.; Writing—original draft preparation, C.H.; Writing—review and editing, C.H., D.T., and E.L.; Visualization, C.H. and D.T.; Supervision, C.H. and D.T.; Project administration, C.H.; Funding acquisition, C.H.
Funding
This research was supported by Cosmetosciences, a global training and research program dedicated to the cosmetic industry. Located in the heart of the Cosmetic Valley, this program led by University of Orléans is funded by the Région Centre-Val de Loire.
Acknowledgments
D.T. gratefully acknowledges the support of French government via the French Embassy in Thailand in the form of Junior Research Fellowship Program 2018. LG and SD acknowledge research fellowships of Loire Valley Region.
Conflicts of Interest
The authors declare no conflict of interest.
References
- Codd, L.E. Plectranthus (Labiatae) and allied genera in Southern Africa. Bothalia Afr. Biodivers. Conserv. 1975, 11, 371–442. [Google Scholar] [CrossRef]
- Lukhoba, C.W.; Simmonds, M.S.J.; Paton, A.J. Plectranthus: A review of ethnobotanical uses. J. Ethnopharmacol. 2006, 103, 1–24. [Google Scholar] [CrossRef] [PubMed]
- Namsa, N.D.; Tag, H.; Mandal, M.; Kalita, P.; Das, A.K. An ethnobotanical study of traditional anti-inflammatory plants used by the Lohit community of Arunachal Pradesh, India. J. Ethnopharmacol. 2009, 125, 234–245. [Google Scholar] [CrossRef] [PubMed]
- Andrade-Cetto, A. Ethnobotanical study of the medicinal plants from Tlanchinol, Hidalgo, México. J. Ethnopharmacol. 2009, 122, 163–171. [Google Scholar] [CrossRef] [PubMed]
- Kim, G.D.; Park, Y.S.; Jin, Y.H.; Park, C.S. Production and applications of rosmarinic acid and structurally related compounds. Appl. Microbiol. Biotechnol. 2015, 99, 2083–2092. [Google Scholar] [CrossRef] [PubMed]
- Khojasteh, A.; Mirjalili, M.H.; Hidalgo, D.; Corchete, P.; Palazon, J. New trends in biotechnological production of rosmarinic acid. Biotechnol. Lett. 2014, 36, 2393–2406. [Google Scholar] [CrossRef] [PubMed]
- Petersen, M.; Simmonds, M.S. Rosmarinic Acid. Phytochemistry 2013, 62, 43–50. [Google Scholar] [CrossRef]
- Petersen, M.; Abdullah, Y.; Benner, J.; Eberle, D.; Gehlen, K.; Hücherig, S.; Janiak, V.; Kim, K.H.; Sander, M.; Weitzel, C.; et al. Evolution of rosmarinic acid biosynthesis. Phytochemistry 2009, 70, 1663–1679. [Google Scholar] [CrossRef] [PubMed]
- Falé, P.L.; Borges, C.; Madeira, P.J.A.; Ascensão, L.; Araújo, M.E.M.; Florêncio, M.H.; Serralheiro, M.L.M. Rosmarinic acid, scutellarein 4′-methyl ether 7-O-glucuronide and (16S)-coleon E are the main compounds responsible for the antiacetylcholinesterase and antioxidant activity in herbal tea of Plectranthus barbatus (“falso boldo”). Food Chem. 2009, 114, 798–805. [Google Scholar] [CrossRef]
- Falé, P.L.V.; Madeira, P.J.A.; Florêncio, M.H.; Ascensão, L.; Serralheiro, M.L.M. Function of Plectranthus barbatus herbal tea as neuronal acetylcholinesterase inhibitor. Food Funct. 2011, 2, 130–136. [Google Scholar] [CrossRef] [PubMed]
- Falé, P.L.; Ascensão, L.; Serralheiro, M.L.M. Effect of luteolin and apigenin on rosmarinic acid bioavailability in Caco-2 cell monolayers. Food Funct. 2013, 4, 426–431. [Google Scholar] [CrossRef] [PubMed]
- Rijo, P.; Matias, D.; Fernandes, A.S.; Simões, M.F.; Nicolai, M.; Reis, C.P. Antimicrobial plant extracts encapsulated into polymeric beads for potential application on the skin. Polymers 2014, 6, 479–490. [Google Scholar] [CrossRef]
- Kubínová, R.; Pořízková, R.; Navrátilová, A.; Farsa, O.; Hanáková, Z.; Bačinská, A.; Čížek, A.; Valentová, M. Antimicrobial and enzyme inhibitory activities of the constituents of Plectranthus madagascariensis (Pers.) Benth. J. Enzym. Inhib. Med. Chem. 2014, 29, 749–752. [Google Scholar] [CrossRef] [PubMed]
- Chen, Y.S.; Yu, H.M.; Shie, J.J.; Cheng, T.J.R.; Wu, C.Y.; Fang, J.M.; Wong, C.H. Chemical constituents of Plectranthus amboinicus and the synthetic analogs possessing anti-inflammatory activity. Bioorg. Med. Chem. 2014, 22, 1766–1772. [Google Scholar] [CrossRef] [PubMed]
- Medrado, H.; dos Santos, E.; Ribeiro, E.; David, J.; David, J.; Araújo, J.F.; do Vale, A.; Bellintani, M.; Brandão, H.; Meira, P. Rosmarinic and Cinnamic Acid Derivatives of in vitro Tissue Culture of Plectranthus ornatus: Overproduction and Correlation with Antioxidant Activities. J. Braz. Chem. Soc. 2016, 28, 2017–2019. [Google Scholar] [CrossRef]
- Qiao, S.; Li, W.; Tsubouchi, R.; Haneda, M.; Murakami, K.; Takeuchi, F.; Nisimoto, Y.; Yoshino, M. Rosmarinic acid inhibits the formation of reactive oxygen and nitrogen species in RAW264.7 macrophages. Free Radic. Res. 2005, 39, 995–1003. [Google Scholar] [CrossRef] [PubMed]
- Osakabe, N.; Yasuda, A.; Natsume, M.; Sanbongi, C.; Kato, Y.; Osawa, T.; Yoshikawa, T. Rosmarinic acid, a major polyphenolic component of Perilla frutensis, reduces liposaccharide (LPS)-induced liver injury in D-glucosamine (D-GalN)-sensitized mice. Free Radic. Biol. Med. 1997, 5, 637–647. [Google Scholar]
- Fallarini, S.; Miglio, G.; Paoletti, T.; Minassi, A.; Amoruso, A.; Bardelli, C.; Brunelleschi, S.; Lombardi, G. Clovamide and rosmarinic acid induce neuroprotective effects in in vitro models of neuronal death. Br. J. Pharmacol. 2009, 157, 1072–1084. [Google Scholar] [CrossRef] [PubMed]
- Hamaguchi, T.; Ono, K.; Murase, A.; Yamada, M. Phenolic compounds prevent Alzheimer’s pathology through different effects on the amyloid-β aggregation pathway. Am. J. Pathol. 2009, 175, 2557–2565. [Google Scholar] [CrossRef] [PubMed]
- Valko, M.; Leibfritz, D.; Moncol, J.; Cronin, M.T.D.; Mazur, M.; Telser, J. Free radicals and antioxidants in normal physiological functions and human disease. Int. J. Biochem. Cell Biol. 2007, 39, 44–84. [Google Scholar] [CrossRef] [PubMed]
- Brand-Williams, W.; Cuvelier, M.E.; Berset, C. Use of a free radical method to evaluate antioxidant activity. LWT Food Sci. Technol. 1995, 28, 25–30. [Google Scholar] [CrossRef]
- Hano, C.; Corbin, C.; Drouet, S.; Quéro, A.; Rombaut, N.; Savoire, R.; Molinié, R.; Thomasset, B.; Mesnard, F.; Lainé, E. The lignan (+)-secoisolariciresinol extracted from flax hulls is an effective protectant of linseed oil and its emulsion against oxidative damage. Eur. J. Lipid Sci. Technol. 2017, 119, 1–9. [Google Scholar] [CrossRef]
- Lopez, T.; Corbin, C.; Falguieres, A.; Doussot, J.; Montguillon, J.; Hagège, D.; Hano, C.; Lainé, É. Influence de la composition du milieu de culture sur la production de métabolites secondaires et les activités antioxydantes et antibactériennes des extraits produits í partir de cultures in vitro de Clidemia hirta L. C. R. Chim. 2016, 19, 1071–1076. [Google Scholar] [CrossRef]
- Bourgeois, C.; Leclerc, É.A.; Corbin, C.; Doussot, J.; Serrano, V.; Vanier, J.R.; Seigneuret, J.M.; Auguin, D.; Pichon, C.; Lainé, É.; et al. L’ortie (Urtica dioica L.), une source de produits antioxidants et phytochimiques anti-âge pour des applications en cosmétique. C. R. Chim. 2016, 19, 1090–1100. [Google Scholar] [CrossRef]
- Lavilla, I.; Bendicho, C. Fundamentals of Ultrasound-Assisted Extraction. Water Extr. Bioact. Compd. 2017, 291–316. [Google Scholar] [CrossRef]
- Corbin, C.; Fidel, T.; Leclerc, E.A.; Barakzoy, E.; Sagot, N.; Falguiéres, A.; Renouard, S.; Blondeau, J.P.; Ferroud, C.; Doussot, J.; et al. Development and validation of an efficient ultrasound assisted extraction of phenolic compounds from flax (Linum usitatissimum L.) seeds. Ultrason. Sonochem. 2015, 26, 176–185. [Google Scholar] [CrossRef] [PubMed]
- Medina-Torres, N.; Ayora-Talavera, T.; Espinosa-Andrews, H.; Sánchez-Contreras, A.; Pacheco, N. Ultrasound Assisted Extraction for the Recovery of Phenolic Compounds from Vegetable Sources. Agronomy 2017, 7, 47. [Google Scholar] [CrossRef]
- Bauer, N.; Leljak-Levanic, D.; Jelaska, S. Rosmarinic Acid Synthesis in Transformed Callus Culture of Coleus blumei Benth. Z. Naturforsch. C 2004, 59, 554–560. [Google Scholar] [CrossRef] [PubMed]
- Petersen, M.; Häusler, E.; Meinhard, J.; Karwatzki, B.; Gertlowski, C. The biosynthesis of rosmarinic acid in suspension cultures of Coleus blumei. Plant Cell Tissue Organ Cult. 1994, 38, 171–179. [Google Scholar] [CrossRef]
- Martinez, B.C.; Park, C. Characteristics of Batch Suspension Cultures of Preconditioned Coleus blumei Cells: Sucrose Effect. Biotechnol. Prog. 1993, 9, 97–100. [Google Scholar] [CrossRef]
- Furukawa, M.; Makino, M.; Ohkoshi, E.; Uchiyama, T.; Fujimoto, Y. Terpenoids and phenethyl glucosides from Hyssopus cuspidatus (Labiatae). Phytochemistry 2011, 72, 2244–2252. [Google Scholar] [CrossRef] [PubMed]
- Hajimehdipoor, H.; Saeidnia, S.; Gohari, A.; Hamedani, M.; Shekarchi, M. Comparative study of rosmarinic acid content in some plants of Labiatae family. Pharmacogn. Mag. 2012, 8, 37–41. [Google Scholar] [CrossRef] [PubMed]
- Jacotet-Navarro, M.; Rombaut, N.; Fabiano-Tixier, A.S.; Danguien, M.; Bily, A.; Chemat, F. Ultrasound versus microwave as green processes for extraction of rosmarinic, carnosic and ursolic acids from rosemary. Ultrason. Sonochem. 2015, 27, 102–109. [Google Scholar] [CrossRef] [PubMed]
- Caleja, C.; Barros, L.; Prieto, M.A.; Barreiro, M.F.; Oliveira, M.B.P.P.; Ferreira, I.C.F.R. Extraction of rosmarinic acid from Melissa officinalis L. by heat-, microwave- and ultrasound-assisted extraction techniques: A comparative study through response surface analysis. Sep. Purif. Technol. 2017, 186, 297–308. [Google Scholar] [CrossRef]
- Adham, A.N. Comparative extraction methods, phytochemical constituents, fluorescence analysis and HPLC validation of rosmarinic acid content in Mentha piperita, Mentha longifolia and Osimum basilicum. J. Pharmacogn. Phytochem. 2015, 3, 130–139. [Google Scholar]
- Chemat, F.; Rombaut, N.; Sicaire, A.G.; Meullemiestre, A.; Fabiano-Tixier, A.S.; Abert-Vian, M. Ultrasound assisted extraction of food and natural products. Mechanisms, techniques, combinations, protocols and applications. A review. Ultrason. Sonochem. 2017, 34, 540–560. [Google Scholar] [CrossRef] [PubMed]
- Chatterjee, A.; Tandon, S.; Ahmad, A. Comparative Extraction and Downstream Processing Techniques for Quantitative Analysis of Rosmarinic Acid in Rosmarinus officinalis. Asian J. Chem. 2014, 26, 4313–4318. [Google Scholar] [CrossRef]
- Tabaraki, R.; Nateghi, A. Optimization of ultrasonic-assisted extraction of natural antioxidants from rice bran using response surface methodology. Ultrason. Sonochem. 2011, 18, 1279–1286. [Google Scholar] [CrossRef] [PubMed]
- Rakić, T.; Kasagić-Vujanović, I.; Jovanović, M.; Jančić-Stojanović, B.; Ivanović, D. Comparison of Full Factorial Design, Central Composite Design, and Box-Behnken Design in Chromatographic Method Development for the Determination of Fluconazole and Its Impurities. Anal. Lett. 2014, 47, 1334–1347. [Google Scholar] [CrossRef]
- Amoah, S.; Sandjo, L.; Kratz, J.; Biavatti, M. Rosmarinic Acid–Pharmaceutical and Clinical Aspects. Planta Med. 2016, 82, 388–406. [Google Scholar] [CrossRef] [PubMed]
- Ngo, Y.L.; Lau, C.H.; Chua, L.S. Review on rosmarinic acid extraction, fractionation and its anti-diabetic potential. Food Chem. Toxicol. 2018, 121, 687–700. [Google Scholar] [CrossRef] [PubMed]
- Abdullah, Y.; Schneider, B.; Petersen, M. Occurrence of rosmarinic acid, chlorogenic acid and rutin in Marantaceae species. Phytochem. Lett. 2008, 1, 199–203. [Google Scholar] [CrossRef]
- Snyder, L.R.; Kirkland, J.J.; Glajch, J.L. Practical HPLC Method Development; John Wiley & Sons, Inc.: Hoboken, NJ, USA, 1997; ISBN 9781118592014. [Google Scholar]
- Es-Safi, N.E.; Ghidouche, S.; Ducrot, P.H. Flavonoids: Hemisynthesis, reactivity, characterization and free radical scavenging activity. Molecules 2007, 12, 2228–2258. [Google Scholar] [CrossRef] [PubMed]
- El Abdellaoui, S.; Destandau, E.; Krolikiewicz-Renimel, I.; Cancellieri, P.; Toribio, A.; Jeronimo-Monteiro, V.; Landemarre, L.; André, P.; Elfakir, C. Centrifugal partition chromatography for antibacterial bio-guided fractionation of Clidemia hirta roots. Sep. Purif. Technol. 2014, 123, 221–228. [Google Scholar] [CrossRef]
- Fliniaux, O.; Corbin, C.; Ramsay, A.; Renouard, S.; Beejmohun, V.; Doussot, J.; Falguières, A.; Ferroud, C.; Lamblin, F.; Lainé, E.; et al. Microwave-assisted extraction of herbacetin diglucoside from flax (Linum usitatissimum L.) seed cakes and its quantification using an RP-HPLC-UV system. Molecules 2014, 19, 3025–3037. [Google Scholar] [CrossRef] [PubMed]
- Di Marco, G.; Gismondi, A.; Panzanella, L.; Canuti, L.; Impei, S.; Leonardi, D.; Canini, A. Botanical influence on phenolic profile and antioxidant level of Italian honeys. J. Food Sci. Technol. 2018, 55, 4042–4050. [Google Scholar] [CrossRef] [PubMed]
© 2019 by the authors. Licensee MDPI, Basel, Switzerland. This article is an open access article distributed under the terms and conditions of the Creative Commons Attribution (CC BY) license (http://creativecommons.org/licenses/by/4.0/).



