Light Requirement Dynamics in Three Common Submerged Macrophytes: From Establishment to Peak Biomass
Abstract
1. Introduction
2. Results and Discussion
2.1. Light Conditions
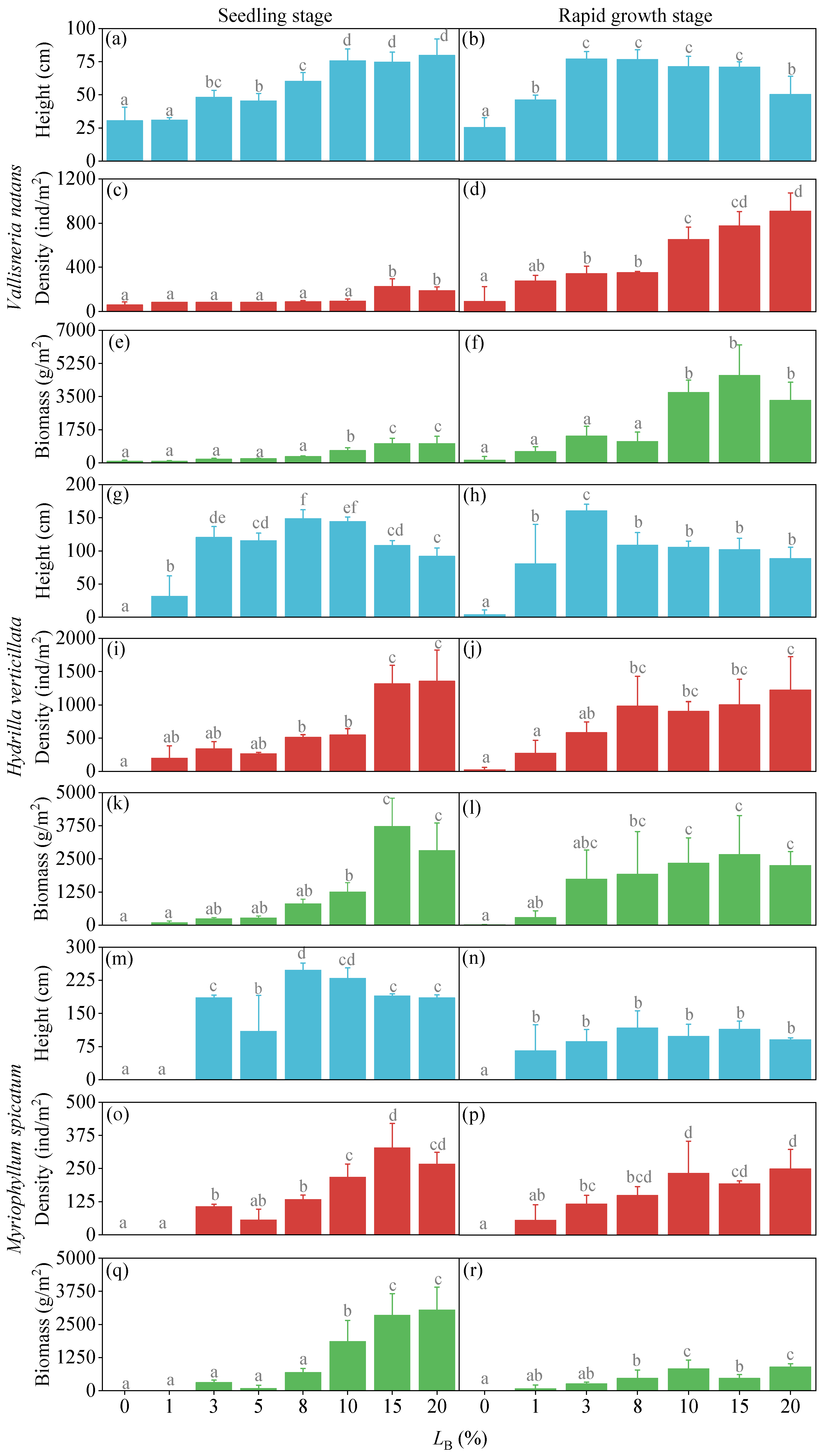
2.2. Plant Growth Performance
2.3. Light Intensity Emerges as the Dominant Driver of Absolute Growth Rate of Biomass (AGR)
2.4. Light–Growth Rate Models and Derivation of Light Compensation Point (LCP) and Light Saturation Point (LSP) for Each Growth Stage
- V. natans
- H. verticillata
- M. spicatum
2.5. Integrated Light–Biomass Model for Entire Growth Period
- V. natans
- H. verticillata
- M. spicatum
2.6. Dynamic Light Demand Under Specific Biomass Targets
3. Materials and Methods
3.1. Study Area and Experimental System
3.2. Study Species
3.3. Experimental Setup
3.4. Sampling and Measurement
3.5. Data Analysis
4. Conclusions
- Shade tolerance ranked V. natans > H. verticillata > M. spicatum: V. natans survived at 0% light; H. verticillata survived at 0% light only during rapid growth; and M. spicatum failed to survive at 0–1% light.
- Growth traits responded differently to light: shoot density and biomass increased continuously without saturation, whereas plant height peaked under low light (0–8%) and then declined at higher light (10–20%) as energy allocation shifted toward tillering and biomass accumulation.
- Light requirements increased with growth stage: Seedling-stage LCPs were 2.1% for V. natans, 4.4% for H. verticillata, and 4.7% for M. spicatum, rising to 3.3%, 10.5%, and 24.1%, respectively, during the rapid growth stage.
- Based on the entire-growth-period light–biomass model, dynamic light requirements for specific biomass targets can be determined, revealing that light demand during the rapid growth stage is 2.4–4.7 times that of the seedling stage.
Supplementary Materials
Author Contributions
Funding
Data Availability Statement
Acknowledgments
Conflicts of Interest
References
- Jeppesen, E.; Søndergaard, M.; Søndergaard, M.; Christoffersen, K. The Structuring Role of Submerged Macrophytes in Lakes; Springer Science & Business Media: New York, NY, USA, 1998. [Google Scholar] [CrossRef]
- Hinojosa-Garro, D.; Mason, C.F.; Underwood, G.J.C. Influence of macrophyte spatial architecture on periphyton and macroinvertebrate community structure in shallow water bodies under contrasting land management. Fundam. Appl. Limnol. 2010, 177, 19–37. [Google Scholar] [CrossRef]
- Zhang, Y.L.; Qin, B.Q.; Shi, K.; Zhang, Y.B.; Deng, J.M.; Wild, M.; Li, L.; Zhou, Y.Q.; Yao, X.L.; Liu, M.; et al. Radiation dimming and decreasing water clarity fuel underwater darkening in lakes. Sci. Bull. 2020, 65, 1675–1684. [Google Scholar] [CrossRef] [PubMed]
- Wang, D.S.; Gan, X.Y.; Wang, Z.Q.; Jiang, S.F.; Zheng, X.Y.; Zhao, M.; Zhang, Y.H.; Fan, C.Z.; Wu, S.Q.; Du, L.N. Research status on remediation of eutrophic water by submerged macrophytes: A review. Process Saf. Environ. Prot. 2023, 169, 671–684. [Google Scholar] [CrossRef]
- Yu, Y.X.; Li, Y.H.; Wang, H.J.; Su, H.J.; Rao, Q.Y.; Liu, Y.; Xie, P. Integrating water depth to predict the threshold of collapse and recovery of submerged macrophytes for lakes with large depth gradients. Front. Plant Sci. 2025, 16, 1541394. [Google Scholar] [CrossRef]
- Chen, J.F.; Chou, Q.C.; Ren, W.J.; Su, H.J.; Zhang, M.; Cao, T.; Zhu, T.S.; Ni, L.Y.; Liu, Z.G.; Xie, P. Growth, morphology and C/N metabolism responses of a model submerged macrophyte, Vallisneria natans, to various light regimes. Ecol. Indic. 2022, 136, 108652. [Google Scholar] [CrossRef]
- Ho, L.C.; Hurd, R.G.; Ludwig, L.J. Changes in photosynthesis, carbon budget and mineral content during the growth of the first leaf of cucumber. Ann. Bot. 1984, 54, 87–101. [Google Scholar] [CrossRef]
- Ashton, D.H.; Turner, J.S. Studies on the light compensation point of Eucalyptus regnans F. Muell. Aust. J. Bot. 1979, 27, 589–607. [Google Scholar] [CrossRef]
- Harley, M.T.; Findlay, S. Photosynthesis-irradiance relationships for three species of submersed macrophytes in the tidal freshwater Hudson River. Estuaries 1994, 17, 200–205. [Google Scholar] [CrossRef]
- Madsen, J.D.; Hartleb, C.F.; Boylen, C.W. Photosynthetic characteristics of Myriophyllum spicatum and six submersed aquatic macrophyte species native to Lake George, New York. Freshw. Biol. 1991, 26, 233–240. [Google Scholar] [CrossRef]
- Yuan, J.R.; Bai, Z.X.; Ye, S.Y.; Liu, H.; Wang, Y.H.; Li, F.; Xie, Y.H.; Gao, A.G.; Wu, A.P. High-light inhibition of two submerged macrophytes in a shallow water experiment. AoB Plants 2022, 14, plac009. [Google Scholar] [CrossRef]
- Huang, X.L.; Ke, F.; Lu, J.; Xie, H.M.; Zhao, Y.; Yin, C.Y.; Guan, B.H.; Li, K.Y.; Jeppesen, E. Underwater light attenuation inhibits native submerged plants and facilitates the invasive co-occurring plant Cabomba caroliniana. Divers. Distrib. 2023, 29, 543–555. [Google Scholar] [CrossRef]
- Xie, Y.H.; An, S.Q.; Wu, B.F. Resource allocation in the submerged plant Vallisneria natans related to sediment type, rather than water-column nutrients. Freshw. Biol. 2005, 50, 391–402. [Google Scholar] [CrossRef]
- Madsen, T.V.; Cedergreen, N. Sources of nutrients to rooted submerged macrophytes growing in a nutrient-rich stream. Freshw. Biol. 2002, 47, 283–291. [Google Scholar] [CrossRef]
- Barko, J.W. Influence of potassium source (sediment vs. open water) and sediment composition on the growth and nutrition of a submersed freshwater macrophyte (Hydrilla verticillata) (L.f.) Royle). Aquat. Bot. 1982, 12, 157–172. [Google Scholar] [CrossRef]
- Chou, Q.C.; Zhang, W.; Chen, J.F.; Ren, W.J.; Yuan, C.B.; Wen, Z.H.; Zhang, X.L.; Cao, T.; Ni, L.Y.; Jeppesen, E. Phenotypic responses of a submerged macrophyte (Vallisneria natans) to low light combined with water depth. Aquat. Bot. 2022, 176, 103462. [Google Scholar] [CrossRef]
- Xie, Y.H.; Luo, W.; Ren, B.; Li, F. Morphological and physiological responses to sediment type and light availability in roots of the submerged plant Myriophyllum spicatum. Ann. Bot. 2007, 100, 1517–1523. [Google Scholar] [CrossRef]
- Yuan, G.X.; Fu, H.; Zhong, J.Y.; Lou, Q.; Ni, L.Y.; Cao, T. Growth and C/N metabolism of three submersed macrophytes in response to water depths. Environ. Exp. Bot. 2016, 122, 94–99. [Google Scholar] [CrossRef]
- Yu, Q.; Wang, H.Z.; Li, Y.; Shao, J.C.; Liang, X.M.; Jeppesen, E.; Wang, H.J. Effects of high nitrogen concentrations on the growth of submersed macrophytes at moderate phosphorus concentrations. Water Res. 2015, 83, 385–395. [Google Scholar] [CrossRef] [PubMed]
- Ma, J.M.; Jin, T.X.; Li, J.; Wu, J.; Wu, Z.B. Responses of Elodea nuttallii, Vallisneria natans and Potamogeton crispus to acute stress of phosphorus. Acta Hydrobiol. Sin. 2008, 3, 408–412. [Google Scholar] [CrossRef]
- Beets, J.P.; Foley, K.J.; Sperry, B.P.; Howell, A.W.; Richardson, R.J. Growth patterns of three Hydrilla verticillata biotypes in the United States. Aquat. Bot. 2025, 201, 103924. [Google Scholar] [CrossRef]
- Wang, J.W.; Yu, D.; Wang, Q. Growth, biomass allocation, and autofragmentation responses to root and shoot competition in Myriophyllum spicatum as a function of sediment nutrient supply. Aquat. Bot. 2008, 89, 357–364. [Google Scholar] [CrossRef]
- Middelboe, A.L.; Markager, S. Depth limits and minimum light requirements of freshwater macrophytes. Freshw. Biol. 1997, 37, 553–568. [Google Scholar] [CrossRef]
- Chambers, P.A. Light and nutrients in the control of aquatic plant community structure. 2. in situ observations. J. Ecol. 1987, 75, 621–628. [Google Scholar] [CrossRef]
- Deng, J.Y.; Gao, X.Y.; Shan, H.; Zhang, X.L.; Ni, L.Y.; Cao, T. The measurement of photosynthetic paramenters of submersed macrophytes with aims to explore the plant distribution depth in Erhai Lake. Acta Hydrobiol. Sin. 2023, 47, 1157–1167. [Google Scholar]
- Su, W.H.; Zhang, G.F.; Zhang, Y.S.; Xiao, H.; Xia, F. The photosynthetic characteristics of five submerged aquatic plants. Acta Hydrobiol. Sin. 2004, 28, 391–395. [Google Scholar] [CrossRef]
- Ren, N.; Yan, G.A.; Ma, J.M.; Li, Y.J. The study on the influence of environmental factors of the submerged macrophytes in the east lake. J. Wuhan Univ. 1996, 42, 213–218. [Google Scholar]
- Du, J.; Xue, R.; Gu, L. Growth characteristics of Vallisneria natans and its purification effect on water quality under different light environments. Agric. Technol. 2020, 40, 18–22. [Google Scholar]
- Li, Q.; Xie, Y.C. Influence of low light on the growth and development of Vallisneria natans seedlings. Appl. Mech. Mater. 2013, 295–298, 62–68. [Google Scholar] [CrossRef]
- Ji, G.H.; Xu, H.T.; Wang, L.Q.; Zhao, F.B. Effects of light intensity at different depth of water on growth of 4 submerged plants. Environ. Pollut. Control. 2011, 33, 29–32. [Google Scholar]
- Ou, Y.K. Studies on Physiological Reactions in Adverse Circumstances of Submerged Plants and Their Purifying Functions; Central South University of Forestry and Technology: Changsha, China, 2007. [Google Scholar]
- Chen, W.Y.; Yuan, S.X.; Li, H.J.; Lin, F.P.; Li, Q.; Hu, J.M.; Chen, Z.H. Influences of temperature and light intensity on the growth and pollutant removal by Hydrilla verticillata. Acta Ecol. Sin. 2010, 30, 2639–2646. [Google Scholar]
- Liu, X.D.; Hou, Z.Y.; Li, F.; Xie, Y.H.; Li, Y.; Yu, X.Y. Competition between Potamogeton malaianus and Hydrilla verticillata in response to different water level conditions. Hydrobiologia 2023, 850, 3031–3041. [Google Scholar] [CrossRef]
- Guo, Q.C.; Gao, Y.X.; Song, C.; Zhang, X.H.; Wang, G.X. Morphological and transcriptomic responses/acclimations of erect-type submerged macrophyte Hydrilla verticillata both at low-light exposure and light recovery phases. Ecol. Evol. 2023, 13, e10583. [Google Scholar] [CrossRef] [PubMed]
- State Environmental Protection Administration. Water and Wastewater Monitoring and Analysis Method, 4th ed.; China Environmental Science Press: Beijing, China, 2002. [Google Scholar]
- Meidner, H. Light compensation points and photorespiration. Nature 1970, 228, 1349. [Google Scholar] [CrossRef] [PubMed]
- Lusk, C.H.; Jorgensen, M.A. The whole-plant compensation point as a measure of juvenile tree light requirements. Funct. Ecol. 2013, 27, 1286–1294. [Google Scholar] [CrossRef]




| Growth Stages | Light Parameters | Experimental Treatments, LB | |||||||
|---|---|---|---|---|---|---|---|---|---|
| 0% | 1% | 3% | 5% | 8% | 10% | 15% | 20% | ||
| Seedling | lA (μmol/m2/s) | 1121 ± 567 | 1099 ± 516 | 1182 ± 486 | 1180 ± 549 | 1252 ± 515 | 1265 ± 525 | 1205 ± 579 | 1091 ± 480 |
| lZ (μmol/m2/s) | 1 ± 1 | 8 ± 5 | 30 ± 14 | 36 ± 28 | 78 ± 47 | 105 ± 65 | 222 ± 142 | 276 ± 132 | |
| Actual LB (%) | 0.1 ± 0.0 | 0.7 ± 0.1 | 2.6 ± 0.7 | 2.9 ± 1.0 | 6.1 ± 0.8 | 8.0 ± 1.0 | 17.2 ± 4.8 | 24.9 ± 1.1 | |
| Rapid growth | lA (μmol/m2/s) | 1795 ± 402 | 1699 ± 412 | 1655 ± 462 | - | 1785 ± 361 | 1624 ± 502 | 1545 ± 552 | 1606 ± 560 |
| lZ (μmol/m2/s) | 3 ± 1 | 29 ± 13 | 64 ± 42 | - | 160 ± 97 | 334 ± 184 | 340 ± 183 | 477 ± 277 | |
| Actual LB (%) | 0.2 ± 0.0 | 1.7 ± 0.1 | 3.7 ± 0.5 | - | 10.5 ± 1.4 | 18.5 ± 1.2 | 21.5 ± 2.1 | 27.8 ± 3.8 | |
| Species | Growth Stages | LT | WT | pH | TN | TP | Chl a |
|---|---|---|---|---|---|---|---|
| Vallisneria natans | Seedling | 0.91 * | 0.40 | 0.67 | −0.66 * | −0.04 | 0.26 |
| Rapid growth | 0.89 * | 0.76 * | 0.81 * | 0.36 | −0.41 | 0.35 | |
| Hydrilla verticillata | Seedling | 0.90 * | 0.60 * | 0.64 * | −0.70 * | −0.03 | 0.27 |
| Rapid growth | 0.75 * | 0.43 * | 0.70 * | 0.26 | −0.52 * | 0.42 | |
| Myriophyllum spicatum | Seedling | 0.93 * | 0.42 * | 0.67 * | −0.71 * | −0.08 | 0.18 |
| Rapid growth | 0.87 * | 0.63 * | 0.75 * | 0.33 | −0.39 | 0.50 * |
| Species | Growth Stages | Parameters | Literature Values (Method) | Model-Derived Values (This Study) | Notes/Comparison |
|---|---|---|---|---|---|
| Vallisneria natans | Seedling | LCP | 4.3–9.4 μmol/m2/s (Microcosm, leaf) [25,26,27]; 0 < LCP ≤ 1% lA (Mesocosm) [28,29] | 2.1% lA (24 μmol/m2/s) | Microcosm (leaf) value comparable to model. Mesocosm range lower. |
| LSP | 55.6–200.0 μmol/m2/s (Microcosm, leaf) [25,26]; ≤15% lA (Mesocosm) [11] | >39.8% lA (>467 μmol/m2/s) | All literature values lower than model estimate. | ||
| Rapid growth | LCP | 6.3 μmol/m2/s (Microcosm, leaf) [27]; 116–144 μmol/m2/s (Mesocosm, water layer) [30] | 3.3% lA (55 μmol/m2/s) | Literature values differ substantially from model. | |
| LSP | - | >56.0% lA (>930 μmol/m2/s) | - | ||
| Hydrilla verticillata | Seedling | LCP | 15.8–28.9 μmol/m2/s (Microcosm, leaf/apical) [25,26,31] | 4.4% lA (52 μmol/m2/s) | Microcosm range comparable to model. |
| LSP | 97.1–500.0 μmol/m2/s (Microcosm, leaf/apical) [25,26,31]; 25.0 μmol/m2/s (Mesocosm) [32] | >42.6% lA (>500 μmol/m2/s) | Literature values lower. | ||
| Rapid growth | LCP | 235–303 μmol/m2/s (Mesocosm, water layer) [30] | 10.5% lA (174 μmol/m2/s) | Mesocosm value comparable to model. | |
| LSP | - | >65.2% lA (>1083 μmol/m2/s) | - | ||
| Myriophyllum spicatum | Seedling | LCP | 21.6–51.0 μmol/m2/s (Microcosm, leaf/apical) [9,10,25,26,27] | 4.7% lA (55 μmol/m2/s) | Microcosm range comparable to model. |
| LSP | 134–1000 μmol/m2/s (Microcosm, leaf/apical) [9,25,26,31]; ≤15% lA (Mesocosm) [11] | >68.7% lA (>807 μmol/m2/s) | Literature values lower. | ||
| Rapid growth | LCP | 5% lA (Mesocosm) [12] | 24.1% lA (400 μmol/m2/s) | Literature value lower than model. | |
| LSP | - | >66.8% lA (>1109 μmol/m2/s) | - |
| Species | Growth Stages | Maximum Biomass Targets (g/m2) | Biomass Increments (g/m2) | Growth Days (d) | Light Demand (LT, %) |
|---|---|---|---|---|---|
| Vallisneria natans | Seedling | 2000 | 200 | 90 | 4.3 |
| Rapid growth | 1800 | 90 | 10.6 | ||
| Hydrilla verticillata | Seedling | 700 | 300 | 90 | 5.6 |
| Rapid growth | 400 | 90 | 13.3 | ||
| Myriophyllum spicatum | Seedling | 600 | 300 | 90 | 6.8 |
| Rapid growth | 300 | 90 | 31.7 |
Disclaimer/Publisher’s Note: The statements, opinions and data contained in all publications are solely those of the individual author(s) and contributor(s) and not of MDPI and/or the editor(s). MDPI and/or the editor(s) disclaim responsibility for any injury to people or property resulting from any ideas, methods, instructions or products referred to in the content. |
© 2026 by the authors. Licensee MDPI, Basel, Switzerland. This article is an open access article distributed under the terms and conditions of the Creative Commons Attribution (CC BY) license.
Share and Cite
Liu, M.; Liu, M.; Li, Y.; Uddin, K.B.; Zhao, Y. Light Requirement Dynamics in Three Common Submerged Macrophytes: From Establishment to Peak Biomass. Plants 2026, 15, 1066. https://doi.org/10.3390/plants15071066
Liu M, Liu M, Li Y, Uddin KB, Zhao Y. Light Requirement Dynamics in Three Common Submerged Macrophytes: From Establishment to Peak Biomass. Plants. 2026; 15(7):1066. https://doi.org/10.3390/plants15071066
Chicago/Turabian StyleLiu, Mengmei, Mansen Liu, Yan Li, Kazi Belal Uddin, and Yongjing Zhao. 2026. "Light Requirement Dynamics in Three Common Submerged Macrophytes: From Establishment to Peak Biomass" Plants 15, no. 7: 1066. https://doi.org/10.3390/plants15071066
APA StyleLiu, M., Liu, M., Li, Y., Uddin, K. B., & Zhao, Y. (2026). Light Requirement Dynamics in Three Common Submerged Macrophytes: From Establishment to Peak Biomass. Plants, 15(7), 1066. https://doi.org/10.3390/plants15071066

