Leaf Structural, Physiological and Biochemical Responses to Contrasting Light Environments in Iris pumila L.: Evidence from a Reciprocal Transplant Experiment
Abstract
1. Introduction
2. Results
2.1. Structural, Physiological and Biochemical Leaf Traits of I. pumila in Contrasting Light Habitats
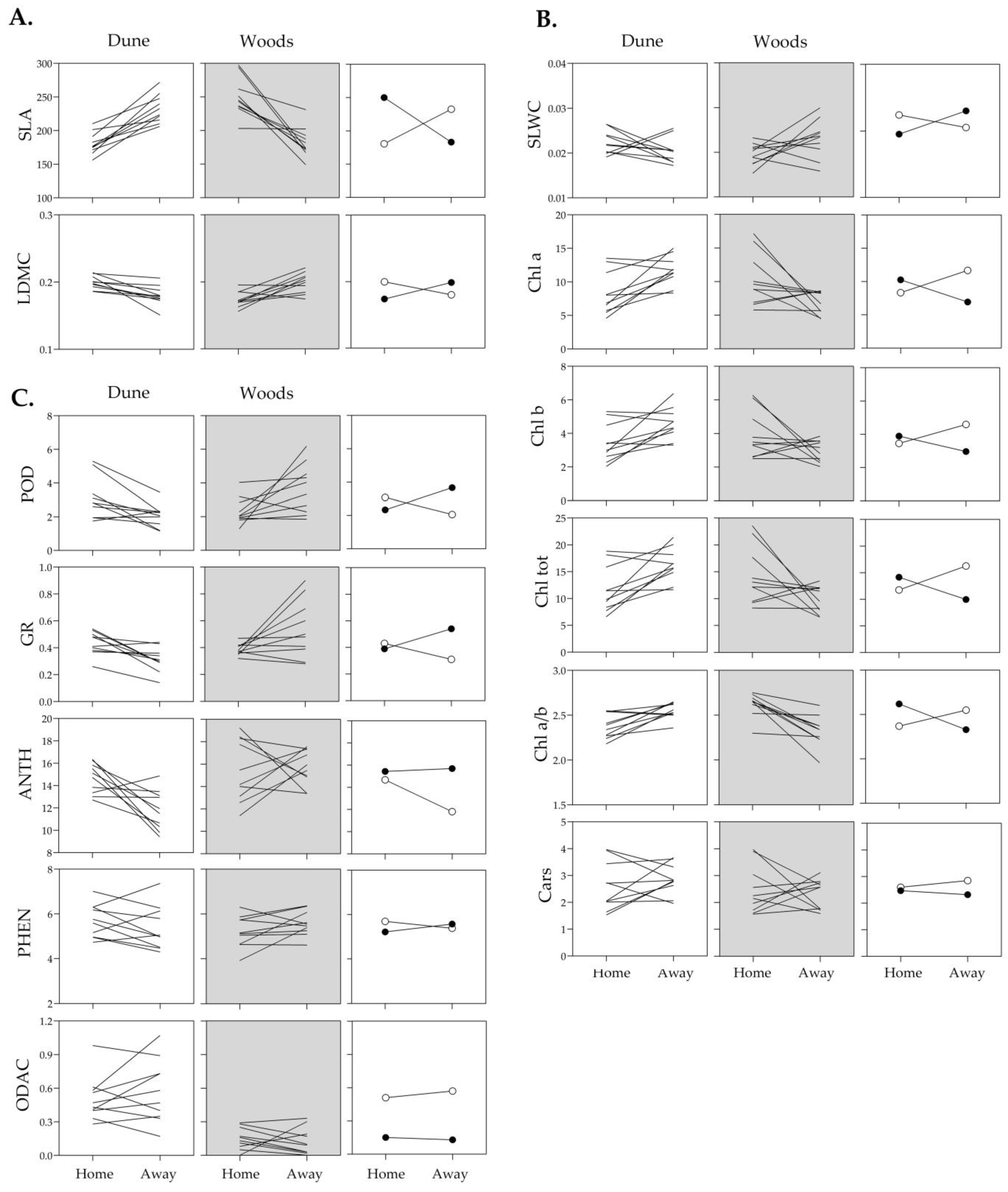
2.2. Phenotypic Plasticity of Structural, Physiological and Biochemical Leaf Traits to Light Intensity
2.3. Population Differentiation and Trait Responses Across Contrasting Light Habitats
3. Discussion
3.1. Leaf Functional Responses to Light Environments
3.2. Phenotypic Plasticity to Light Intensity
3.3. Population Differentiation Under Spatial Heterogeneity in Habitat Light Conditions
4. Materials and Methods
4.1. The Study Species and Experimental Design
4.2. Estimation of SLA, LDMC, SLWC and Photosynthetic Pigments
4.3. Determination of Enzymatic Antioxidant Activity—Peroxidase and Glutathione Reductase
4.4. Determination of the Total Non-Enzymatic Antioxidants—Phenolics and Anthocyanins
4.5. Assessment of Oxidative Damage to Antioxidant Capacity Index
4.6. Statistical Analyses
5. Conclusions
Supplementary Materials
Author Contributions
Funding
Data Availability Statement
Acknowledgments
Conflicts of Interest
References
- Stuefer, J.F. Potential and Limitations of Current Concepts Regarding the Response of Clonal Plants to Environmental Heterogeneity. Vegetatio 1996, 127, 55–70. [Google Scholar] [CrossRef]
- Larcher, W. Physiological Plant Ecology: Ecophysiology and Stress Physiology of Functional Groups, 4th ed.; Springer: Berlin/Heidelberg, Germany, 2003; ISBN 978-3-540-43516-7. [Google Scholar]
- Schlichting, C.D. The Evolution of Phenothypic Plasticity in Plants. Annu. Rev. Ecol. Syst. 1986, 17, 667–693. [Google Scholar] [CrossRef]
- Sultan, S.E. Phenotypic Plasticity and Plant Adaptation. Acta Bot. Neerl. 1995, 44, 363–383. [Google Scholar] [CrossRef]
- Sommer, R.J. Phenotypic Plasticity: From Theory and Genetics to Current and Future Challenges. Genetics 2020, 215, 1–13. [Google Scholar] [CrossRef]
- Levins, R. Theory of Fitness in a Heterogeneous Environment. II. Developmental Flexibility and Niche Selection. Am. Nat. 1963, 97, 75–90. [Google Scholar] [CrossRef]
- Van Tienderen, P.H. Generalist, Specialist, and the Evolution of Phenotypic Plasticity in Sympatric Populations of Distinct Species. Evolution 1997, 51, 1372–1380. [Google Scholar] [CrossRef]
- Pigliucci, M. Evolution of Phenotypic Plasticity: Where Are We Going Now? Trends Ecol. Evol. 2005, 20, 481–486. [Google Scholar] [CrossRef]
- Steinger, T.; Roy, B.A.; Stanton, M.L. Evolution in Stressful Environments II: Adaptive Value and Costs of Plasticity in Response to Low Light in Sinapis arvensis. J. Evol. Biol. 2003, 16, 313–323. [Google Scholar] [CrossRef]
- Vuleta, A.; Manitašević Jovanović, S.; Tucić, B. Light Intensity Influences Variations in the Structural and Physiological Traits in the Leaves of Iris pumila L. Arch. Biol. Sci. 2011, 63, 1099–1110. [Google Scholar] [CrossRef]
- Niinemets, Ü.; Keenan, T.F.; Hallik, L. A Worldwide Analysis of Within-canopy Variations in Leaf Structural, Chemical and Physiological Traits across Plant Functional Types. New Phytol. 2015, 205, 973–993. [Google Scholar] [CrossRef]
- Portela, F.C.S.; Macieira, B.P.B.; Zanetti, L.V.; Gama, V.N.; Silva, D.M.; Milanez, C.R.D.; Cuzzuol, G.R.F. How Does Cariniana Estrellensis Respond to Different Irradiance Levels? J. For. Res. 2019, 30, 31–44. [Google Scholar] [CrossRef]
- Li, S.; Lu, S.; Wang, J.; Chen, Z.; Zhang, Y.; Duan, J.; Liu, P.; Wang, X.; Guo, J. Responses of Physiological, Morphological and Anatomical Traits to Abiotic Stress in Woody Plants. Forests 2023, 14, 1784. [Google Scholar] [CrossRef]
- Botterweg-Paredes, E.; Blaakmeer, A.; Hong, S.-Y.; Sun, B.; Mineri, L.; Kruusvee, V.; Xie, Y.; Straub, D.; Ménard, D.; Pesquet, E.; et al. Light Affects Tissue Patterning of the Hypocotyl in the Shade-Avoidance Response. PLoS Genet. 2020, 16, e1008678. [Google Scholar] [CrossRef] [PubMed]
- Wright, I.J.; Reich, P.B.; Cornelissen, J.H.C.; Falster, D.S.; Garnier, E.; Hikosaka, K.; Lamont, B.B.; Lee, W.; Oleksyn, J.; Osada, N.; et al. Assessing the Generality of Global Leaf Trait Relationships. New Phytol. 2005, 166, 485–496. [Google Scholar] [CrossRef]
- Matzek, V. Trait Values, Not Trait Plasticity, Best Explain Invasive Species’ Performance in a Changing Environment. PLoS ONE 2012, 7, e48821. [Google Scholar] [CrossRef]
- Osnas, J.L.D.; Katabuchi, M.; Kitajima, K.; Wright, S.J.; Reich, P.B.; Van Bael, S.A.; Kraft, N.J.B.; Samaniego, M.J.; Pacala, S.W.; Lichstein, J.W. Divergent Drivers of Leaf Trait Variation within Species, among Species, and among Functional Groups. Proc. Natl. Acad. Sci. USA 2018, 115, 5480–5485. [Google Scholar] [CrossRef]
- Ren, L.; Huang, Y.; Pan, Y.; Xiang, X.; Huo, J.; Meng, D.; Wang, X.; Yu, C. Differential Investment Strategies in Leaf Economic Traits Across Climate Regions Worldwide. Front. Plant Sci. 2022, 13, 798035. [Google Scholar] [CrossRef]
- Li, Y.L.; Johnson, D.A.; Su, Y.Z.; Cui, J.Y.; Zhang, T.H. Specific Leaf Area and Leaf Dry Matter Content of Plants Growing in Sand Dunes. Bot. Bull. Acad. Sinica 2005, 46, 127–134. [Google Scholar] [CrossRef]
- Wilson, P.J.; Thompson, K.; Hodgson, J.G. Specific Leaf Area and Leaf Dry Matter Content as Alternative Predictors of Plant Strategies. New Phytol. 1999, 143, 155–162. [Google Scholar] [CrossRef]
- Evans, J.R.; Poorter, H. Photosynthetic Acclimation of Plants to Growth Irradiance: The Relative Importance of Specific Leaf Area and Nitrogen Partitioning in Maximizing Carbon Gain. Plant Cell Environ. 2001, 24, 755–767. [Google Scholar] [CrossRef]
- Song, X.; Zhou, G.; He, Q. Critical Leaf Water Content for Maize Photosynthesis under Drought Stress and Its Response to Rewatering. Sustainability 2021, 13, 7218. [Google Scholar] [CrossRef]
- Wang, Z.; Huang, H.; Wang, H.; Peñuelas, J.; Sardans, J.; Niinemets, Ü.; Niklas, K.J.; Li, Y.; Xie, J.; Wright, I.J. Leaf Water Content Contributes to Global Leaf Trait Relationships. Nat. Commun. 2022, 13, 5525. [Google Scholar] [CrossRef]
- Vaswani, H.M.; Holt, N.E.; Fleming, G.R. Carotenoid-Chlorophyll Complexes: Ready-to-Harvest. Pure Appl. Chem. 2005, 77, 925–945. [Google Scholar] [CrossRef]
- Simkin, A.J.; Kapoor, L.; Doss, C.G.P.; Hofmann, T.A.; Lawson, T.; Ramamoorthy, S. The Role of Photosynthesis Related Pigments in Light Harvesting, Photoprotection and Enhancement of Photosynthetic Yield in Planta. Photosynth. Res. 2022, 152, 23–42. [Google Scholar] [CrossRef]
- Demmig-Adams, B.; Adams, W.W. Photoprotection and Other Responses of Plants to High Light Stress. Annu. Rev. Plant. Physiol. Plant. Mol. Biol. 1992, 43, 599–626. [Google Scholar] [CrossRef]
- Valladares, F.; Niinemets, Ü. Shade Tolerance, a Key Plant Feature of Complex Nature and Consequences. Annu. Rev. Ecol. Evol. Syst. 2008, 39, 237–257. [Google Scholar] [CrossRef]
- Zhang, M.; Ming, Y.; Wang, H.-B.; Jin, H.-L. Strategies for Adaptation to High Light in Plants. aBIOTECH 2024, 5, 381–393. [Google Scholar] [CrossRef] [PubMed]
- Suzuki, N.; Rivero, R.M.; Shulaev, V.; Blumwald, E.; Mittler, R. Abiotic and Biotic Stress Combinations. New Phytol. 2014, 203, 32–43. [Google Scholar] [CrossRef]
- Bussotti, F. Functional Leaf Traits, Plant Communities and Acclimation Processes in Relation to Oxidative Stress in Trees: A Critical Overview. Glob. Change Biol. 2008, 14, 2727–2739. [Google Scholar] [CrossRef]
- Foyer, C.H.; Shigeoka, S. Understanding Oxidative Stress and Antioxidant Functions to Enhance Photosynthesis. Antioxid. Redox Sign. 2011, 155, 93–100. [Google Scholar] [CrossRef]
- Abouzari, A.; Fakheri, B.A. Reactive Oxygen Species: Generation, Oxidative Damage, and Signal Transduction. Int. J. Life Sci. 2015, 9, 3–17. [Google Scholar] [CrossRef]
- Nadarajah, K.K. ROS Homeostasis in Abiotic Stress Tolerance in Plants. Int. J. Mol. Sci. 2020, 21, 5208. [Google Scholar] [CrossRef]
- Apel, K.; Hirt, H. Reactive Oxygen Species: Metabolism, Oxidative Stress, and Signal Transduction. Annu. Rev. Plant Biol. 2004, 55, 373–399. [Google Scholar] [CrossRef]
- Ashraf, M.A.; Riaz, M.; Arif, M.S.; Rasheed, R.; Iqbal, M.; Hussain, I.; Mubarik, M.S. The Role of Non-Enzymatic Antioxidants in Improving Abiotic Stress Tolerance in Plants. In Plant Tolerance to Environmental Stress; Hasanuzzaman, M., Fujita, M., Oku, H., Islam, M.T., Eds.; CRC Press: Boca Raton, FL, USA, 2019; pp. 129–144. ISBN 978-0-203-70531-5. [Google Scholar]
- Dumanović, J.; Nepovimova, E.; Natić, M.; Kuča, K.; Jaćević, V. The Significance of Reactive Oxygen Species and Antioxidant Defense System in Plants: A Concise Overview. Front. Plant Sci. 2021, 11, 552969. [Google Scholar] [CrossRef] [PubMed]
- Pandey, V.P.; Awasthi, M.; Singh, S.; Tiwari, S.; Dwivedi, U.N. A Comprehensive Review on Function and Application of Plant Peroxidases. Biochem. Anal. Biochem. 2017, 6, 308. [Google Scholar] [CrossRef]
- Romero-Puertas, M.C.; Corpas, F.J.; Sandalio, L.M.; Leterrier, M.; Rodriguez-Serrano, M.; Rio, L.A.; Palma, J.M. Glutathione Reductase from Pea Leaves: Response to Abiotic Stress and Characterization of the Peroxisomal Isozyme. New Phytol. 2006, 170, 43–52. [Google Scholar] [CrossRef]
- Couto, N.; Wood, J.; Barber, J. The Role of Glutathione Reductase and Related Enzymes on Cellular Redox Homoeostasis Network. Free Radical Bio. Med. 2016, 95, 27–42. [Google Scholar] [CrossRef] [PubMed]
- Liu, H.-J.; Wang, X.; Yang, Z.-L.; Ren, L.-L.; Qian, T.-T. Identification and Biochemical Characterization of the Glutathione Reductase Family from Populus trichocarpa. Plant Sci. 2020, 294, 110459. [Google Scholar] [CrossRef] [PubMed]
- Gould, K.S.; Markham, K.R.; Smith, R.H.; Goris, J.J. Functional Role of Anthocyanins in the Leaves of Quintinia serrata A. Cunn. J. Exp. Bot. 2000, 51, 1107–1115. [Google Scholar] [CrossRef]
- Grace, S.C.; Logan, B.A. Acclimation of Foliar Antioxidant Systems to Growth Irradiance in Three Broad-Leaved Evergreen Species. Plant Physiol. 1996, 112, 1631–1640. [Google Scholar] [CrossRef]
- Grace, S.C. Phenolics as Antioxidants. In Antioxidants and Reactive Oxygen Species in Plants; Smirnoff, N., Ed.; Blackwell Publishing Ltd.: Oxford, UK, 2005; pp. 141–168. [Google Scholar] [CrossRef]
- Kumar, K.; Debnath, P.; Singh, S.; Kumar, N. An Overview of Plant Phenolics and Their Involvement in Abiotic Stress Tolerance. Stresses 2023, 3, 570–585. [Google Scholar] [CrossRef]
- Kawecki, T.J.; Ebert, D. Conceptual Issues in Local Adaptation. Ecol. Lett. 2004, 7, 1225–1241. [Google Scholar] [CrossRef]
- Blanquart, F.; Kaltz, O.; Nuismer, S.L.; Gandon, S. A Practical Guide to Measuring Local Adaptation. Ecol. Lett. 2013, 16, 1195–1205. [Google Scholar] [CrossRef]
- Dewitt, T.J.; Scheiner, S.M. Phenotypic Variation from Single Genotypes: A Primer. In Phenotypic Plasticity: Functional and Conceptual Approaches; DeWitt, T.J., Scheiner, S.M., Eds.; Oxford University Press: New York, NY, 2004; pp. 1–9. ISBN 978-0-19-513896-2. [Google Scholar]
- Alpert, P.; Simms, E.L. The Relative Advantages of Plasticity and Fixity in Different Environments: When Is It Good for a Plant to Adjust? Evol. Ecol. 2002, 16, 285–297. [Google Scholar] [CrossRef]
- Murren, C.J.; Auld, J.R.; Callahan, H.; Ghalambor, C.K.; Handelsman, C.A.; Heskel, M.A.; Kingsolver, J.G.; Maclean, H.J.; Masel, J.; Maughan, H.; et al. Constraints on the Evolution of Phenotypic Plasticity: Limits and Costs of Phenotype and Plasticity. Heredity 2015, 115, 293–301. [Google Scholar] [CrossRef] [PubMed]
- Leimu, R.; Fischer, M. A Meta-Analysis of Local Adaptation in Plants. PLoS ONE 2008, 3, e4010. [Google Scholar] [CrossRef] [PubMed]
- Hereford, J. A Quantitative Survey of Local Adaptation and Fitness Trade-Offs. Am. Nat. 2009, 173, 579–588. [Google Scholar] [CrossRef] [PubMed]
- Smith, W.K.; Bell, D.T.; Shepherd, K.A. Associations between Leaf Structure, Orientation, and Sunlight Exposure in Five Western Australian Communities. Am. J. Bot. 1998, 85, 56–63. [Google Scholar] [CrossRef]
- Pandey, S.; Kushwaha, R. Leaf Anatomy and Photosynthetic Acclimation in Valeriana jatamansi L. Grown under High and Low Irradiance. Photosynthetica 2005, 43, 85–90. [Google Scholar] [CrossRef]
- Scoffoni, C.; Pou, A.; Aasamaa, K.; Sack, L. The Rapid Light Response of Leaf Hydraulic Conductance: New Evidence from Two Experimental Methods. Plant Cell Environ. 2008, 31, 1803–1812. [Google Scholar] [CrossRef]
- Trifilò, P.; Petruzzellis, F.; Abate, E.; Nardini, A. The Extra-vascular Water Pathway Regulates Dynamic Leaf Hydraulic Decline and Recovery in Populus nigra. Physiol. Plant. 2021, 172, 29–40. [Google Scholar] [CrossRef]
- Martin, R.E.; Asner, G.P.; Sack, L. Genetic Variation in Leaf Pigment, Optical and Photosynthetic Function among Diverse Phenotypes of Metrosideros polymorpha Grown in a Common Garden. Oecologia 2007, 151, 387–400. [Google Scholar] [CrossRef]
- Kothari, S.; Cavender-Bares, J.; Bitan, K.; Verhoeven, A.S.; Wang, R.; Montgomery, R.A.; Gamon, J.A. Community-Wide Consequences of Variation in Photoprotective Physiology among Prairie Plants. Photosynthetica 2018, 56, 455–467. [Google Scholar] [CrossRef]
- Lasky, J.R.; Uriarte, M.; Boukili, V.K.; Chazdon, R.L. Trait-Mediated Assembly Processes Predict Successional Changes in Community Diversity of Tropical Forests. Proc. Natl. Acad. Sci. USA 2014, 111, 5616–5621. [Google Scholar] [CrossRef]
- Yang, M.; Liu, M.; Lu, J.; Yang, H. Effects of Shading on the Growth and Leaf Photosynthetic Characteristics of Three Forages in an Apple Orchard on the Loess Plateau of Eastern Gansu, China. PeerJ 2019, 7, e7594. [Google Scholar] [CrossRef] [PubMed]
- Meng, T.-T.; Wang, H.; Harrison, S.P.; Prentice, I.; Ni, J.; Wang, G. Responses of Leaf Traits to Climatic Gradients: Adaptive Variation versus Compositional Shifts. Biogeosciences 2015, 12, 5339–5352. [Google Scholar] [CrossRef]
- Beneragama, C.; Goto, K. Chlorophyll a:b Ratio Increases under Low-Light in “shade-Tolerant” Euglena gracilis. Trop. Agric. Res. 2011, 22, 12–25. [Google Scholar] [CrossRef]
- Tucić, B.; Vuleta, A.; Manitašević Jovanović, S. Protective Function of Foliar Anthocyanins: In Situ Experiments on a Sun-Exposed Population of Iris pumila L. (Iridaceae). Pol. J. Ecol. 2009, 57, 779–783. [Google Scholar]
- Niinemets, Ü. A Review of Light Interception in Plant Stands from Leaf to Canopy in Different Plant Functional Types and in Species with Varying Shade Tolerance. Ecol. Res. 2010, 25, 693–714. [Google Scholar] [CrossRef]
- Agati, G.; Brunetti, C.; Di Ferdinando, M.; Ferrini, F.; Pollastri, S.; Tattini, M. Functional Roles of Flavonoids in Photoprotection: New Evidence, Lessons from the Past. Plant Physiol. Bioch. 2013, 72, 35–45. [Google Scholar] [CrossRef]
- Xu, L.; Wang, X. A Comprehensive Review of Phenolic Compounds in Horticultural Plants. Int. J. Mol. Sci. 2025, 26, 5767. [Google Scholar] [CrossRef]
- Poorter, H.; Pepin, S.; Rijkers, T.; De Jong, Y.; Evans, J.R.; Körner, C. Construction Costs, Chemical Composition and Payback Time of High- and Low-Irradiance Leaves. J. Exp. Bot. 2006, 57, 355–371. [Google Scholar] [CrossRef]
- Young, A.J. The Photoprotective Role of Carotenoids in Higher Plants. Physiol. Plantarum 1991, 83, 702–708. [Google Scholar] [CrossRef]
- Demmig-Adams, B.; Gilmore, A.M.; Iii, W.W.A. In Vivo Functions of Carotenoids in Higher Plants. FASEB J. 1996, 10, 403–412. [Google Scholar] [CrossRef]
- Hashimoto, H.; Uragami, C.; Cogdell, R.J. Carotenoids and Photosynthesis. In Carotenoids in Nature; Stange, C., Ed.; Subcellular Biochemistry; Springer International Publishing: Cham, Switzerland, 2016; Volume 79, pp. 111–139. ISBN 978-3-319-39124-3. [Google Scholar]
- Sun, T.; Rao, S.; Zhou, X.; Li, L. Plant Carotenoids: Recent Advances and Future Perspectives. Mol. Hortic. 2022, 2, 3. [Google Scholar] [CrossRef]
- Yang, J.; Zhou, Q.; Fang, S.; Yan, K.; Peng, Q.; Lin, Z.; Lv, H.; Mu, D.; Fu, J.; Shi, J. Comparative Analysis of Flavonoids, Carotenoids, and Major Primary Compounds in Site-Specific Yellow-Leaf Tea and Their Dynamic Alterations During Processing. Foods 2025, 14, 3575. [Google Scholar] [CrossRef] [PubMed]
- Vuleta, A.; Manitašević Jovanović, S.; Šešlija, D.; Tucić, B. Seasonal Dynamics of Foliar Antioxidative Enzymes and Total Anthocyanins in Natural Populations of Iris pumila L. J. Plant Ecol. 2010, 3, 59–69. [Google Scholar] [CrossRef]
- Foyer, C.H.; Souriau, N.; Perret, S.; Lelandais, M.; Kunert, K.J.; Pruvost, C.; Jouanin, L. Overexpression of Glutathione Reductase but Not Glutathione Synthetase Leads to Increases in Antioxidant Capacity and Resistance to Photoinhibition in Poplar Trees. Plant Physiol. 1995, 109, 1047–1057. [Google Scholar] [CrossRef] [PubMed]
- Lin, T.; Rao, M.; Lu, H.; Chiou, C.; Lin, S.; Chao, H.; Zheng, Z.; Cheng, H.; Lee, T. A Role for Glutathione Reductase and Glutathione in the Tolerance of Chlamydomonas reinhardtii to Photo-oxidative Stress. Physiol. Plantarum 2018, 162, 35–48. [Google Scholar] [CrossRef]
- Ding, S.; Jiang, R.; Lu, Q.; Wen, X.; Lu, C. Glutathione Reductase 2 Maintains the Function of Photosystem II in Arabidopsis under Excess Light. Biochim. Biophys. Acta Bioenerg. 2016, 1857, 665–677. [Google Scholar] [CrossRef]
- Gould, K.S. Nature′s Swiss Army Knife: The Diverse Protective Roles of Anthocyanins in Leaves. Biomed Res. Int. 2004, 2004, 314–320. [Google Scholar] [CrossRef] [PubMed]
- Zheng, X.-T.; Yu, Z.-C.; Tang, J.-W.; Cai, M.-L.; Chen, Y.-L.; Yang, C.-W.; Chow, W.S.; Peng, C.-L. The Major Photoprotective Role of Anthocyanins in Leaves of Arabidopsis thaliana under Long-Term High Light Treatment: Antioxidant or Light Attenuator? Photosynth. Res. 2021, 149, 25–40. [Google Scholar] [CrossRef]
- Agati, G.; Guidi, L.; Landi, M.; Tattini, M. Anthocyanins in Photoprotection: Knowing the Actors in Play to Solve This Complex Ecophysiological Issue. New Phytol. 2021, 232, 2228–2235. [Google Scholar] [CrossRef]
- Heidrich, L.; Bae, S.; Levick, S.; Seibold, S.; Weisser, W.; Krzystek, P.; Magdon, P.; Nauss, T.; Schall, P.; Serebryanyk, A.; et al. Heterogeneity–Diversity Relationships Differ between and within Trophic Levels in Temperate Forests. Nat. Ecol. Evol. 2020, 4, 1204–1212. [Google Scholar] [CrossRef]
- Manitašević, S.; Dunðerski, J.; Matić, G.; Tucić, B. Seasonal Variation in Heat Shock Proteins Hsp70 and Hsp90 Expression in an Exposed and a Shaded Habitat of Iris pumila. Plant Cell Environ. 2007, 30, 1–11. [Google Scholar] [CrossRef]
- Bradshaw, A.D. Evolutionary Significance of Phenotypic Plasticity in Plants. In Advances in Genetics; Caspari, E.W., Thoday, J.M., Eds.; Academic Press: New York, NY, USA, 1965; Volume 13, pp. 115–155. ISBN 978-0-12-017613-7. [Google Scholar]
- Pigliucci, M.; Kolodynska, A. Phenotypic Plasticity and Integration in Response to Flooded Conditions in Natural Accessions of Arabidopsis thaliana (L.) Heynh (Brassicaceae). Ann. Bot.-London 2002, 90, 199–207. [Google Scholar] [CrossRef]
- Valladares, F.; Gianoli, E.; Gómez, J.M. Ecological Limits to Plant Phenotypic Plasticity. New Phytol. 2007, 176, 749–763. [Google Scholar] [CrossRef] [PubMed]
- Khan, I.; Sohail; Zaman, S.; Li, G.; Fu, M. Adaptive Responses of Plants to Light Stress: Mechanisms of Photoprotection and Acclimation. A Review. Front. Plant Sci. 2025, 16, 1550125. [Google Scholar] [CrossRef] [PubMed]
- Gratani, L. Plant Phenotypic Plasticity in Response to Environmental Factors. Adv. Bot. 2014, 2014, 208747. [Google Scholar] [CrossRef]
- Niinemets, Ü. Leaf Trait Plasticity and Evolution in Different Plant Functional Types. Annu. Plant Rev. Online 2020, 3, 473–522. [Google Scholar] [CrossRef]
- Oelze, M.-L.; Kandlbinder, A.; Dietz, K.-J. Redox Regulation and Overreduction Control in the Photosynthesizing Cell: Complexity in Redox Regulatory Networks. Biochim. Biophys. Acta Gen. Subj. 2008, 1780, 1261–1272. [Google Scholar] [CrossRef]
- Foyer, C.H.; Noctor, G. Redox Regulation in Photosynthetic Organisms: Signaling, Acclimation, and Practical Implications. Antioxid. Redox Sign. 2009, 11, 861–905. [Google Scholar] [CrossRef] [PubMed]
- Mittler, R. ROS Are Good. Trends Plant Sci. 2017, 22, 11–19. [Google Scholar] [CrossRef] [PubMed]
- Cejudo, F.J.; Ojeda, V.; Delgado-Requerey, V.; González, M.; Pérez-Ruiz, J.M. Chloroplast Redox Regulatory Mechanisms in Plant Adaptation to Light and Darkness. Front. Plant Sci. 2019, 10, 380. [Google Scholar] [CrossRef]
- Van Kleunen, M.; Fischer, M. Constraints on the Evolution of Adaptive Phenotypic Plasticity in Plants. New Phytol. 2005, 166, 49–60. [Google Scholar] [CrossRef] [PubMed]
- Hartel, H.; Grimm, B. Consequences of Chlorophyll Deficiency for Leaf Carotenoid Composition in Tobacco Synthesizing Glutamate 1-Semialdehyde Aminotransferase Antisense RNA: Dependency on Developmental Age and Growth Light. J. Exp. Bot. 1998, 49, 535–546. [Google Scholar] [CrossRef]
- Hoffmann, A.; Woods, R. Trait Variability and Stress: Canalization, Developmental Stability and the Need for a Broad Approach. Ecol. Lett. 2001, 4, 97–101. [Google Scholar] [CrossRef]
- Scheiner, S.M. The Genetics of Phenotypic Plasticity. XII. Temporal and Spatial Heterogeneity. Ecol. Evol. 2013, 3, 4596–4609. [Google Scholar] [CrossRef]
- Wu, K.-S.; Kao, W.-Y. Phenotypic Plasticity and Genetic Variation in Leaf Traits of Yushania niitakayamensis (Bambusoideae; Poaceae) in Contrasting Light Environments. J. Plant Res. 2021, 134, 1021–1035. [Google Scholar] [CrossRef]
- Givnish, T. Adaptation to Sun and Shade: A Whole-Plant Perspective. Aust. J. Plant Physiol. 1988, 15, 63–92. [Google Scholar] [CrossRef]
- Lowell Fitz, R. The Geographic Distribution of European and Eastern Mediterranean Species of Bearded Iris. In The Iris Year Book; British Iris Society: Tunbridge Wells, UK, 1955; pp. 35–46. [Google Scholar]
- da Silva, J.A.T. Floriculture, Ornamental and Plant Biotechnology: Advances and Topical Issues. In Global Science Books; Global Science Books, Ltd.: London, UK, 2006. [Google Scholar]
- Eliáš, P.; Dítě, D.; Kliment, J.; Hrivnák, R.; Feráková, V. Red List of Ferns and Flowering Plants of Slovakia, 5th Edition (October 2014). Biologia 2015, 70, 218–228. [Google Scholar] [CrossRef]
- Parnikoza, I.Y.; Andreev, I.O.; Bublyk, O.M.; Spiridonova, K.V.; Gołębiewska, J.; Kubiak, M.; Kuczyńska, A.; Mystkowska, K.; Olędrzyńska, N.; Urasińska, B.; et al. The Current State of Steppe Perennial Plants Populations: A Case Study on Iris pumila. Biologia 2017, 72, 24–35. [Google Scholar] [CrossRef]
- Gajić, M. The Flora of the Deliblato Sand; Faculty of Natural Sciences, Institute for Biology, University of Novi Sad: Novi Sad, Serbia, 1983. [Google Scholar]
- Kojić, M.; Popović, R.; Karadzić, B. Ecological Analysis of the Deliblato Sands Vegetation. In Proceedings of the Deliblato Sands—Proc. VI, Pančevo, Serbia; J.P. Srbijašume: Belgrade, Serbia, 1994. [Google Scholar]
- Tucić, B.; Milojković, S.; Tarasjev, A.; Vijčić, S. The Influence of Climatic Factors on Clonal Diversity in a Population of Iris pumila. Oikos 1989, 56, 115. [Google Scholar] [CrossRef]
- Tarasjev, A.; Avramov, S.; Miljkovic, D. Evolutionary Biology Studies on the Iris pumila Clonal Plant: Advantages of a Good Model System, Main Findings and Directions for Further Research. Arch. Biol. Sci. 2012, 64, 159–174. [Google Scholar] [CrossRef]
- Shipley, B.; Lechowicz, M.J.; Wright, I.; Reich, P.B. Fundamental Trade-Offs Generating the Worldwide Leaf Economics Spectrum. Ecology 2006, 87, 535–541. [Google Scholar] [CrossRef] [PubMed]
- Garnier, E.; Laurent, G. Leaf Anatomy, Specific Mass and Water Content in Congeneric Annual and Perennial Grass Species. New Phytol. 1994, 128, 725–736. [Google Scholar] [CrossRef]
- Wellburn, A.R. The Spectral Determination of Chlorophylls a and b, as Well as Total Carotenoids, Using Various Solvents with Spectrophotometers of Different Resolution. J. Plant Physiol. 1994, 144, 307–313. [Google Scholar] [CrossRef]
- Kukavica, B.; Jovanovic, S.V. Senescence-related Changes in the Antioxidant Status of Ginkgo and Birch Leaves during Autumn Yellowing. Physiol. Plantarum 2004, 122, 321–327. [Google Scholar] [CrossRef]
- Foyer, C.H.; Halliwell, B. The Presence of Glutathione and Glutathione Reductase in Chloroplasts: A Proposed Role in Ascorbic Acid Metabolism. Planta 1976, 133, 21–25. [Google Scholar] [CrossRef]
- Bradford, M.M. A Rapid and Sensitive Method for the Quantitation of Microgram Quantities of Protein Utilizing the Principle of Protein-Dye Binding. Anal. Biochem. 1976, 72, 248–254. [Google Scholar] [CrossRef]
- Singleton, V.L.; Rossi, J.A. Colorimetry of Total Phenolics with Phosphomolybdic-Phosphotungstic Acid Reagents. Am. J. Enol. Vitic. 1965, 16, 144–158. [Google Scholar] [CrossRef]
- Mancinelli, A.L.; Yang, C.-P.H.; Lindquist, P.; Anderson, O.R.; Rabino, I. Photocontrol of Anthocyanin Synthesis: III. The Action of Streptomycin on the Synthesis of Chlorophyll and Anthocyanin. Plant Physiol. 1975, 55, 251–257. [Google Scholar] [CrossRef] [PubMed]
- Murray, J.R.; Hackett, W.P. Dihydroflavonol Reductase Activity in Relation to Differential Anthocyanin Accumulation in Juvenile and Mature Phase Hederahelix L. Plant Physiol. 1991, 97, 343–351. [Google Scholar] [CrossRef]
- Vuleta, A.; Manitašević Jovanović, S.; Tucić, B. Adaptive Flexibility of Enzymatic Antioxidants SOD, APX and CAT to High Light Stress: The Clonal Perennial Monocot Iris pumila as a Study Case. Plant Physiol. Biochem. 2016, 100, 166–173. [Google Scholar] [CrossRef]
- SAS Institute. SAS/IML 9. 3 User’s Guide; SAS Institute: Cary, NC, USA, 2011. [Google Scholar]
- Wrange, A.-L.; André, C.; Lundh, T.; Lind, U.; Blomberg, A.; Jonsson, P.J.; Havenhand, J.N. Importance of Plasticity and Local Adaptation for Coping with Changing Salinity in Coastal Areas: A Test Case with Barnacles in the Baltic Sea. BMC Evol. Biol. 2014, 14, 156. [Google Scholar] [CrossRef]
- Valladares, F.; Sanchez-Gomez, D.; Zavala, M.A. Quantitative Estimation of Phenotypic Plasticity: Bridging the Gap between the Evolutionary Concept and Its Ecological Applications. J. Ecol. 2006, 94, 1103–1116. [Google Scholar] [CrossRef]
- Oksanen, J.; Simpson, G.; Blanchet, F.; Kindt, R.; Legendre, P.; Minchin, P.; O’hara, R.; Solymos, P.; Stevens, H.; Szöcs, E. Vegan Community Ecology Package Version 2.6-2 April 2022. The Comprehensive R Archive Network. 2022. Available online: https://cran.r-project.org/web/packages/vegan/vegan.pdf (accessed on 18 March 2026).





| TRAITS | OPEN HABITAT | SHADED HABITAT | ||||||||||
|---|---|---|---|---|---|---|---|---|---|---|---|---|
| DUNE | WOODS | DUNE | WOODS | |||||||||
| SE | CV% | SE | CV% | SE | CV% | SE | CV% | |||||
| STRUCTURAL | ||||||||||||
| SLA | 180.6 | 5.2 | 9.0 | 183.1 | 7.1 | 12.2 | 232.4 | 6.7 | 9.1 | 250.0 | 9.0 | 11.4 |
| LDMC | 0.1996 | 0.0031 | 4.9 | 0.1986 | 0.0048 | 7.63 | 0.1801 | 0.0046 | 8.1 | 0.1737 | 0.0037 | 6.7 |
PHYSIOLOGICAL | ||||||||||||
| SLWC | 0.0224 | 0.0008 | 11.9 | 0.0230 | 0.0013 | 18.6 | 0.0205 | 0.0009 | 13.8 | 0.0195 | 0.0008 | 12.3 |
| Chl a | 8.32 | 1.02 | 38.7 | 6.93 | 0.54 | 24.8 | 11.67 | 0.68 | 18.5 | 10.26 | 1.22 | 37.9 |
| Chl b | 3.45 | 0.36 | 33.3 | 2.96 | 0.20 | 21.5 | 4.59 | 0.30 | 20.5 | 3.89 | 0.44 | 36.0 |
| Chl tot | 11.77 | 1.38 | 37.1 | 9.97 | 0.78 | 24.6 | 16.26 | 0.97 | 19.0 | 14.16 | 1.68 | 37.5 |
| Chl a/b ratio | 2.37 | 0.04 | 5.7 | 2.32 | 0.05 | 7.3 | 2.55 | 0.03 | 3.5 | 2.62 | 0.04 | 4.9 |
| Cars | 2.60 | 0.29 | 34.9 | 2.32 | 0.18 | 23.8 | 2.85 | 0.18 | 20.1 | 2.47 | 0.28 | 36.0 |
BIOCHEMICAL | ||||||||||||
| POD | 3.08 | 0.39 | 40.2 | 3.66 | 0.46 | 40.1 | 2.06 | 0.21 | 32.3 | 2.34 | 0.25 | 34.1 |
| GR | 0.43 | 0.03 | 19.7 | 0.54 | 0.07 | 39.7 | 0.31 | 0.03 | 29.4 | 0.39 | 0.01 | 11.0 |
| ANTH | 14.67 | 0.43 | 9.3 | 15.70 | 0.50 | 10.0 | 11.80 | 0.56 | 15.1 | 15.44 | 0.88 | 18.1 |
| PHEN | 5.69 | 0.24 | 13.1 | 5.57 | 0.18 | 10.0 | 5.38 | 0.31 | 18.2 | 5.21 | 0.22 | 13.6 |
| ODAC | 0.51 | 0.06 | 39.4 | 0.13 | 0.04 | 93.4 | 0.57 | 0.09 | 49.0 | 0.15 | 0.03 | 64.2 |
| Trait | DUNE | WOODS | p | ||
|---|---|---|---|---|---|
| PIV | CV% | PIV | CV% | ||
| STRUCTURAL | |||||
| SLA | 0.125 | 44.2 | 0.153 | 58.9 | ns |
| LDMC | 0.052 | 85.4 | 0.073 | 61.2 | ns |
PHYSIOLOGICAL | |||||
| SLWC | 0.097 | 57.0 | 0.126 | 61.8 | ns |
| Chl a | 0.200 | 77.2 | 0.216 | 89.8 | ns |
| Chl b | 0.166 | 86.0 | 0.186 | 87.7 | ns |
| Chl tot | 0.189 | 80.4 | 0.209 | 88.5 | ns |
| Chl a/b ratio | 0.040 | 67.4 | 0.060 | 70.9 | ns |
| Cars | 0.143 | 75.5 | 0.186 | 60.7 | ns |
BIOCHEMICAL | |||||
| POD | 0.213 | 75.0 | 0.228 | 86.9 | ns |
| GR | 0.181 | 76.2 | 0.164 | 91.7 | ns |
| ANTH | 0.121 | 72.6 | 0.098 | 55.7 | ns |
| PHEN | 0.071 | 40.8 | 0.053 | 99.3 | ns |
| ODAC | 0.172 | 56.1 | 0.100 | 57.8 | ** |
| Trait | Source | |||||
|---|---|---|---|---|---|---|
| Habitat (df = 1) | Population (df = 1) | H × P (df = 1) | ||||
| F | p | F | p | F | p | |
| STRUCTURAL | ||||||
| SLA | 69.73 | <0.0001 | 1.98 | 0.1680 | 1.14 | 0.2937 |
| LDMC | 29.25 | <0.0001 | 0.82 | 0.3706 | 0.45 | 0.5062 |
PHYSIOLOGICAL | ||||||
| SLWC | 7.32 | 0.0103 | 0.03 | 0.8740 | 0.58 | 0.4511 |
| Chl a | 13.53 | 0.0008 | 2.38 | 0.1320 | 0.00 | 0.9906 |
| Chl b | 9.33 | 0.0042 | 3.13 | 0.0851 | 0.09 | 0.7602 |
| Chl tot | 11.99 | 0.0014 | 2.42 | 0.1289 | 0.01 | 0.9053 |
| Chl a/b ratio | 31.44 | <0.0001 | 0.07 | 0.7957 | 1.94 | 0.1718 |
| Cars | 0.68 | 0.4150 | 1.89 | 0.1782 | 0.04 | 0.8477 |
BIOCHEMICAL | ||||||
| POD | 11.50 | 0.0017 | 1.58 | 0.2173 | 0.20 | 0.6610 |
| GR | 11.82 | 0.0015 | 5.14 | 0.0295 | 0.13 | 0.7181 |
| ANTH | 6.38 | 0.0161 | 14.30 | 0.0006 | 4.45 | 0.0419 |
| PHEN | 1.93 | 0.1728 | 0.34 | 0.5610 | 0.01 | 0.9300 |
| ODAC | 0.59 | 0.4490 | 45.29 | <0.0001 | 0.11 | 0.7379 |
| Trait | DUNE | WOODS | ||||||
|---|---|---|---|---|---|---|---|---|
| df | MS | F | p | df | MS | F | p | |
| STRUCTURAL | ||||||||
| SLA | 1 | 13423 | 37.61 | <0.0001 | 1 | 22427 | 34.25 | <0.0001 |
| LDMC | 1 | 1.9 × 10−3 | 12.25 | 0.0026 | 1 | 3.1 × 10−3 | 17.04 | 0.0006 |
PHYSIOLOGICAL | ||||||||
| SLWC | 1 | 1.9 × 10−5 | 2.45 | 0.1352 | 1 | 5.9 × 10−5 | 4.90 | 0.0400 |
| Chl a | 1 | 56.36 | 7.50 | 0.0135 | 1 | 55.64 | 6.15 | 0.0232 |
| Chl b | 1 | 6.46 | 5.84 | 0.0265 | 1 | 4.31 | 3.65 | 0.0720 |
| Chl tot | 1 | 100.90 | 7.05 | 0.0161 | 1 | 87.92 | 5.13 | 0.0361 |
| Chl a/b ratio | 1 | 0.16 | 12.20 | 0.0026 | 1 | 0.44 | 19.28 | 0.0004 |
| Cars | 1 | 0.29 | 0.51 | 0.4859 | 1 | 0.11 | 0.20 | 0.6568 |
BIOCHEMICAL | ||||||||
| POD | 1 | 5.18 | 5.26 | 0.0341 | 1 | 8.75 | 6.26 | 0.0222 |
| GR | 1 | 0.07 | 9.51 | 0.0064 | 1 | 0.11 | 4.81 | 0.0417 |
| ANTH | 1 | 41.14 | 16.38 | 0.0008 | 1 | 0.33 | 0.06 | 0.8025 |
| PHEN | 1 | 0.49 | 0.65 | 0.4305 | 1 | 0.64 | 1.57 | 0.2260 |
| ODAC | 1 | 0.02 | 0.36 | 0.5537 | 1 | 3.2 × 10−3 | 0.28 | 0.6049 |
| Trait | OPEN HABITAT | SHADED HABITAT | ||||||
|---|---|---|---|---|---|---|---|---|
| df | MS | F | p | df | MS | F | p | |
| STRUCTURAL | ||||||||
| SLA | 1 | 29.47 | 0.08 | 0.7846 | 1 | 1546 | 2.46 | 0.1343 |
| LDMC | 1 | 4.7 × 10−6 | 0.03 | 0.8678 | 1 | 2.1 × 10−4 | 1.21 | 0.2862 |
PHYSIOLOGICAL | ||||||||
| SLWC | 1 | 1.7 × 10−6 | 0.14 | 0.7129 | 1 | 4.2 × 10−6 | 0.60 | 0.4472 |
| Chl a | 1 | 9.68 | 1.45 | 0.2437 | 1 | 9.99 | 1.01 | 0.3284 |
| Chl b | 1 | 1.22 | 1.41 | 0.2498 | 1 | 2.46 | 1.74 | 0.2042 |
| Chl tot | 1 | 16.18 | 1.29 | 0.2714 | 1 | 22.04 | 1.17 | 0.2944 |
| Chl a/b ratio | 1 | 0.01 | 0.49 | 0.4943 | 1 | 0.02 | 2.01 | 0.1732 |
| Cars | 1 | 0.39 | 0.69 | 0.4163 | 1 | 0.69 | 1.23 | 0.2813 |
BIOCHEMICAL | ||||||||
| POD | 1 | 1.71 | 0.93 | 0.3472 | 1 | 0.39 | 0.73 | 0.4041 |
| GR | 1 | 0.05 | 2.06 | 0.1680 | 1 | 0.03 | 5.60 | 0.0294 |
| ANTH | 1 | 5.35 | 2.47 | 0.1332 | 1 | 66.45 | 12.09 | 0.0027 |
| PHEN | 1 | 0.07 | 0.17 | 0.6879 | 1 | 0.13 | 0.18 | 0.6750 |
| ODAC | 1 | 0.72 | 26.96 | <0.0001 | 1 | 0.88 | 20.11 | 0.0003 |
Disclaimer/Publisher’s Note: The statements, opinions and data contained in all publications are solely those of the individual author(s) and contributor(s) and not of MDPI and/or the editor(s). MDPI and/or the editor(s) disclaim responsibility for any injury to people or property resulting from any ideas, methods, instructions or products referred to in the content. |
© 2026 by the authors. Licensee MDPI, Basel, Switzerland. This article is an open access article distributed under the terms and conditions of the Creative Commons Attribution (CC BY) license.
Share and Cite
Manitašević Jovanović, S.; Vuleta, A. Leaf Structural, Physiological and Biochemical Responses to Contrasting Light Environments in Iris pumila L.: Evidence from a Reciprocal Transplant Experiment. Plants 2026, 15, 1009. https://doi.org/10.3390/plants15071009
Manitašević Jovanović S, Vuleta A. Leaf Structural, Physiological and Biochemical Responses to Contrasting Light Environments in Iris pumila L.: Evidence from a Reciprocal Transplant Experiment. Plants. 2026; 15(7):1009. https://doi.org/10.3390/plants15071009
Chicago/Turabian StyleManitašević Jovanović, Sanja, and Ana Vuleta. 2026. "Leaf Structural, Physiological and Biochemical Responses to Contrasting Light Environments in Iris pumila L.: Evidence from a Reciprocal Transplant Experiment" Plants 15, no. 7: 1009. https://doi.org/10.3390/plants15071009
APA StyleManitašević Jovanović, S., & Vuleta, A. (2026). Leaf Structural, Physiological and Biochemical Responses to Contrasting Light Environments in Iris pumila L.: Evidence from a Reciprocal Transplant Experiment. Plants, 15(7), 1009. https://doi.org/10.3390/plants15071009
