Synergistic Effects of Supplemental Irrigation and Foliar Selenium Application on Dynamics Characteristics of Soil Respiration and Its Components in Millet Field
Abstract
1. Introduction
2. Results
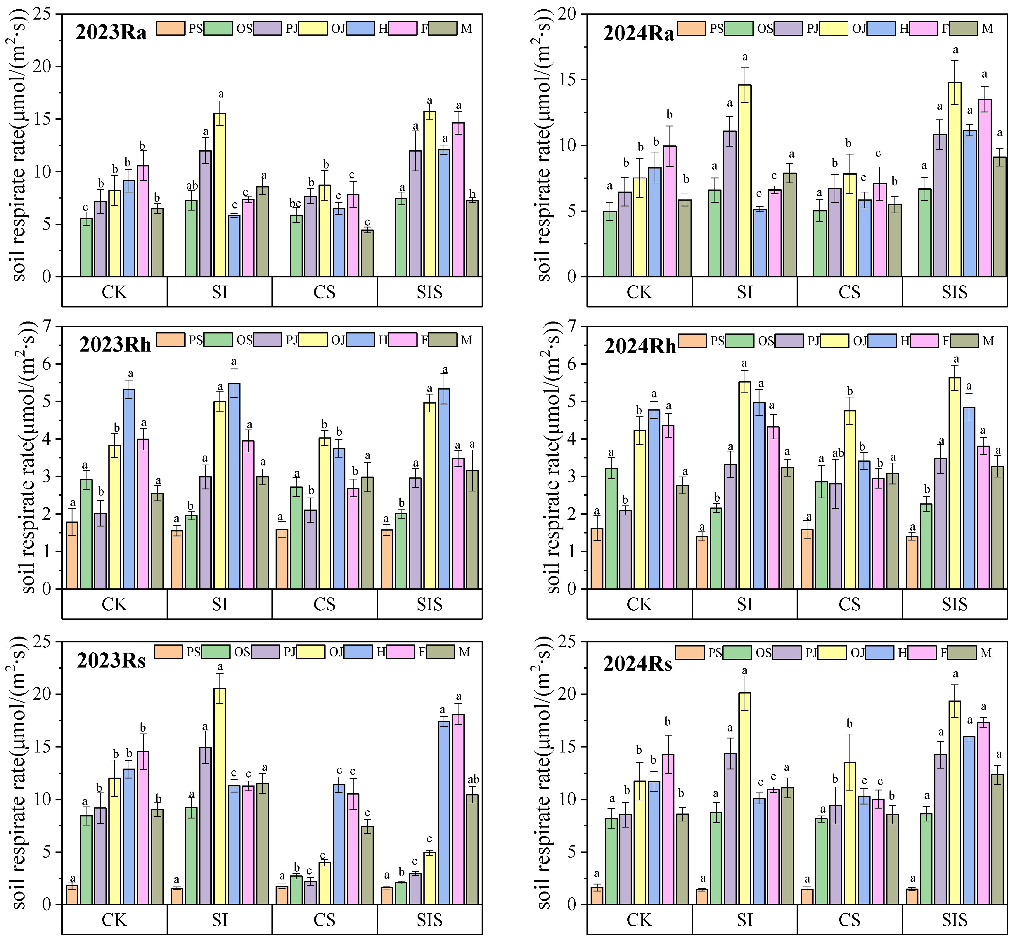
2.1. Rs Rate and CO2 Emission in Millet Growth Period
2.1.1. Rs Rate
2.1.2. CO2 Emission
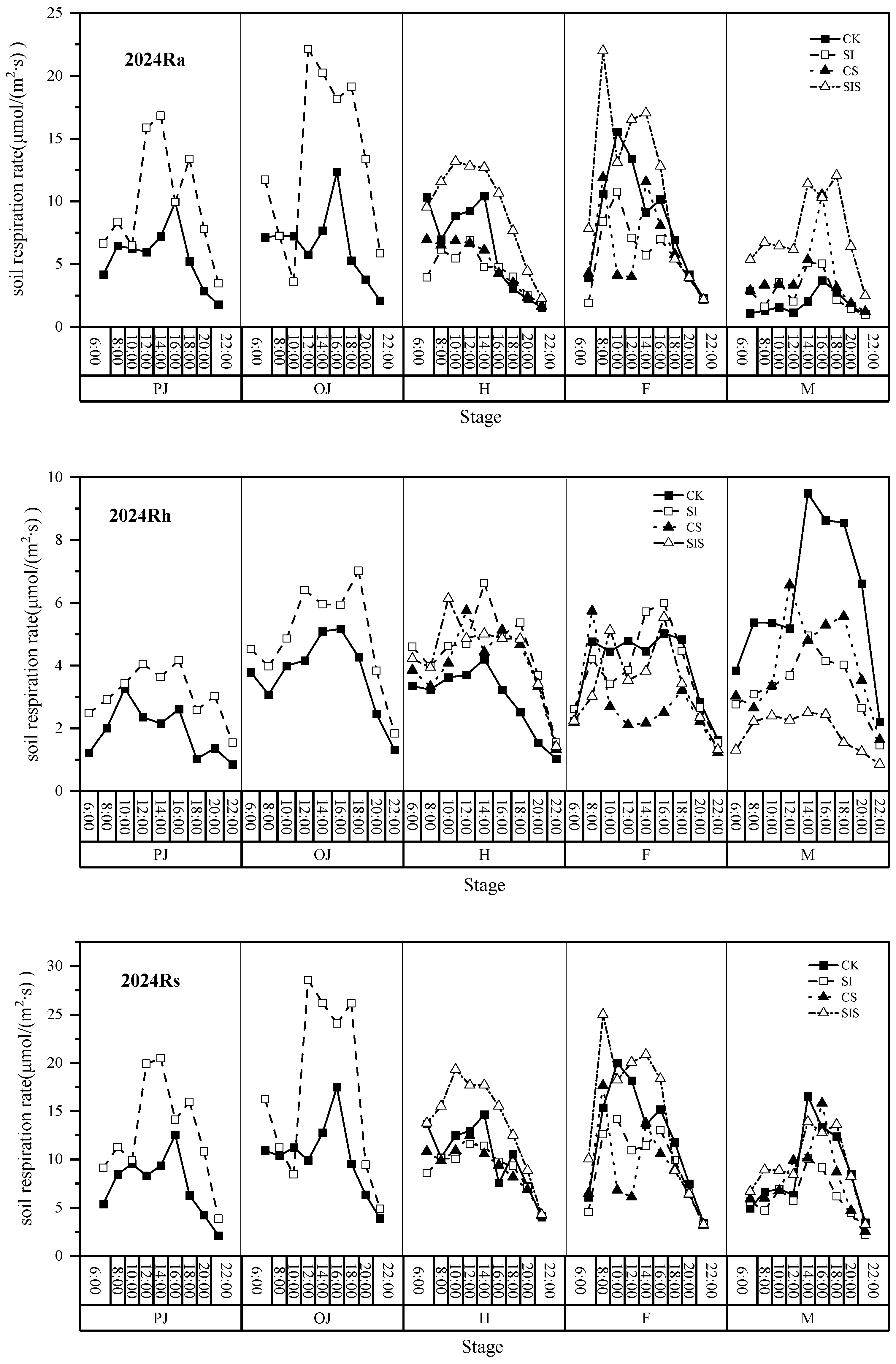
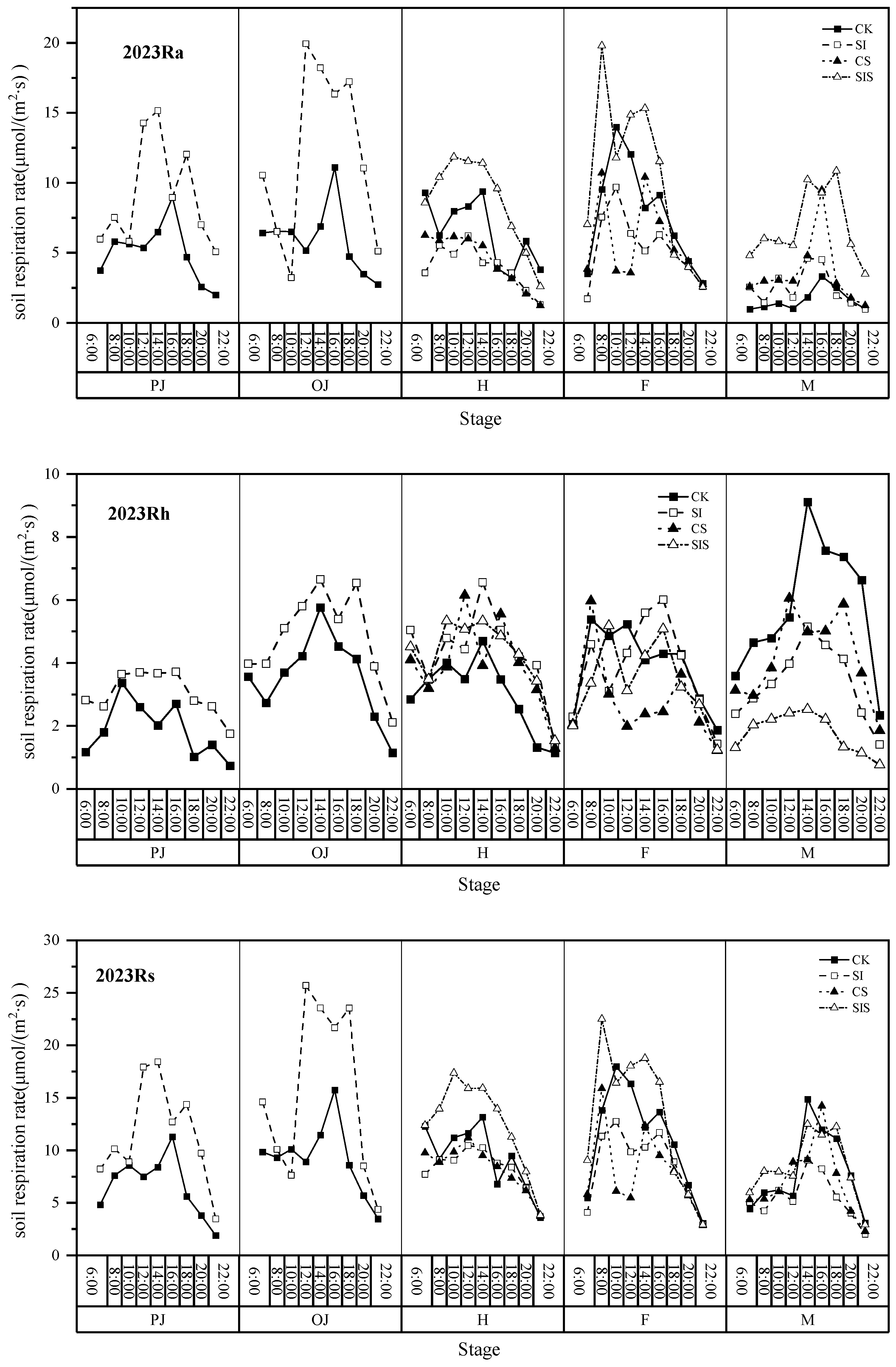
2.2. Diurnal Variation in Rs Rate
2.3. Water Consumption, Yield and WUE
2.4. Dry Matter Accumulation
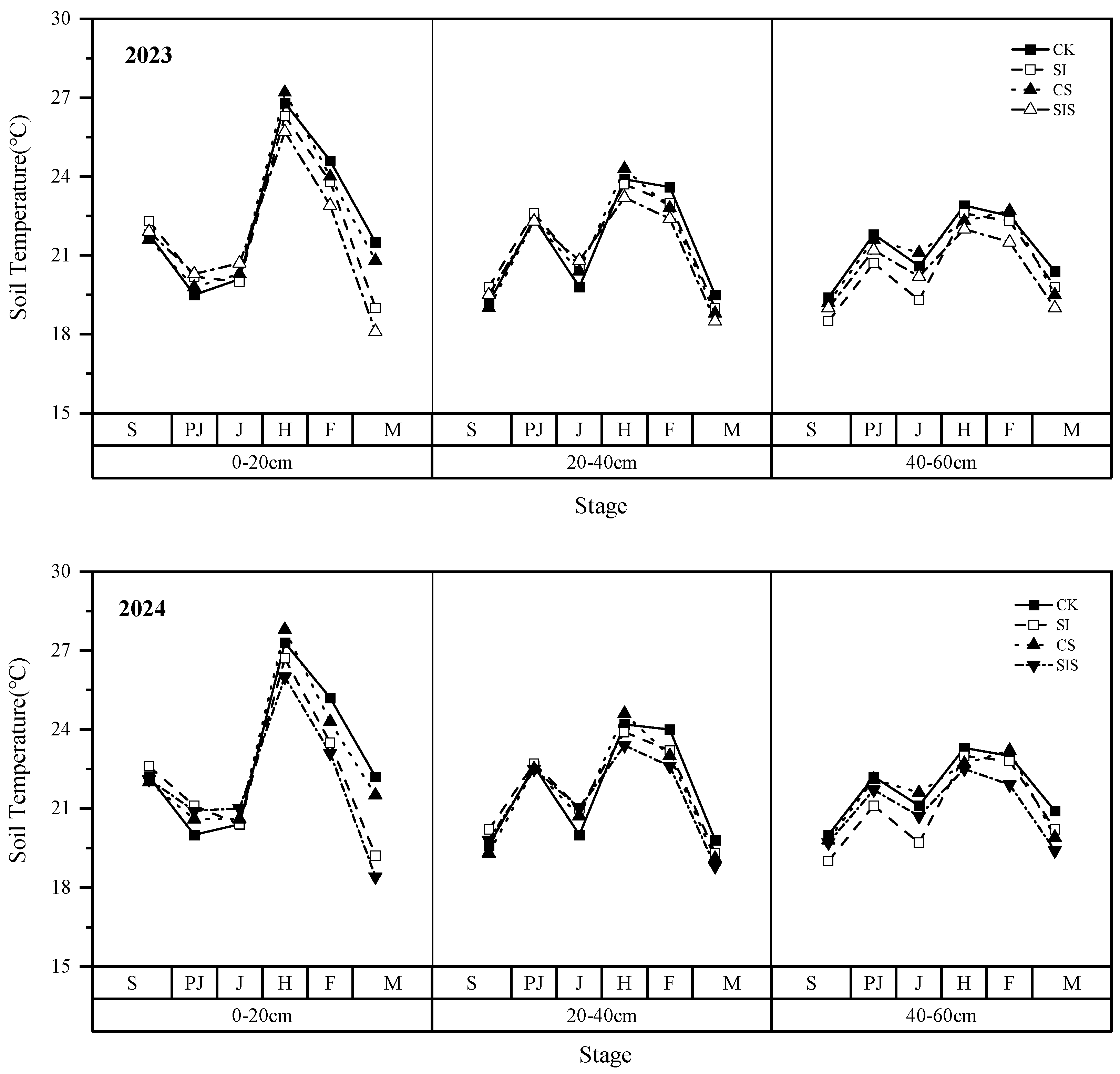
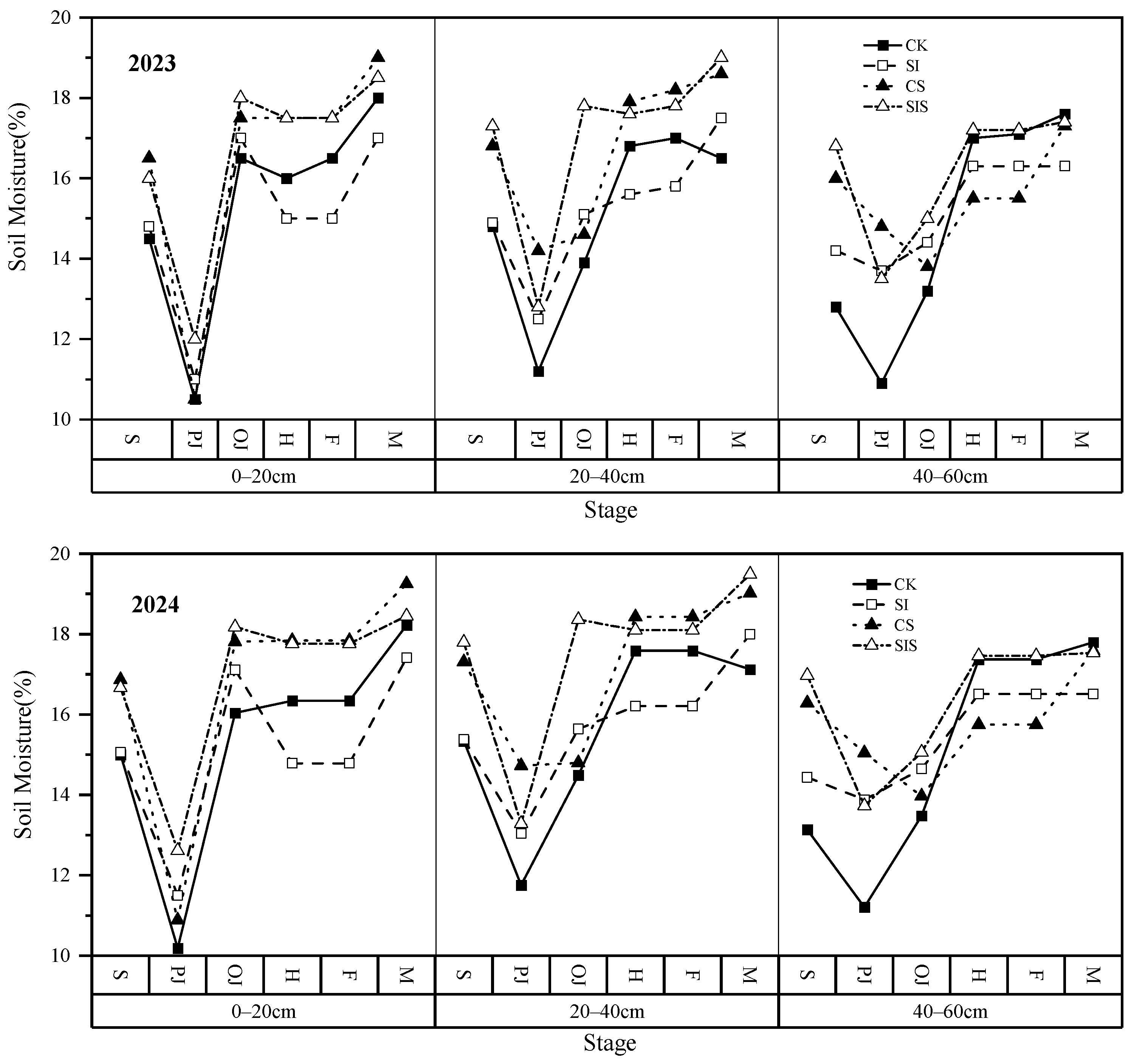
2.5. Soil Environment
- (1)
- Soil Moisture
- (2)
- Soil Temperature
- (3)
- Soil Enzyme Activities
- (4)
- Soil Organic Matter
2.6. Analysis of the Effects of Various Influencing Factors on Soil CO2Respiration Rate and Its Components in Millet Fields
3. Discussion
3.1. Effects of Supplemental Irrigation and Se Application on the Dynamics of Rs Rate
3.2. Synergistic Effect of Supplemental Irrigation and Se Application on the Rs Environment in Millet Fields
3.3. Balancing Yield Enhancement and Carbon Emission Mitigation in Millet Production
4. Materials and Methods
4.1. Study Area
4.2. Experimental Design
4.3. Measurement Methods
4.3.1. Rs Rate and CO2 Emission Flux
4.3.2. Soil Temperature and Soil Moisture Content
4.3.3. Soil Enzyme Activity and SOM
4.3.4. Dry Matter Weight
4.3.5. Yield
4.3.6. WUE
4.4. Data Analysis and Processing
4.4.1. Feature Weights Assessment
4.4.2. Statistical Analysis
5. Conclusions
Author Contributions
Funding
Data Availability Statement
Conflicts of Interest
References
- Liu, J.L.; Chang, L.; Duan, X.L.; Wang, W.J.; Sun, H. Foxtail Millet: Production Status, Advances in Health Benefits and Its Mechanism. Sci. Technol. Food Ind. 2022, 43, 389–395. [Google Scholar] [CrossRef]
- Suri, S.; Balasaheb, K.S.; Yadav, D.K.; Malakar, S.; Choudhary, P.; Mohapatra, A.; Dhurve, P. Overview of Millet Proteins: Quality Characteristics, Effect of Thermal/Non-Thermal Processing and Applications. Food Biosci. 2024, 57, 103434. [Google Scholar] [CrossRef]
- Zhang, P.P.; Wang, B.L.; Guo, Y.N.; Wang, T.; Qian, W.; Yan, L.; Hao, L.; Wu, H.P.; Wang, X.L.; Xiong, Z. Identification of Drought-Resistant Response in Proso Millet (Panicum miliaceum L.) Root through Physiological and Transcriptomic Analysis. Plants 2024, 13, 1693. [Google Scholar] [CrossRef]
- Ibrahim, A.; Abaidoo, R.C.; Fatondji, D.; Opoku, A. Hill Placement of Manure and Fertilizer Micro-Dosing Improves Yield and Water Use Efficiency in the Sahelian Low Input Millet-Based Cropping System. Field Crops Res. 2015, 180, 29–36. [Google Scholar] [CrossRef]
- Zhou, S.W.; Wu, Y.Z.; Wang, C.; Lu, H.Y.; Zhang, Z.C.; Liu, Z.J.; Lei, Y.D.; Chen, F. Projection of Future Drought Impacts on Millet Yield in Northern Shanxi of China Using Ensemble Machine Learning Approach. Comput. Electron. Agric. 2024, 218, 108725. [Google Scholar] [CrossRef]
- Nie, T.Z.; Li, J.F.; Jiang, L.L.; Zhang, Z.X.; Chen, P.; Li, T.C.; Dai, C.L.; Sun, Z.Y.; Yin, S.; Wang, M.X. Optimizing Irrigation and Nitrogen Application to Enhance Millet Yield, Improve Water and Nitrogen Use Efficiency and Reduce Inorganic Nitrogen Accumulation in Northeast China. Plants 2024, 13, 3067. [Google Scholar] [CrossRef]
- Luo, P.Y.; Han, X.R.; Wang, Y.; Han, M.; Shi, H.; Liu, N.; Bai, H.Z. Influence of Long-Term Fertilization on Soil Microbial Biomass, Dehydrogenase Activity, and Bacterial and Fungal Community Structure in a Brown Soil of Northeast China. Ann. Microbiol. 2015, 65, 533–542. [Google Scholar] [CrossRef]
- Tang, J.; Wang, J.J.; Li, Z.Y.; Wang, S.N.; Qu, Y.K. Effects of Irrigation Regime and Nitrogen Fertilizer Management on CH4, N2O and CO2 Emissions from Saline–Alkaline Paddy Fields in Northeast China. Sustainability 2018, 10, 475. [Google Scholar] [CrossRef]
- Xu, Y.N.; Sheng, J.; Zhang, L.P.; Sun, G.F.; Zheng, J.C. Organic Fertilizer Substitution Increased Soil Organic Carbon through the Association of Microbial Necromass C with Iron Oxides. Soil Tillage Res. 2025, 248, 106402. [Google Scholar] [CrossRef]
- Bond-Lamberty, B.; Thomson, A. Temperature-Associated Increases in the Global Soil Respiration Record. Nature 2010, 464, 579–582. [Google Scholar] [CrossRef] [PubMed]
- Jiang, J.S.; Guo, S.L.; Zhang, Y.J.; Liu, Q.F.; Wang, R.; Wang, Z.Q.; Li, N.N.; Li, R.J. Changes in Temperature Sensitivity of Soil Respiration in the Phases of a Three-Year Crop Rotation System. Soil Tillage Res. 2015, 150, 139–146. [Google Scholar] [CrossRef]
- Gao, X.L.; Zhao, N.; Lu, Y.H.; Han, X.; Yang, Z.P. Effects of Supplementary Irrigation on Soil Respiration of Millet Farmland in a Semi-Arid Region in China. Atmosphere 2022, 13, 1584. [Google Scholar] [CrossRef]
- Yang, J.Y.; Zhang, F.B.; Li, Y.Y.; Gao, J.X.; Deng, L.; Shi, W.Y.; Shen, N.; Yang, M.Y. Moisture Conditions Trigger Different Response Patterns of Soil Respiration to Biochar-Induced Changes in Soil Vertical Water Content and Temperature Based on a Three-Year Field Observation Study. Agric. Ecosyst. Environ. 2025, 378, 109328. [Google Scholar] [CrossRef]
- He, L.P.; Lin, J.J.; Lan, B.; Duan, L.Y.; Xu, Z.J.; Liao, Y.H. The Effect of Increased Nitrogen Levels on Soil CO2 Emission Caused by Microbial Respiration in the Riparian Zone of the Three Gorges Reservoir. Appl. Ecol. Environ. Res. 2021, 19, 611–624. [Google Scholar] [CrossRef]
- Li, Y.C.; Hou, C.C.; Wang, Q.B.; Chen, Y.Y.; Ma, J.M.; Mohammad, Z. Effect of No-Till Farming and Straw Mulchon Spatial Variability of Soil Respirationin Sloping Cropland. Pol. J. Environ. Stud. 2016, 25, 2499–2508. [Google Scholar] [CrossRef]
- Li, C.X.; Wang, G.S.; Han, Q.S.; Sun, J.S.; Ning, H.F.; Feng, D. Soil Moisture and Water-Nitrogen Synergy Dominate the Change of Soil Carbon Stock in Farmland. Agric. Water Manag. 2023, 287, 108424. [Google Scholar] [CrossRef]
- Nissan, A.; Alcolombri, U.; Peleg, N.; Galili, N.; Jimenez-Martinez, J.; Molnar, P.; Holzner, M. Global Warming Accelerates Soil Heterotrophic Respiration. Nat. Commun. 2023, 14, 3452. [Google Scholar] [CrossRef] [PubMed]
- Ren, C.J.; Wang, T.; Xu, Y.D.; Deng, J.; Zhao, F.Z.; Yang, G.H.; Han, X.H.; Feng, Y.Z.; Ren, G.X. Differential Soil Microbial Community Responses to the Linkage of Soil Organic Carbon Fractions with Respiration across Land-Use Changes. For. Ecol. Manag. 2018, 409, 170–178. [Google Scholar] [CrossRef]
- Shen, H.Z.; Li, S.L.; Sun, K.X.; Gao, Y.H.; Liu, Y.X.; Ma, X.Y. Integrated Impacts of Irrigation and Nitrogen Management for Balancing Winter Wheat Yield and Greenhouse Gas Emissions. Crop Environ. 2023, 2, 126–136. [Google Scholar] [CrossRef]
- Liu, X.J.; Zhang, Y.; Han, W.X.; Tang, A.H.; Shen, J.L.; Cui, Z.L.; Vitousek, P.; Erisman, J.W.; Goulding, K.; Christie, P.; et al. Enhanced Nitrogen Deposition over China. Nature 2013, 494, 459–462. [Google Scholar] [CrossRef] [PubMed]
- Wang, M.; Liu, X.T.; Zhang, J.T.; Li, X.J.; Wang, G.D.; Li, X.Y.; Lu, X.R. Diurnal and Seasonal Dynamics of Soil Respiration at Temperate Leymus chinensis Meadow Steppes in Western Songnen Plain, China. Chin. Geogr. Sci. 2014, 24, 287–296. [Google Scholar] [CrossRef]
- Wang, W.; Guo, L.P.; Li, Y.C.; Su, M.; Lin, Y.B.; De Perthuis, C.; Ju, X.T.; Lin, E.; Moran, D. Greenhouse Gas Intensity of Three Main Crops and Implications for Low-Carbon Agriculture in China. Clim. Change 2015, 128, 57–70. [Google Scholar] [CrossRef]
- Yan, W.M.; Zhong, Y.Q.W.; Liu, W.Z.; Shangguan, Z. Asymmetric Response of Ecosystem Carbon Components and Soil Water Consumption to Nitrogen Fertilization in Farmland. Agric. Ecosyst. Environ. 2021, 305, 107166. [Google Scholar] [CrossRef]
- Zhang, P.A.; Li, L.; Fu, Q.; Du, C.Z.; Yang, A.Z.; Sun, N.; Wang, L.H.; Li, M. Balancing Soil Carbon Emissions and Productivity in Maize Agroecosystems through Nitrogen, Biochar, and Straw Regulation. Ind. Crops Prod. 2025, 224, 120442. [Google Scholar] [CrossRef]
- Yang, S.H.; Xiao, Y.N.; Xu, J.Z. Organic Fertilizer Application Increases the Soil Respiration and Net Ecosystem Carbon Dioxide Absorption of Paddy Fields under Water-Saving Irrigation. Environ. Sci. Pollut. Res. Int. 2018, 25, 9958–9968. [Google Scholar] [CrossRef] [PubMed]
- Li, X.J.; Sun, J.J.; Li, W.S.; Gong, Z.Q.; Jia, C.Y.; Li, P.J. Effect of Foliar Application of the Selenium-Rich Nutrient Solution on the Selenium Accumulation in Grains of Foxtail Millet (Zhangzagu 10). Environ. Sci. Pollut. Res. Int. 2022, 29, 5569–5576. [Google Scholar] [CrossRef] [PubMed]
- Zhou, W.X.; Duan, Y.Y.; Zhang, Y.J.; Wang, H.; Huang, D.H.; Zhang, M.D. Effects of Foliar Selenium Application on Growth and Rhizospheric Soil Micro-Ecological Environment of Atractylodes macrocephala Koidz. S. Afr. J. Bot. 2021, 137, 98–109. [Google Scholar] [CrossRef]
- Zhang, L.; Wang, Q.; Lv, J.P.; Zhang, C. The Response of Soil Respiration to Land-use Change Depends on Soil Microbial Community Being Regulated by Edaphic Factors in the Loess Plateau, China. Land Degrad. Dev. 2023, 34, 4781–4792. [Google Scholar] [CrossRef]
- Gao, X.L.; Ma, J.J.; Jia, Y.R.; Liu, E.K.; Song, L.L. The Effects of Deficit Irrigation Scheduling on Water Consumption and Water Use Efficiency of Millet in the Northern Shanxi Province. J. Irrig. Drain. 2021, 40, 40–47. (In Chinese) [Google Scholar] [CrossRef]
- Keskinen, R.; Räty, M.; Yli-Halla, M. Selenium Fractions in Selenate-Fertilized Field Soils of Finland. Nutr. Cycl. Agroecosyst. 2011, 91, 17–29. [Google Scholar] [CrossRef]
- Deng, X.F.; Liu, K.Z.; Li, M.F.; Zhang, W.; Zhao, X.H.; Zhao, Z.Q.; Liu, X.W. Difference of Selenium Uptake and Distribution in the Plant and Selenium Form in the Grains of Rice with Foliar Spray of Selenite or Selenate at Different Stages. Field Crops Res. 2017, 211, 165–171. [Google Scholar] [CrossRef]
- Wang, H.H.; Huang, W.D.; He, Y.Z.; Zhu, Y.Z. Effects of Warming and Precipitation Reduction on Soil Respiration in Horqin Sandy Grassland, Northern China. CATENA 2023, 233, 107470. [Google Scholar] [CrossRef]
- Bünemann, E.K.; Bongiorno, G.; Bai, Z.; Creamer, R.E.; De Deyn, G.; de Goede, R.; Fleskens, L.; Geissen, V.; Kuyper, T.W.; Mäder, P.; et al. Soil quality—A critical review. Soil Biol. Biochem. 2018, 120, 105–125. [Google Scholar] [CrossRef]
- Abbas, F.; Hammad, H.M.; Ishaq, W.; Farooque, A.A.; Bakhat, H.F.; Zia, Z.; Fahad, S.; Farhad, W.; Cerdà, A. A review of soil carbon dynamics resulting from agricultural management practices. Environ. Manag. 2020, 268, 110319. [Google Scholar] [CrossRef]
- Li, X.D.; Su, L.B.; Jing, M.; Wang, K.Q.; Song, C.G.; Song, Y.L. Nitrogen addition restricts key soil ecological enzymes and nutrients by reducing microbial abundance and diversity. Sci. Rep. 2025, 15, 5560. [Google Scholar] [CrossRef]
- Dijkstra, F.A.; Carrillo, Y.; Pendall, E.; Morgan, J.A. Rhizosphere priming: A nutrient perspective. Front. Microbiol. 2013, 4, 216. [Google Scholar] [CrossRef]
- Kuzyakov, Y.; Blagodatskaya, E. Microbial hotspots and hot moments in soil: Concept & review. Soil Biol. Biochem. 2015, 83, 184–199. [Google Scholar] [CrossRef]
- Deng, G.G.; Fan, Z.Q.; Wang, Z.Y.; Peng, M. Dynamic role of selenium in soil-plant-microbe systems: Mechanisms, biofortification, and environmental remediation. Plant Soil 2025, 515, 1085–1105. [Google Scholar] [CrossRef]
- Farooq, M.; Wahid, A.; Kobayashi, N.; Fujita, D.; Basra, S.M.A. Plant drought stress: Effects, mechanisms and management. Agron. Sustain. Dev. 2009, 29, 185–212. [Google Scholar] [CrossRef]
- Jia, S.X.; Zhou, X.H.; Fu, Y.L.; Zhou, G.Y.; Zhou, L.Y.; Wang, X.X.; Jiang, Z.; Sardans, J.; Penuelas, J. Microbial Life History Mediates the Drought-Induced Decrease in Wood Decomposition in Subtropical Forests. Ecol. Lett. 2025, 28, e70133. [Google Scholar] [CrossRef]
- Sourav, S.K.; Subbarayappa, C.T.; Hanumanthappa, D.C.; Mudalagiriyappa; Vazhacharickal, P.J.; Mock, A.; Ingold, M.; Buerkert, A. Soil Respiration under Different N Fertilization and Irrigation Regimes in Bengaluru, S-India. Nutr. Cycl. Agroecosyst. 2023, 127, 333–345. [Google Scholar] [CrossRef]
- Lu, N.; Liu, X.R.; Du, Z.L.; Wang, Y.D.; Zhang, Q.Z. Effect of Biochar on Soil Respiration in the Maize Growing Season after 5 Years of Consecutive Application. Soil Res. 2014, 52, 505–512. [Google Scholar] [CrossRef]
- Singla, A.; Iwasa, H.; Inubushi, K. Effect of Biogas Digested Slurry Based-Biochar and Digested Liquid on N2O, CO2 Flux and Crop Yield for Three Continuous Cropping Cycles of Komatsuna (Brassica rapa Var. Perviridis). Biol. Fertil. Soils 2014, 50, 1201–1209. [Google Scholar] [CrossRef]
- Chen, L.; Deng, X.Y.; Duan, H.X.; Tan, X.M.; Xie, X.B.; Pan, X.H.; Guo, L.; Gao, H.; Wei, H.Y.; Zhang, H.C.; et al. Water Management Can Alleviate the Deterioration of Rice Quality Caused by High Canopy Humidity. Agric. Water Manag. 2023, 289, 108567. [Google Scholar] [CrossRef]
- Wang, Y.Y.; Wang, W.D.; Zheng, M.Y.; Ou, X.Q.; Zheng, H.F. Effects of nitrogen application and irrigation treatment on soil organic carbon components and enzyme activities in wheat field. J. Environ. Eng. Technol. 2024, 14, 1419–1426. [Google Scholar] [CrossRef]
- Kang, N.; Pacholski, A.S. Soil Moisture and Temperature Effects on Granule Dissolution and Urease Activity of Urea with and without Inhibitors—An Incubation Study. Agriculture 2022, 12, 2037. [Google Scholar] [CrossRef]
- Sobucki, L.; Ferraz Ramos, R.; Sobucki, V.; Pawlowski, E.; Kaiser, D.R.; Jacques, R.J.S.; Antoniolli, Z.I.; Pozzobon, M.D.; Schenato, R.B.; Daroit, D.J. Sensitivity of Microbiological Properties of a Rhodic Ferralsol in Response to Management and Environmental Variables in Subtropical Brazil. Commun. Soil Sci. Plant Anal. 2024, 55, 888–901. [Google Scholar] [CrossRef]
- Cao, C.L.; Lü, H.Q.; Hao, Z.P.; Gao, X. The effects of exogenous selenium on photosynthetic characteristics, selenium accumulation in grain, yield and quality of “jin tartary buckwheat 5”. Soil Fertil. Sci. 2021, 3, 207–213. (In Chinese) [Google Scholar] [CrossRef]
- Six, J.; Bossuyt, H.; Degryze, S.; Denef, K. A history of research on the link between (micro)aggregates, soil biota, and soil organic matter dynamics. Soil Tillage Res. 2004, 79, 7–31. [Google Scholar] [CrossRef]
- Kemmitt, S.J.; Wright, D.; Goulding, K.W.T.; Jones, D.L. pH regulation of carbon and nitrogen dynamics in two agricultural soils. Soil Biol. Biochem. 2006, 38, 898–911. [Google Scholar] [CrossRef]
- Conant, R.T.; Cerri, C.E.; Osborne, B.B.; Paustian, K. Grassland management impacts on soil carbon stocks: A new synthesis. Ecol. Appl. 2017, 27, 662–668. [Google Scholar] [CrossRef]
- Lal, R. Soil carbon sequestration impacts on global climate change and food security. Science 2004, 304, 1623–1627. [Google Scholar] [CrossRef]
- Hinojosa, M.B.; García-Ruíz, R.; Viñegla, B.; Carreira, J.A. Microbiological rates and enzyme activities as indicators of functionality in soils affected by Aznalcóllar toxic spill. Soil Biol. Biochem. 2004, 36, 1637–1644. [Google Scholar] [CrossRef]
- Araujo, M.A.; Melo, A.A.R.; Silva, V.M.; Reis, A.R.D. Selenium enhances ROS scavenging systems and sugar metabolism increasing growth of sugarcane plants. Plant Physiol. Biochem. 2023, 201, 107798. [Google Scholar] [CrossRef]
- Soliman, E.R.S.; Abdelhameed, R.E. Selenium Seed Priming Adjusts Photosynthesis, Metabolic Constituents and Gene Expression Profiling in Vicia faba L to Outstand Lead Stress. J. Soil Sci. Plant Nutr. 2025, 25, 6623–6641. [Google Scholar] [CrossRef]
- Hu, L.; Zhang, B.J.; Wu, D.S.; Liu, Y.; Gao, G.Q.; Wang, X.L.; Hu, S.M.; Fan, H.B.; Fang, H.Y. Effects of Different Exogenous Selenium on Enzyme Activities and Microorganisms in Arseniccontaminated Soil. Appl. Ecol. Env. Res. 2022, 20, 4237–4255. [Google Scholar] [CrossRef]
- Djanaguiraman, M.; Prasad, P.V.V.; Seppanen, M. Selenium protects sorghum leaves from oxidative damage under high temperature stress by enhancing antioxidant defense system. Plant Physiol. Biochem. 2010, 48, 999–1007. [Google Scholar] [CrossRef] [PubMed]
- Mu, T.T.; Du, H.L.; Zhang, F.Y.; Jing, X.L.; Guo, Q.; Li, Z.; Liu, Z.; Tian, G. Effects of Exogenous Selenium on the Physiological Activity, Grain Selenium Content, Yield and Quality of Foxtail Millet. Sci. Agric. Sin. 2017, 50, 51–63. [Google Scholar] [CrossRef]
- Cosh, M.H.; Jackson, T.J.; Moran, S.; Bindlish, R. Temporal persistence and stability of surface soil moisture in a semi-arid watershed. Remote Sens. Environ. 2008, 112, 304–313. [Google Scholar] [CrossRef]
- Vanderlinden, K.; Vereecken, H.; Hardelauf, H.; Herbst, M.; Martínez, G.; Michael, H.; Cosh, M.H.; Pachepsky, Y.A. Temporal stability of soil water contents: A review of data and analyses. Vadose Zone J. 2012, 11, 175. [Google Scholar] [CrossRef]
- Ahmad, I.; Cheng, Z.H.; Meng, H.W.; Liu, T.J.; Wang, M.Y.; Ejaz, M.; Wasila, H. Effect of Pepper-Garlic Intercropping System on Soil Microbial and Bio-Chemical Properties. Pak. J. Bot. 2013, 45, 695–702. [Google Scholar]
- Frankeberger, W.T.; Johanson, J.B. Method of Measuring Invertase Activity in Soils. Plant Soil 1983, 74, 301–311. [Google Scholar] [CrossRef]
- Johnson, J.L.; Temple, K.L. Some Variables Affecting the Measurement of “Catalase Activity” in Soil. Soil Sci. Soc. Am. J. 1964, 28, 207–209. [Google Scholar] [CrossRef]
- Buragienė, S.; Šarauskis, E.; Romaneckas, K.; Adamavičienė, A.; Kriaučiūnienė, Z.; Avižienytė, D.; Marozas, V.; Naujokienė, V. Relationship between CO2 Emissions and Soil Properties of Differently Tilled Soils. Sci. Total Environ. 2019, 662, 786–795. [Google Scholar] [CrossRef]
- Liu, F.S.; Zhou, Z.B.; Hu, S.J.; Du, H.Y.; Chen, X.L. Influence of Different Soil Coring Methods on Estimation of Root Distribution Characteristics. Acta Prataculturae Sin. 2012, 21, 294–299. (In Chinese) [Google Scholar]
- Costa, V.G.; Pedreira, C.E. Recent advances in decision trees: An updated survey. Artif. Intell. Rev. 2023, 56, 4765–4800. [Google Scholar] [CrossRef]
- Wang, H.F.; Jin, H.X.; Jiang, X.J. Feature Selection for High-Dimensional Varying Coefficient Models via Ordinary Least Squares Projection. Commun. Math. Stat. 2025, 13, 607–648. [Google Scholar] [CrossRef]














| Year | Items | Treatments | |||
|---|---|---|---|---|---|
| CK | SI | CS | SIS | ||
| 2023 | ET (mm) | 248.3 ± 2.25 c | 268.50 ± 1.50 b | 285.7 ± 2.50 a | 287.9 ± 1.05 a |
| Yield (kg·ha−1) | 3920.5 ± 25.24 d | 4526.9 ± 25.02 c | 5038.0 ± 50.41 b | 5624.3 ± 16.22 a | |
| WUE (kg·ha−1·mm−1) | 15.79 ± 0.05 d | 16.86 ± 0.01 c | 17.64 ± 0.04 b | 19.53± 0.04 a | |
| 2024 | ET (mm) | 256 ± 6.44 c | 275.2 ± 4.22 b | 291.4 ± 1.67 a | 293.2 ± 2.95 a |
| Yield (kg·ha−1) | 4059.2 ± 107.37 d | 4702.5 ± 81.46 c | 5196.7 ± 51.96 b | 5820.0 ± 58.20 a | |
| WUE (kg·ha−1·mm−1) | 15.86 ± 0.09 d | 17.09 ± 0.10 c | 17.83 ± 0.20 b | 19.85 ± 0.00 a | |
| Items | 2023 | 2024 |
|---|---|---|
| Field capacity (%) | 26.5% ± 1.6 | 26.5 ± 1.8 |
| Total N content (g·kg−1) | 0.69 ± 0.03 | 0.83 ± 0.04 |
| Soil organic matter content (g·kg−1) | 13.9 ± 0.1 | 13.68 ± 0.1 |
| Available phosphorus content (mg·kg−1) | 15.8 ± 0.1 | 13.29 ± 0.2 |
| Available potassium content (mg·kg−1) | 146.9 ± 6.5 | 159.0 ± 7.4 |
| pH | 6.5 ± 0.06 | 6.6 ± 0.05 |
| Soil texture | Loam | Loam |
| Stage | 2023 | 2024 |
|---|---|---|
| Seedling | 5.6–6.14 | 5.13–6.14 |
| Jointing | 6.15–7.18 | 6.15–7.18 |
| Heading | 7.19–8.4 | 7.19–8.4 |
| Filling | 8.5–8.21 | 8.5–8.21 |
| Maturity | 8.22–9.8 | 8.22–9.12 |
Disclaimer/Publisher’s Note: The statements, opinions and data contained in all publications are solely those of the individual author(s) and contributor(s) and not of MDPI and/or the editor(s). MDPI and/or the editor(s) disclaim responsibility for any injury to people or property resulting from any ideas, methods, instructions or products referred to in the content. |
© 2026 by the authors. Licensee MDPI, Basel, Switzerland. This article is an open access article distributed under the terms and conditions of the Creative Commons Attribution (CC BY) license.
Share and Cite
Gao, X.; Yang, X.; Cheng, B.; Wang, H.; Jia, Y. Synergistic Effects of Supplemental Irrigation and Foliar Selenium Application on Dynamics Characteristics of Soil Respiration and Its Components in Millet Field. Plants 2026, 15, 984. https://doi.org/10.3390/plants15060984
Gao X, Yang X, Cheng B, Wang H, Jia Y. Synergistic Effects of Supplemental Irrigation and Foliar Selenium Application on Dynamics Characteristics of Soil Respiration and Its Components in Millet Field. Plants. 2026; 15(6):984. https://doi.org/10.3390/plants15060984
Chicago/Turabian StyleGao, Xiaoli, Xuan Yang, Binbin Cheng, Haowen Wang, and Yamin Jia. 2026. "Synergistic Effects of Supplemental Irrigation and Foliar Selenium Application on Dynamics Characteristics of Soil Respiration and Its Components in Millet Field" Plants 15, no. 6: 984. https://doi.org/10.3390/plants15060984
APA StyleGao, X., Yang, X., Cheng, B., Wang, H., & Jia, Y. (2026). Synergistic Effects of Supplemental Irrigation and Foliar Selenium Application on Dynamics Characteristics of Soil Respiration and Its Components in Millet Field. Plants, 15(6), 984. https://doi.org/10.3390/plants15060984
