Chrysanthemum CmDOF2 Positively Regulates Salt Tolerance in Transgenic Arabidopsis thaliana
Abstract
1. Introduction
2. Results
2.1. Isolation and Sequence Characterization of CmDOF2
2.2. Subcellular Localization Analysis of CmDOF2
2.3. Transcriptional Activity of CmDOF2
2.4. Expression Patterns of CmDOF2 Under Salt Treatment and in Various Tissues
2.5. Heterologous Expression of CmDOF2 Enhances Salt Stress Tolerance in Transgenic Arabidopsis
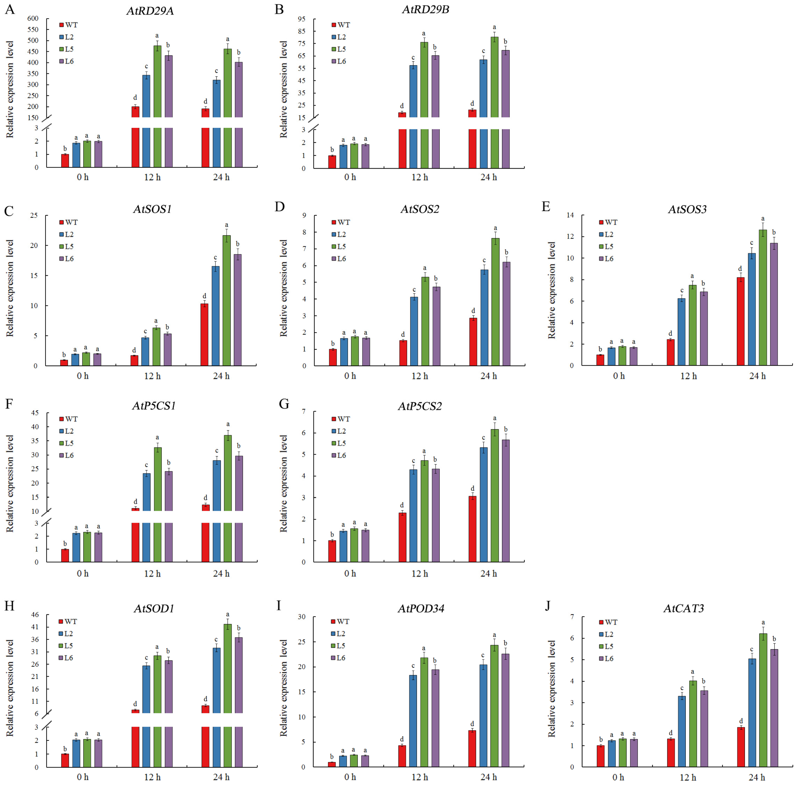
2.6. Expression Analysis of Stress-Responsive Genes in CmDOF2-Expressing Arabidopsis
3. Discussion
4. Materials and Methods
4.1. Chrysanthemum Growth Conditions and Salt Treatment
4.2. Isolation and Sequence Analyses of CmDOF2
4.3. Plasmid Construction and Arabidopsis thaliana Transformation
4.4. Subcellular Localization of CmDOF2
4.5. Transcriptional Activation Analysis of CmDOF2
4.6. Salt Stress Treatment on Transgenic Arabidopsis Plants
4.7. Determination of Physiological Indexes of Arabidopsis
4.8. qRT-PCR Analyses
4.9. Statistical Analysis
Supplementary Materials
Author Contributions
Funding
Data Availability Statement
Conflicts of Interest
References
- Zhu, J. Salt and drought stress signal transduction in plants. Ann. Rev. Plant Biol. 2002, 53, 247–273. [Google Scholar] [CrossRef]
- Zhao, S.; Zhang, Q.; Liu, M.; Zhou, H.; Ma, C.; Wang, P. Regulation of plant responses to salt stress. Int. J. Mol. Sci. 2021, 22, 4609. [Google Scholar] [CrossRef] [PubMed]
- Parida, A.K.; Das, A.B. Salt tolerance and salinity effects on plants: A review. Ecotoxicol. Environ. Saf. 2005, 60, 324–349. [Google Scholar] [CrossRef] [PubMed]
- Han, X.; Yang, R.; Zhang, L.; Wei, Q.; Zhang, Y.; Wang, Y.; Shi, Y. A review of potato salt tolerance. Int. J. Mol. Sci. 2023, 24, 10726. [Google Scholar] [CrossRef] [PubMed]
- Parvaiz, A.; Satyawati, S. Salt stress and phyto-biochemical responses of plants—A review. Plant Soil Environ. 2018, 54, 88–99. [Google Scholar] [CrossRef]
- Miura, G. Surviving salt stress. Nat. Chem. Biol. 2023, 19, 1291. [Google Scholar] [CrossRef]
- Zhang, J.; Shi, H. Physiological and molecular mechanisms of plant salt tolerance. Photosynth. Res. 2013, 115, 1–22. [Google Scholar] [CrossRef]
- Zhou, H.; Shi, H.; Yang, Y.; Feng, X.; Chen, X.; Xiao, F.; Lin, H.; Guo, Y. Insights into plant salt stress signaling and tolerance. J. Genet. Genom. 2024, 51, 16–34. [Google Scholar] [CrossRef]
- Ji, H.; Pardo, J.M.; Batelli, G.; Oosten, M.J.V.; Bressan, R.A.; Li, X. The salt overly sensitive (SOS) pathway: Established and emerging roles. Mol. Plant 2015, 6, 275–286. [Google Scholar] [CrossRef]
- Alzaabi, M.; Orpilla, J.; Hazzouri, K.M.; Li, L.; Amiri, K. SOS3 from Avicennia marina enhances salt stress tolerance of Arabidopsis thaliana. Cells 2025, 14, 935. [Google Scholar] [CrossRef]
- Shi, H.; Qian, Y.; Tan, D.X.; Reiter, R.J.; He, C. Melatonin induces the transcripts of CBF/DREB1s and their involvement in both abiotic and biotic stresses in Arabidopsis. J. Pineal Res. 2015, 59, 334–342. [Google Scholar] [CrossRef] [PubMed]
- Fiallos-Salguero, M.S.; Li, J.; Li, Y.; Xu, J.; Fang, P.; Wang, Y.; Zhang, L.; Tao, A. Identification of AREB/ABF gene family involved in the response of aba under salt and drought stresses in jute (Corchorus olitorius L.). Plants 2023, 12, 1161. [Google Scholar] [CrossRef] [PubMed]
- Bi, C.; Yu, Y.; Dong, C.; Yang, Y.; Zhai, Y.; Du, F.; Xia, C.; Ni, Z.; Kong, X.; Zhang, L. The bZIP transcription factor TabZIP15 improves salt stress tolerance in wheat. Plant Biotech. J. 2020, 19, 209–211. [Google Scholar] [CrossRef] [PubMed]
- Bao, M.; Xu, Y.; Wei, G.; Bai, M.; Wang, J.; Feng, L. The MYC gene RrbHLH105 contributes to salt stress–induced geraniol in rose by regulating trehalose-6-phosphate signalling. Plant Cell Environ. 2024, 48, 1947–1962. [Google Scholar] [CrossRef]
- Zhao, Y.; Yang, Z.; Ding, Y.; Liu, L.; Han, X.; Zhan, J.; Wei, X.; Diao, Y.; Qin, W.; Wang, P.; et al. Over-expression of an R2R3 MYB gene, GhMYB73, increases tolerance to salt stress in transgenic Arabidopsis. Plant Sci. 2019, 286, 28–36. [Google Scholar] [CrossRef]
- Zhu, H.; Jiang, Y.; Guo, Y.; Huang, J.; Zhou, M.; Tang, Y.; Sui, J.; Wang, J.; Qiao, L. A novel salt inducible WRKY transcription factor gene, AhWRKY75, confers salt tolerance in transgenic peanut. Plant Physiol. Biochem. 2021, 160, 175–183. [Google Scholar] [CrossRef]
- Jha, R.; Li, W.; Lin, H.; He, Y.; Gao, J.; Zhang, K.; Shao, M.; Zhou, M. Comparative study of the Dof gene family in buckwheat: FtDOF34’s function in sugar biosynthesis and response to salt and drought stress. Plant Physiol. Biochem. 2026, 231, 111003. [Google Scholar] [CrossRef]
- Zou, X.; Sun, H. DOF transcription factors: Specific regulators of plant biological processes. Front. Plant Sci. 2023, 14, 1044918. [Google Scholar] [CrossRef]
- Yanagisawa, S. The Dof family of plant transcription factors. Trends Plant Sci. 2002, 7, 555–560. [Google Scholar] [CrossRef]
- Tanaka, M.; Takahata, Y.; Nakayama, H.; Nakatani, M.; Tahara, M. Altered carbohydrate metabolism in the storage roots of sweetpotato plants overexpressing the SRF1 gene, which encodes a Dof zinc finger transcription factor. Planta 2009, 230, 737–746. [Google Scholar] [CrossRef]
- Khaksar, G.; Sangchay, W.; Pinsorn, P.; Sangpong, L.; Sirikantaramas, S. Genome-wide analysis of the Dof gene family in durian reveals fruit ripening-associated and cultivar-dependent Dof transcription factors. Sci. Rep. 2019, 9, 12109. [Google Scholar] [CrossRef] [PubMed]
- Liu, X.; Liu, Z.; Hao, Z.; Chen, G.; Qi, K.; Zhang, H.; Jiao, H.; Wu, X.; Zhang, S.; Wu, J. Characterization of Dof family in Pyrus bretschneideri and role of PbDof9.2 in flowering time regulation. Genomics 2020, 112, 712–720. [Google Scholar] [CrossRef] [PubMed]
- Ruta, V.; Longo, C.; Lepri, A.; Angelis, V.D.; Occhigrossi, S.; Costantino, P.; Vittorioso, P. The DOF transcription factors in seed and seedling development. Plants 2020, 9, 218. [Google Scholar] [CrossRef] [PubMed]
- Tang, J.; Liu, P.; Yu, Q.; Wang, H.; Zhang, X.; Peng, J.; Ye, J.; Zhou, L.; Chen, S.; Chen, F.; et al. The CmDOF6 transcription factor controls chrysanthemum plant height by repressing CmGA20ox1 via CmTCP8. Plant Physiol. 2025, 199, kiaf509. [Google Scholar] [CrossRef]
- Yu, H.; Ma, Y.; Lu, Y.; Yue, J.; Ming, R. Expression profiling of the Dof gene family under abiotic stresses in spinach. Sci. Rep. 2021, 11, 14429. [Google Scholar] [CrossRef]
- Zheng, K.; Lv, M.; Qian, J.; Lian, Y.; Liu, R.; Huo, S.; Rehman, O.U.; Lin, Q.; Zhou, Z.; Liu, X.; et al. Identification and characterization of the DOF gene family in Phoebe bournei and its role in abiotic stress—Drought, heat and light stress. Int. J. Mol. Sci. 2024, 25, 11147. [Google Scholar] [CrossRef]
- Zhao, M.; Zhou, H.; Yang, Q.; Qin, L.; Li, M.; Zhang, X.; Fan, Y.; Ruan, J. DOF gene family in P. Sativum (L.): Comprehensive genomic identification, phylogenetic examination, evolutionary growth, and expression analysis. BMC Genom. 2026, 27, 83. [Google Scholar] [CrossRef]
- He, L.; Su, C.; Wang, Y.; Wei, Z. AtDOF5.8 protein is the upstream regulator of ANAC069 and is responsive to abiotic stress. Biochimie 2015, 110, 17–24. [Google Scholar] [CrossRef]
- Zang, D.; Wang, L.; Zhang, Y.; Zhao, H.; Wang, Y. ThDof1.4 and ThZFP1 constitute a transcriptional regulatory cascade involved in salt or osmotic stress in Tamarix hispida. Plant Mol. Biol. 2017, 94, 495–507. [Google Scholar] [CrossRef]
- He, X.; Zhang, M.-M.; Huang, Y.; Yu, J.; Zhao, X.; Zheng, Q.; Liu, Z.-J.; Lan, S. Genome-based identification of the Dof gene family in three Cymbidium species and their responses to heat stress in Cymbidium goeringii. Int. J. Mol. Sci. 2024, 25, 7662. [Google Scholar] [CrossRef]
- Chen, Z.; Wang, X.; Yan, J.; Cai, Z.; Zhang, B.; Xu, J.; Ma, R.; Yu, M.; Shen, Z. Systematic analysis of Dof gene family in Prunus persica unveils candidate regulators for enhancing cold tolerance. Int. J. Mol. Sci. 2025, 26, 7509. [Google Scholar] [CrossRef] [PubMed]
- He, J.; Wang, L.; Zou, L.; Yao, Z.; Zhang, S.; Xiang, Y. Genome-wide identification of the Dof gene family in Carya illinoinensis and potential function analysis of CiDof22 in drought stress. Plant Stress 2025, 18, 100990. [Google Scholar] [CrossRef]
- Fan, S.; Chen, H.; Huo, Y.; Song, Y.; Wang, P.; Zhang, Z.; Jiang, L. Genome-wide analysis of the Dof gene family in soybean and functional identification of GmDof63 in response to Phytophthora sojae infection. Plants 2025, 14, 3621. [Google Scholar] [CrossRef] [PubMed]
- Song, A.; Su, J.; Wang, H.; Zhang, Z.; Zhang, X.; Peer, Y.V.d.; Chen, F.; Fang, W.; Guan, Z.; Zhang, F.; et al. Analyses of a chromosome-scale genome assembly reveal the origin and evolution of cultivated chrysanthemum. Nat. Commun. 2023, 14, 2021. [Google Scholar] [CrossRef]
- Song, A.; Gao, T.; Li, P.; Chen, S.; Guan, Z.; Wu, D.; Xin, J.; Fan, Q.; Zhao, K.; Chen, F. Transcriptome-wide identification and expression profiling of the DOF transcription factor gene family in Chrysanthemum morifolium. Front. Plant Sci. 2016, 7, 199. [Google Scholar] [CrossRef]
- Zhang, F.; Wang, Z.; Dong, W.; Sun, C.; Wang, H.; Song, A.; He, L.; Fang, W.; Chen, F.; Teng, N. Transcriptomic and proteomic analysis reveals mechanisms of embryo abortion during chrysanthemum cross breeding. Sci. Rep. 2014, 4, 6536. [Google Scholar] [CrossRef]
- Deinlein, U.; Stephan, A.B.; Horie, T.; Luo, W.; Xu, G.; Schroeder, J.I. Plant salt-tolerance mechanisms. Trends Plant Sci. 2014, 19, 371–379. [Google Scholar] [CrossRef]
- Yanagisawa, S.; Izui, K. Molecular cloning of two DNA binding proteins of maize that are structurally different but interact with the same sequence motif. J. Biol. Chem. 1993, 268, 16028–16036. [Google Scholar] [CrossRef]
- Lijavetzky, D.; Carbonero, P.; Vicente-Carbajosa, J. Genome-wide comparative phylogenetic analysis of the rice and Arabidopsis Dof gene families. BMC Evol. Biol. 2003, 3, 17. [Google Scholar] [CrossRef]
- Kushwaha, H.; Gupta, S.; Singh, V.K.; Rastogi, S.; Yadav, D. Genome wide identification of Dof transcription factor gene family in sorghum and its comparative phylogenetic analysis with rice and Arabidopsis. Mol. Biol. Rep. 2011, 38, 5037–5053. [Google Scholar] [CrossRef]
- Cao, X.; Wan, W.; Mao, H.; Yin, D.; Deng, X.; Yan, H.; Ren, L. Genome-wide identification and expression analysis of Dof transcription factors in lotus (Nelumbo nucifera Gaertn.). Plants 2022, 11, 2057. [Google Scholar] [CrossRef]
- Venkatesh, J.; Park, S.W. Genome-wide analysis and expression profiling of DNA-binding with one zinc finger (Dof) transcription factor family in potato. Plant Physiol. Biochem. 2015, 94, 73–85. [Google Scholar] [CrossRef] [PubMed]
- Wu, Z.; Cheng, J.; Cui, J.; Xu, X.; Liang, G.; Luo, X.; Chen, X.; Tang, X.; Hu, K.; Qin, C. Genome-wide identification and expression profile of Dof transcription factor gene family in pepper (Capsicum annuum L.). Front. Plant Sci. 2016, 7, 574. [Google Scholar] [CrossRef] [PubMed]
- Zhang, L.; Liu, B.; Zheng, G.; Zhang, A.; Li, R. Genome-wide characterization of the SiDof gene family in foxtail millet (Setaria italica). Biosystems 2017, 151, 27–33. [Google Scholar] [CrossRef] [PubMed]
- Liu, J.; Meng, Q.; Xiang, H.; Shi, F.; Ma, L.; Li, Y.; Liu, C.; Liu, Y.; Su, B. Genome-wide analysis of Dof transcription factors and their response to cold stress in rice (Oryza sativa L.). BMC Genom. 2021, 22, 800. [Google Scholar] [CrossRef]
- Song, H.; Ji, X.; Wang, M.; Li, J.; Wang, X.; Meng, L.; Wei, P.; Xu, H.; Niu, T.; Liu, A. Genome-wide identification and expression analysis of the Dof gene family reveals their involvement in hormone response and abiotic stresses in sunflower (Helianthus annuus L.). Gene 2024, 910, 148336. [Google Scholar] [CrossRef]
- Qian, G.; Yang, J.; Wang, M.; Li, L. Identification of the Dof gene family in quinoa and its potential role in regulating flavonoid synthesis under different stress conditions. Biology 2025, 14, 446. [Google Scholar] [CrossRef]
- Fu, C.; Xiao, Y.; Jiang, N.; Yang, Y. Genome-wide identification and molecular evolution of Dof gene family in Camellia oleifera. BMC Genom. 2024, 25, 702. [Google Scholar] [CrossRef]
- Li, Y.; Tian, M.; Feng, Z.; Zhang, J.; Lu, J.; Fu, X.; Ma, L.; Wei, H.; Wang, H. Ghdof1.7, a Dof transcription factor, plays positive regulatory role under salinity stress in upland cotton. Plants 2023, 12, 3740. [Google Scholar] [CrossRef]
- Farieri, E.; Toscano, S.; Ferrante, A.; Romano, D. Identification of ornamental shrubs tolerant to saline aerosol for coastal urban and peri-urban greening. Urban For. Urban Green. 2016, 18, 9–18. [Google Scholar] [CrossRef]
- Patanè, C.; Scordia, D.; Testa, G.; Cosentino, S.L. Physiological screening for drought tolerance in Mediterranean long-storage tomato. Plant Sci. 2016, 249, 25–34. [Google Scholar] [CrossRef]
- Torabian, S.; Farhangi-Abriz, S.; Rathjen, J. Biochar and lignite affect H+-ATPase and H+-PPase activities in root tonoplast and nutrient contents of mung bean under salt stress. Plant Physiol. Biochem. 2018, 129, 141–149. [Google Scholar] [CrossRef] [PubMed]
- Lima, T.M.d.; Silva, S.F.d.; Ribeiro, R.V.; Sánchez-Vilas, J.; Pinheiro, F. Short-term salt spray reveals high salt tolerance in a neotropical orchid species. Theor. Exp. Plant Physiol. 2023, 35, 355–362. [Google Scholar] [CrossRef]
- Cui, F.; Sui, N.; Duan, G.; Liu, Y.; Han, Y.; Liu, S.; Wan, S.; Li, G. Identification of metabolites and transcripts involved in salt stress and recovery in peanut. Front. Plant Sci. 2018, 9, 217. [Google Scholar] [CrossRef] [PubMed]
- Guo, H.; Huang, Z.; Li, M.; Hou, Z. Growth, ionic homeostasis, and physiological responses of cotton under different salt and alkali stresses. Sci. Rep. 2020, 10, 21844. [Google Scholar] [CrossRef]
- Huang, G.; Shan, C. Lanthanum improves the antioxidant capacity in chloroplast of tomato seedlings through ascorbate-glutathione cycle under salt stress. Sci. Hortic. 2018, 232, 264–268. [Google Scholar] [CrossRef]
- Xu, Y.; Bu, W.; Xu, Y.; Fei, H.; Zhu, Y.; Ahmad, I.; Nimir, N.E.A.; Zhou, G.; Zhu, G. Effects of salt stress on physiological and agronomic traits of rice genotypes with contrasting salt tolerance. Plants 2024, 13, 1157. [Google Scholar] [CrossRef]
- Wei, T.-L.; Wang, Z.-X.; He, Y.-F.; Xue, S.; Zhang, S.-Q.; Pei, M.-S.; Liu, H.-N.; Yu, Y.-H.; Guo, D.-L. Proline synthesis and catabolism-related genes synergistically regulate proline accumulation in response to abiotic stresses in grapevines. Sci. Hortic. 2022, 305, 111373. [Google Scholar] [CrossRef]
- Yan, L.; Lu, M.; Riaz, M.; Tong, K.; Yu, H.; Gao, G.; Niu, Y. Exogenous proline enhances salt acclimation in soybean seedlings: Modifying physicochemical properties and controlling proline metabolism through the ornithine-glutamate dual pathway. Ecotoxicol. Environ. Saf. 2025, 294, 118012. [Google Scholar] [CrossRef]
- Farhangi-Abriz, S.; Torabian, S. Antioxidant enzyme and osmotic adjustment changes in bean seedlings as affected by biochar under salt stress. Ecotoxicol. Environ. Saf. 2016, 137, 64–70. [Google Scholar] [CrossRef]
- Dong, Z.; Huang, J.; Qi, T.; Fu, Q.; Meng, A.; Fu, Y. Effects of plant regulators on the seed germination and antioxidant enzyme activity of cotton under compound salt stress. Plants 2023, 12, 4112. [Google Scholar] [CrossRef]
- Li, S.; Xie, H.; Chen, Y.; Jia, W.; Dong, D.; Wang, M.; Li, Y.; Zhang, T.; Han, L.; Chao, Y. MtTGA1 transcription factor enhances salt tolerance through hormonal regulation and antioxidant enzyme activity in Medicago truncatula. Agronomy 2023, 13, 2184. [Google Scholar] [CrossRef]
- Jiang, L.; Xiao, M.; Huang, R.; Wang, J. The regulation of ROS and phytohormones in balancing crop yield and salt tolerance. Antioxidants 2025, 14, 63. [Google Scholar] [CrossRef] [PubMed]
- Zhu, J. Genetic analysis of plant salt tolerance using Arabidopsis. Plant Physiol. 2000, 124, 941–948. [Google Scholar] [CrossRef] [PubMed]
- Zelm, E.v.; Zhang, Y.; Testerink, C. Salt tolerance mechanisms of plants. Annu. Rev. Plant Biol. 2020, 71, 403–433. [Google Scholar] [CrossRef] [PubMed]
- Sanders, D. The salty tale of Arabidopsis. Cur. Biol. 2000, 10, 486–488. [Google Scholar] [CrossRef]
- Strizhov, N.; Abrahám, E.; Okrész, L.; Blickling, S.; Zilberstein, A.; Schell, J.; Koncz, C.; Szabados, L. Differential expression of two P5CS genes controlling proline accumulation during salt-stress requires ABA and is regulated by ABA1, ABI1 and AXR2 in Arabidopsis. Plant J. 1997, 12, 557–569. [Google Scholar] [CrossRef]
- Funck, D.; Baumgarten, L.; Stift, M.; Wirén, N.v.; Schönemann, L. Differential contribution of P5CS isoforms to stress tolerance in Arabidopsis. Front. Plant Sci. 2020, 11, 565134. [Google Scholar] [CrossRef]
- Mittler, R.; Vanderauwera, S.; Gollery, M.; Breusegem, F.V. Reactive oxygen gene network of plants. Trends Plant Sci. 2004, 9, 490–498. [Google Scholar] [CrossRef]
- Gill, S.S.; Tuteja, N. Oxygen species and antioxidant machinery in abiotic stress tolerance in crop plants. Plant Physiol. Biochem. 2010, 48, 909–930. [Google Scholar] [CrossRef]
- Lin, K.-H.; Sei, S.-C.; Su, Y.-H.; Chiang, C.-M. Overexpression of the Arabidopsis and winter squash superoxide dismutase genes enhances chilling tolerance via ABA-sensitive transcriptional regulation in transgenic Arabidopsis. Plant Signal Behav. 2019, 14, 1685728. [Google Scholar] [CrossRef] [PubMed]
- Li, P.; Song, A.; Gao, C.; Wang, L.; Wang, Y.; Sun, J.; Jiang, J.; Chen, F.; Chen, S. Chrysanthemum WRKY gene CmWRKY17 negatively regulates salt stress tolerance in transgenic chrysanthemum and Arabidopsis plants. Plant Cell Rep. 2015, 34, 1365–1378. [Google Scholar] [CrossRef] [PubMed]
- Tamura, K.; Stecher, G.; Kumar, S. Mega11: Molecular evolutionary genetics analysis version 11. Mol. Biol. Evol. 2021, 38, 3022–3027. [Google Scholar] [CrossRef] [PubMed]
- Clough, S.J.; Bent, A.F. Floral dip: A simplified method for Agrobacterium-mediated transformation of Arabidopsis thaliana. Plant J. 1998, 16, 735–743. [Google Scholar] [CrossRef]
- Wang, F.; Zhang, Z. Interactions among mediator subunits of tobacco by bimolecular fluorescence complementation (BiFC) method. J. Agric. Biotechnol. 2012, 20, 38–47. [Google Scholar]
- Zhou, F.; Lin, Q.; Zhu, L.; Ren, Y.; Zhou, K.; Shabek, N.; Wu, F.; Mao, H.; Dong, W.; Gan, L.; et al. D14–SCFD3-dependent degradation of D53 regulates strigolactone signalling. Nature 2013, 504, 406–410. [Google Scholar] [CrossRef]
- Fankhauser, C.; Casal, J.J. Phenotypic characterization of a photomorphogenic mutant. Plant J. 2004, 39, 747–760. [Google Scholar] [CrossRef]
- Barrs, H.; Weatherley, P. A re-examination of the relative turgidity technique for estimating water deficits in leaves. Aust. J. Biol. Sci. 1962, 15, 413–428. [Google Scholar] [CrossRef]
- Su, A.-Y.; Niu, S.-Q.; Liu, Y.-Z.; He, A.-L.; Zhao, Q.; Paré, P.W.; Li, M.-F.; Han, Q.-Q.; Khan, S.A.; Zhang, J.-L. Synergistic effects of Bacillus amyloliquefaciens (GB03) and water retaining agent on drought tolerance of perennial ryegrass. Int. J. Mol. Sci. 2017, 18, 2651. [Google Scholar] [CrossRef]
- Livak, K.J.; Schmittgen, T.D. Analysis of relative gene expression data using real-time quantitative PCR and the 2−ΔΔCT method. Methods 2001, 25, 402–408. [Google Scholar] [CrossRef]






Disclaimer/Publisher’s Note: The statements, opinions and data contained in all publications are solely those of the individual author(s) and contributor(s) and not of MDPI and/or the editor(s). MDPI and/or the editor(s) disclaim responsibility for any injury to people or property resulting from any ideas, methods, instructions or products referred to in the content. |
© 2026 by the authors. Licensee MDPI, Basel, Switzerland. This article is an open access article distributed under the terms and conditions of the Creative Commons Attribution (CC BY) license.
Share and Cite
Li, P.; Xiong, T.; Yue, J.; Chong, X.; Xu, H.; Wang, Z.; Huang, X. Chrysanthemum CmDOF2 Positively Regulates Salt Tolerance in Transgenic Arabidopsis thaliana. Plants 2026, 15, 936. https://doi.org/10.3390/plants15060936
Li P, Xiong T, Yue J, Chong X, Xu H, Wang Z, Huang X. Chrysanthemum CmDOF2 Positively Regulates Salt Tolerance in Transgenic Arabidopsis thaliana. Plants. 2026; 15(6):936. https://doi.org/10.3390/plants15060936
Chicago/Turabian StyleLi, Peiling, Tingting Xiong, Jianhua Yue, Xinran Chong, Hanbing Xu, Zhiyong Wang, and Xiang Huang. 2026. "Chrysanthemum CmDOF2 Positively Regulates Salt Tolerance in Transgenic Arabidopsis thaliana" Plants 15, no. 6: 936. https://doi.org/10.3390/plants15060936
APA StyleLi, P., Xiong, T., Yue, J., Chong, X., Xu, H., Wang, Z., & Huang, X. (2026). Chrysanthemum CmDOF2 Positively Regulates Salt Tolerance in Transgenic Arabidopsis thaliana. Plants, 15(6), 936. https://doi.org/10.3390/plants15060936

