Soil Stoichiometry-Regulated Microbial Carbon Use Efficiency Between Rhizosphere and Bulk Soils in the Temperate Forests of Northeastern China
Abstract
1. Introduction
2. Results
2.1. Soil C, N, P, Available Nutrients, Microbial Biomass, and Enzymatic Activities
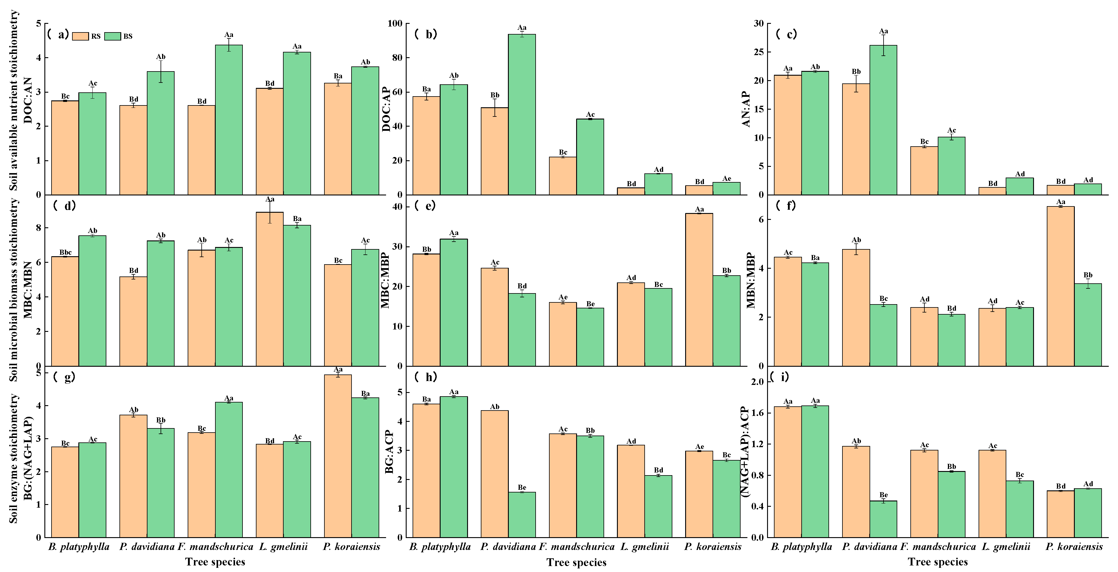
2.2. Soil Stoichiometry and Stoichiometric Imbalances
2.3. TERs and Microbial Carbon Use Efficiency
2.4. Soil Microbial Community Composition
2.5. Effects of Soil Stoichiometry on Microbial Properties
2.6. Responses of Soil Stoichiometry and Microbial Composition to CUE
3. Discussion
4. Materials and Methods
4.1. Study Site
4.2. Experimental Design and Soil Sampling
4.3. Soil Analysis
4.3.1. Chemical Properties Analysis
4.3.2. DNA Extraction and Sequencing Data Processing
4.4. Calculation of Microbial Homeostasis, Threshold Element Ratios, and Carbon Use Efficiency
4.5. Statistical Analysis
5. Conclusions
Supplementary Materials
Author Contributions
Funding
Data Availability Statement
Acknowledgments
Conflicts of Interest
References
- Kumar, S.; Garkoti, S.C. Rhizosphere influence on soil microbial biomass and enzyme activity in banj oak, chir pine and banj oak regeneration forests in the central himalaya. Geoderma 2022, 409, 115626. [Google Scholar] [CrossRef]
- De Feudis, M.; Cardelli, V.; Massaccesi, L.; Hofmann, D.; Berns, A.E.; Bol, R.; Cocco, S.; Corti, G.; Agnelli, A. Altitude affects the quality of the water-extractable organic matter (weom) from rhizosphere and bulk soil in european beech forests. Geoderma 2017, 302, 6–13. [Google Scholar] [CrossRef]
- Kuzyakov, Y.; Blagodatskaya, E. Microbial hotspots and hot moments in soil: Concept & review. Soil Biol. Biochem. 2015, 83, 184–199. [Google Scholar] [CrossRef]
- Turpault, M.P.; Gobran, G.R.; Bonnaud, P. Temporal variations of rhizosphere and bulk soil chemistry in a douglas fir stand. Geoderma 2007, 137, 490–496. [Google Scholar] [CrossRef]
- Jia, W.T.; Huang, P.; Zhu, K.; Gao, X.; Chen, Q.; Chen, J.L.; Ran, Y.G.; Chen, S.S.; Ma, M.H.; Wu, S.J. Zonation of bulk and rhizosphere soil bacterial communities and their covariation patterns along the elevation gradient in riparian zones of three gorges reservoir, China. Environ. Res. 2024, 249, 118383. [Google Scholar] [CrossRef]
- Zhang, W.Y.; Liu, S.; Zhang, M.Y.; Li, Y.N.; Sheng, K.Y.; Xu, Z.H. Phyllostachys edulis (moso bamboo) rhizosphere increasing soil microbial activity rather than biomass. J. Soils Sediments 2019, 19, 2913–2926. [Google Scholar] [CrossRef]
- Herre, M.; Heitkötter, J.; Heinze, S.; Rethemeyer, J.; Preusser, S.; Kandeler, E.; Marschner, B. Differences in organic matter properties and microbial activity between bulk and rhizosphere soil from the top- and subsoils of three forest stands. Geoderma 2022, 409, 115589. [Google Scholar] [CrossRef]
- Sinsabaugh, R.L.; Manzoni, S.; Moorhead, D.L.; Richter, A.; Elser, J. Carbon use efficiency of microbial communities: Stoichiometry, methodology and modelling. Ecol. Lett. 2013, 16, 930–939. [Google Scholar] [CrossRef]
- Feng, X.H.; Qin, S.Q.; Zhang, D.Y.; Chen, P.D.; Hu, J.; Wang, G.Q.; Liu, Y.; Wei, B.; Li, Q.L.; Yang, Y.H.; et al. Nitrogen input enhances microbial carbon use efficiency by altering plant–microbe–mineral interactions. Glob. Change Biol. 2022, 28, 4845–4860. [Google Scholar] [CrossRef]
- Tao, F.; Huang, Y.Y.; Hungate, B.A.; Manzoni, S.; Frey, S.D.; Schmidt, M.W.I.; Reichstein, M.; Carvalhais, N.; Ciais, P.; Jiang, L.; et al. Microbial carbon use efficiency promotes global soil carbon storage. Nature 2023, 618, 981–985. [Google Scholar] [CrossRef]
- Cruz-Paredes, C.; Rousk, J. Controls of microbial carbon use efficiency along a latitudinal gradient across europe. Soil Biol. Biochem. 2024, 193, 109394. [Google Scholar] [CrossRef]
- Li, W.Q.; Huang, Y.X.; Chen, F.S.; Liu, Y.Q.; Lin, X.F.; Zong, Y.Y.; Wu, G.Y.; Yu, Z.R.; Fang, X.M. Mixing with broad-leaved trees shapes the rhizosphere soil fungal communities of coniferous tree species in subtropical forests. For. Ecol. Manag. 2021, 480, 118664. [Google Scholar] [CrossRef]
- Manzoni, S.; Taylor, P.; Richter, A.; Porporato, A.; Ågren, G.I. Environmental and stoichiometric controls on microbial carbon--use efficiency in soils. New Phytol. 2012, 196, 79–91. [Google Scholar] [CrossRef] [PubMed]
- Li, J.Q.; Pei, J.M.; Dijkstra, F.A.; Nie, M.; Pendall, E. Microbial carbon use efficiency, biomass residence time and temperature sensitivity across ecosystems and soil depths. Soil Biol. Biochem. 2021, 154, 108117. [Google Scholar] [CrossRef]
- Yang, X.Y.; Duan, P.P.; Hicks, L.; Wang, K.L.; Li, D.J. Mechanisms underlying the responses of microbial carbon and nitrogen use efficiencies to nitrogen addition are mediated by topography in a subtropical forest. Sci. Total Environ. 2023, 880, 163236. [Google Scholar] [CrossRef]
- Cao, W.; Chen, Y.D.; Jiang, L.M.; Wu, Q.; Zhu, M.H.; Wang, Y.C.; Li, W.J.; Lv, G.H. Ecoenzymatic stoichiometry reveals that increasing altitude exacerbates soil microbial phosphorus limitation in alpine grassland ecosystems in xinjiang. Environ. Res. 2025, 275, 121320. [Google Scholar] [CrossRef]
- Yu, J.; Yang, J.; Qu, L.; Huang, X.; Liu, Y.; Jiang, P.; Wang, C. Soil microbial carbon use efficiency differs between mycorrhizal trees: Insights from substrate stoichiometry and microbial networks. ISME Commun. 2025, 5, yace173. [Google Scholar] [CrossRef]
- Sinsabaugh, R.L.; Turner, B.L.; Talbot, J.M.; Waring, B.G.; Powers, J.S.; Kuske, C.R.; Moorhead, D.L.; Shah, J.J.F. Stoichiometry of microbial carbon use efficiency in soils. Ecol. Monogr. 2016, 86, 172–189. [Google Scholar] [CrossRef]
- Liu, Y.; Ren, Y.; Gao, G.; Ding, G.; Zhang, Y.; Liu, Y. Stoichiometry characteristics of carbon, nitrogen and phosphorus in rhizosphere and non-rhizosphere soils of Pinus sylvestris var. Mongolica forests. Chin. J. Appl. Ecol. 2024, 35, 615–621. [Google Scholar]
- Cui, Y.X.; Fang, L.C.; Guo, X.B.; Wang, X.; Zhang, Y.J.; Li, P.F.; Zhang, X.C. Ecoenzymatic stoichiometry and microbial nutrient limitation in rhizosphere soil in the arid area of the northern loess plateau, China. Soil Biol. Biochem. 2018, 116, 11–21. [Google Scholar] [CrossRef]
- Crowther, T.W.; van den Hoogen, J.; Wan, J.; Mayes, M.A.; Keiser, A.D.; Mo, L.; Averill, C.; Maynard, D.S. The global soil community and its influence on biogeochemistry. Science 2019, 365, eaav0550. [Google Scholar] [CrossRef]
- Lehmann, J.; Kleber, M. The contentious nature of soil organic matter. Nature 2015, 528, 60–68. [Google Scholar] [CrossRef]
- Takriti, M.; Wild, B.; Schnecker, J.; Mooshammer, M.; Knoltsch, A.; Lashchinskiy, N.; Eloy Alves, R.J.; Gentsch, N.; Gittel, A.; Mikutta, R.; et al. Soil organic matter quality exerts a stronger control than stoichiometry on microbial substrate use efficiency along a latitudinal transect. Soil Biol. Biochem. 2018, 121, 212–220. [Google Scholar] [CrossRef]
- Pold, G.; Domeignoz-Horta, L.A.; Morrison, E.W.; Frey, S.D.; Sistla, S.A.; DeAngelis, K.M.; Giovannoni, S.J. Carbon use efficiency and its temperature sensitivity covary in soil bacteria. MBio 2020, 11, e0229319. [Google Scholar] [CrossRef] [PubMed]
- Domeignoz-Horta, L.A.; Pold, G.; Liu, X.-J.A.; Frey, S.D.; Melillo, J.M.; DeAngelis, K.M. Microbial diversity drives carbon use efficiency in a model soil. Nat. Commun. 2020, 11. [Google Scholar] [CrossRef] [PubMed]
- Zhang, K.; Chen, L.; Li, Y.F.; Brookes, P.C.; Xu, J.M.; Luo, Y. Interactive effects of soil ph and substrate quality on microbial utilization. Eur. J. Soil Biol. 2020, 96, 103151. [Google Scholar] [CrossRef]
- Malik, A.A.; Puissant, J.; Buckeridge, K.M.; Goodall, T.; Jehmlich, N.; Chowdhury, S.; Gweon, H.S.; Peyton, J.M.; Mason, K.E.; van Agtmaal, M.; et al. Land use driven change in soil ph affects microbial carbon cycling processes. Nat. Commun. 2018, 9, 3591. [Google Scholar] [CrossRef]
- Griepentrog, M.; Bodé, S.; Boeckx, P.; Hagedorn, F.; Heim, A.; Schmidt, M.W.I. Nitrogen deposition promotes the production of new fungal residues but retards the decomposition of old residues in forest soil fractions. Glob. Change Biol. 2013, 20, 327–340. [Google Scholar] [CrossRef]
- Fan, K.K.; Delgado-Baquerizo, M.; Guo, X.S.; Wang, D.Z.; Wu, Y.Y.; Zhu, M.; Yu, W.; Yao, H.Y.; Zhu, Y.G.; Chu, H.Y. Suppressed n fixation and diazotrophs after four decades of fertilization. Microbiome 2019, 7, 143. [Google Scholar] [CrossRef]
- Wang, C.; Zheng, M.M.; Chen, J.; Shen, R.F. Land-use change has a greater effect on soil diazotrophic community structure than the plant rhizosphere in acidic ferralsols in southern China. Plant Soil 2021, 462, 445–458. [Google Scholar] [CrossRef]
- Zhu, Y.H.; Zhao, B.Q.; Zhu, Z.T.; Jia, B.; Xu, W.Z.; Liu, M.Q.; Gao, L.S.; Gregoire, T.G. The effects of crop tree thinning intensity on the ability of dominant tree species to sequester carbon in a temperate deciduous mixed forest, northeastern China. For. Ecol. Manag. 2022, 505, 119893. [Google Scholar] [CrossRef]
- Sun, Y.; Wang, C.T.; Ruan, H.H. Increased microbial carbon and nitrogen use efficiencies under drought stress in a poplar plantation. For. Ecol. Manag. 2022, 519, 120341. [Google Scholar] [CrossRef]
- Lan, H.Y.; Duan, W.B.; Chen, L.X.; Qu, M.X.; Wang, Y.F.; Yang, X.F.; Meng, S.J.; Chen, J. Composition and fractal features of soil micro-aggregates in microsites of different types of treefall gaps. Chin. J. Appl. Ecol. 2020, 31, 1097–1105. [Google Scholar]
- Meier, I.C.; Pritchard, S.G.; Brzostek, E.R.; McCormack, M.L.; Phillips, R.P. The rhizosphere and hyphosphere differ in their impacts on carbon and nitrogen cycling in forests exposed to elevated CO2. New Phytol. 2014, 205, 1164–1174. [Google Scholar] [CrossRef]
- Dai, X.Q.; Fu, X.L.; Kou, L.; Wang, H.M.; Shock, C.C. C:N:P stoichiometry of rhizosphere soils differed significantly among overstory trees and understory shrubs in plantations in subtropical China. Can. J. For. Res. 2018, 48, 1398–1405. [Google Scholar] [CrossRef]
- Gartner, T.B.; Treseder, K.K.; Malcolm, G.M.; Sinsabaugh, R.L. Extracellular enzyme activity in the mycorrhizospheres of a boreal fire chronosequence. Pedobiologia 2012, 55, 121–127. [Google Scholar] [CrossRef]
- Cui, Y.X.; Bing, H.J.; Fang, L.C.; Wu, Y.H.; Yu, J.L.; Shen, G.T.; Jiang, M.; Wang, X.; Zhang, X.C. Diversity patterns of the rhizosphere and bulk soil microbial communities along an altitudinal gradient in an alpine ecosystem of the eastern tibetan plateau. Geoderma 2019, 338, 118–127. [Google Scholar] [CrossRef]
- Ribbons, R.R.; Del Toro, I.; Smith, A.R.; Healey, J.R.; Vesterdal, L.; McDonald, M.A. Roots and rhizospheric soil microbial community responses to tree species mixtures. Appl. Soil Ecol. 2022, 176, 104509. [Google Scholar] [CrossRef]
- Bai, Y.X.; Wei, H.; Ming, A.G.; Shu, W.W.; Shen, W.J. Tree species mixing begets admixture of soil microbial communities: Variations along bulk soil, rhizosphere soil and root tissue. Geoderma 2023, 438, 116638. [Google Scholar] [CrossRef]
- Carrillo, Y.; Bell, C.; Koyama, A.; Canarini, A.; Boot, C.M.; Wallenstein, M.; Pendall, E.; de Vries, F. Plant traits, stoichiometry and microbes as drivers of decomposition in the rhizosphere in a temperate grassland. J. Ecol. 2017, 105, 1750–1765. [Google Scholar] [CrossRef]
- Qi, D.D.; Feng, F.J.; Lu, C.; Fu, Y.M. C:N:P stoichiometry of different soil components after the transition of temperate primary coniferous and broad-leaved mixed forests to secondary forests. Soil Tillage Res. 2022, 216, 105260. [Google Scholar] [CrossRef]
- Sinsabaugh, R.L.; Hill, B.H.; Follstad Shah, J.J. Ecoenzymatic stoichiometry of microbial organic nutrient acquisition in soil and sediment. Nature 2009, 462, 795–798. [Google Scholar] [CrossRef] [PubMed]
- He, Q.; Wu, Y.; Bing, H.; Zhou, J.; Wang, J. Vegetation type rather than climate modulates the variation in soil enzyme activities and stoichiometry in subalpine forests in the eastern tibetan plateau. Geoderma 2020, 374, 114424. [Google Scholar] [CrossRef]
- Manzoni, S. Flexible carbon-use efficiency across litter types and during decomposition partly compensates nutrient imbalances—Results from analytical stoichiometric models. Front. Microbiol. 2017, 8, 661. [Google Scholar] [CrossRef]
- Zhang, Z.H.; Gong, J.R.; Song, L.Y.; Zhang, S.Q.; Zhang, W.Y.; Dong, J.J.; Liu, C.; Dong, X.D.; Hu, Y.X.; Liu, Y.Y. Adaptations of soil microbes to stoichiometric imbalances in regulating their carbon use efficiency under a range of different grazing intensities. Appl. Soil Ecol. 2024, 193, 105141. [Google Scholar] [CrossRef]
- Malik, A.A.; Martiny, J.B.H.; Brodie, E.L.; Martiny, A.C.; Treseder, K.K.; Allison, S.D. Defining trait-based microbial strategies with consequences for soil carbon cycling under climate change. ISME J. 2020, 14, 1–9. [Google Scholar] [CrossRef]
- Zhang, W.; You, Y.M.; Su, X.Y.; Yan, J.L.; Gao, G.N.; Ming, A.G.; Shen, W.J.; Huang, X.M. Introducing n2-fixing tree species into eucalyptus plantations promotes soil organic carbon sequestration in aggregates by increasing microbial carbon use efficiency. Catena 2023, 231, 107321. [Google Scholar] [CrossRef]
- Zhong, Z.K.; Li, W.J.; Lu, X.Q.; Gu, Y.Q.; Wu, S.J.; Shen, Z.Y.; Han, X.H.; Yang, G.H.; Ren, C.J. Adaptive pathways of soil microorganisms to stoichiometric imbalances regulate microbial respiration following afforestation in the loess plateau, China. Soil Biol. Biochem. 2020, 151, 108048. [Google Scholar] [CrossRef]
- Spohn, M. Element cycling as driven by stoichiometric homeostasis of soil microorganisms. Basic Appl. Ecol. 2016, 17, 471–478. [Google Scholar] [CrossRef]
- Zeng, Q.; Zhang, Q.; Mei, K.; Feng, J.; Yuan, X.; Liu, Y.; Xu, M.; Sun, H.; Zhu, B.; Chen, Y. Increasing phosphorus availability reduces priming effect by facilitating microbial carbon use efficiency in a subtropical forest soil. Biol. Fertil. Soils 2025, 61, 909–923. [Google Scholar] [CrossRef]
- Sterner, R.W.; Elser, J.J. Ecological Stoichiometry: The Biology of Elements from Molecules to the Biosphere; Princeton University Press: Princeton, NJ, USA, 2002. [Google Scholar]
- Ren, C.J.; Zhou, Z.H.; Guo, Y.X.; Yang, G.H.; Zhao, F.Z.; Wei, G.H.; Han, X.H.; Feng, L.; Feng, Y.Z.; Ren, G.X. Contrasting patterns of microbial community and enzyme activity between rhizosphere and bulk soil along an elevation gradient. Catena 2021, 196, 104921. [Google Scholar] [CrossRef]
- Pascual, J.; Blanco, S.; Ramos, J.L.; van Dillewijn, P. Responses of bulk and rhizosphere soil microbial communities to thermoclimatic changes in a mediterranean ecosystem. Soil Biol. Biochem. 2018, 118, 130–144. [Google Scholar] [CrossRef]
- Zhang, C.P.; Li, Q.; Feng, R.Q.; Zhang, Z.H.; Yang, Y.F.; Liu, J. C:N:P stoichiometry of plant-soil-microbe in the secondary succession of zokor-made mounds on Qinghai-Tibet plateau. Environ. Res. 2023, 222, 115333. [Google Scholar] [CrossRef] [PubMed]
- Sun, H.; Terhonen, E.; Kovalchuk, A.; Tuovila, H.; Chen, H.; Oghenekaro, A.O.; Heinonsalo, J.; Kohler, A.; Kasanen, R.; Vasander, H.; et al. Dominant tree species and soil type affect the fungal community structure in a boreal peatland forest. Appl. Environ. Microbiol. 2016, 82, 2632–2643. [Google Scholar] [CrossRef] [PubMed]
- Zheng, Q.; Hu, Y.T.; Zhang, S.S.; Noll, L.; Böckle, T.; Richter, A.; Wanek, W. Growth explains microbial carbon use efficiency across soils differing in land use and geology. Soil Biol. Biochem. 2019, 128, 45–55. [Google Scholar] [CrossRef]
- Nielsen, U.N.; Ayres, E.; Wall, D.H.; Bardgett, R.D. Soil biodiversity and carbon cycling: A review and synthesis of studies examining diversity–function relationships. Eur. J. Soil Sci. 2010, 62, 105–116. [Google Scholar] [CrossRef]
- Song, Y.H.; Yang, H.; Huang, D.C.; Yan, C.L.; Kang, H.B.; Qi, H.Y.; Yu, H.; Wang, D.X. Thinning intensity inhibits microbial metabolic limitation and promotes microbial carbon use efficiency in natural secondary forests in the qinling mountains. For. Ecol. Manag. 2024, 560, 121812. [Google Scholar] [CrossRef]
- Duan, B.; Xiao, R.; Cai, T.; Man, X.; Ge, Z.; Gao, M.; Mencuccini, M. Understory species composition mediates soil greenhouse gas fluxes by affecting bacterial community diversity in boreal forests. Front. Microbiol. 2023, 13, 1090169. [Google Scholar] [CrossRef]
- Shi, J.; Deng, L.; Yang, L.; Dong, Y.; Liao, Y.; Li, J.; Liu, Y.; Ren, C.; Yang, F.; Shangguan, Z.; et al. Deciphering microbial drivers of soil organic matter mineralization in surface and subsurface soil during long-term vegetation succession. Agric. Ecosyst. Environ. 2024, 374, 109186. [Google Scholar] [CrossRef]
- Xiao, R.; Duan, B.; Dai, C.; Wu, Y. Soil enzyme activities and microbial nutrient limitation of various temperate forest types in northeastern China. Forests 2024, 15, 1815. [Google Scholar] [CrossRef]
- Li, J.; Yuan, X.; Ge, L.; Li, Q.; Li, Z.; Wang, L.; Liu, Y. Rhizosphere effects promote soil aggregate stability and associated organic carbon sequestration in rocky areas of desertification. Agric. Ecosyst. Environ. 2020, 304, 107126. [Google Scholar] [CrossRef]
- Ivanov, K.; Zaprjanova, P.; Petkova, M.; Stefanova, V.; Kmetov, V.; Georgieva, D.; Angelova, V. Comparison of inductively coupled plasma mass spectrometry and colorimetric determination of total and extractable phosphorus in soils. Spectrochim. Acta Part B At. Spectrosc. 2012, 71–72, 117–122. [Google Scholar] [CrossRef]
- Brookes, P.C.; Landman, A.; Pruden, G.; Jenkinson, D.S. Chloroform fumigation and the release of soil nitrogen: A rapid direct extraction method to measure microbial biomass nitrogen in soil. Soil Biol. Biochem. 1985, 17, 837–842. [Google Scholar] [CrossRef]
- Pan, Y.; Tang, H.; Fang, F.; Ma, Y.; Chen, Z. Is elemental stoichiometry (c, n, p) of soil and soil microbial biomass influenced by management modes and soil depth in agro-pastoral transitional zone of northern China? J. Soils Sediments 2022, 23, 32–48. [Google Scholar] [CrossRef]
- Verchot, L.; Borelli, T. Application of -nitrophenol (np) enzyme assays in degraded tropical soils. Soil Biol. Biochem. 2005, 37, 625–633. [Google Scholar] [CrossRef]
- Li, J.; Sang, C.; Yang, J.; Qu, L.; Xia, Z.; Sun, H.; Jiang, P.; Wang, X.; He, H.; Wang, C. Stoichiometric imbalance and microbial community regulate microbial elements use efficiencies under nitrogen addition. Soil Biol. Biochem. 2021, 156, 108207. [Google Scholar] [CrossRef]
- Cui, Y.X.; Wang, X.; Zhang, X.C.; Ju, W.L.; Duan, C.J.; Guo, X.B.; Wang, Y.Q.; Fang, L.C. Soil moisture mediates microbial carbon and phosphorus metabolism during vegetation succession in a semiarid region. Soil Biol. Biochem. 2020, 147, 107814. [Google Scholar] [CrossRef]
- Wang, X.L.; Gong, X.W.; Li, X.Y.; Sun, S.T.; Dang, K.; Feng, B.L. Microbial nutrient limitation in rhizosphere soils of different food crop families: Evidence from ecoenzymatic stoichiometry. Land Degrad. Dev. 2022, 34, 1019–1034. [Google Scholar] [CrossRef]







| Soil Parameters | Soil Positions | B. platyphylla | P. davidiana | F. mandschurica | L. gmelinii | P. koraiensis |
|---|---|---|---|---|---|---|
| DOC (mg.kg−1) | RS | 314.0 ± 14.8 Aa | 255.5 ± 6.9 Ab | 266.2 ± 8.4 Ab | 194.1 ± 8.0 Ac | 296.6 ± 13.7 Aa |
| BS | 140.4 ± 4.9 Bc | 153.3 ± 4.7 Bb | 140.0 ± 3.6 Bc | 107.3 ± 4.9 Bd | 188.6 ± 10.3 Ba | |
| AN (mg.kg−1) | RS | 114.6 ± 6.3 Aa | 98.1 ± 5.1 Abc | 102.0 ± 3.4 Ab | 62.4 ± 2.0 Ad | 91.1 ± 6.8 Ac |
| BS | 47.3 ± 4.3 Bab | 42.9 ± 5.1 Bb | 32.1 ± 2.2 Bc | 25.8 ± 1.5 Bd | 50.4 ± 2.5 Ba | |
| AP (mg.kg−1) | RS | 5.5 ± 0.5 Ad | 5.1 ± 0.6 Ad | 12.1 ± 0.7 Ac | 48.1 ± 1.0 Ab | 55.5 ± 2.6 Aa |
| BS | 2.2 ± 0.2 Bd | 1.7 ± 0.1 Be | 3.2 ± 0.1 Bc | 8.7 ± 0.6 Bb | 26.2 ± 1.1 Ba | |
| MBC (mg.kg−1) | RS | 1546.1 ± 55.2 Aa | 1300.6 ± 50.8 Ab | 633.1 ± 32.8 Ad | 536.8 ± 10.6 Ae | 922.6 ± 37.1 Ac |
| BS | 1376.0 ± 26.2 Ba | 654.4 ± 11.7 Bb | 532.0 ± 21.6 Bc | 449.7 ± 20.3 Be | 491.7 ± 19.4 Bd | |
| MBN (mg.kg−1) | RS | 244.4 ± 9.7 Aa | 252.1 ± 16.5 Aa | 94.9 ± 10.3 Ac | 60.7 ± 5.5 Ad | 156.9 ± 6.7 Ab |
| BS | 182.6 ± 5.4 Ba | 90.4 ± 3.0 Bb | 77.7 ± 5.5 Bc | 55.3 ± 3.5 Bd | 73.1 ± 6.2 Bc | |
| MBP (mg.kg−1) | RS | 54.9 ± 1.6 Aa | 52.8 ± 1.0 Aa | 39.6 ± 1.2 Ab | 25.6 ± 0.8 Ac | 24.1 ± 0.9 Ac |
| BS | 43.2 ± 1.7 Ba | 36.0 ± 2.4 Bb | 36.5 ± 1.3 Bb | 23.0 ± 1.0 Bc | 21.6 ± 0.6 Bc | |
| BG (nmol.g−1.h−1) | RS | 1601.6 ± 32.7 Aa | 1641.8 ± 32.6 Aa | 1349.5 ± 22.6 Ab | 1232.7 ± 23.3 Ac | 1270.2 ± 11.8 Ac |
| BS | 1295.1 ± 26.5 Ba | 441.7 ± 8.7 Be | 602.0 ± 17.2 Bc | 525.5 ± 13.7 Bd | 1066.2 ± 24.9 Bb | |
| NAG + LAP (nmol.g−1.h−1) | RS | 583.3 ± 13.9 Aa | 440.9 ± 15.4 Ab | 423.3 ± 10.4 Ab | 435.8 ± 9.7 Ab | 257.1 ± 6.2 Ac |
| BS | 450.4 ± 7.5 Ba | 133.7 ± 9.0 Be | 146.4 ± 3.3 Bd | 180.6 ± 7.8 Bc | 251.4 ± 4.0 Ab | |
| ACP (nmol.g−1.h−1) | RS | 348.1 ± 4.6 Ad | 375.6 ± 7.6 Ac | 377.7 ± 3.4 Abc | 387.6 ± 6.5 Ab | 426.3 ± 6.7 Aa |
| BS | 267.1 ± 7.5 Bc | 282.0 ± 1.1 Bb | 171.9 ± 2.4 Be | 245.7 ± 1.4 Bd | 400.4 ± 2.8 Ba | |
| SOC | RS | 93.2 ± 7.3 Ab | 95.4 ± 6.0 Ab | 72.4 ± 6.4 Ac | 56.2 ± 4.8 Ad | 129.5 ± 9.0 Aa |
| (g.kg−1) | BS | 40.7 ± 3.6 Bb | 23.8 ± 2.2 Bd | 29.2 ± 1.9 Bc | 24.3 ± 3.5 Bcd | 68.4 ± 5.8 Ba |
| TN | RS | 6.2 ± 0.5 Aa | 6.0 ± 0.3 Aa | 5.6 ± 0.2 Ab | 3.3 ± 0.2 Ac | 6.7 ± 0.5 Aa |
| (g.kg−1) | BS | 2.9 ± 0.2 Bb | 2.0 ± 0.1 Bc | 2.2 ± 0.1 Bc | 2.2 ± 0.1 Bc | 5.3 ± 0.2 Ba |
| TP | RS | 0.6 ± 0.0 Ac | 0.57 ± 0.0 Ac | 0.8 ± 0.0 Ab | 0.8 ± 0.0 Ab | 1.3 ± 0.1 Aa |
| (g.kg−1) | BS | 0.5 ± 0.0 Bc | 0.3 ± 0.0 Be | 0.4 ± 0.0 Bd | 0.6 ± 0.0 Bb | 0.8 ± 0.00 Ba |
| Soil Parameters | Soil Positions | B. platyphylla | P. davidiana | F. mandschurica | L. gmelinii | P. koraiensis |
|---|---|---|---|---|---|---|
| Microbial CUE | RS | 0.22 ± 0.01 Ad | 0.20 ± 0.01 Ad | 0.25 ± 0.02 Ac | 0.43 ± 0.01 Aa | 0.36 ± 0.01 Ab |
| BS | 0.19 ± 0.01 Bc | 0.18 ± 0.01 Bd | 0.16 ± 0.01 Be | 0.35 ± 0.01 Ba | 0.33 ± 0.01 Ba |
| Soil Parameters | Soil Positions | B. platyphylla | P. davidiana | F. mandschurica | L. gmelinii | P. koraiensis |
|---|---|---|---|---|---|---|
| Bacterial Shannon index | RS | 7.25 ± 0.20 Aa | 6.94 ± 0.12 Ab | 7.30 ± 0.05 Aa | 7.19 ± 0.07 Aa | 7.13 ± 0.02 Ab |
| BS | 6.88 ± 0.04 Bb | 6.79 ± 0.07 Bc | 6.63 ± 0.02 Bc | 7.05 ± 0.03 Ba | 6.88 ± 0.05 Bb | |
| Fungal Shannon index | RS | 4.77 ± 0.20 Aa | 4.36 ± 0.59 Ab | 4.07 ± 0.22 Ab | 4.74 ± 0.07 Aa | 4.78 ± 0.05 Aa |
| BS | 4.26 ± 0.07 Ba | 3.28 ± 0.04 Bd | 3.89 ± 0.13 Bc | 4.37 ± 0.04 Ba | 4.12 ± 0.03 Bb | |
| Fungi-to-bacteria ratio | RS | 0.98 ± 0.07 Ab | 1.04 ± 0.07 Aab | 1.03 ± 0.03 Bab | 1.10 ± 0.06 Ba | 1.09 ± 0.01 Aa |
| BS | 1.05 ± 0.08 Ab | 0.99 ± 0.04 Ab | 1.14 ± 0.02 Aa | 1.19 ± 0.03 Aa | 0.99 ± 0.01 Bb |
| Forest Types | B. platyphylla | P. davidiana | F. mandschurica | L. gmelinii | P. koraiensis |
|---|---|---|---|---|---|
| Stand age | 53 | 55 | 47 | 50 | 58 |
| Elevation (m) | 305 ± 5 | 307 ± 3 | 305 ± 4 | 314 ± 4 | 307 ± 2 |
| DBH (cm) | 15.30 ± 5.41 | 12.78 ± 4.03 | 12.34 ± 3.2 | 14.48 ± 4.40 | 26.66 ± 4.75 |
| Tree Height (m) | 10.58 ± 0.53 | 9.60 ± 1.04 | 9.97 ± 0.84 | 11.42 ± 1.05 | 10.80 ± 1.12 |
| Soil pH | 6.06 ± 0.10 | 6.10 ± 0.05 | 6.35 ± 0.11 | 6.00 ± 0.04 | 6.20 ± 0.20 |
| Soil bulk density (mg.kg−3) | 1.09 ± 0.20 | 1.13 ± 0.20 | 0.93 ± 0.27 | 0.98 ± 0.04 | 0.87 ± 0.11 |
| Definitions | Abbreviations |
|---|---|
| Carbon | C |
| Rhizosphere soil | RS |
| Bulk soil | BS |
| Microbial carbon use efficiency | CUE |
| Betula platyphylla Suk. forest | B. platyphylla |
| Fraxinus mandschurica Rupr. forest | F. mandschurica |
| Populus davidiana Dode. forest | P. davidiana |
| Larix gmelinii (Rupr.) Kuzen. forest | L. gmelinii |
| Pinus koraiensis Siebold et Zucc. forest | P. koraiensis |
| the average diameter at breast height | DBH |
| Soil water content | SWC |
| Soil organic carbon | SOC |
| Soil total nitrogen | TN |
| Soil total phosphorus | TP |
| Dissolved organic carbon | DOC |
| Dissolved organic nitrogen | DON |
| Soil available nitrogen | AN |
| Soil available phosphorus | AP |
| Soil microbial biomass carbon, | MBC |
| Soil microbial biomass nitrogen | MBN |
| Soil microbial biomass phosphorus | MBP |
| β-1,4-glucosidase | BG |
| β-1,4-N-acetylglucosaminidase | NAG |
| leucine aminopeptidase | LAP |
| Acid phosphatase | ACP |
| The threshold element ratios | TERs |
| Two-way analysis of variance | ANOVA |
| Non-metric multidimensional scaling | NMDS |
| Redundancy analysis | RDA |
| Structural equation models | SEM |
| Principal Component Analysis | PCA |
Disclaimer/Publisher’s Note: The statements, opinions and data contained in all publications are solely those of the individual author(s) and contributor(s) and not of MDPI and/or the editor(s). MDPI and/or the editor(s) disclaim responsibility for any injury to people or property resulting from any ideas, methods, instructions or products referred to in the content. |
© 2026 by the authors. Licensee MDPI, Basel, Switzerland. This article is an open access article distributed under the terms and conditions of the Creative Commons Attribution (CC BY) license.
Share and Cite
Duan, B.; Xiao, R. Soil Stoichiometry-Regulated Microbial Carbon Use Efficiency Between Rhizosphere and Bulk Soils in the Temperate Forests of Northeastern China. Plants 2026, 15, 652. https://doi.org/10.3390/plants15040652
Duan B, Xiao R. Soil Stoichiometry-Regulated Microbial Carbon Use Efficiency Between Rhizosphere and Bulk Soils in the Temperate Forests of Northeastern China. Plants. 2026; 15(4):652. https://doi.org/10.3390/plants15040652
Chicago/Turabian StyleDuan, Beixing, and Ruihan Xiao. 2026. "Soil Stoichiometry-Regulated Microbial Carbon Use Efficiency Between Rhizosphere and Bulk Soils in the Temperate Forests of Northeastern China" Plants 15, no. 4: 652. https://doi.org/10.3390/plants15040652
APA StyleDuan, B., & Xiao, R. (2026). Soil Stoichiometry-Regulated Microbial Carbon Use Efficiency Between Rhizosphere and Bulk Soils in the Temperate Forests of Northeastern China. Plants, 15(4), 652. https://doi.org/10.3390/plants15040652
