Unveiling the Physiological Basis of Cold Tolerance in Maize: Root Architecture, Photosynthetic Stability, and POD-Mediated Defense Under Delayed Chilling Stress
Abstract
1. Introduction
2. Results
2.1. Degree of Delayed Chilling Stress During the Maize Growth Period
2.2. Effect of Delayed Chilling Stress on Maize Germination
2.3. Effect of Delayed Chilling Stress on Emergence of Maize
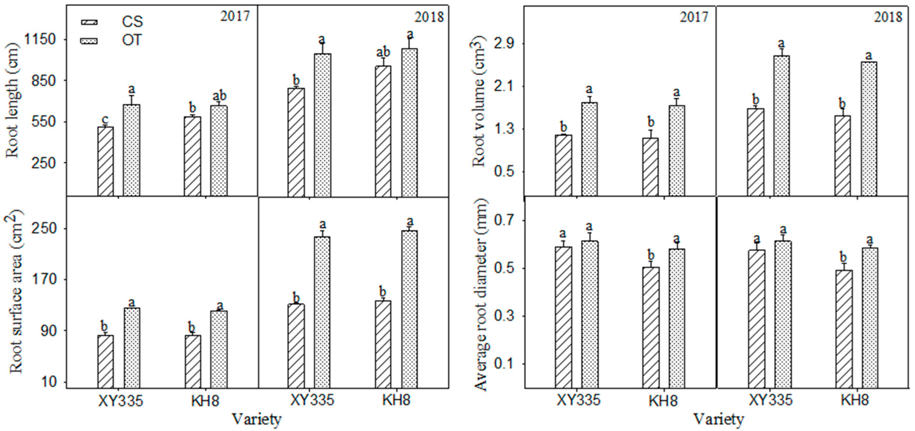
2.4. Effect of Delayed Chilling Stress on Maize Root Growth
2.5. Effect of Delayed Chilling Stress on Maize Leaf Growth
2.6. Effects of Delayed Chilling Stress on Leaf Photosynthesis of Maize
2.7. Effects of Delayed Chilling Stress on Antioxidant Defense System of Maize
2.8. Effects of Delayed Chilling Stress on Dry Matter Accumulation and Yield of Maize
3. Discussion
3.1. Germination and Seedling Establishment Under Chilling Stress
3.2. Root Architectural Plasticity as an Adaptive Trait
3.3. Leaf Growth Dynamics and the “Standby Mode”
3.4. Photosynthetic Stability and Chloroplast Function
3.5. Antioxidant Defense and the Strong Association of POD Activity with Stress Tolerance
4. Materials and Methods
4.1. Experimental Site
4.2. Experimental Design
4.3. Sampling Procedures
4.4. Data Analysis
5. Conclusions
- (1)
- Root Morphology Plasticity: Shortening root length to maintain root diameter and absorption activity, ensuring shoot dry matter accumulation.
- (2)
- Photosynthetic Stability: Maintaining higher chlorophyll content, PSII efficiency (Fv/Fm), and photosynthetic carbon assimilation capacity, supported by stable carbon/nitrogen metabolism.
- (3)
- Growth Strategy: Employing a “standby mode” during stress followed by compensatory leaf growth acceleration upon temperature recovery.
- (4)
- Robust Antioxidant Defense: Possessing a highly active antioxidant system, in which POD activity showed the strongest negative correlation with oxidative damage (MDA content), thereby effectively mitigating membrane lipid peroxidation.
Author Contributions
Funding
Data Availability Statement
Acknowledgments
Conflicts of Interest
References
- Sommer, M.L.; Zhou, Y.; Hochholdinger, F. Differential cold stress intensities drive unique morphological and transcriptomic changes in Zea mays root hairs. BMC Genom. 2025, 26, 805. [Google Scholar] [CrossRef] [PubMed]
- Božić, M.; Ignjatović Micić, D.; Delić, N.; Nikolić, A. Maize miRNAs and their putative target genes involved in chilling stress response in 5-Day old seedlings. BMC Genom. 2024, 25, 479. [Google Scholar] [CrossRef]
- Wang, T.; Wu, Z.; Chen, J.; Li, F.; Lv, G. The effects of chilling on antioxidant enzyme system and related gene expression levels in sweet corn seeds with different germination characteristics. Agric. For. Fish. 2024, 13, 224–234. [Google Scholar] [CrossRef]
- Yan, M.; Li, F.; Sun, Q.; Zhao, J.; Ma, Y. Identification of chilling-tolerant genes in maize via bulked segregant analysis sequencing. Environ. Exp. Bot. 2023, 208, 105234. [Google Scholar] [CrossRef]
- Ma, Y.; Yao, L.; Zhang, L.; Su, A.; Wang, R.; Song, W.; Li, Z.; Zhao, J. Genome-wide association analysis of chilling-tolerant germination in a new maize association mapping panel. Food Energy Secur. 2023, 12, e445. [Google Scholar] [CrossRef]
- Zhang, Z.W. Identification of Maize Cold Tolerance and Its Regulation Effect. M.D. Dissertation, Heilongjiang University, Harbin, China, March 2016. [Google Scholar]
- Li, B.; Fang, Z.J. Screening of low-temperature tolerance maize inbred lines and analysis of leaf physiological characteristics and cellular structure changes. J. Henan Agric. Sci. 2018, 47, 31–37. [Google Scholar] [CrossRef]
- He, R.Y.; Zheng, J.J.; Chen, Y.; Pan, Z.Y.; Yang, T.; Zhou, Y.; Li, X.F.; Nan, X.; Li, Y.Z.; Cheng, M.J. QTL-seq and transcriptomic integrative analyses reveal two positively regulated genes that control the low-temperature germination ability of MTP–maize introgression lines. Theor. Appl. Genet. 2023, 136, 116. [Google Scholar] [CrossRef]
- Lu, Y.; Li, Y.; Peng, Q.; Sun, X.; Yang, Q.; Song, Z.; Tian, F.; Yan, Y.; Liu, M. Enhancing maize seed resistance to chilling stress through seed germination and surface morphological changes using high voltage electrostatic field. Sci. Rep. 2025, 15, 3972. [Google Scholar] [CrossRef]
- Zhang, Y. Alleviative Effects and Its Mechanism of Exogenous Spermidine on Tomato Seedlings Under Salinity-Alkalinity Mixed Stress. Ph.D. Thesis, Northwest Agricultural and Forestry University, Yangling, China, April 2013. [Google Scholar]
- Wang, S.W.; Ma, S.Q.; Chen, L.; Wang, Q.; Huang, J.B. Chilling Damage; China Meteorological Press: Beijing, China, 2009; pp. 23–44. [Google Scholar]
- Hund, A.; Richner, W.; Soldati, A.; Fracheboud, Y.; Stamp, P. Root morphology and photosynthetic performance of maize inbred lines at low temperature. Eur. J. Agron. 2007, 27, 52–61. [Google Scholar] [CrossRef]
- Farooq, M.; Aziz, T.; Wahid, A.; Lee, D.; Siddique, K.H.M. Chilling tolerance in maize: Agronomic and physiological approaches. Crop Pasture Sci. 2009, 60, 501–516. [Google Scholar] [CrossRef]
- Chen, S.; Long, L.; Sun, X.; Parsons, D.; Zhou, Z. Responsive root traits and mitigating strategies for wheat production under single or combined abiotic stress. Eur. J. Agron. 2025, 162, 127393. [Google Scholar] [CrossRef]
- Shomo, Z.D.; Li, F.; Smith, C.N.; Edmonds, S.R.; Roston, R.L. From sensing to acclimation: The role of membrane lipid remodeling in plant responses to low temperatures. Plant Physiol. 2024, 196, 1737–1757. [Google Scholar] [CrossRef] [PubMed]
- Chen, X.Y.; Liu, P.; Cheng, Y.; Dong, S.; Zhang, J.W.; Zhao, B.; Ren, B.C. Effects of phosphorus fertilizer application depths on root distribution and phosphorus uptake and utilization efficiencies of summer maize under subsoiling tillage. Acta Agron. Sin. 2019, 45, 1565–1575. [Google Scholar] [CrossRef]
- Giauffret, C.; Bonhomme, R.; Derieux, M. Genotypic differences for temperature response of leaf appearance rate and leaf elongation rate in field-grown maize. Agronomie 1995, 15, 123–137. [Google Scholar] [CrossRef]
- Blacklow, W.M. Influence of temperature on germination and elongation of the radicle and shoot of corn (Zea mays L.). Crop Sci. 1972, 12, 647–650. [Google Scholar] [CrossRef]
- Riva-Roveda, L.; Escobar, B.; Giauffret, C.; Perilleux, C. Maize plants can enter a standby mode to cope with chilling stress. BMC Plant Biol. 2016, 16, 212. [Google Scholar] [CrossRef]
- Lainé, C.M.S.; AbdElgawad, H.; Beemster, G.T.S. Cellular dynamics in the maize leaf growth zone during recovery from chilling depends on the leaf developmental stage. Plant Cell Rep. 2024, 43, 38. [Google Scholar] [CrossRef]
- Ogawa, A.; Yamauchi, A. Root osmotic adjustment under osmotic stress in maize seedlings 2. Mode of accumulation of several solutes for osmotic adjustment in the root. Plant Prod. Sci. 2007, 9, 39–46. [Google Scholar] [CrossRef]
- Theocharis, A.; Clément, C.; Barka, E.A. Physiological and molecular changes in plants grown at low temperatures. Planta 2012, 235, 1091–1105. [Google Scholar] [CrossRef]
- Bilska, A.; Sowinski, P. Closure of plasmodesmata in maize (Zea mays) at low temperature: A new mechanism for inhibition of photosynthesis. Ann. Bot. 2010, 106, 675–686. [Google Scholar] [CrossRef]
- Liu, Y.F.; Qi, M.F.; Li, T.L. Photosynthesis, photoinhibition and antioxidant system in tomato leaves stressed by low night temperature and their subsequent recovery. Plant Sci. 2012, 196, 8–17. [Google Scholar] [CrossRef]
- Zhang, G.; Liu, Y.; Ni, Y.; Meng, Z.; Lu, T.; Li, T. Exogenous calcium alleviates low night temperature stress on the photosynthetic apparatus of tomato leaves. PLoS ONE 2014, 9, e97322. [Google Scholar] [CrossRef] [PubMed]
- Farquhar, G.D.; Sharkey, T.D. Stomatal conductance and photosynthesis. Annu. Rev. Plant Physiol. 1982, 33, 317–345. [Google Scholar] [CrossRef]
- Kao, W.; Shih, C.; Tsai, T. Sensitivity to chilling temperatures and distribution differ in the mangrove species Kandelia candel and Avicennia marina. Tree Physiol. 2004, 24, 859–864. [Google Scholar] [CrossRef]
- Yang, M.S.; Wang, Y.F.; Gan, X.X.; Luo, H.; Zhang, Y.; Zhang, W. Effects of exogenous nitric oxide on growth, antioxidant system and photosynthetic characteristics in seedling of cotton cultivar under chilling injury stress. Sci. Agric. Sin. 2012, 45, 3058–3067. [Google Scholar] [CrossRef]
- Han, M.; Cao, B.L.; Liu, S.S.; Xu, K. Effects of rootstock and scion interaction on photosynthesis and nitrogen Metabolism of grafted tomato seedlings leaves under low temperature stress. Acta Hortic. Sin. 2018, 45, 897–907. [Google Scholar] [CrossRef]
- Leipner, J. Chilling Stress in Maize from Physiology to Genetics and Molecular Mechanisms. Ph.D. Thesis, Swiss Federal Institute of Technology in Zurich, Zürich, Switzerland, 2009. [Google Scholar]
- Han, Q.H. Effect of Low Temperature Stress on Chlorophyll Biosynthesis and Chloroplast Development of Rice (Oryza sativa L.) Seedlings. M.D. Dissertation, Sichuan Agricultural University, Ya’an, China, May 2017. [Google Scholar]
- Qin, Y.; Ding, H.; Zhao, H.; Zheng, X.; Wang, J.; Xiao, Z.; Wang, Y.; Wang, H.; Liu, Y.; Gong, D. A starch phosphorylase, ZmPHOH, improves photosynthetic recovery from short-term cold exposure in maize. Int. J. Mol. Sci. 2025, 26, 1727. [Google Scholar] [CrossRef]
- Gu, J.; Liu, P.; Nie, W.; Wang, Z.; Cui, X.; Fu, H.; Wang, F.; Qi, M.; Sun, Z.; Li, T.; et al. Abscisic acid alleviates photosynthetic damage in the tomato ABA-deficient mutant sitiens and protects photosystem II from damage via the WRKY22–PsbA complex under low-temperature stress. J. Integr. Agric. 2025, 24, 546–563. [Google Scholar] [CrossRef]
- You, D.L. Effect of Exogenous Spermidine on Physiology and Polyamine Metabolism of Maize (Zea mays L.) Seedlings Under Waterlogging Stress. M.D. Dissertation, Henan Agricultural University, Zhengzhou, China, June 2016. [Google Scholar]
- Ma, Y.; Tan, R.; Zhao, J. Chilling Tolerance in Maize: Insights into Advances—Toward Physio-Biochemical Responses’ and QTL/Genes’ Identification. Plants 2022, 11, 2082. [Google Scholar] [CrossRef]
- Singh, A.; Satheeshkumar, P.K. Reactive oxygen species (ROS) and ROS scavengers in plant abiotic stress response. In Stress Biology in Photosynthetic Organisms; Mishra, A.K., Ed.; Springer: Singapore, 2024. [Google Scholar] [CrossRef]
- Liu, M.; Liu, M.; Wu, X.; Li, M.; Li, S.; Xiong, T.; Li, C.; Li, C.; Tang, Y.; Tang, Y. Multi-omics analysis reveals the physiological and molecular response to cold stress in different spring wheat cultivars at the booting stage. Front. Plant Sci. 2025, 16, 1594676. [Google Scholar] [CrossRef] [PubMed]





| Year | Treatment | Emergence → 7-Leaf | Tasseling | Silking | Maturity |
|---|---|---|---|---|---|
| 2017 | CS | −2.1 | 39 | 42.2 | 94.7 |
| 2018 | CS | −2.5 | 35.4 | 38.8 | 89.9 |
| Chilling stress grade [1] | Slight | −1.5~−2.0 | −1.6~−2.4 | −1.8~−2.5 | −3~−4.3 |
| Severe | <−2.0 | <−2.4 | <−2.5 | <−4 |
| Treatment | Variety | Germination Percent (%) | Germination Index | Germination Potential (%) | Coleoptile Length (mm) | Seed Vigor Index |
|---|---|---|---|---|---|---|
| NT | XY335 | 85.5 a | 7.6 a | 72.7 a | 13.6 a | 103.4 a |
| KH8 | 85.1 a | 6.3 a | 54.9 a | 13.1 a | 82.8 a | |
| LT | XY335 | 66.1 a | 2.5 b | 0.0 b | 3.7 b | 9.2 b |
| KH8 | 27.0 b | 1.1 b | 0.0 b | 4.3 b | 4.6 b | |
| Difference (NT-LT) | XY335 | 19.4 | 5.1 | 72.7 | 9.9 | 94.2 |
| KH8 | 58.1 | 5.2 | 54.9 | 8.8 | 78.2 |
| Year | Treatment | Variety | Emergence Percentage (%) | Emergence Index | Seedling Uniformity |
|---|---|---|---|---|---|
| 2017 | OT | XY335 | 99.4 a | 14.3 a | 76.6 a |
| KH8 | 96.3 a | 13.3 a | 50.8 b | ||
| CS | XY335 | 96.3 a | 9.9 b | 42.5 c | |
| KH8 | 83.3 b | 8.7 b | 12.6 c | ||
| Difference (OT-CS) | XY335 | 3.1 | 4.4 | 34.1 | |
| KH8 | 13.0 | 4.6 | 38.2 | ||
| 2018 | OT | XY335 | 97.8 a | 8.9 a | 75.0 a |
| KH8 | 97.8 a | 8.0 a | 42.7 b | ||
| CS | XY335 | 92.0 b | 5.7 b | 39.3 b | |
| KH8 | 82.7 c | 4.4 c | 9.0 c | ||
| Difference (OT-CS) | XY335 | 5.8 | 3.2 | 35.8 | |
| KH8 | 15.1 | 3.6 | 33.7 | ||
| Average | Difference | XY335 | 4.5 | 3.8 | 35.0 |
| KH8 | 14.1 | 4.1 | 36.0 |
| Year | Treatment | Variety | Biomass at R1 Stage (g plant−1) | Yield Components | Yield (t ha−1) | Yield Per Plant (g plant−1) | ||
|---|---|---|---|---|---|---|---|---|
| Ears (104 ha−1) | Kernel Number Per Ear | 1000-Kernel Weight (g) | ||||||
| 2017 | OT | XY335 | 151.6 a | 7.2 a | 584.2 a | 359.9 a | 12.8 a | 178.4 a |
| KH8 | 133.1 b | 6.6 b | 588.9 a | 326.0 ab | 10.7 b | 163.1 b | ||
| CS | XY335 | 141.7 a | 7.0 a | 585.5 a | 347.0 ab | 12.0 a | 172.0 a | |
| KH8 | 116.3 c | 6.1 c | 589.4 a | 301.1 b | 9.2 b | 150.8 b | ||
| Difference (OT-CS) | XY335 | 9.9 | 0.2 | −1.3 | 12.9 | 0.8 | 6.4 | |
| KH8 | 16.8 | 0.5 | −0.5 | 24.9 | 1.5 | 12.3 | ||
| 2018 | OT | XY335 | 156.1 a | 7.3 a | 634.3 a | 423.8 a | 16.2 a | 220.3 a |
| KH8 | 146.8 b | 6.9 ab | 605.4 b | 404.0 a | 14.3 b | 205.4 a | ||
| CS | XY335 | 142.3 b | 7.2 a | 597.6 b | 413.3 a | 15.4 ab | 196.5 a | |
| KH8 | 127.7 c | 6.6 b | 591.9 b | 392.2 a | 13.0 b | 169.5 b | ||
| Difference (OT-CS) | XY335 | 13.8 | 0.1 | 36.7 | 10.5 | 0.8 | 23.8 | |
| KH8 | 19.1 | 0.3 | 13.5 | 11.8 | 1.3 | 36.0 | ||
Disclaimer/Publisher’s Note: The statements, opinions and data contained in all publications are solely those of the individual author(s) and contributor(s) and not of MDPI and/or the editor(s). MDPI and/or the editor(s) disclaim responsibility for any injury to people or property resulting from any ideas, methods, instructions or products referred to in the content. |
© 2026 by the authors. Licensee MDPI, Basel, Switzerland. This article is an open access article distributed under the terms and conditions of the Creative Commons Attribution (CC BY) license.
Share and Cite
Wang, Z.; Jia, Q.; Zhang, B.; Ming, B.; Bai, L.; Wang, F.; Wang, Y.; Yu, S.; Zou, R.; Wang, Z. Unveiling the Physiological Basis of Cold Tolerance in Maize: Root Architecture, Photosynthetic Stability, and POD-Mediated Defense Under Delayed Chilling Stress. Plants 2026, 15, 517. https://doi.org/10.3390/plants15030517
Wang Z, Jia Q, Zhang B, Ming B, Bai L, Wang F, Wang Y, Yu S, Zou R, Wang Z. Unveiling the Physiological Basis of Cold Tolerance in Maize: Root Architecture, Photosynthetic Stability, and POD-Mediated Defense Under Delayed Chilling Stress. Plants. 2026; 15(3):517. https://doi.org/10.3390/plants15030517
Chicago/Turabian StyleWang, Zhen, Qi Jia, Baolin Zhang, Bo Ming, Lanfang Bai, Fugui Wang, Yongqiang Wang, Shengnan Yu, Runhou Zou, and Zhigang Wang. 2026. "Unveiling the Physiological Basis of Cold Tolerance in Maize: Root Architecture, Photosynthetic Stability, and POD-Mediated Defense Under Delayed Chilling Stress" Plants 15, no. 3: 517. https://doi.org/10.3390/plants15030517
APA StyleWang, Z., Jia, Q., Zhang, B., Ming, B., Bai, L., Wang, F., Wang, Y., Yu, S., Zou, R., & Wang, Z. (2026). Unveiling the Physiological Basis of Cold Tolerance in Maize: Root Architecture, Photosynthetic Stability, and POD-Mediated Defense Under Delayed Chilling Stress. Plants, 15(3), 517. https://doi.org/10.3390/plants15030517

