Physiological and Biochemical Mechanisms Behind Enhanced Salinity Tolerance in Limonium irtaense Seedlings Following Recovery from Salt Stress
Abstract
1. Introduction
2. Results
2.1. Seed Germination and Recovery Capacity
2.2. Seedling Survival After Transplantation
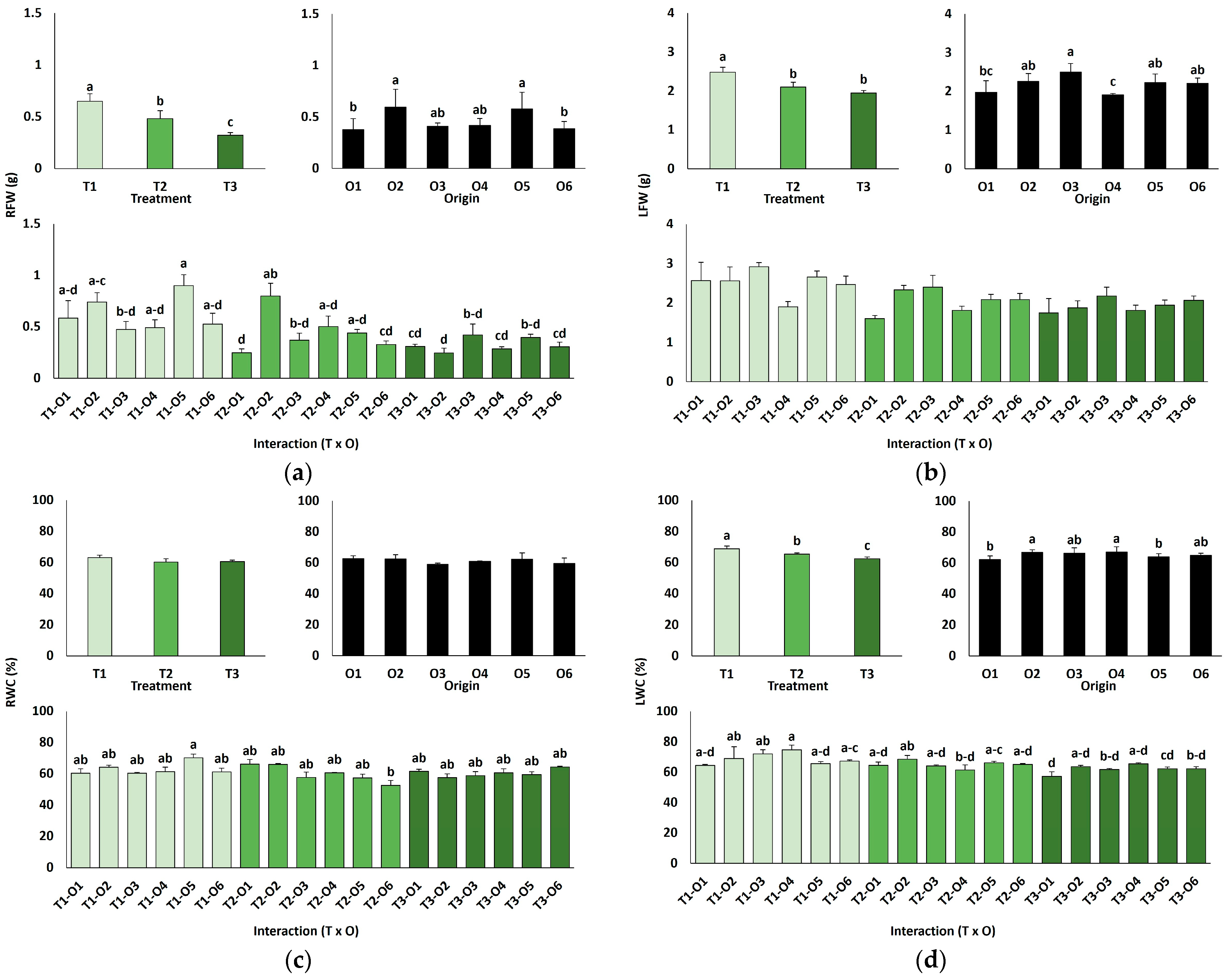
2.3. Early Seedling Growth After Transplantation
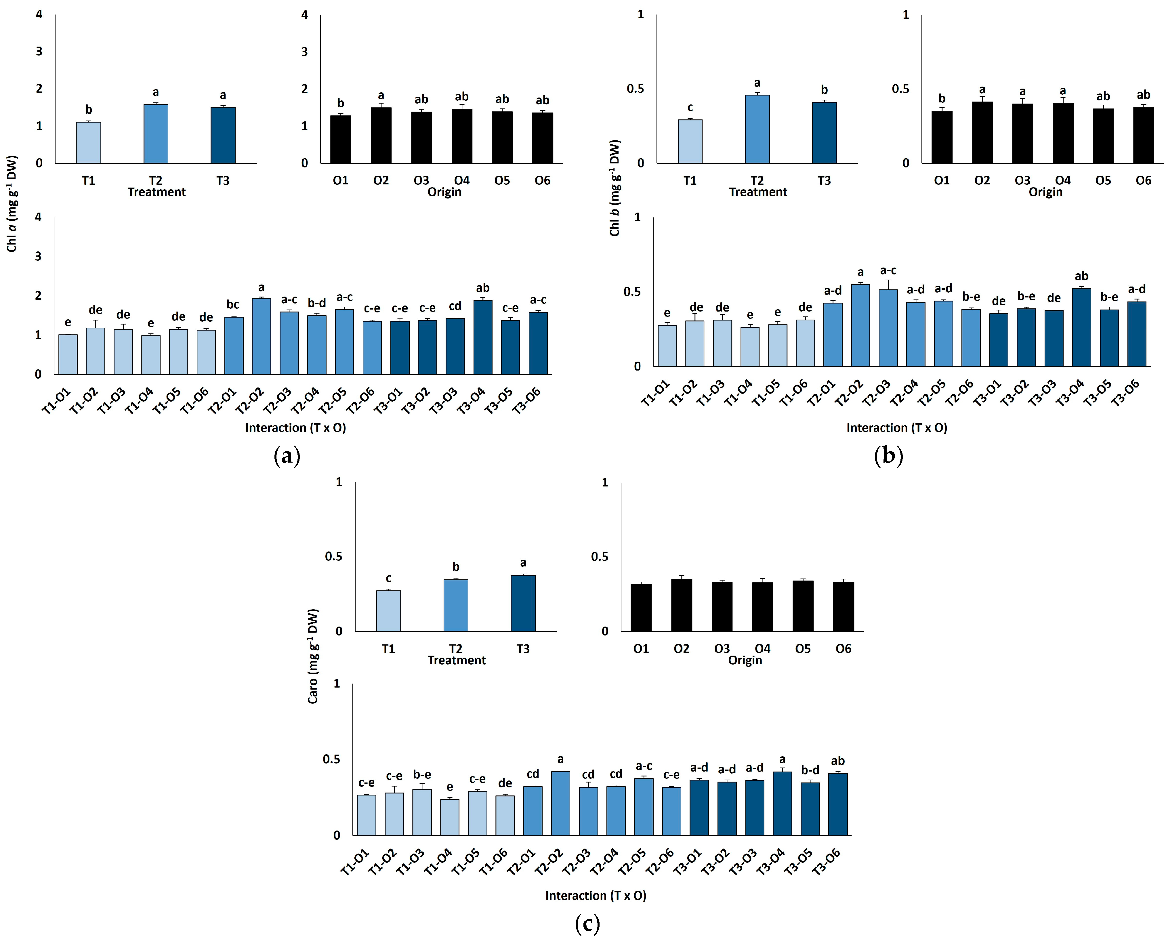
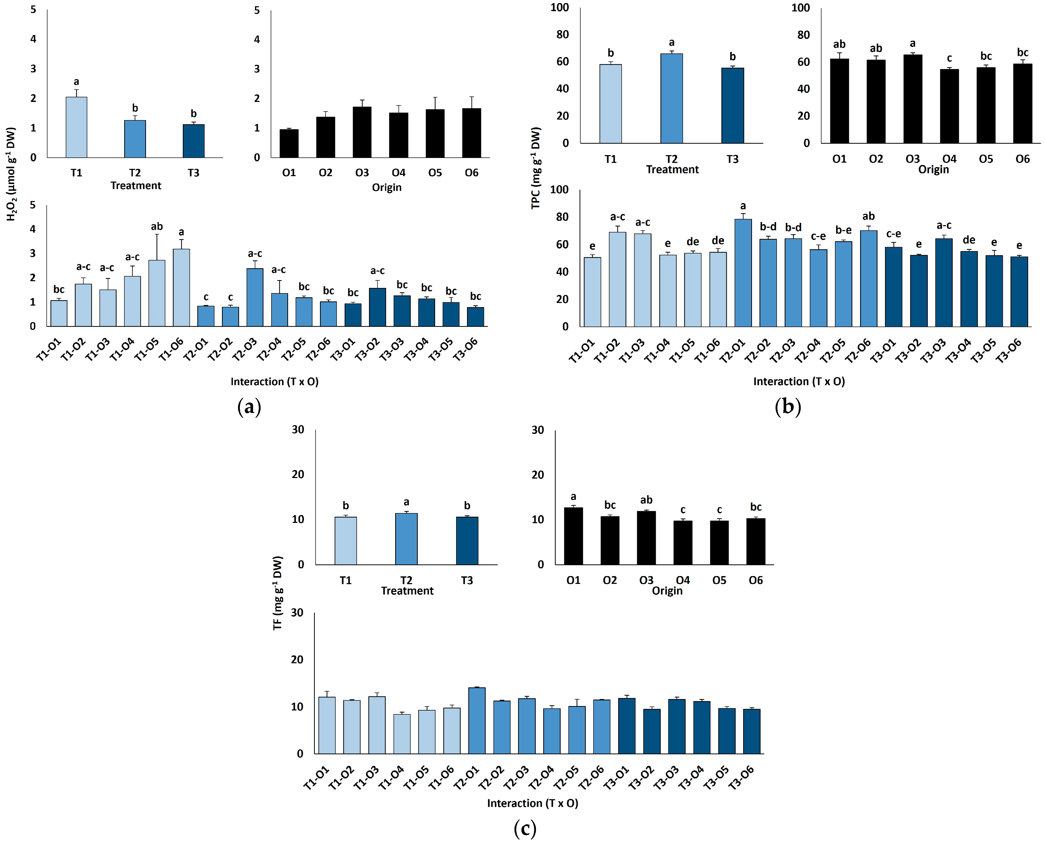
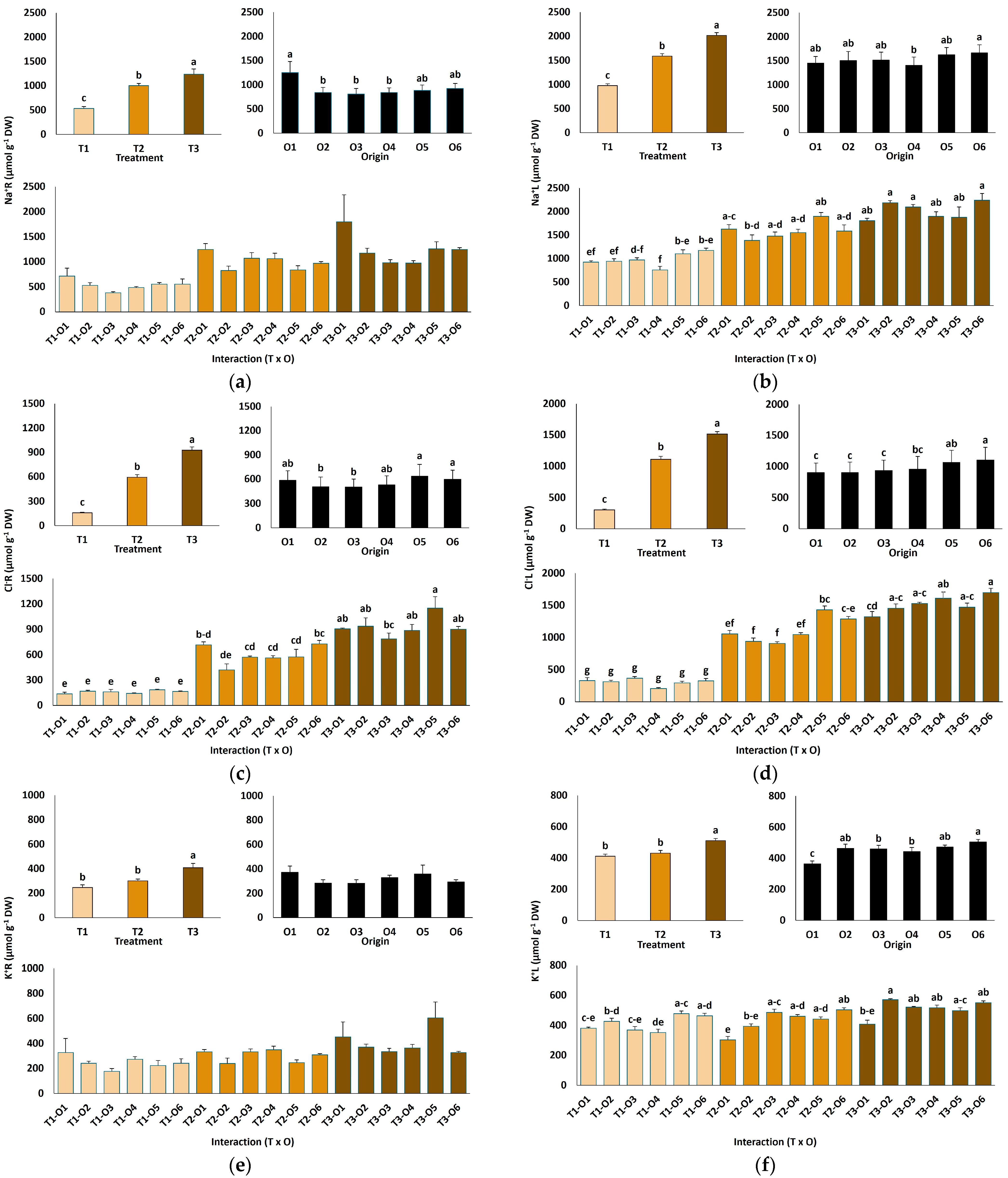
2.4. Biochemical Responses and Ion Accumulation
2.5. Principal Component Analysis
3. Discussion
3.1. Germination Responses to Salt Stress and Halopriming Effects
3.2. Stress Memory and Seedling Survival
3.3. Plant Growth in the Presence of Different NaCl Concentrations
3.4. Biochemical Responses to Salt Stress
3.5. Ion Transport and Homeostasis
3.6. Osmolyte Accumulation
3.7. Reactive Oxygen Species and Antioxidant Responses
4. Materials and Methods
4.1. The Species Under Study
4.2. Seed Origin and Limonium Irtaense Populations
4.3. Soil Analysis
4.4. Seed Germination and Recovery of Germination
4.5. Plant Growth in the Greenhouse
4.6. Biochemical Analyses
4.7. Statistical Analysis
5. Conclusions
Supplementary Materials
Author Contributions
Funding
Data Availability Statement
Acknowledgments
Conflicts of Interest
References
- Ramos-Gutiérrez, I.; Lima, H.; Pajarón, S.; Romero-Zarco, C.; Sáez, L.; Pataro, L.; Molina-Venegas, R.; Rodríguez, M.Á.; Moreno-Saiz, J.C. Atlas of the vascular flora of the Iberian Peninsula biodiversity hotspot (AFLIBER). Glob. Ecol. Biogeogr. 2021, 30, 1951–1957. [Google Scholar] [CrossRef]
- Laguna, E.; Crespo, M.B.; Mateo, G.; López, S.; Fabregat, C.; Serra, L.; Herrero-Borgoñón, J.J.; Carretero, J.L.; Aguilella, A.; Figuerola, R. Flora Endémica, Rara o Amenazada de la Comunidad Valenciana (Endemic, Rare or Threatened Flora of the Valencian Community) Generalitat Valenciana; Conselleria de Medio Ambiente: Valencia, Spain, 1998. [Google Scholar]
- Aguilella, A.; Fos, S.; Laguna, E. (Eds.) Catálogo Valenciano de Especies de Flora Amenazadas (Valencian Catalogue of Threatened Flora Species); Colección Biodiversidad; Conselleria de Medi Ambient, Aigua, Urbanisme i Habitatge, Generalitat Valenciana: Valencia, Spain, 2009; Volume 18, 358p. [Google Scholar]
- Ferrer-Gallego, P.P.; Ferrando-Pardo, I.; Laguna, E.; Albert, F.J.; Pereira, M.; Viciano, L.; Pellicer, A.; Carchano, R.; Visera, C.; Pérez-Botella, J.; et al. Planes de recuperación de flora amenazada de la Comunidad Valenciana. Resultados tras tres años de la aprobación de la normativa legal (Recovery plans for threatened flora in the Valencian Community. Results three years after the approval of the legal regulations). Flora Montiberica 2019, 73, 48–61. [Google Scholar]
- Fenu, G.; Bacchetta, G.; Christodoulou, C.S.; Cogoni, D.; Fournaraki, C.; Gian Pietro, G.d.G.; Gotsiou, P.; Kyratzis, A.; Piazza, C.; Vicens, M.; et al. A common approach to the conservation of threatened island vascular plants: First results in the Mediterranean Basin. Diversity 2020, 12, 157. [Google Scholar] [CrossRef]
- Ferrer-Gallego, P.P.; Navarro, A.; Pérez, P.; Roselló, R.; Rosselló, J.A.; Rosato, M.; Laguna, E. A new polyploid species of Limonium (Plumbaginaceae) from the Western Mediterranean Basin. Phytotaxa 2015, 234, 263–270. [Google Scholar] [CrossRef]
- Navarro, A.J.; Laguna, E.; Pérez Rovira, P.; Ferrer Gallego, P.P.; Ferrando, I.; Albert, F.J. Conservació de l’endemisme vegetal de la serra d’Irta (Castelló) Limonium irtaense [Conservation of the plant endemism of the Sierra d’Irta (Castellón) Limonium irtaense]. Nemus 2020, 10, 148–156. [Google Scholar]
- Larson, J.; Anacker, B.; Wanous, S.; Funk, J. Ecological strategies begin at germination: Traits, plasticity and survival in the first 4 days of plant life. Funct. Ecol. 2020, 34, 968–979. [Google Scholar] [CrossRef]
- Chen, F.; Liu, F.L.; Chen, F.; Jia, G. The ecological characteristics of seed germination and seedling establishment of Manglietia patungensis: Implication for species conservation. Am. J. Plant Sci. 2012, 3, 1455–1461. [Google Scholar] [CrossRef]
- Patykowski, J.; Dell, M.; Gibson, M. Germination ecology and seed dispersal of a critically endangered plant: A case study of Pomaderris vacciniifolia (Round-Leaf Pomaderris). PLoS ONE 2018, 11, e0161665. [Google Scholar] [CrossRef]
- Jusaitis, M.; Polomka, L.; Sorensen, B. Habitat specificity, seed germination and experimental translocation of the endangered herb Brachycome muelleri (Asteraceae). Biol. Conserv. 2004, 116, 251–266. [Google Scholar] [CrossRef]
- Münzbergová, Z.; Herben, T.; Razzaque, S.; Juenger, T.E. Seed traits and recruitment interact with habitats to generate patterns of local adaptation in a perennial grass. J. Exp. Bot. 2024, 75, 3111–3124. [Google Scholar] [CrossRef] [PubMed]
- Agneray, A.C.; Parchman, T.L.; Leger, E.A. Phenotypes and environment predict seedling survival for seven co-occurring Great Basin plant taxa growing with invasive grass. Ecol. Evol. 2022, 12, e8870. [Google Scholar] [CrossRef] [PubMed]
- Ungar, I.A.; Ungar, I.A. Seed banks and seed population dynamics of halophytes. Wetl. Ecol. Manag. 2001, 9, 499–510. [Google Scholar] [CrossRef]
- Gul, B.; Ansari, R.; Flowers, T.; Khan, M. Germination strategies of halophyte seeds under salinity. Env. Exp. Bot. 2012, 92, 4–18. [Google Scholar] [CrossRef]
- Lombardi, T.; Bedini, S. Seed germination strategies of Mediterranean halophytes under saline condition. In Handbook of Halophytes; Grigore, M.N., Ed.; Springer: Cham, Switzerland, 2021. [Google Scholar] [CrossRef]
- Ungar, I.A. Germination ecology of halophytes. In Contributions to the Ecology of Halophytes; Sen, D.N., Rajpurohit, K.S., Eds.; Tasks for Vegetation Science; Springer: Dordrecht, The Netherlands, 1982; Volume 2. [Google Scholar] [CrossRef]
- Zhou, Z.; Shi, H.; Yang, Y.; Feng, X.; Chen, X.; Xiao, F.; Lin, H.; Guo, Y. Insights into plant salt stress signaling and tolerance. J. Genet. Genom. 2024, 51, 16–34. [Google Scholar] [CrossRef] [PubMed]
- Flowers, T.J.; Colmer, T.D. Salinity tolerance in halophytes. New Phytol. 2008, 179, 945–963. [Google Scholar] [CrossRef]
- Krasensky, J.; Jonak, C. Drought, salt, and temperature stress-induced metabolic rearrangements and regulatory networks. J. Exp. Bot. 2012, 63, 1593–1608. [Google Scholar] [CrossRef]
- Hussain, S.; Hussain, S.; Ali, B.; Ren, X.; Chen, X.; Li, Q.; Saqib, M.; Ahmad, N. Recent progress in understanding salinity tolerance in plants: Story of Na+/K+ balance and beyond. Plant Physiol. Biochem. 2021, 160, 239–256. [Google Scholar] [CrossRef]
- Arif, Y.; Singh, P.; Siddiqui, H.; Bajguz, A.; Hayat, S. Salinity induced physiological and biochemical changes in plants: An omic approach towards salt stress tolerance. Plant Physiol. Biochem. 2020, 156, 64–77. [Google Scholar] [CrossRef]
- Meng, X.; Zhou, J.; Sui, N. Mechanisms of salt tolerance in halophytes: Current understanding and recent advances. Open Life Sci. 2018, 13, 149–154. [Google Scholar] [CrossRef]
- Ghosh, U.K.; Islam, M.N.; Siddiqui, M.N.; Khan, M.A.R. Understanding the roles of osmolytes for acclimatizing plants to changing environment: A review of potential mechanism. Plant Signal. Behav. 2021, 16, 1913306. [Google Scholar] [CrossRef]
- Singh, P.; Choudhary, K.K.; Chaudhary, N.; Gupta, S.; Sahu, M.; Tejaswini, B.; Sarkar, S. Salt stress resilience in plants mediated through osmolyte accumulation and its crosstalk mechanism with phytohormones. Front. Plant Sci. 2022, 13, 1006617. [Google Scholar] [CrossRef]
- Heywood, V.H.; Iriondo, J.M. Plant conservation: Old problems, new perspectives. Biol. Conserv. 2003, 113, 321–335. [Google Scholar] [CrossRef]
- Baumberger, T.; Affre, L.; Torre, F.; Vidal, E.; Dumas, P.J.; Tatoni, T. Plant community changes as ecological indicator of seabird colonies’ impacts on Mediterranean islands. Ecol. Indic. 2012, 15, 76–84. [Google Scholar] [CrossRef]
- Caperta, A.D.; Espírito-Santo, M.D.; Silva, V.; Ferreira, A.; Paes, A.P.; Róis, A.S.; Costa, J.C.; Arsénio, P. Habitat specificity of a threatened and endemic, cliff-dwelling halophyte. AoB Plants 2014, 6, plu032. [Google Scholar] [CrossRef] [PubMed]
- González-Orenga, S.; Ferrer-Gallego, P.P.; Boscaiu, M.; Vicente, O.; Laguna, E. Studies on salt and drought tolerance of endemic and rare species in Valencian salt marshes as a tool for reintroduction programmes. Flora Mediterr. 2022, 32, 361–365. [Google Scholar] [CrossRef]
- González-Orenga, S.; Grigore, M.; Boscaiu, M.; Vicente, O. Constitutive and induced salt tolerance mechanisms and potential uses of Limonium Mill. species. Agronomy 2021, 11, 413. [Google Scholar] [CrossRef]
- Moreno, J.; Terrones, A.; Juan, A. Germination patterns along a salinity gradient of closely-related halophytes in sympatry. Estuar. Coast. Shelf Sci. 2022, 264, 107690. [Google Scholar] [CrossRef]
- Giménez Luque, E.; Delgado-Fernández, I.C.; Gómez Mercado, F. Effect of salinity and temperature on seed germination in Limonium cossonianum. Botany 2013, 91, 12–16. [Google Scholar] [CrossRef]
- Fos, M.; Alfonso, L.; Ferrer-Gallego, P.P.; Laguna, E. Effect of salinity, temperature and hypersaline conditions on the seed germination in Limonium mansanetianum, an endemic and threatened Mediterranean species. Plant Biosyst. 2020, 155, 165–171. [Google Scholar] [CrossRef]
- Melendo, M.; Giménez, E. Seed germination responses to salinity and temperature in Limonium supinum (Plumbaginaceae), an endemic halophyte from Iberian Peninsula. Plant Biosyst. 2019, 153, 257–263. [Google Scholar] [CrossRef]
- Delgado Fernández, I.C.; Giménez Luque, E.; Gómez Mercado, F.; Pedrosa, V. Influence of temperature and salinity on the germination of Limonium tabernense Erben from Tabernas Desert (Almería, SE Spain). Flora 2016, 218, 68–74. [Google Scholar] [CrossRef]
- Al Hassan, M.; Estrelles, E.; Soriano, P.; López-Gresa, M.P.; Bellés, J.M.; Boscaiu, M.; Vicente, O. Unraveling salt tolerance mechanisms in halophytes: A comparative study on four Mediterranean Limonium species with different geographic distribution patterns. Front. Plant Sci. 2017, 8, 1438. [Google Scholar] [CrossRef]
- Zia, S.; Khan, M.A. Effect of light, salinity, and temperature on seed germination of Limonium stocksii. Can. J. Bot. 2004, 82, 151–157. [Google Scholar] [CrossRef]
- Keiffer, C.H.; Ungar, I.A. The effect of extended exposure to hypersaline conditions on the germination of five inland halophyte species. Am. J. Bot. 1997, 84, 104–111. [Google Scholar] [CrossRef]
- Pujol, J.A.; Calvo, J.F.; Ramírez-Díaz, L. Recovery of germination from different osmotic conditions by four halophytes from southeastern Spain. Ann. Bot. 2000, 85, 279–286. [Google Scholar] [CrossRef]
- Hmissi, M.; Krouma, A.; García-Sánchez, F.; Chaieb, M. Potential of seed halopriming in the mitigation of salinity stress during germination and seedling establishment in durum wheat (Triticum durum Desf.). Plants 2023, 13, 66. [Google Scholar] [CrossRef]
- Hameed, A.; Hussain, S.; Nisar, F.; Rasheed, A.; Shah, S.Z. Seed priming as an effective technique for enhancing salinity tolerance in plants: Mechanistic insights and prospects for saline agriculture with a special emphasis on halophytes. Seeds 2025, 4, 14. [Google Scholar] [CrossRef]
- Tolrà, R.; González-Cobo, C.; Corrales, I.; Padilla, R.; Llugany, M. Seed halopriming as an effective strategy to enhance salt tolerance in Cakile maritima: Activation of antioxidant and genetic responses. Antioxidants 2025, 14, 353. [Google Scholar] [CrossRef]
- Sharma, M.; Kumar, P.; Verma, V.; Sharma, R.; Bhargava, B.; Irfan, M. Understanding plant stress memory response for abiotic stress resilience: Molecular insights and prospects. Plant Physiol. Biochem. 2022, 179, 10–24. [Google Scholar] [CrossRef]
- Hilker, M.; Schmülling, T. Stress priming, memory, and signalling in plants. Plant Cell Environ. 2019, 42, 753–761. [Google Scholar] [CrossRef]
- Louis, N.; Dhankher, O.P.; Puthur, J.T. Seed priming can enhance and retain stress tolerance in ensuing generations by inducing epigenetic changes and trans-generational memory. Physiol. Plant. 2023, 175, e13881. [Google Scholar] [CrossRef]
- Vicente, O.; Boscaiu, M.; Naranjo, M.Á.; Estrelles, E.; Bellés, J.M.; Soriano, P. Responses to salt stress in the halophyte Plantago crassifolia (Plantaginaceae). J. Arid Environ. 2004, 58, 463–481. [Google Scholar] [CrossRef]
- Zhang, X.; Qin, H.; Kan, Z.; Liu, D.; Wang, B.; Fan, S.; Jiang, P. Growth and non-structural carbohydrates response patterns of Eucommia ulmoides under salt and drought stress. Front. Plant Sci. 2024, 15, 1436152. [Google Scholar] [CrossRef] [PubMed]
- González-Orenga, S.; Ferrer-Gallego, P.P.; Laguna, E.; López-Gresa, M.P.; Donat-Torres, M.P.; Verdeguer, M.; Vicente, O.; Boscaiu, M. Insights on salt tolerance of two endemic Limonium species from Spain. Metabolites 2019, 9, 294. [Google Scholar] [CrossRef] [PubMed]
- Mir, R.; Romero, I.; González-Orenga, S.; Ferrer-Gallego, P.P.; Laguna, E.; Boscaiu, M.; Oprica, L.; Grigore, M.N.; Vicente, O. Constitutive and adaptive traits of environmental stress tolerance in the threatened halophyte Limonium angustebracteatum Erben (Plumbaginaceae). Plants 2022, 11, 1137. [Google Scholar] [CrossRef]
- Morales, M.A.; Olmos, E.; Torrecillas, A.; Sánchez-Blanco, M.J.; Alarcón, J.J. Differences in water relations, leaf ion accumulation and excretion rates between cultivated and wild species of Limonium sp. grown in conditions of saline stress. Flora 2001, 196, 345–352. [Google Scholar] [CrossRef]
- Hameed, A.; Gulzar, S.; Aziz, I.; Hussain, T.; Gul, B.; Khan, M.A. Effects of salinity and ascorbic acid on growth, water status and antioxidant system in a perennial halophyte. AoB Plants 2015, 7, plv004. [Google Scholar] [CrossRef]
- Hill, A.E. Ion and water transport in Limonium: I. Active transport by the leaf gland cells. Biochim. Biophys. Acta Biomembr. 1967, 135, 454–460. [Google Scholar] [CrossRef]
- Grieve, C.M.; Poss, J.A.; Grattan, S.R.; Sheuse, P.J.; Lieth, J.H.; Zeng, L. Productivity and mineral nutrition of Limonium species irrigated with saline wastewaters. HortScience 2005, 40, 654–658. [Google Scholar] [CrossRef]
- Zia, S.; Egan, T.; Khan, M. Growth and selective ion transport of Limonium stocksii (Plumbaginaceae) under saline conditions. Pak. J. Bot. 2008, 40, 697–709. [Google Scholar]
- González-Orenga, S.; Donat-Torres, M.P.; Llinares, J.V.; Navarro, A.; Collado, F.; Ferrer-Gallego, P.P.; Laguna, E.; Vicente, O.; Boscaiu, M. Multidisciplinary studies supporting conservation programmes of two rare, endangered Limonium species from Spain. Plant Soil 2021, 466, 505–524. [Google Scholar] [CrossRef]
- Munns, R. Comparative physiology of salt and water stress. Plant Cell Environ. 2002, 25, 239–250. [Google Scholar] [CrossRef]
- Martinoia, E.; Meyer, S.; De Angeli, A.; Nagy, R. Vacuolar transporters in their physiological context. Annu. Rev. Plant Biol. 2012, 63, 183–213. [Google Scholar] [CrossRef]
- Volkov, V.; Flowers, T.J. Mechanisms of ion transport in halophytes: From roots to leaves. In Sabkha Ecosystems; Gul, B., Böer, B., Khan, M., Clüsener-Godt, M., Hameed, A., Eds.; Tasks for Vegetation Science; Springer: Cham, Switzerland, 2019; Volume 49, pp. 135–147. [Google Scholar] [CrossRef]
- Flowers, T.J.; Glenn, E.P.; Volkov, V. Could vesicular transport of Na+ and Cl− be a feature of salt tolerance in halophytes? Ann. Bot. 2018, 122, 1–18. [Google Scholar] [CrossRef]
- Chen, Z.H.; Pottosin, I.I.; Cuin, T.A.; Fuglsang, A.T.; Tester, M.; Jha, D.; Zepeda-Jazo, I.; Zhou, M.X.; Palmgren, M.G.; Newman, I.A.; et al. Root plasma membrane transporters controlling K+/Na+ homeostasis in salt-stressed barley. Plant Physiol. 2007, 145, 1714–1725. [Google Scholar] [CrossRef]
- Volkov, V.; Amtmann, A. Thellungiella halophila, a salt-tolerant relative of Arabidopsis thaliana, has specific root ion-channel features supporting K+/Na+ homeostasis under salinity stress. Plant J. 2006, 48, 342–353. [Google Scholar] [CrossRef]
- Shabala, S. Salinity and programmed cell death: Unravelling mechanisms for ion specific signalling. J. Exp. Bot. 2009, 60, 709–712. [Google Scholar] [CrossRef]
- Tester, M.; Davenport, R. Na+ tolerance and Na+ transport in higher plants. Ann. Bot. 2003, 91, 503–527. [Google Scholar] [CrossRef] [PubMed]
- Szabados, L.; Savouré, A. Proline: A multifunctional amino acid. Trends Plant Sci. 2010, 15, 89–97. [Google Scholar] [CrossRef] [PubMed]
- Alvarez, M.E.; Savouré, A.; Szabados, L. Proline metabolism as regulatory hub. Trends Plant Sci. 2022, 27, 39–55. [Google Scholar] [CrossRef] [PubMed]
- Gagneul, D.; Aïnouche, A.; Duhazé, C.; Lugan, R.; Larher, F.R.; Bouchereau, A. A reassessment of the function of the so-called compatible solutes in the halophytic Plumbaginaceae Limonium latifolium. Plant Physiol. 2007, 144, 1598–1611. [Google Scholar] [CrossRef] [PubMed]
- Fariduddin, Q.; Varshney, P.; Yusuf, M.; Ali, A.; Ahmad, A. Dissecting the role of glycine betaine in plants under abiotic stress. Plant Stress 2013, 7, 8–18. [Google Scholar]
- Das, K.; Roychoudhury, A. Reactive oxygen species (ROS) and response of antioxidants as ROS-scavengers during environmental stress in plants. Front. Environ. Sci. 2014, 2, 53. [Google Scholar] [CrossRef]
- Ozgur, R.; Uzilday, B.; Sekmen, A.H.; Turkan, I. Reactive oxygen species regulation and antioxidant defence in halophytes. Funct. Plant Biol. 2013, 40, 832–847. [Google Scholar] [CrossRef]
- Morales, M.; Munné-Bosch, S. Malondialdehyde: Facts and artifacts. Plant Physiol. 2019, 180, 1246–1250. [Google Scholar] [CrossRef] [PubMed]
- Ashraf, M.A.; Riaz, M.; Arif, M.S.; Rasheed, R.; Iqbal, M.; Hussain, I.; Mubarik, M.S. The role of non-enzymatic antioxidants in improving abiotic stress tolerance in plants. In Plant Tolerance to Environmental Stress; Hasanuzzaman, M., Fujita, M., Oku, H., Islam, M.T., Eds.; CRC Press: Boca Raton, FL, USA, 2019; pp. 129–144. [Google Scholar]
- Gil, R.; Bautista, I.; Boscaiu, M.; Lidón, A.; Wankhade, S.; Sánchez, H.; Vicente, O. Responses of five Mediterranean halophytes to seasonal changes in environmental conditions. AoB Plants 2014, 6, plu049. [Google Scholar] [CrossRef]
- González-Orenga, S.; Llinares, J.V.; Al Hassan, M.; Fita, A.; Collado, F.; Lison, P.; Vicente, O.; Boscaiu, M. Physiological and morphological characterisation of Limonium species in their natural habitats: Insights into their abiotic stress responses. Plant Soil 2020, 449, 267–284. [Google Scholar] [CrossRef]
- Bose, J.; Rodrigo-Moreno, A.; Shabala, S. ROS homeostasis in halophytes in the context of salinity stress tolerance. J. Exp. Bot. 2014, 65, 1241–1257. [Google Scholar] [CrossRef]
- Bouyoucos, G.J. Hydrometer method improved for making particle size analysis of soils. Agron. J. 1962, 54, 464–465. [Google Scholar] [CrossRef]
- Walkley, A.; Black, I.A. An examination of the Degtjareff method for determining soil organic matter and a proposed modification of the chromic acid titration method. Soil Sci. 1934, 37, 29–38. [Google Scholar] [CrossRef]
- Rhoades, J.D. Cation exchange capacity. In Methods of Soil Analysis. Part 2: Chemical and Microbiological Properties, 2nd ed.; Page, A.L., Ed.; Agronomy Monograph No. 9; ASA and SSSA: Madison, WI, USA, 1982; pp. 149–157. [Google Scholar] [CrossRef]
- Ellis, R.A.; Roberts, E.H. The quantification of ageing and survival in orthodox seeds. Seed Sci. Technol. 1981, 9, 373–409. [Google Scholar]
- Lichtenthaler, H.K.; Wellburn, A.R. Determinations of total carotenoids and chlorophylls a and b of leaf extracts in different solvents. Biochem. Soc. Trans. 1983, 11, 591–592. [Google Scholar] [CrossRef]
- Weimberg, R. Solute adjustments in leaves of two species of wheat at two different stages of growth in response to salinity. Physiol. Plant. 1987, 70, 381–388. [Google Scholar] [CrossRef]
- Cotlove, E. Determination of the true chloride content of biological fluids and tissues. II. Analysis by simple, nonisotopic methods. Anal. Chem. 1963, 35, 101–105. [Google Scholar] [CrossRef]
- Bates, L.S.; Waldren, R.P.; Teare, I.D. Rapid determination of free proline for water-stress studies. Plant Soil 1973, 39, 205–207. [Google Scholar] [CrossRef]
- Grieve, C.M.; Grattan, S.R. Rapid assay for determination of water soluble quaternary ammonium compounds. Plant Soil 1983, 70, 303–307. [Google Scholar] [CrossRef]
- Mircea, D.M.; Ferrer-Gallego, P.P.; Ferrando-Pardo, I.; Vicente, O.; Mir, R.; Boscaiu, M. Salt tolerance of sea flax (Linum maritimum L.), a rare species with conservation interest in eastern Spain. Plants 2024, 13, 305. [Google Scholar] [CrossRef]
- Dubois, M.; Gilles, K.A.; Hamilton, J.K.; Reberd, P.A.; Smith, F. Colorimetric method for determination of sugars and related substances. Anal. Chem. 1956, 28, 350–356. [Google Scholar] [CrossRef]
- Hodges, D.M.; DeLong, J.M.; Forney, C.F.; Prange, R.K. Improving the thiobarbituric acid-reactive-substances assay for estimating lipid peroxidation in plant tissues containing anthocyanin and other interfering compounds. Planta 1999, 207, 604–611. [Google Scholar] [CrossRef]
- Taulavuori, E.; Hellström, E.; Taulavuori, K.; Laine, K. Comparison of two methods used to analyse lipid peroxidation from Vaccinium myrtillus (L.) during snow removal, reacclimation and cold acclimation. J. Exp. Bot. 2001, 52, 2375–2380. [Google Scholar] [CrossRef]
- Loreto, F.; Velikova, V. Isoprene produced by leaves protects the photosynthetic apparatus against ozone damage, quenches ozone products, and reduces lipid peroxidation of cellular membranes. Plant Physiol. 2002, 127, 1781–1787. [Google Scholar] [CrossRef]
- Blainski, A.; Lopes, G.C.; De Mello, J.C.P. Application and analysis of the Folin–Ciocalteu method for the determination of the total phenolic content from Limonium brasiliense L. Molecules 2013, 18, 6852–6865. [Google Scholar] [CrossRef] [PubMed]
- Zhishen, J.; Mengcheng, T.; Jianming, W. The determination of flavonoid contents in mulberry and their scavenging effects on superoxide radicals. Food Chem. 1999, 64, 555–559. [Google Scholar] [CrossRef]
- Tang, D.; Chen, M.; Huang, X.; Zhang, G.; Zeng, L.; Zhang, G.; Wu, S.; Wang, Y. SRplot: A free online platform for data visualization and graphing. PLoS ONE 2023, 18, e0294236. [Google Scholar] [CrossRef] [PubMed]







| Treatment (mM NaCl) | Germination (%) | MGT (Days) |
|---|---|---|
| 0 | 80.00 ± 1.63 c | 3.50 ± 0.21 e |
| 50 | 53.00 ± 8.22 d | 6.66 ± 0.32 bc |
| 100 | 35.00 ± 3.41 e | 7.04 ± 0.81 b |
| 200 | 19.00 ± 2.51 f | 5.39 ± 0.32 d |
| 300 | 7.00 ± 1.91 g | 9.04 ± 0.82 a |
| R100 | 93.75 ± 0.00 a | 2.36 ± 0.02 e |
| R200 | 98.50 ± 0.00 a | 2.51 ± 0.05 e |
| R300 | 89.06 ± 4.50 ab | 2.36 ± 0.15 e |
| Treatment (mM NaCl) | Number of Transplanted Seedlings | Number of Seedlings Surviving After One Month | Survival Percentage |
|---|---|---|---|
| 0 | 80 | 9 | 11.3% |
| 50 | 53 | 32 | 60.4% |
| 100 | 35 | 17 | 48.6% |
| R100 | 45 | 35 | 77.8% |
| R200 | 67 | 49 | 73.1% |
| R300 | 56 | 41 | 73.2% |
| Trait | Treatment | Origin | Treatment × Origin | |||
|---|---|---|---|---|---|---|
| F | p-Value | F | p-Value | F | p-Value | |
| RFW | 15.02 | 0.000 | 4.98 | 0.000 | 3.07 | 0.001 |
| LFW | 12.31 | 0.000 | 3.84 | 0.002 | 0.84 | 0.591 |
| RWC | 1.56 | 0.213 | 0.97 | 0.436 | 2.80 | 0.003 |
| LWC | 17.01 | 0.000 | 2.28 | 0.050 | 2.34 | 0.014 |
| Trait | Treatment (df = 2) | Origin (df = 5) | Treatment × Origin (df = 17) | |||
|---|---|---|---|---|---|---|
| F | p-Value | F | p-Value | F | p-Value | |
| Chl a | 70.49 | 0.000 | 3.14 | 0.019 | 6.27 | 0.000 |
| Chl b | 64.06 | 0.000 | 2.66 | 0.038 | 4.64 | 0.000 |
| Caro | 40.99 | 0.000 | 0.97 | 0.448 | 3.54 | 0.002 |
| Na+R | 33.25 | 0.000 | 3.55 | 0.010 | 1.01 | 0.457 |
| Na+L | 178.66 | 0.000 | 3.35 | 0.014 | 2.93 | 0.009 |
| Cl−R | 281.25 | 0.000 | 1.27 | 0.034 | 3.03 | 0.007 |
| Cl−L | 870.18 | 0.000 | 8.60 | 0.000 | 7.55 | 0.000 |
| K+R | 13.54 | 0.000 | 1.53 | 0.204 | 1.89 | 0.080 |
| K+L | 54.51 | 0.000 | 22.36 | 0.000 | 7.47 | 0.000 |
| Pro | 143.50 | 0.000 | 4.12 | 0.005 | 2.91 | 0.009 |
| TSS | 0.23 | 0.798 | 2.47 | 0.051 | 2.04 | 0.057 |
| GB | 3.18 | 0.054 | 8.16 | 0.000 | 5.85 | 0.000 |
| MDA | 2.86 | 0.07 | 2.46 | 0.051 | 1.80 | 0.090 |
| H2O2 | 11.63 | 0.000 | 1.88 | 0.122 | 3.06 | 0.007 |
| TPC | 23.63 | 0.000 | 6.80 | 0.000 | 6.55 | 0.000 |
| TF | 1.62 | 0.046 | 9.89 | 0.000 | 2.02 | 0.060 |
Disclaimer/Publisher’s Note: The statements, opinions and data contained in all publications are solely those of the individual author(s) and contributor(s) and not of MDPI and/or the editor(s). MDPI and/or the editor(s) disclaim responsibility for any injury to people or property resulting from any ideas, methods, instructions or products referred to in the content. |
© 2026 by the authors. Licensee MDPI, Basel, Switzerland. This article is an open access article distributed under the terms and conditions of the Creative Commons Attribution (CC BY) license.
Share and Cite
Mircea, D.-M.; Sapiña-Solano, A.; Molina, E.; Ferrer-Gallego, P.P.; Lidón, A.; Prohens, J.; Mir, R.; Vicente, O.; Boscaiu, M. Physiological and Biochemical Mechanisms Behind Enhanced Salinity Tolerance in Limonium irtaense Seedlings Following Recovery from Salt Stress. Plants 2026, 15, 451. https://doi.org/10.3390/plants15030451
Mircea D-M, Sapiña-Solano A, Molina E, Ferrer-Gallego PP, Lidón A, Prohens J, Mir R, Vicente O, Boscaiu M. Physiological and Biochemical Mechanisms Behind Enhanced Salinity Tolerance in Limonium irtaense Seedlings Following Recovery from Salt Stress. Plants. 2026; 15(3):451. https://doi.org/10.3390/plants15030451
Chicago/Turabian StyleMircea, Diana-Maria, Adrián Sapiña-Solano, Eloy Molina, P. Pablo Ferrer-Gallego, Antonio Lidón, Jaime Prohens, Ricardo Mir, Oscar Vicente, and Monica Boscaiu. 2026. "Physiological and Biochemical Mechanisms Behind Enhanced Salinity Tolerance in Limonium irtaense Seedlings Following Recovery from Salt Stress" Plants 15, no. 3: 451. https://doi.org/10.3390/plants15030451
APA StyleMircea, D.-M., Sapiña-Solano, A., Molina, E., Ferrer-Gallego, P. P., Lidón, A., Prohens, J., Mir, R., Vicente, O., & Boscaiu, M. (2026). Physiological and Biochemical Mechanisms Behind Enhanced Salinity Tolerance in Limonium irtaense Seedlings Following Recovery from Salt Stress. Plants, 15(3), 451. https://doi.org/10.3390/plants15030451

