Abstract
The species Inula helenium belongs to the genus Inula (Asteraceae) and exhibits antibacterial and anti-inflammatory properties. It is used in respiratory and skin diseases. Its bioactivity is attributed to its eudesmanolide components, mainly to alantolactone and isoalantolactone. These components were isolated in high purity from the plant’s dried roots, either via multiple column chromatography separations or via repeated recrystallization. Two more eudesmanolides structurally similar to their parent compounds were isolated, namely 11,13-dihydro-alantolactone and 11,13-dihydro-isoalantolactone. The secondary metabolites and their derivatives were characterized in detail, for the first time, via NMR spectroscopy, GC-MS, and HRMS. Synthetic modification of the natural component structure was considered necessary for structure–activity relationship studies and biological tests. Thus, each compound was converted to its nitrile and then to the corresponding acid, or to its azide derivative and then corresponding amine. Antioxidant studies were conducted on the parent compounds, their derivatives, and the methanolic and hexane plant extracts using the DPPH radical method. The study revealed a strong antioxidant capacity of the methanolic extract. Acaricidal studies of both natural products and synthetic analogs against Varroa destructor and the comparison of their activity with the parent natural product costic acid, as well as one of its synthetic congeners, indicated that the “from nature to synthesis and vice versa” approach led to active compounds as well as to meaningful conclusions regarding the “pharmacophore” groups in the structural framework of the acaricides.
1. Introduction
1.1. The Genus Inula
The genus Inula belongs to the Asteraceae family, also known as Compositae. Over 590 different plants are reported to belong to the genus Inula, of which only 112 are confirmed and accepted (The Plant List Database). Of these, twenty (20) species are observed in China, nineteen (19) in the European area, and twenty-six (26) in areas of Turkey. It is native to Europe in both its Mediterranean and temperate zones, in temperate and tropical Asia (central-southern Asia), and tropical Africa (southeast Africa). Also, some species of the genus have acclimatized in North America and Australia, as well as in areas of Siberia. Therefore, an almost global distribution is observed for the genus Inula. It is biodistributed in most temperate and some tropical regions. However, it is unable to thrive in areas with extreme temperatures and dryness, such as the Earth’s poles and deserts [1,2,3].
1.2. Characteristics of Inula helenium
The species Inula helenium L. belongs to the Compositae family and is a perennial plant. It is native to central and western Asia. In the Bronze Age it spread to Europe and Britain. Presently, it has also acclimatized in various regions of America, Australia, and a few regions in Siberia and China [2]. In the English language the common name of the plant is Elecampane.
1.3. The Parasite Varroa destructor
Varroosis, or varroatosis, is one of the main diseases that affects the brood and the adult bee. It is caused by the Varroa destructor mite, which is an ectoparasite. Originally, varroa was attributed to the parasite Varroa jacobsoni, which parasitized the Asian honey bee Apis cerana. At least two species of the parasite were distinguished after studying the genotype, phenotype, and reproductive differences between populations of V. jacobsoni. In fact, the varroosis that affects the bee Apis mellifera in all other regions, including Greece, is due to the parasite Varroa destructor [4].
On an individual level, bees infected with varroa are affected both by the loss of hemolymph, which is important for the bee’s immune system, and by the wound caused by the parasite’s bite, which favors the establishment of bacterial infections and diseases. At higher levels of infection, the symptoms are severe. Among the main symptoms observed are loss of weight, deformation of the wings, and disorientation when returning to the hive [5].
1.4. Initial Studies—Background of the Project
Prompted by the observation by local beekeepers that the use of branches of the plant for smoking beehives reduces the Varroa destructor population, we embarked on a project involving the phytochemical analysis of I. viscosa and the identification of the active ingredient(s). Our efforts were very successful, as the pesticide component in the plant was identified as costic acid (1) (Figure 1) and our results were secured by an international patent [6].
Figure 1.
Structure of beta-costic acid (1), (R)-2-((2R,4aR,8aR)-4a-methyldecahydronaphthalen-2-yl)succinic acid (2), alantolactone (3), and isoalantolactone (4). Structural similarities are highlighted in green.
Our biological assays included oxalic acid, a natural product used by the beekeepers against varroosis. The fact that a complicated structure such as costic acid and the simplest of the bicarboxylic acids were almost equipotent convinced us that a synthetic compound incorporating both natural products in its carbon framework would be at least equipotent to the parent compounds. Indeed, amongst a number of synthetic congeners, (R)-2-((2R,4aR,8aR)-4a-methyldecahydronaphthalen-2-yl)succinic acid (2), with distinct resemblance to both natural products, was found to be much more potent than its “components” [7].
The mere fact that a synthetic compound is more active than a similarly structured natural product led us to the hypothesis that it was very likely that our product would resemble a compound that occurs in nature. Research of the literature led us to alantolactone (3) and isoalantolactone (4), mentioned above as components of I. helenium, a plant of the same genus as I. viscosa.
The work described in this publication had a dual purpose: first, the isolation of the two lactones from the plant; and second, the synthesis of structures with the highest possible resemblance to our synthetic compound. The novelty of this study lies in its approach for identifying pharmaceutical substances, namely, it does not only include the use of natural products (in our case costic acid) as lead compounds for the synthesis of active analogs, but also the use of the synthetic products as lead compounds for the isolation of active natural products with similar structures. This procedure leads to the isolation of active natural compounds which are more abundant than costic acid.
In our work by Georgiladaki et al. [7] involving the enantioselective synthesis of costic acid analogs, the synthetic compound exhibited stronger activity, reaching 100% Varroa destructor mortality in two hours, whereas costic acid had a similar activity at least eight hours after its application. Alantolactone and isoalantolactone exhibit lower but similar activity (75% mortality in 18 h), but have the advantage of being more abundant than costic acid.
2. Results and Discussion
2.1. Structure Elucidation of Isolated Components from Inula helenium
Alantolactone
The first secondary metabolite isolated was 8-hydroxy eudesma-5,11(13)-dien-12-ic acid-γ-lactone, also known as alantolactone (3) (Figure 2), which is a sesquiterpene lactone of the eudesmanolide group. The structure of alantolactone is bicyclic, consisting of an α-methylene-γ-lactone, exocyclic methyl groups at positions 10 and 4, an intramolecular double bond between positions 5 and 6, and a methylene group on position 11. In Table 1, one- and two-dimensional NMR data of compound 3 are presented.
Figure 2.
Isolated compounds from Inula helenium and their general numbered structure. Double bonds at the same position in different isomers are highlighted with the same colors.
Table 1.
NMR spectroscopic data (500 MHz, CDCl3) of alantolactone.
Isoalantolactone
The second secondary metabolite isolated was 8β-hydroxy-linked 4(15),11(13)-dien-12-ic acid-γ-lactone, also known as isoalantolactone (4). Isoalantolactone is also a sesquiterpene lactone belonging to the group of eudesmanolides. The structure of isoalantolactone consists of a tricyclic sesquiterpene which has been metabolized to form an exocyclic methylene-group in the 4-position and contains an α-methylene-γ-lactone. In Table 2, one- and two-dimensional NMR data of compound 4 are presented.
Table 2.
NMR spectroscopic data (500 MHz, CDCl3) of isolantolactone.
11,13-dihydro-alantolactone
The third secondary metabolite isolated was 8β-hydroxy 4α-H-eudesma-5-en-12-ic acid-γ-lactone, also known as 11,13-dihydro alantolactone (3a), which is a sesquiterpene lactone of the group of eudesmanolides. The structure of dihydro-alantolactone includes a bicyclic sesquiterpene, containing an α-methyl-γ-lactone, an exocyclic methyl group at position 10 and position 4, an intramolecular double bond between positions 5 and 6, and a methyl group at position 11. A detailed NMR study of compound 3a is presented in Table 3.
Table 3.
NMR (500 MHz, CDCl3) of dihydro-alantolactone.
11,13-dihydro-isoalantolactone
The fourth secondary metabolite isolated was the compound 8β hydroxy-eudesma-4(15)-en-12-ic acid γ-lactone, also known as 11,13-dihydro isoalantolactone (4a), which is a sesquiterpene lactone of the group of eudesmanolides. The structure of 11,13-dihydroisoalantolactone also consists of a tricyclic sesquiterpene, which contains an α-methyl-γ-lactone, an exocyclic methyl group at position 10, an exocyclic methylene group at position 4, and a methyl group in position 11. A detailed NMR study of compound 4a is presented in Table 4.
Table 4.
NMR (500 MHz, CDCl3) of dihydro-isoalantolactone.
The assignment of each proton/carbon was based on the HMBC, HSQC, and COSY experiments. The distinct carbonyl carbon in each compound was the starting point for the assignment. From that point, protons at positions 11 and 13 can be validated, proceeding with the rest. Furthermore, the singlet and doublet peaks at positions 14 and 15, respectively, also serve as key points for assigning neighboring protons and carbons. In the case of the 3a derivative, the main difference from 3 is the methyl group at position 13. These methyl protons were mainly assigned using HMBC, given that these methyl protons interact with the carbonyl carbon at position 12. The same procedure is applied for the 4a derivative.
Regarding previous assignments, our 13C-NMR data from compound 3 are identical to those published by Kumar et al. [8] and similar to those published by Klochkov et al. [9], since we assign the peak at 32.7 ppm to position 2 instead of position 3, as they propose, and the peak at 16.73 ppm to position 3 instead of position 2. Similarly, we assign the carbon at 149.1 ppm to the carbon of position 5 and the peak at 139.83 ppm to the carbon of position 11, while they propose the opposite. However, our data for protons of the same compound are identical to those published by Klochkov et al. [9] and Gökbulut et al. [10] with minor differences, mainly of the protons of positions 1, 2, and 3 for compound 3, where the authors report a range in ppm or they do not provide any for H-5, whereas we were able to make distinct assignment.
For compound 4, our 13C-NMR data are identical to those published by Kumar et al. [8] and Klochkov et al. [9], while our proton data are largely identical to those published by Klochkov et al. and Gökbulut et al. [10], with minor differences mainly of the protons of positions 1, 2, and 3, where the authors report a range in ppm or they do not provide any for H-5, whereas we were able to make distinct assignment.
It must be noted that any differences in our NMR data compared with those in the literature are expected, given that their NMR instrument resolution is lower than ours.
2.2. Synthesis of Alantolactone and Isoalantolactone Derivatives
2.2.1. Alantolactone Derivatives
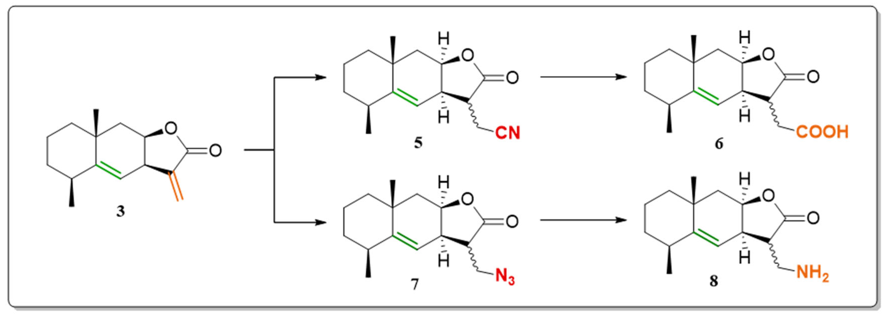
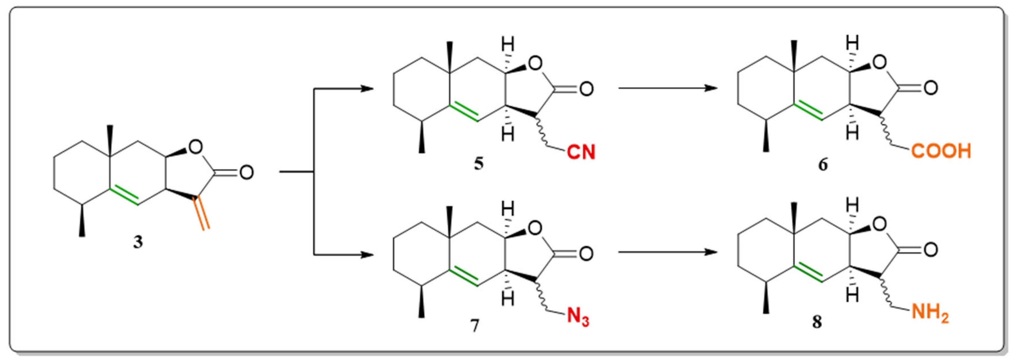
Nitrile introduction to alantolactone: The reaction takes place via a 1,4-Michael-type addition, with the nitrile ion as the donor. This reaction was tested by Nagata’s group in various Michael systems [11] and was applied in the present work under modified conditions. The reaction was complete within three hours with 98% conversion, giving the two diastereomers (5) shown above as products (Scheme 1). However, the separation of the two diastereomers was not possible.
Scheme 1.
Synthetic pathway of alantolactone derivatives. Double bonds at the same position in all compounds are highlighted in green. Changes in functional groups affected by the reactions are highlighted in different colors.
The stereochemistry of each diastereomer was assigned based on two main signals. In alantolactone it is known, both from the literature and from the NOESY spectrum, that H-7 and H-8 are pseudo-equatorial to each other, i.e., both are located in the same direction, “behind” the plane defined by the molecule. In the case of 5R, H-7 (δH 3.29 ppm) shows an interaction with H-8 (δH 4.83 ppm) in the 1H-1H NOESY spectrum, but it also interacts with H-11 (δH 3.18 ppm). Respectively, H-11 shows an interaction with H-7, H13a (δH 2.88 ppm), and H13b (δH 2.46 ppm). Therefore, it is concluded that H-11 is also in the same direction as H-7 and H-8, “behind” the plane of the molecule, i.e., the stereogenic center has an R configuration. On the other hand, in the case of 5S, in the 1H-1H NOESY spectrum, the interaction of H-7 (δH 3.01 ppm) with H-8 (δH 4.96 ppm) is clearly visible, but not with H-11 (δH 2.66 ppm). Moreover, H-11 only interacts with H-13a (δH 2.82 ppm). In this case, H-11 is oriented in front of the plane of the molecule and the configuration of the stereogenic center is S.
Hydrolysis of alantolactone nitrile to acid: Hydrolysis of the nitrile is the next step, which takes place under basic conditions. This reaction was reported by Hansen in 1933 [12]; however, the present work required milder heating. Under these basic conditions of the reaction, the nucleophilic attack of the base on the lactone ring is observed, resulting in its opening. Closing of the ring requires heating to 80 °C under acidic conditions for 40 min. The reaction gives the two diastereomeric products 6R and 6S, but by-product formation is also observed at five percent (5%). It is expected that the abstraction of H-11 in 5R and 5S will take place at different rates since the compounds are diastereomers and a difference in activation energy of the reaction is expected. Indeed, the nitrile difference in the diastereomeric ratio was 65:35 and after their hydrolysis to acids it changed to 55:45. This happens because H-11 is in the α-position to the carbonyl and simultaneously in the β-position to the nitrile and is, therefore, acidic enough to be removed under the strong basic conditions of the reaction. Abstraction and subsequent attack of the proton from either face of the molecule causes a change in the diastereomeric ratio.
Regarding the confirmation of the stereochemistry of each diastereomer, for compound 6R there is a weak interaction of H-11 (δH 2.73 ppm) with H-7 (δH 2.84 ppm) and H-8 (δH 4.89 ppm). Therefore, H-11 is oriented towards the “back” side of the molecule and the resulting stereogenic center has an R configuration. A similar comment cannot be made for the secondary isomer of acid 6S, since the signals of H-11 (δH 3.28 ppm) and H-7 (δH 3.27 ppm) of the two diastereomers coincide.
Azide addition into alantolactone: The Michael addition of azide was performed according to Zaki’s protocol [13]. The Michael reagent chosen was trimethylsilyl azide (TMSN3), while the reaction took place in anhydrous conditions under a nitrogen atmosphere. At the end of the reaction, two diastereoisomeric products are formed, 7R and 7S.
To verify the stereochemistry of the products, a 1H-1H NOESY spectrum was recorded. In the case of 7R, the interaction of H-11 (δH 3.06 ppm) with H-7 (δH 3.19 ppm), H-13a (δH 3.80 ppm), H-13b (δH 3.43 ppm), and weakly with H-8 (δH 4.78 ppm) was noted. In the case of 7S, H-11 (δH 2.53 ppm) interacts only with H-13a (δH 3.70 ppm) and H-13b (δH 3.70 ppm). Therefore, in 7R, H-11 and H-7 are located in the same direction and the configuration of the stereogenic center is R, while in 7S they are opposite to each other and the stereogenic center configuration is S.
Reduction of alantolactone azide to an amine: A final transformation carried out for the specific substrate is the reduction of the azide to the corresponding amine. This reaction is carried out through the interaction of the substrate with triphenyl phosphine (PPh3), a classic Staudinger reaction, yielding the corresponding iminophosphine of the compound. Upon acid hydrolysis, the iminophosphine yields the desired amine.
However, only one of the two diastereomers is isolated; the theoretically expected mixture of 8R and 8S was not detected due to the large diastereomeric excess of nitrile 7 of R configuration at the C-11 stereocenter. The attempt to confirm its stereochemistry by 1H-1H NOESY spectrum was not conclusive, given the fact that the H-7, H-11, and H-13 resonance signals are overlapping. Nevertheless, the apparently significant difference in diastereomeric excess between nitriles 7R and 7S leads to the conclusion that the product is of R configuration.
2.2.2. Isoalantolactone Derivatives
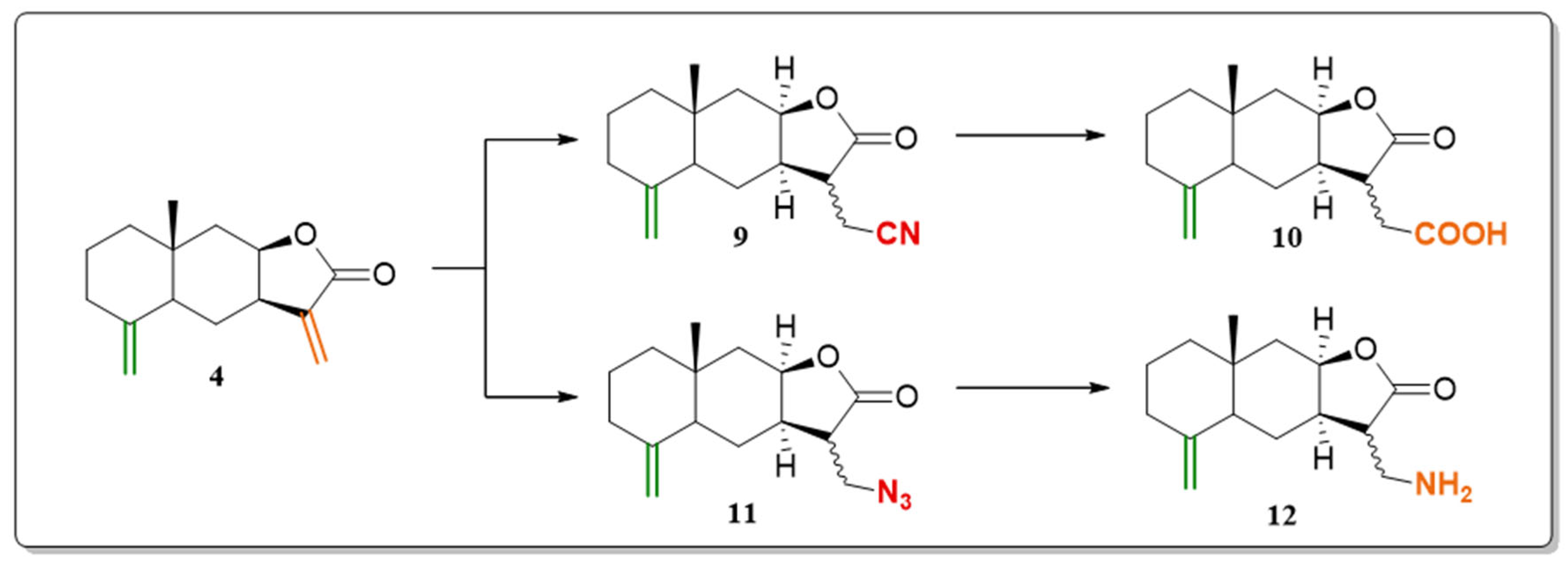
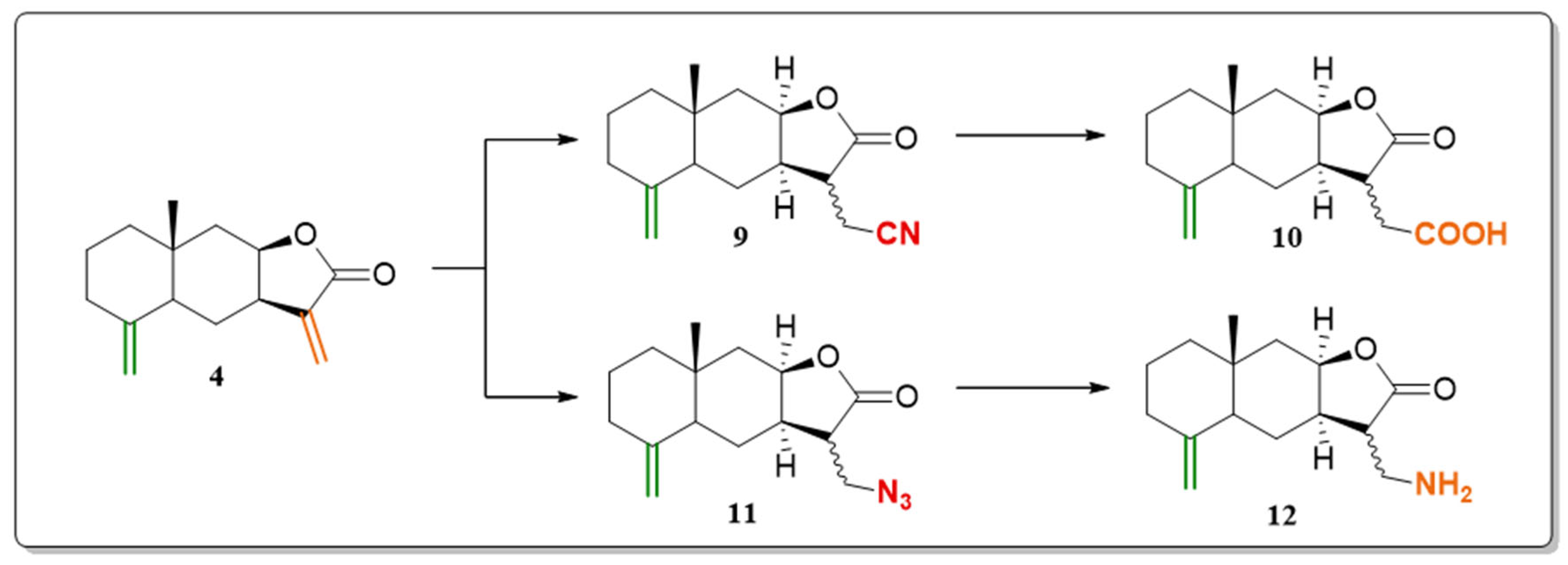
Nitrile insertion into isoalantolactone: As in the case of alantolactone, the reaction is a Michael addition with the nitrile ion as the donor. The reaction was complete within three hours with 95% conversion, giving the two diastereomers, shown above, as products (Scheme 2). The diastereomeric excess was determined by both the quantitative analysis of the GC-MS data and the 1H NMR spectrum, since all peaks appeared separately. Of the product, 9R formed 90%, while 9S formed 10%. However, separation of the two diastereomers was not possible.
Scheme 2.
Synthetic pathway of isoalantolactone derivatives. Double bonds at the same position in all compounds are highlighted in green. Changes in functional groups affected by the reactions are highlighted in different colors.
Regarding the stereochemistry of each diastereomer, the 1H-1H NOESY study was focused on the major product 9R, where H-7 (δH 2.68 ppm) clearly interacts with H-11 (δH 3.12 ppm), and vice versa. Also, H-8 (δH 4.57 ppm) interacts with H-11 and H-11 interacts with H-7, H-8, H-13a (δH 2.90 ppm), and H-13b (δH 2.53 ppm). Therefore, it is concluded that, in this structure, H-11 is in the same direction, with H-7 and H-8 “behind” the plane of the molecule, so the configuration of the stereogenic center is R.
Hydrolysis of isoalantolactone nitrile to acid: The next step is the hydrolysis of the nitrile of isoalantolactone to form an acid, which takes place under basic conditions. In the case of isoalantolactone, despite strongly basic conditions, no lactone ring opening was observed.
As expected, the reaction gives the two diastereomeric products 10R and 10S, but ten percent (10%) by-product formation is also observed. The diastereomeric excess is determined from the 1H NMR spectrum, since the signals appear separately, with 10R forming 68% and 10S forming 32% of the product. Both the diastereomeric ratio and the existence of a by-product were also confirmed by quantitative analysis of the corresponding GC-MS data, after treatment of the acids with N,O-Bis(trimethylsilyl)trifluoroacetamide (BSTFA).
It is important to underline once more the difference in the ratio of the diastereomers of the nitrile starting materials (90:10) and the acids (68:32). This is also due to the acidic nature of H-11 as it is in an α-position to the carbonyl and at the same time in a β-position to the nitrile. Elimination, and subsequent attack of the proton from either face of the molecule, results in a change in the diastereomeric ratio.
The stereochemistry of the reaction products is established through the 1H-1H NOESY spectrum. In compound 10R, the interaction between H-11 (δH 2.71 ppm) and H-7 (δH 2.32 ppm) is evident. In the case of product 10S, no similar interaction of H-11 (δH 3.21 ppm) with H-7 (δH 2.62 ppm) is observed. H-11 interacts only with H-13a (δH 2.94 ppm) and H-13b (δH 2.60 ppm) and weakly with H-6a (δH 1.13 ppm). Therefore, in product 10R, the stereogenic center of C-11 has an R configuration, while 10S has an S chiral center.
Azide insertion into isoalantolactone: Isoalantolactone undergoes a 1,4-addition of azide, under the same conditions as alantolactone and using trimethylsilyl azide (TMSN3) under dry conditions and a nitrogen atmosphere. During the reaction, the formation of only one diastereomer 11R is observed in the NMR spectra.
The stereochemistry of product 11R is verified by the 1H-1H NOESY spectrum which shows a strong interaction of H-11 (δH 2.98 ppm) with H-7 (δH 2.57 ppm) and H-8 (δH 4.51 ppm). Therefore, H-11 is oriented toward the beta face of the molecule and the configuration of the C-11 stereocenter (δC 47.2 ppm) is R.
Reduction of isoalantolactone azide to amine: The next transformation of the substrate is a reduction of the azide to the corresponding amine. This reaction, as in the case of alantolactone, takes place through the interaction of the substrate with triphenylphosphine (PPh3), a classic Staudinger reaction, forming the corresponding iminophosphine that, upon hydrolysis, yields the desired amine 12R.
As expected from the stereochemistry of the reactant, but also confirmed by the 1H-1H NOESY spectra, in product 12R, the configuration of the stereogenic center of C-11 (δC 49.6 ppm) is R, since H-11 is in the beta face of the molecule and therefore it exhibits a strong interaction with H-7 (δH 2.67 ppm) and H-8 (δH 4.56 ppm).
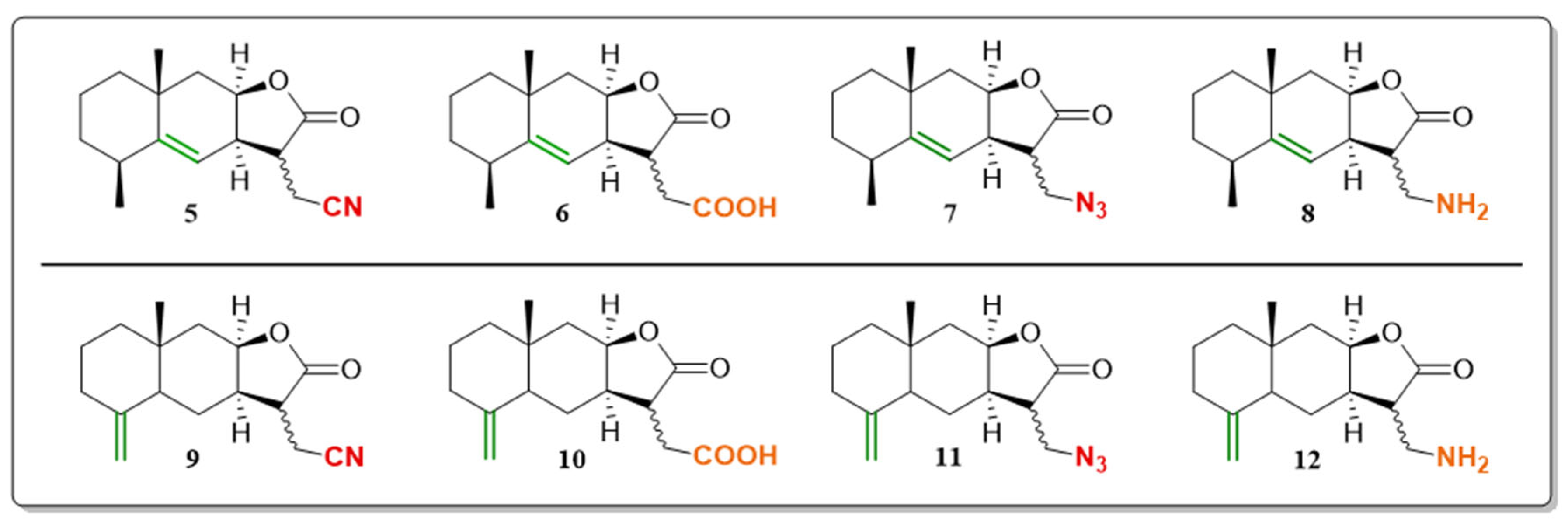
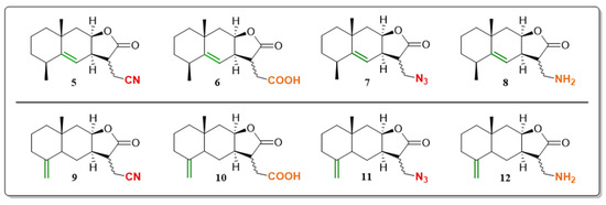
A list of synthetic derivatives of alantolactone and isoalantolactone is shown in Figure 3.
Figure 3.
List of synthetic derivatives of alantolactone and isoalantolactone. Double bonds at the same position in all compounds are highlighted in green. Changes in functional groups affected by the reactions are highlighted in different colors.
A summary of the percentage yields and diastereomeric ratios of all synthetic products is presented in Table 5.
Table 5.
List of synthetic derivatives, their diastereomeric ratios, and the method of determination.
2.3. Biological Assays
2.3.1. Antioxidant Study
The study of antioxidant capacity via the DPPH method was performed for the isolated compounds alantolactone (3) and isoalantolactone (4), as well as for all of their synthetic derivatives. The antioxidant evaluation was conducted independently of the acaricidal assays and was intended to provide a broader characterization of the redox-related properties of the isolated compounds and plant extracts, rather than to imply a mechanistic relationship between radical-scavenging capacity and acaricidal activity.
A range of concentrations of the order of 0.01 to 50 mM was tested for all compounds, since at this range antioxidant activity is observed for the compounds of the terpene class [14,15]. Alantolactone (3) did not show strong reducing activity towards DPPH, with the maximum inhibition rate of the DPPH· radical reaching 8.20% at a concentration of 12.5 mg/mL (53.88 μM). However, the amine of alantolactone (8) showed significant antioxidant activity, since complete inhibition of the radical was observed at a concentration of 12.5 mg/mL. The IC50 value was 4.42 ± 0.38 mg/mL, which, when expressed in molarity, corresponds to 17.74 ± 1.52 mM.
Except for the amine of alantolactone (8), the rest of the synthetic derivatives of alantolactone did not show strong antioxidant activity, with the observed inhibition of the DPPH radical ranging from 10.68% and below, as shown in the diagram (in Supplementary Information). Again, isoalantolactone (4), did not exhibit strong reducing activity towards the DPPH radical, since the maximal scavenging activity was observed at a concentration of 12.5 mg/mL (53.84 mM, 4.60%). As expected, none of the synthetic derivatives of isoalantolactone (4) showed significant activity, with the percentage of radical inhibition by the compounds ranging from 5.16% for the isoalantolactone amine (12) to lower. Due to the low antioxidant activity of the compounds, it was not possible to calculate the IC50 values.
Subsequently, we focused on the methanolic and hexane total extracts of I. helenium, which were studied in a concentration range from 0.01 mg/mL to 25 mg/mL. The hexane extract showed a reducing activity towards DPPH, with radical inhibition at a concentration of 25 mg/mL reaching 98.34% and the IC50 being calculated as 14.00 ± 0.5 mg/mL. Therefore, it can be safely concluded that the antioxidant activity displayed by the hexane extract is not largely due to alantolactone (3) and isoalantolactone (6), but to other components of the extract.
However, the methanolic extract exhibited a strong antioxidant capacity with radical inhibition at a concentration of 25 mg/mL, reaching 99.02% with a calculated IC50 of 0.60 ± 0.05 mg/mL.
The phytochemical profiling of extracts of Inula helenium has been reported [16], aiming for investigation of the chemical composition of Inula helenium extracts and the evaluation of the antioxidant potential conferred by the chemical constituents.
Antioxidant constituents found in the roots, leaves, and flowers of Inula helenium include phenolic acids (caffeic acid, chlorogenic acid, hydroxybenzoic acid, and ferulic acid derivatives) flavonoids (quercetin, kaempferol, luteolin, epicatechin, and catechingallate), and terpenoids (β-caryophyllene). Sesquiterpene lactones such as alantolactone and isoalantolactone have been mentioned to be antioxidants and anti-inflammatory agents [17].
It should be noted that all studies were carried out using ascorbic acid as a standard, for which the corresponding DPPH radical inhibition percentage plot was constructed. Its IC50 was calculated as equal to 0.0187 ± 0.0003 mg/mL, or expressed in molarity equal to 0.1061 ± 0.0017 mM. A summary table follows, with the calculated IC50 values of the samples showing antioxidant activity, as well as the R2 coefficients for the data fitting model used (Table 6).
Table 6.
IC50 and R2 values of the samples exhibiting antioxidant activity.
Sesquiterpene lactones bearing an α-methylene-γ-lactone motif have been widely studied, and structure–activity relationships suggest that this electrophilic functionality can interact with biological nucleophiles, contributing to diverse biological effects [18,19]. However, no correlation was observed between DPPH radical-scavenging activity and acaricidal potency in the present study, suggesting that redox-mediated mechanisms are not central to the acaricidal action against Varroa destructor. The enhanced DPPH radical-scavenging activity observed for the alantolactone amine derivative is most likely attributed to the introduction of a proton-donating amine functionality and does not reflect a general feature of the eudesmanolide scaffold.
2.3.2. Acaridical Study
Analysis of the data of the acaricidal studies led to a number of interesting results. Activity of the natural products isoalantolactone (4) and alantolactone (3) is expected, given their structural resemblance to beta-(1) and alpha-costic acid, respectively (see Supplementary Information).
Their relatively lower activity compared to that of their parent compounds could be attributed to the fact that their carboxylic acid moieties are “masked” in the form of lactonic rings between the C-7 and C-8 positions.
Another interesting point that emerges from the comparison of the potency results refers to the rate of increase in the potency of the analogs. Costic acid (1) exhibits 100% activity in fourteen hours; however, it reaches 50% activity at seven hours of exposure of the mites to the drug. Isoalantolactone (4) and alantolactone (3) reach 80% activity in 24 h, but in half the time (12 h) they also exhibit half of their maximal activity (Figure 4). It appears, therefore, that 4 and 3 are both less active and slower than the parent compound (1), but they exhibit similar rate of potency.
Figure 4.
Percentage of acaridical mortality of Varroa destructor when treated with (A) isoalantolactone and (B) alantolactone, over time.
A similar interpretation could be offered in the case of the corresponding isoalantolactone and alantolactone acids (10 and 6), given that the isoalantolactone acid (10) is structurally similar to the synthetic product 2 reported previously by our group [7] (Figure 5). Again, the lower activity of 10, compared to that of 2, indicates that the “pharmacophore” of the acaricidal drugs preferably contains a free carboxylic moiety rather than its lactone analog.
Figure 5.
Percentage of acaridical mortality of Varroa destructor when treated with (A) isoalantolactone acid and (B) alantolactone acid, over time.
The acaricidal profile of bis-carboxylic acid 2 is remarkable: Varroa destructor mortality is over 80% in two hours and reaches 100% in six hours. The fact that the isoalantolactone and alantolactone acid congeners (10 and 6) reach a maximal acaricidal activity of 80% after 24 h indicates that the active site binding the costic acid-type drugs contains a carboxylate-binding domain that favors binding free carboxylate moieties rather than their lactonic analogs.
Regarding the alantolactone amine 8, its inertness is apparent when the control values are subtracted for the corresponding activity values of the amine. The mean activity values are maximal at 20% (see Supporting Information).
Phytochemical analysis of Inula helenium extracts did not reveal the presence of amines, in contrast to the numerus acids isolated in the study. This result may indicate that the “pharmacophore” interacts with the active site through a carboxylic moiety rather than an aliphatic amine.
Carboxylic acids are known to interact with the amino groups of proteins in binding sides. The presence of the carboxylate moiety might be a sufficient but not necessary condition for acaricidal activity and could hold only for eudesmane-type compounds. The fact that formic acid and oxalic acid are as active as costic acid implies that the carboxylic moiety, even in its simplest form, activates the acaricidal process. However, other acaricides that act against Varroa destructor do not contain carboxylic groups: cumaphos is an organophosphate, amitraz is a formamidine, and tau fluvalinate and flumethrine are pyrethroid esters. These compounds are active [17], apparently through different interactions with the active site.
In a previous publication by our group [6], insecticide Byvarol (active ingredient flumethine) was found equipotent to costic acid, the lead compound in our studies. Pyrethroid insecticides like flumethrinare control the Varroa destructor mite through interactions with the sodium channel [20]. The active site interaction is through L925 (Leucine 925).
Organophosphorus insecticides, such as cumaphos, act via phosphorylation of the serine hydroxyl group within the active site of AChE [21].
The acaricide amitraz is known to act on octopamine receptors; however, the exact molecular target site in Acari remains unclear. However, there is evidence showing that βAOR is the main target of DPMF(N2-(2,4-Dimethylphenyl)-N1-methyformamidine), the active metabolite of amitraz [22]. There is evidence that I61F SNP is associated with resistance to amitraz [23]. I61F SNP is a specific genetic mutation where an Isoleucine amino acid is replaced by a Phenylalanine at position 61 in the RmβAOR gene.
From the above data, we may conclude that each class of insecticides has a different mode of interaction with the active sites.
3. Materials and Methods
3.1. General Experimental Procedures
All purchased chemical reagents (Sigma-Aldrich, Merck and Fluka, Taufkirchen, Germany) were of the highest commercial purity and were used without prior purification. The 1D NMR spectra 1H and 13C and the 2D NMR spectra COSY, 1H-1H NOESY, HSQC, and HMBC were recorded in solutions of CDCl3 or CD3OD and are referenced to the residual peaks at δ = 7.26 ppm and δ = 77.0 ppm for CDCl3 and at δ = 3.31 ppm and δ = 49.05 ppm for CD3OD for 1H and 13C, respectively. All analyses were performed on a BrukerFT-NMRAMX 500(Bruker, Rheinstetten, Germany), operating at 500 MHz for 1H and 125 MHz for 13C. The chemical shifts are expressed in δ ppm and the coupling constants (J) in Hz. GC–MS was carried out using a ShimadzuNexisGC-2030 instrument (Tokyo, Japan), which was equipped with a MEGA-5 HT capillary column (30 m × 0.25 mm diameter × 0.25 μm thickness) and was coupled to a Shimadzu GCMS-QP2020NX 24 mass detector, Tokyo, Japan. Silica gel 60 F254 plates: Merck KGaA, Darmstadt, Germany were used for TLC. Spots on TLC plates were detected first under a UV lamp on 254 nm and 365 nm and then by heating after spraying with 7% ethanolic solution of phosphomolybdic acid.
3.2. Plant Material Collection
The roots of Inula helenium used in this study have been purchased from the company Dictamus, Genuine Cretan Herbs, Heraklion, Crete, Greece, while the sample was harvested from the region of Serbia during the month of October 2019. The received material was chopped into small pieces which were dried in the dark.
3.3. Extraction Procedure
First Extraction Method
The roots of the plant were crushed into smaller pieces (0.5–2 mm) and placed in a conical flask containing 600 mL of methanol [8]. After stirring for two days at room temperature, the extract was collected by filtration with a Buchner funnel and subsequent removal of the solvent in a rotary evaporator. The roots were again subjected to methanol (600 mL) extraction for an additional two-day period as above. The combined extract residues were dissolved in 600 mL of hexane and stirred for two days at room temperature with a magnetic stirrer. The hexane extract was isolated by filtration and removal of the solvent.
Second Extraction Method
A total of 250.02 g of Inula helenium roots (250.0 g) were crushed and divided into two 125 g parts. Each portion was placed in an Erlenmeyer flask containing 500 mL of chloroform and stirred for two days at room temperature. The extracts were collected and the roots of the plant were subjected to the same procedure again. The two extracts were combined, filtered under vacuum in a Buchner funnel, and the solvent was concentrated in vacuo using a rotary evaporator. The brownish extract was of a sticky and thick texture. Finally, the residue was filtered on a Schott filter topped with 1 cm silica gel layer using benzene as eluent, until the eluate was colorless, obtaining the “benzene extract”. The filter was again eluted with methanol, yielding the “methanolic extract”.
During the optimization of the extraction and isolation methods, two different extraction methods were tested. Their choice was based on common methods of extraction for the plants. However, as shown by NMR spectra, both the final hexane extract of the first method and the final benzene extract of second method resulted in similar extract profiles. The preference of the first method was based on the fact that hexane is a less toxic solvent compared to benzene and chloroform. Regardless of the extraction method, the desired compounds were isolated following the same procedure (number of columns and solvent system).
3.4. Antioxidant Study with DPPH
Method: The antioxidant capacity of the compounds and plant extracts was determined through the DPPH method, following a modified protocol based on the method of Brand–Williams et al. [24]. According to the method, DPPH (2,2-diphenyl-1-picryl-hydrazyl), a stable radical in methanolic solution, has a maximum absorption at 515 nm, imparting a purple color to the solution. In the presence of substances with antioxidant activity, the DPPH radical is reduced to DPPH-H (2,2,-diphenyl-1-picryl-hydrazine), which has a yellow color, and the absorbance at 515 nm decreases as the radical decreases, this change being determined spectrophotometrically.
The reduction in the DPPH radical by substances with antioxidant activity is primarily based on an electron transfer mechanism (Single Electron Transfer or SET) and to a lesser extent on a hydrogen atom transfer mechanism (HAT) [25]. The percentages of DPPH radical inhibition at various concentrations of the samples were fitted to a dose–response curve, and from the equation of the curve the IC50 value was calculated, referring to the amount of substance that causes a 50% inhibition of DPPH radicals.
3.5. Acaricidal Studies
Mites and Bees
The protocol described below is a modification of an earlier-published procedure [6]. The V. destructor mites were collected from the colonies of A. mellifera with sister queens. For mite collection, an apparatus method was used, introduced by Ariana et al. [26]. Approximately 1000 infected adult honeybees were transferred into a wire-screen cylinder, directly from bee frames. The cylinder was then placed inside a second Plexiglass cylinder. CO2 was released for 5 min with a flow rate of 5 L/min inducing anesthesia to the mites as well as to the bees. Then, the apparatus was shaken several times in order to separate the mites from the bees. The wire-screen cylinder was taken out of the apparatus and the bees were returned to their mother colony where, a few minutes later, they all recovered from the effect of the anesthesia. By this method, more than 80% of the mites were separated from the bees, falling to the bottom of the outer cylinder. The mites were collected and placed into test vials. No mortality of bees was observed after repeated trials. The mortality of mites observed was less than 0.1%.
3.6. Screening Tests
Screening of the synthetic analogs was performed as in the study of costic acid described previously [6]. The experiment was conducted in five replications under laboratory conditions in a completely randomized design. The isolated Varroa destructor were immediately placed in groups of five at the bottom of 35 mL glass vials with the help of a stereoscope. The compounds studied were used to make 10 mg/mL acetone solutions, which were placed on filter paper fitted to the caps. Doses of 60 μL, chosen as the optimal dose for costic acid activity, were used for measurements [6]. Acetone (60 μL) was applied as a control in some vials (five replicates). Nitrogen gas was used to remove acetone from the vials and 20 μL H2O was added to maintain the necessary moisture levels. The vials with Varroa destructor were then sealed and were incubated at 32 °C. The mortality of mites was recorded in two-hour time intervals under a stereoscope binocular set.
3.7. Data Analysis
Graphs and statistical analysis were performed using Statistica software, version 7.1 (Stat Soft Inc., Tulsa, OK, USA) [27], while t-tests were performed using MS Office Excel 2013.
We performed a t-test (one-tailed, equal variance) for each compound with its control and the pairs between the parental compound (lactone) and the corresponding synthetic analog (acid).
In the first t-tests, statistical significance is evident after 6–8 h for the two lactones (p 0.02–0.07) and after 12 h for the two acids (p 0.01–0.04). These data provide evidence that the natural product’s acaricidal activity is expressed faster than that of the synthetic congeners.
In the pairs between the various compounds, no statistically significant differences appear, as indicated by the average p values in these comparisons (see Supplementary Information).
4. Conclusions
The synthetic analog of a natural product with acaricidal activity against Varroa destructor led to the identification of a group of natural products and the subsequent synthesis of a second series of active synthetic acaricides. The sequence of studies of the natural products and their synthetic congeners led to meaningful conclusions regarding the “pharmacophore” group in the structural framework of the acaricides.
Supplementary Materials
The following supporting information can be downloaded at https://www.mdpi.com/article/10.3390/plants15020310/s1; Tables S1.1–S1.12: Synthetic Procedures and Analytical Data of Alantolactone and Isoalantolactone Derivatives. Figures S2.1–S2.75: Exemplary copies of NMR spectra of compounds. Figures S2.76–S2.86: GC-MS chromatograms of diastereomeric mixtures. Figures S3.1–S3.2: Biological assays-Acaricidal Studies. Tables S3.1–S3.5 Biological assays-Acaricidal Studies. Figures S3.3–S3.5 Biological assays-Antioxidant Studies.
Author Contributions
Conceptualization, E.P. and H.E.K.; Methodology, E.P., D.I., M.K. and D.M.; Software, A.S. and N.C.S. is; Validation, D.G.; Formal analysis, A.S. and N.C.S. is; Investigation, E.P., M.K., D.M. and N.C.S. is; Resources, H.E.K.; Data curation, A.S. and N.C.S. is; Writing—original draft, E.P. and H.E.K.; Writing—review & editing, E.P., D.G. and H.E.K.; Visualization, H.E.K.; Supervision, D.I., D.G. and H.E.K.; Project administration, H.E.K. All authors have read and agreed to the published version of the manuscript.
Funding
This research received no external funding.
Data Availability Statement
The original contributions presented in this study are included in the article/supplementary material. Further inquiries can be directed to the corresponding author.
Conflicts of Interest
The authors declare no conflict of interest.
References
- Seca, A.M.; Grigore, A.; Pinto, D.C.; Silva, A.M. The genus Inula and their metabolites: From ethnopharmacological to medicinal uses. J. Ethnopharmacol. 2014, 154, 286–310. [Google Scholar] [CrossRef]
- Tobyn, G.; Denham, A.; Whitelegg, M. The Western Herbal Tradition: 2000 Years of Medicinal Plant Knowledge; Elsevier: Amsterdam, The Netherlands, 2010. [Google Scholar]
- The Euro + Med Plantbase Project. Available online: https://ww2.bgbm.org/EuroPlusMed/query.asp (accessed on 3 June 2023).
- Anderson, D.L.; Trueman, J.W. Varroa jacobsoni (Acari: Varroidae) is more than one species. Exp. Appl. Acarol. 2000, 24, 165–189. [Google Scholar] [CrossRef] [PubMed]
- Reams, T.; Rangel, J. Understanding the Enemy: A Review of the Genetics, Behavior and Chemical Ecology of Varroa destructor, the Parasitic Mite of Apis mellifera. J. Insect Sci. 2022, 22, 1–10. [Google Scholar] [CrossRef] [PubMed]
- Sofou, K.; Isaakidis, D.; Spyros, A.; Büttner, A.; Giannis, A.; Katerinopoulos, H.E. Use of costic acid, a natural extract from Dittrichia viscosa, for the control of Varroa destructor, a parasite of the European honey bee. Beilstein J. Org. Chem. 2017, 13, 952–959. [Google Scholar] [CrossRef] [PubMed]
- Georgiladaki, S.; Isaakidis, D.; Spyros, A.; Tsikalas, G.K.; Katerinopoulos, H.E. Enantioselective synthesis of a costic acid analogue with acaricidal activity against the bee parasite Varroa destructor. R. Soc. Open Sci. 2020, 7, 200612. [Google Scholar] [CrossRef]
- Kumar, A.; Kumar, S.; Kumar, D.; Agnihotri, V.K. UPLC/MS/MS Method for Quantification and Cytotoxic Activity of Sesquiterpene Lactones Isolated from Saussurea Lappa. J. Ethnop. 2014, 155, 1393–1397. [Google Scholar] [CrossRef]
- Klochkov, S.G.; Afanase’va, S.V.; Pushin, A.N. Acidic Isomerization of Alantolactone Derivatives. Chem. Nat. Compd. 2006, 42, 400–406. [Google Scholar] [CrossRef]
- Gökbulut, A.; Şarer, E. Isolation and quantification of alantolactone/isoalantolactone from the roots of Inula helenium subsp. Turcoracemosa. Turk. J. Pharm. Sci. 2013, 10, 447–452. [Google Scholar]
- Nagata, W.; Yoshioka, M.; Murakami, M. Hydrocyanation. VI. Application of the New Hydrocyanation Methods to Conjugate Hydrocyanation of α,β-Unsaturated Ketones, Conjugated Dienones, and Conjugated Enamines and to Preparation of α-Cyanohydrins. J. Am. Chem. Soc. 1972, 94, 4654–4672. [Google Scholar] [CrossRef]
- Hansen, V. Uber die Bitterstoffe der Alantwurzel. J. Prakt. Chem. 1933, 136, 176–192. [Google Scholar] [CrossRef]
- Zaki, M.; Loubidi, M.; Bilgiç, T.; Birim, D.; Akssira, M.; Dagcı, T.; Berteina-Raboin, S.; Saso, L.; Khouili, M.; Armagan, G. Design, Synthesis, and Biological Evaluation of Novel Tomentosin Derivatives in NMDA-Induced Excitotoxicity. Pharmaceuticals 2022, 15, 421. [Google Scholar] [CrossRef] [PubMed]
- Achika, J.I.; Ayo, R.G.; Habila, J.D.; Oyewale, A.O. Terpenes with antimicrobial and antioxidant activities from Lannea humilis (Oliv.). Sci. Afr. 2020, 10, e00552. [Google Scholar] [CrossRef]
- Wang, C.Y.; Chen, Y.W.; Hou, C.Y. Antioxidant and antibacterial activity of seven predominant terpenoids. Int. J. Food Prop. 2019, 22, 230–238. [Google Scholar] [CrossRef]
- Spiridon, I.; Nechita, C.B.; Niculaua, M.; Armatu, M.A.; Teacă, C.A.; Bodîrlău, R. Antioxidant and chemical properties of Inula helenium root extracts. Cent. Eur. J. Chem. 2013, 11, 1699–1709. [Google Scholar] [CrossRef]
- de Mattos, I.M.; Soares, A.E.E.; Tarpy, D.R. Effects of synthetic acaricides on honey bee grooming behavior against the parasitic Varroa destructor mite. Apidologie 2017, 48, 483–494. [Google Scholar] [CrossRef]
- Hur, J.; Jang, J.; Sim, J. A Review of the Pharmacological Activities and Recent Synthetic Advances of γ-Butyrolactones. Int. J. Mol. Sci. 2021, 22, 2769. [Google Scholar] [CrossRef]
- Schmidt, T.J. Structure-Activity Relationships of Sesquiterpene Lactones. In Studies in Natural Products Chemistry; Elsevier: Amsterdam, The Netherlands, 2006; Volume 33, pp. 309–392. [Google Scholar] [CrossRef]
- Vlogiannitis, S.; Jonckheere, W.; Laget, D.; de Graaf, D.C.; Vontas, J.; Van Leeuwen, T. Pyrethroid target-site resistance mutations in populations of the honey bee parasite Varroa destructor (Acari: Varroidae) from Flanders, Belgium. Exp. Appl. Acarol. 2021, 85, 205–221. [Google Scholar] [CrossRef]
- Kaneko, H.; Miyamoto, J. Pyrethroid Chemistry and Metabolism. Available online: https://www.sciencedirect.com/topics/agricultural-and-biological-sciences/flumethrin (accessed on 20 December 2025).
- De Rouck, S.; İnak, E.; Dermauw, W.; Van Leeuwen, T. A review of the molecular mechanisms of acaricide resistance in mites and ticks. Insect Biochem. Mol. Biol. 2023, 159, 103981. [Google Scholar] [CrossRef]
- Corley, S.W.; Jonsson, N.N.; Piper, E.K.; Cutullé, C.; Stear, M.J.; Seddon, J.M. Mutation in the RmβAOR gene is associated with amitraz resistance in the cattle tick Rhipicephalus microplus. Proc. Natl. Acad. Sci. USA 2013, 110, 16772–16777. [Google Scholar] [CrossRef]
- Brand-Williams, W.; Cuvelier, M.E.; Berset, C. Use of a free radical method to evaluate antioxidant activity. LWT-Food Sci. 1995, 28, 25–30. [Google Scholar] [CrossRef]
- Prior, R.L.; Wu, X.; Schaich, K. Standardized Methods for the Determination of Antioxidant Capacity and Phenolics in Foods and Dietary Supplements. J. Agric. Food Chem. 2005, 53, 4290–4302. [Google Scholar] [CrossRef]
- Ariana, A.; Ebadi, R.; Tahmasebi, G. Laboratory evaluation of some plant essences to control Varroa destructor (Acari: Varroidae). Exp. Appl. Acarol. 2002, 27, 319–327. [Google Scholar] [CrossRef]
- Statistica, Version 7.1; Computer Software; StatSoft, Inc.: Tulsa, OK, USA, 2005. Available online: http://www.statsoft.com (accessed on 20 December 2025).
Disclaimer/Publisher’s Note: The statements, opinions and data contained in all publications are solely those of the individual author(s) and contributor(s) and not of MDPI and/or the editor(s). MDPI and/or the editor(s) disclaim responsibility for any injury to people or property resulting from any ideas, methods, instructions or products referred to in the content. |
© 2026 by the authors. Licensee MDPI, Basel, Switzerland. This article is an open access article distributed under the terms and conditions of the Creative Commons Attribution (CC BY) license.






