Identification of a GA-Related Cis-Element Regulating Male Peduncle Elongation in Papaya
Abstract
1. Introduction
2. Results
2.1. Expression Pattern of CpSVP Driven Under Its Native Promoter
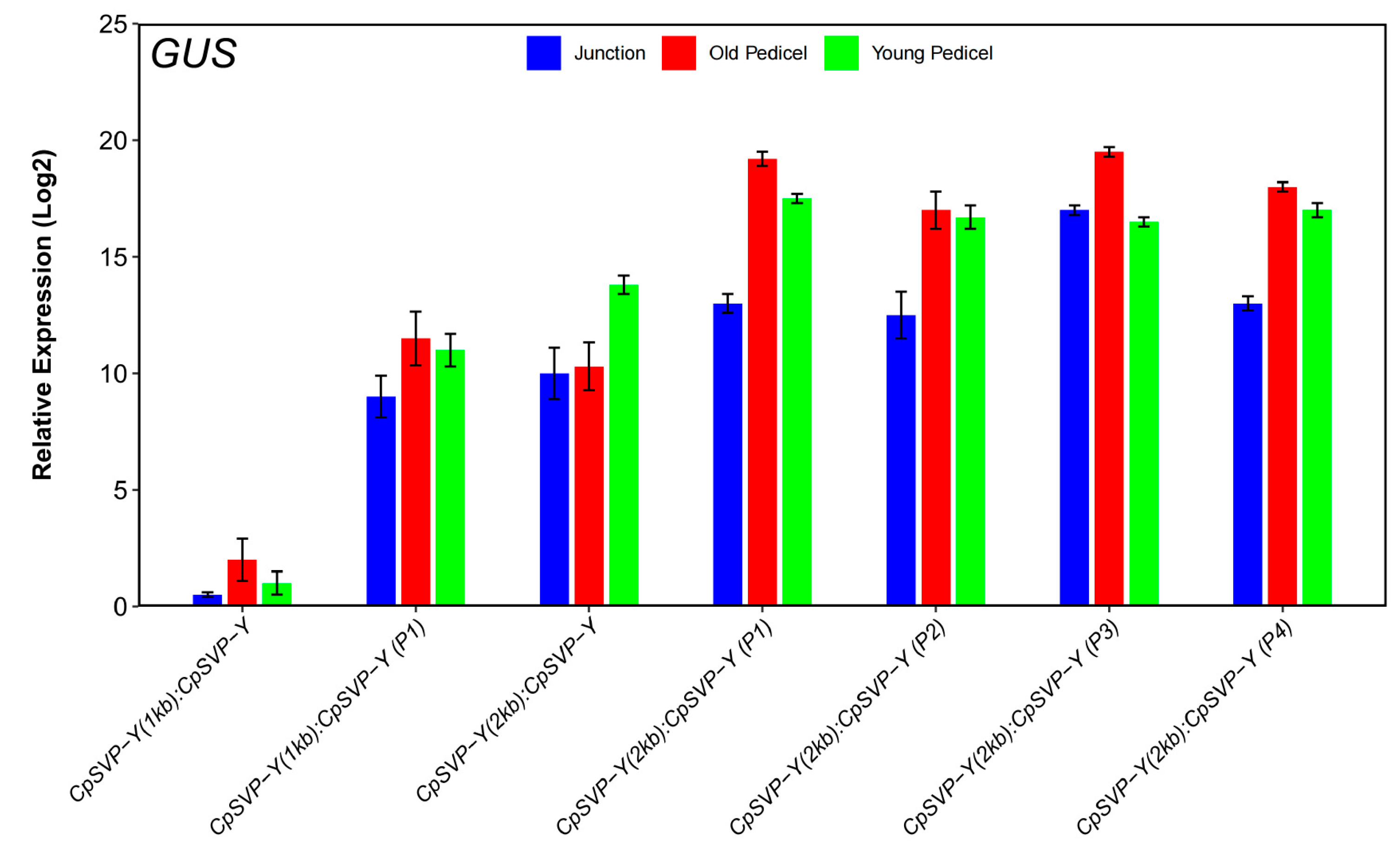
2.2. Identification of CpSVP Promoter Cis-Elements Controlling Tissue-Specific Expression
2.3. Cis-Element on CpSVP Promoter Regulates Pedicel Elongation
2.4. CpSVP-Y Delays Flowering
2.5. Elucidating the Mechanism for Pedicel Elongation
3. Discussion
3.1. Mutagenesis of GA-Binding Site Caused Ectopic Expression of CpSVP-Y in Floral and Vegetative Organs and Elongated Pedicels
3.2. CpSVP and the Pyrimidine Box Are Involved in Flowering
3.3. Potential Mechanism for Pedicel Elongation
4. Materials and Methods
4.1. Plant Material
4.2. Flowering Time Measurements
4.3. Plasmid Construction
4.4. Plant Transformation and Analysis of Transgenic Lines
4.5. Quantitative RT-PCR (qPCR)
4.6. Histochemical and Quantitative GUS Activity Assay
Supplementary Materials
Author Contributions
Funding
Data Availability Statement
Conflicts of Interest
References
- Wang, J.; Na, J.-K.; Yu, Q.; Gschwend, A.R.; Han, J.; Zeng, F.; Aryal, R.; VanBuren, R.; Murray, J.E.; Zhang, W.; et al. Sequencing Papaya X and Yh Chromosomes Reveals Molecular Basis of Incipient Sex Chromosome Evolution. Proc. Natl. Acad. Sci. USA 2012, 109, 13710–13715. [Google Scholar] [CrossRef]
- VanBuren, R.; Zeng, F.; Chen, C.; Zhang, J.; Wai, C.M.; Han, J.; Aryal, R.; Gschwend, A.R.; Wang, J.; Na, J.-K.; et al. Origin and Domestication of Papaya Yh Chromosome. Genome Res. 2015, 25, 524–533. [Google Scholar] [CrossRef]
- Liu, Z.; Moore, P.H.; Ma, H.; Ackerman, C.M.; Ragiba, M.; Yu, Q.; Pearl, H.M.; Kim, M.S.; Charlton, J.W.; Stiles, J.I.; et al. A Primitive Y Chromosome in Papaya Marks Incipient Sex Chromosome Evolution. Nature 2004, 427, 348–352. [Google Scholar] [CrossRef] [PubMed]
- Han, J.; Murray, J.E.; Yu, Q.; Moore, P.H.; Ming, R. The Effects of Gibberellic Acid on Sex Expression and Secondary Sexual Characteristics in Papaya. HortScience 2014, 49, 378–383. [Google Scholar] [CrossRef]
- Zhou, Y.; Pang, Z.; Wang, W.; Ming, R. Identification and Molecular Analysis of the Y-Specific CpMp Gene Controlling Long Male Peduncles in Papaya. Nat. Commun. 2025, 16, 10638. [Google Scholar] [CrossRef]
- Kaufmann, K.; Melzer, R.; Theißen, G. MIKC-Type MADS-Domain Proteins: Structural Modularity, Protein Interactions and Network Evolution in Land Plants. Gene 2005, 347, 183–198. [Google Scholar] [CrossRef] [PubMed]
- Li, D.; Liu, C.; Shen, L.; Wu, Y.; Chen, H.; Robertson, M.; Helliwell, C.A.; Ito, T.; Meyerowitz, E.; Yu, H. A Repressor Complex Governs the Integration of Flowering Signals in Arabidopsis. Dev. Cell 2008, 15, 110–120. [Google Scholar] [CrossRef]
- Gregis, V.; Sessa, A.; Colombo, L.; Kater, M.M. AGAMOUS-LIKE24 and SHORT VEGETATIVE PHASE Determine Floral Meristem Identity in Arabidopsis. Plant J. 2008, 56, 891–902. [Google Scholar] [CrossRef]
- Hartmann, U.; Höhmann, S.; Nettesheim, K.; Wisman, E.; Saedler, H.; Huijser, P. Molecular Cloning of SVP: A Negative Regulator of the Floral Transition in Arabidopsis. Plant J. 2000, 21, 351–360. [Google Scholar] [CrossRef]
- Wu, R.; Tomes, S.; Karunairetnam, S.; Tustin, S.D.; Hellens, R.P.; Allan, A.C.; Macknight, R.C.; Varkonyi-Gasic, E. SVP-like MADS Box Genes Control Dormancy and Budbreak in Apple. Front. Plant Sci. 2017, 8, 477. [Google Scholar] [CrossRef]
- Wu, R.-M.; Walton, E.F.; Richardson, A.C.; Wood, M.; Hellens, R.P.; Varkonyi-Gasic, E. Conservation and Divergence of Four Kiwifruit SVP-like MADS-Box Genes Suggest Distinct Roles in Kiwifruit Bud Dormancy and Flowering. J. Exp. Bot. 2011, 63, 797–807. [Google Scholar] [CrossRef]
- Jaudal, M.; Monash, J.; Zhang, L.; Wen, J.; Mysore, K.S.; Macknight, R.; Putterill, J. Overexpression of Medicago SVP Genes Causes Floral Defects and Delayed Flowering in Arabidopsis but Only Affects Floral Development in Medicago. J. Exp. Bot. 2014, 65, 429–442. [Google Scholar] [CrossRef]
- Wang, D.; Chen, X.; Zhang, Z.; Liu, D.; Song, G.; Kong, X.; Geng, S.; Yang, J.; Wang, B.; Wu, L.; et al. A MADS-Box Gene NtSVP Regulates Pedicel Elongation by Directly Suppressing a KNAT1-like KNOX Gene NtBPL in Tobacco (Nicotiana tabacum L.). J. Exp. Bot. 2015, 66, 6233–6244. [Google Scholar] [CrossRef]
- Hedden, P.; Thomas, S.G. (Eds.) Annual Plant Reviews, The Gibberellins; Wiley-Blackwell: Hoboken, NJ, USA, 2016; Available online: https://www.amazon.co.uk/Annual-Plant-Reviews-49-Gibberellins/dp/1119210429 (accessed on 5 August 2025).
- Sun, T.; Gubler, F. Molecular Mechanism of Gibberellin Signaling in Plants. Annu. Rev. Plant Biol. 2004, 55, 197–223. [Google Scholar] [CrossRef] [PubMed]
- Higo, K.; Ugawa, Y.; Iwamoto, M.; Korenaga, T. Plant Cis-Acting Regulatory DNA Elements (PLACE) Database: 1999. Nucleic Acids Res. 1999, 27, 297–300. [Google Scholar] [CrossRef]
- Lescot, M.; Déhais, P.; Thijs, G.; Marchal, K.; Moreau, Y.; Van de Peer, Y.; Rouzé, P.; Rombauts, S. PlantCARE, a Database of Plant Cis-Acting Regulatory Elements and a Portal to Tools for in Silico Analysis of Promoter Sequences. Nucleic Acids Res. 2002, 30, 325–327. [Google Scholar] [CrossRef] [PubMed]
- Gubler, F.; Jacobsen, J.V. Gibberellin-Responsive Elements in the Promoter of a Barley High-pI Alpha-Amylase Gene. Plant Cell 1992, 4, 1435–1441. [Google Scholar] [CrossRef] [PubMed]
- Skriver, K.; Olsen, F.L.; Rogers, J.C.; Mundy, J. Cis-Acting DNA Elements Responsive to Gibberellin and Its Antagonist Abscisic Acid. Proc. Natl. Acad. Sci. USA 1991, 88, 7266–7270. [Google Scholar] [CrossRef]
- Rogers, J.C.; Rogers, S.W. Definition and Functional Implications of Gibberellin and Abscisic Acid Cis-Acting Hormone Response Complexes. Plant Cell 1992, 4, 1443–1451. [Google Scholar] [CrossRef]
- Lee, J.H.; Yoo, S.J.; Park, S.H.; Hwang, I.; Lee, J.S.; Ahn, J.H. Role of SVP in the Control of Flowering Time by Ambient Temperature in Arabidopsis. Genes Dev. 2007, 21, 397–402. [Google Scholar] [CrossRef]
- Huang, S.; Raman, A.S.; Ream, J.E.; Fujiwara, H.; Cerny, R.E.; Brown, S.M. Overexpression of 20-Oxidase Confers a Gibberellin-Overproduction Phenotype in Arabidopsis. Plant Physiol. 1998, 118, 773–781. [Google Scholar] [CrossRef]
- Rieu, I.; Ruiz-Rivero, O.; Fernandez-Garcia, N.; Griffiths, J.; Powers, S.J.; Gong, F.; Linhartova, T.; Eriksson, S.; Nilsson, O.; Thomas, S.G.; et al. The Gibberellin Biosynthetic Genes AtGA20ox1 and AtGA20ox2 Act, Partially Redundantly, to Promote Growth and Development throughout the Arabidopsis Life Cycle. Plant J. 2007, 53, 488–504. [Google Scholar] [CrossRef]
- Yamaguchi, N.; Suzuki, M.; Fukaki, H.; Morita-Terao, M.; Tasaka, M.; Komeda, Y. CRM1/BIG-Mediated Auxin Action Regulates Arabidopsis Inflorescence Development. Plant Cell Physiol. 2007, 48, 1275–1290. [Google Scholar] [CrossRef][Green Version]
- Vicente-Carbajosa, J.; Moose, P.S.; Parsons, L.R.; Schmidt, J.R. A Maize Zinc-Finger Protein Binds the Prolamin Box in Zein Gene Promoters and Interacts with the Basic Leucine Zipper Transcriptional Activator Opaque2. Proc. Natl. Acad. Sci. USA 1997, 94, 7685–7690. [Google Scholar] [CrossRef]
- Yanagisawa, S.; Schmidt, R.J. Diversity and Similarity among Recognition Sequences of Dof Transcription Factors. Plant J. 1999, 17, 209–214. [Google Scholar] [CrossRef] [PubMed]
- Washio, K. Identification of Dof Proteins with Implication in the Gibberellin-Regulated Expression of a Peptidase Gene Following the Germination of Rice Grains. Biochim. Biophys. Acta (BBA)—Gene Struct. Expr. 2001, 1520, 54–62. [Google Scholar] [CrossRef]
- Imaizumi, T.; Schultz, T.F.; Harmon, F.G.; Ho, L.A.; Kay, S.A. FKF1 F-Box Protein Mediates Cyclic Degradation of a Repressor of CONSTANS in Arabidopsis. Science 2005, 309, 293–297. [Google Scholar] [CrossRef] [PubMed]
- Aziz, N.M.A.N.K.; Sadiq, S.M. Effect of the Period of Soaking and Concentrations of Salicylic Acid in the Growth and Production of Iris. IOSR J. Agric. Vet. Sci. (IOSR-JAVS) 2018, 11, 33–41. [Google Scholar]
- Kang, H.-G.; Singh, K.B. Characterization of Salicylic Acid-Responsive, Arabidopsis Dof Domain Proteins: Overexpression of OBP3 Leads to Growth Defects. Plant J. 2000, 21, 329–339. [Google Scholar] [CrossRef]
- Sawa, M.; Nusinow, D.A.; Kay, S.A.; Imaizumi, T. FKF1 and GIGANTEA Complex Formation Is Required for Day-Length Measurement in Arabidopsis. Science 2007, 318, 261–265. [Google Scholar] [CrossRef]
- Fornara, F.; Panigrahi, K.C.S.; Gissot, L.; Sauerbrunn, N.; Rühl, M.; Jarillo, J.A.; Coupland, G. Arabidopsis DOF Transcription Factors Act Redundantly to Reduce CONSTANS Expression and Are Essential for a Photoperiodic Flowering Response. Dev. Cell 2009, 17, 75–86. [Google Scholar] [CrossRef]
- Mateos, J.L.; Madrigal, P.; Tsuda, K.; Rawat, V.; Richter, R.; Romera-Branchat, M.; Fornara, F.; Schneeberger, K.; Krajewski, P.; Coupland, G. Combinatorial Activities of SHORT VEGETATIVE PHASE and FLOWERING LOCUS C Define Distinct Modes of Flowering Regulation in Arabidopsis. Genome Biol. 2015, 16, 31. [Google Scholar] [CrossRef]
- Li, T.; Huang, J.; Wang, G.; Li, H.; Lü, P. Regulatory Roles of RNA Modifications in Plant Development and Fruit Ripening. aBIOTECH 2025, 6, 472–488. [Google Scholar] [CrossRef]
- von Gromoff, E.D.; Schroda, M.; Oster, U.; Beck, C.F. Identification of a Plastid Response Element That Acts as an Enhancer within the Chlamydomonas HSP70A Promoter. Nucleic Acids Res. 2006, 34, 4767–4779. [Google Scholar] [CrossRef]
- Curtis, M.D.; Grossniklaus, U. A Gateway Cloning Vector Set for High-Throughput Functional Analysis of Genes in Planta. Plant Physiol. 2003, 133, 462–469. [Google Scholar] [CrossRef] [PubMed]
- Clough, S.J.; Bent, A.F. Floral Dip: A Simplified Method for Agrobacterium-Mediated Transformation of Arabidopsis Thaliana. Plant J. 1998, 16, 735–743. [Google Scholar] [CrossRef]
- Untergasser, A.; Cutcutache, I.; Koressaar, T.; Ye, J.; Faircloth, B.C.; Remm, M.; Rozen, S.G. Primer3—New Capabilities and Interfaces. Nucleic Acids Res. 2012, 40, e115. [Google Scholar] [CrossRef]
- Koressaar, T.; Remm, M. Enhancements and Modifications of Primer Design Program Primer3. Bioinformatics 2007, 23, 1289–1291. [Google Scholar] [CrossRef] [PubMed]
- Livak, K.J.; Schmittgen, T.D. Analysis of Relative Gene Expression Data Using Real-Time Quantitative PCR and the 2−ΔΔCT Method. Methods 2001, 25, 402–408. [Google Scholar] [CrossRef]
- Jefferson, R.A.; Kavanagh, T.A.; Bevan, M.W. GUS Fusions: Beta-Glucuronidase as a Sensitive and Versatile Gene Fusion Marker in Higher Plants. EMBO J. 1987, 6, 3901–3907. [Google Scholar] [CrossRef] [PubMed]









Disclaimer/Publisher’s Note: The statements, opinions and data contained in all publications are solely those of the individual author(s) and contributor(s) and not of MDPI and/or the editor(s). MDPI and/or the editor(s) disclaim responsibility for any injury to people or property resulting from any ideas, methods, instructions or products referred to in the content. |
© 2026 by the authors. Licensee MDPI, Basel, Switzerland. This article is an open access article distributed under the terms and conditions of the Creative Commons Attribution (CC BY) license.
Share and Cite
Nguyen-Edquilang, J.; Yue, J.; Ming, R. Identification of a GA-Related Cis-Element Regulating Male Peduncle Elongation in Papaya. Plants 2026, 15, 209. https://doi.org/10.3390/plants15020209
Nguyen-Edquilang J, Yue J, Ming R. Identification of a GA-Related Cis-Element Regulating Male Peduncle Elongation in Papaya. Plants. 2026; 15(2):209. https://doi.org/10.3390/plants15020209
Chicago/Turabian StyleNguyen-Edquilang, Julie, Jingjing Yue, and Ray Ming. 2026. "Identification of a GA-Related Cis-Element Regulating Male Peduncle Elongation in Papaya" Plants 15, no. 2: 209. https://doi.org/10.3390/plants15020209
APA StyleNguyen-Edquilang, J., Yue, J., & Ming, R. (2026). Identification of a GA-Related Cis-Element Regulating Male Peduncle Elongation in Papaya. Plants, 15(2), 209. https://doi.org/10.3390/plants15020209

