Ecological Niche Differentiation and Distribution Dynamics Revealing Climate Change Responses in the Chinese Genus Dysosma
Abstract
1. Introduction
2. Results
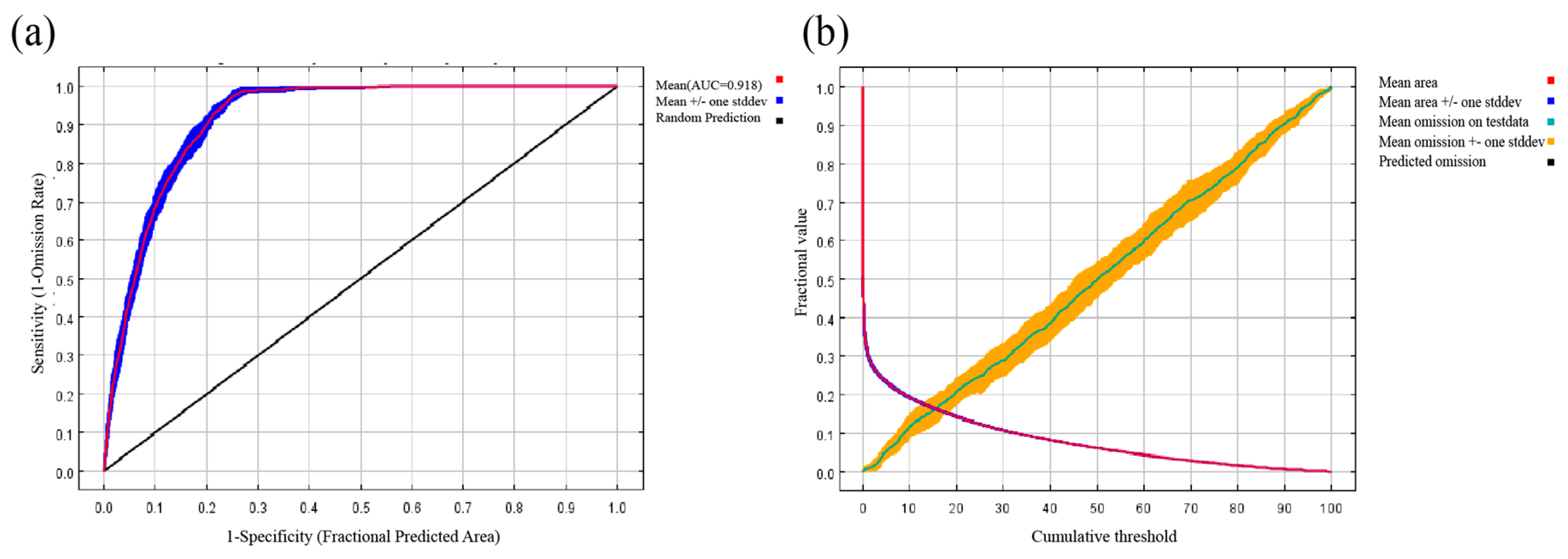
2.1. Integration of Ecological Niches in Dysosma and Assessment of MaxEnt Predictive Performance
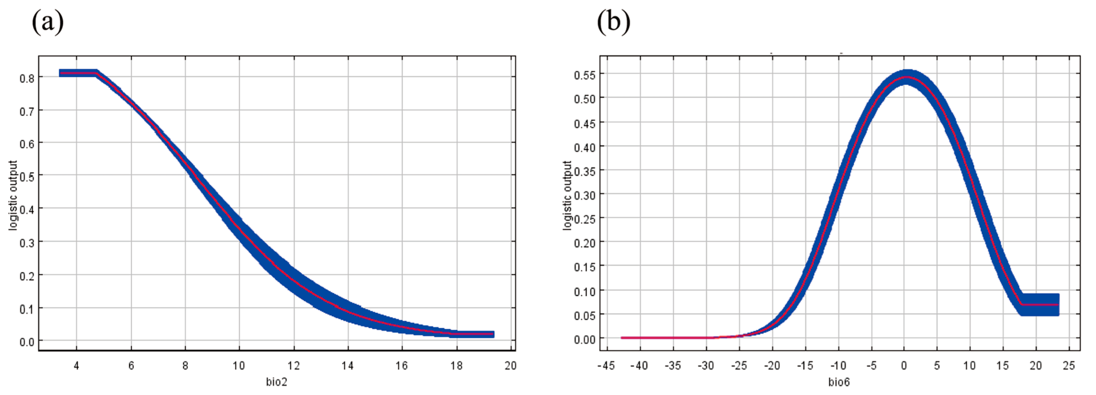
2.2. Overall Environmental Drivers of Dysosma Distribution
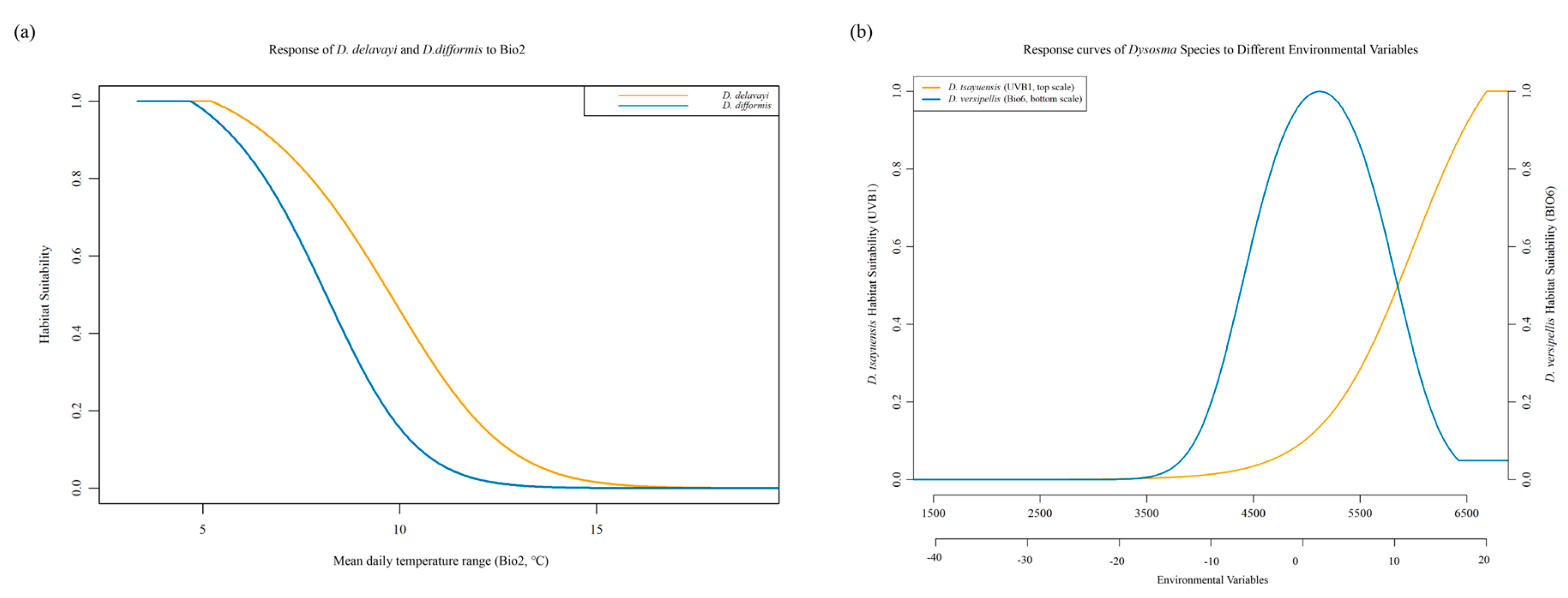
2.3. Patterns of Niche Differentiation Among Species Within Dysosma
2.4. Key Environmental Drivers of Niche Differentiation in Dysosma
2.5. Suitable Habitats of Dysosma Under Current and Future Climate Scenarios
2.6. Spatiotemporal Dynamics of Dysosma Under Different Climate Scenarios
2.7. Centroid Shifts of Highly Suitable Habitats of Dysosma Under Future Climate Change
2.8. Potential Conservation Gaps for Dysosma Under Future Climate Scenarios
3. Discussion
3.1. Key Climatic Determinants Shaping the Geographical Distribution of Dysosma
3.2. Patterns of Niche Differentiation and Evolutionary Adaptation Within Dysosma Under Current Climatic Conditions
3.3. Predicting Future Climate Suitability of Dysosma Species Based on Ecological Niche Modeling
3.4. Targeted Conservation Strategies for Dysosma
4. Materials and Methods
4.1. Data Sources and Processing of Dysosma Spatial Distribution
4.2. Selection of Environmental Variables for Dysosma
4.3. Future Climate Data and Scenario Settings
4.4. Performance Evaluation and Parameter Optimization of the MaxEnt Model
4.5. Model Robustness Validation and Niche Differentiation Assessment Within Dysosma
4.6. Classification of the Potential Distribution Patterns of the Genus Dysosma
4.7. Construction of Dynamic Indicators for Changes in the Suitable Habitat of the Genus Dysosma
4.8. Analysis of Centroid Shift in the Distribution of the Genus Dysosma
4.9. Analysis of Conservation Gaps for the Genus Dysosma
5. Conclusions
Supplementary Materials
Author Contributions
Funding
Data Availability Statement
Acknowledgments
Conflicts of Interest
References
- Pereira, H.M.; Leadley, P.W.; Proença, V.; Alkemade, R.; Scharlemann, J.P.W.; Fernandez-Manjarrés, J.F.; Araújo, M.B.; Balvanera, P.; Biggs, R.; Cheung, W.W.L.; et al. Scenarios for Global Biodiversity in the 21st Century. Science 2010, 330, 1496–1501. [Google Scholar] [CrossRef] [PubMed]
- Cai, H.W.; Zhang, G.F. Predicting the Potential Distribution of Rare and Endangered Emmenopterys henryi in China Under Climate Change. Ecol. Evol. 2024, 14, e70403. [Google Scholar] [CrossRef]
- Liu, M.; Yang, L.Q. Northward expansion of fire-adaptative vegetation in future warming. Environ. Res. Lett. 2022, 17. [Google Scholar] [CrossRef]
- Liang, Q.; Yang, X.J.; Huang, Y.H.; Yang, Z.W.; Feng, M.C.; Qing, M.X.; Wang, C.; Yang, W.D.; Wang, Z.G.; Zhang, M.J.; et al. Prediction of the potential distribution and analysis of the freezing injury risk of winter wheat on the Loess Plateau under climate change. J. Integr. Agric. 2024, 23, 2941–2954. [Google Scholar] [CrossRef]
- Masson-Delmotte, V.; Zhai, P.; Pörtner, H.-O.; Roberts, D.; Skea, J.; Shukla, P.R.; Pirani, A.; Moufouma-Okia, W.; Péan, C.; Pidcock, R.; et al. Global Warming Of 1.5 °C: IPCC Special Report on Impacts of Global Warming of 1.5 °C Above Pre-Industrial Levels in Context of Strengthening Response to Climate Change, Sustainable Development, and Efforts to Eradicate Poverty; Cambridge University Press: Cambridge, UK, 2022. [Google Scholar]
- Basso, V.; De Freitas Pereira, M.; Maillard, F.; Mallerman, J.; Mangeot-Peter, L.; Zhang, F.; Bonnot, C. Facing global change: The millennium challenge for plant scientists. In Proceedings of the 41st New Phytologist Symposium ‘Plant Sciences for the Future’, Nancy, France, 29 April 2018. [Google Scholar] [CrossRef]
- Vincent, H.; Bornand, C.N.; Kempel, A.; Fischer, M. Rare species perform worse than widespread species under changed climate. Biol. Conserv. 2020, 246, 108586. [Google Scholar] [CrossRef]
- Yang, Z.B.; Bai, Y.; Alatalo, J.M.; Huang, Z.D.; Yang, F.; Pu, X.Y.; Wang, R.B.; Yang, W.; Guo, X.Y. Spatio-temporal variation in potential habitats for rare and endangered plants and habitat conservation based on the maximum entropy model. Sci. Total Environ. 2021, 784, 147080. [Google Scholar] [CrossRef] [PubMed]
- Wang, S.K.; Li, Z.P.; Wu, R.; Qi, H.L.; Ke, H.; Huang, X.H.; Zhou, J.H.; Tang, Y.; Ran, J.H.; Gao, Y.Q. Upward and Northwest Range Shifts for Four Endemic Lamiaceae Medicinal Herbs in the Third Pole. Ecol. Evol. 2025, 15, e71116. [Google Scholar] [CrossRef]
- Jiang, X.; Liu, W.J.; Zhu, Y.Z.; Cao, Y.T.; Yang, X.M.; Geng, Y.; Zhang, F.J.; Sun, R.Q.; Jia, R.W.; Yan, C.L.; et al. Impacts of Climate Changes on Geographic Distribution of Primula filchnerae, an Endangered Herb in China. Plants 2023, 12, 3561. [Google Scholar] [CrossRef]
- Zhang, T.; Yang, S.Y.; Jiang, H.J.; Gu, L.; Zou, Q.F.; Fu, C.K.; Guo, K.J.; Zhang, T.; Liu, S.Y.; Chen, S.D. A new species of the genus Soriculus (Soricidae, Eulipotyphla, Mammalia) from Medog, Tibet, China, based on morphological and molecular data. ZooKeys 2025, 1262, 175–189. [Google Scholar] [CrossRef]
- Luo, W.J.; Lapuz, R.S.; Wee, A.K.S. Large-scale changes in the distribution of suitable habitat of the endangered subtropical canopy tree species Vatica guangxiensis under climate change. Biodivers. Conserv. 2024, 33, 3187–3205. [Google Scholar] [CrossRef]
- Qiu, C.J.; Shen, Z.H.; Peng, P.H.; Mao, L.F.; Zhang, X.S. How does contemporary climate versus climate change velocity affect endemic plant species richness in China? Sci. Bull. 2014, 59, 4660–4667. [Google Scholar] [CrossRef]
- Guisan, A.; Thuiller, W. Predicting species distribution: Offering more than simple habitat models. Ecol. Lett. 2005, 8, 993–1009. [Google Scholar] [CrossRef]
- Elith, J.; Graham, C.H.; Valavi, R.; Abegg, M.; Bruce, C.; Ford, A.; Guisan, A.; Hijmans, R.J.; Huettmann, F.; Lohmann, L. Presence-only and presence-absence data for comparing species distribution modeling methods. Biodivers. Inform. 2020, 15, 69–80. [Google Scholar] [CrossRef]
- Valavi, R.; Guillera-Arroita, G.; Lahoz-Monfort, J.J.; Elith, J. Predictive performance of presence-only species distribution models: A benchmark study with reproducible code. Ecol. Monogr. 2021, 92, e01486. [Google Scholar] [CrossRef]
- Sutherst, R. A computerised system for matching climates in ecology. Agric. Ecosyst. Environ. 1985, 13, 281–299. [Google Scholar] [CrossRef]
- Vincenzi, S.; Zucchetta, M.; Franzoi, P.; Pellizzato, M.; Pranovi, F.; De Leo, G.A.; Torricelli, P. Application of a Random Forest algorithm to predict spatial distribution of the potential yield of Ruditapes philippinarum in the Venice lagoon, Italy. Ecol. Model. 2011, 222, 1471–1478. [Google Scholar] [CrossRef]
- Phillips, S.J.; Anderson, R.P.; Schapire, R.E. Maximum entropy modeling of species geographic distributions. Ecol. Model. 2006, 190, 231–259. [Google Scholar] [CrossRef]
- Li, X.Z.; Zhang, Y.F.; Li, S.Y.; Anderson, C.J.; Hou, S.L.; Zhang, M.X.; Mo, X. County-scale assessment of Spartina alterniflora spread risk in Hebei’s coastal areas using the MaxEnt model. Ecol. Indic. 2025, 180, 114325. [Google Scholar] [CrossRef]
- Matsane, W.; Dhau, I.; Mothapo, M.C.; Thamaga, K.H. Modelling the Potential Distribution of African Wormwood (Artemisia afra) Using a Machine Learning Algorithm-Based Approach (MaxEnt) in Sekhukhune District, South Africa. Ecol. Evol. 2025, 15, e71866. [Google Scholar] [CrossRef] [PubMed]
- Negi, M.; Brahmi, M.K.; Bhardwaj, S.K.; Dogra, K.S. Spatial distribution and habitat suitability of Ageratina adenophora in Himachal Pradesh: A MaxEnt-based approach. J. Nat. Conserv. 2025, 89, 127159. [Google Scholar] [CrossRef]
- Wang, G.; Wang, C.; Guo, Z.R.; Dai, L.J.; Wu, Y.Q.; Liu, H.Y.; Li, Y.F.; Chen, H.; Zhang, Y.A.; Zhao, Y.X.; et al. Integrating Maxent model and landscape ecology theory for studying spatiotemporal dynamics of habitat: Suggestions for conservation of endangered Red-crowned crane. Ecol. Indic. 2020, 116, 106472. [Google Scholar] [CrossRef]
- Pearson, R.G.; Dawson, T.P. Predicting the impacts of climate change on the distribution of species: Are bioclimate envelope models useful? Glob. Ecol. Biogeogr. 2003, 12, 361–371. [Google Scholar] [CrossRef]
- Wang, Z.W.; Sun, W.G.; Xi, H.C.; Chang, S. Dysosmavillosa (Berberidaceae), a new species from Guizhou, Southwestern China. PhytoKeys 2019, 124, 77–85. [Google Scholar] [CrossRef]
- Pham, N.K.; Pham, T.H.; Nguyen, Q.N.; Floden, A.; Ninh, T.P.; Tran, T.V.T.; Phan, K.L. Characterisation of Dysosma tonkinense (Gagnep.) M. Hiroe (Berberidaceae) based on morphological characteristics and ITS sequences. Nord. J. Bot. 2020, 38. [Google Scholar] [CrossRef]
- Ying, J.S.; Boufford, D.E.; Anthony, R.B. Dysosma Woodson. In Flora of China; Wu, Z.Y., Raven, P.H., Hong, D.Y., Eds.; Science Press: Beijing, China; Missouri Botanical Garden Press: Saint Louis, MO, USA, 2011; Volume 19, pp. 797–800. [Google Scholar]
- Shaobin, M.; Zhihao, H. A Contribution to the Geographical Distribution and Phylogeny of Podophylloideae (Berberidaceae). Plant Divers. 1997, 19, 50–58. [Google Scholar]
- Ying, T.S. On Dysosma Woodson and Sinopodophyllum Ying, gen. nov. of the Berberidaceae. Zhiwu Fenlei Xuebao 1979, 17, 15–23. [Google Scholar]
- Motyka, S.; Jafernik, K.; Ekiert, H.; Sharifi-Rad, J.; Calina, D.; Al-Omari, B.; Szopa, A.; Cho, W.C. Podophyllotoxin and its derivatives: Potential anticancer agents of natural origin in cancer chemotherapy. Biomed. Pharmacother. 2022, 158, 114145. [Google Scholar] [CrossRef]
- Shang, Z.J. Shennong Bencao Jing Jiaozhu (Annotated and Collated Edition of Shennong’s Classic of Materia Medica); Xueyuan Publishing House: Beijing, China, 2008. [Google Scholar]
- Lerndal, T. A clinical study of CPH 82 vs methotrexate in early rheumatoid arthritis. Rheumatology 2000, 39, 316–320. [Google Scholar] [CrossRef]
- Sun, Y.J.; Han, R.J.; Bai, H.Y.; Wang, H.J.; Li, M.; Si, Y.Y.; Wang, J.M.; Gong, J.H.; Chen, H.; Feng, W.S. Structurally diverse biflavonoids from Dysosma versipellis and their bioactivity. RSC Adv. 2022, 12, 34962–34970. [Google Scholar] [CrossRef]
- Liu, C.; Zhang, C.; He, T.; Sun, L.; Wang, Q.; Han, S.; Wang, W.; Kong, J.; Yuan, F.; Huang, J. Study on potential toxic material base and mechanisms of hepatotoxicity induced by Dysosma versipellis based on toxicological evidence chain (TEC) concept. Ecotoxicol. Environ. Saf. 2020, 190, 110073. [Google Scholar] [CrossRef]
- Zhang, H.; Zhang, Y.; Zhang, T.; Liu, C. Research progress on quality markers of traditional Chinese medicine. J. Pharm. Biomed. Anal. 2022, 211, 114588. [Google Scholar] [CrossRef]
- Guan, B.C.; Fu, C.X.; Qiu, Y.X.; Zhou, S.L.; Comes, H.P. Genetic structure and breeding system of a rare understory herb, Dysosma versipellis (Berberidaceae), from temperate deciduous forests in China. Am. J. Bot. 2010, 97, 111–122. [Google Scholar] [CrossRef] [PubMed]
- Liu, Q.; Zhuo, Z.; Wang, Z.; Peng, Y.; Xu, D. Assessing the climate change impact on Epimedium brevicornu in China with the MaxEnt model. Front. Plant Sci. 2025, 16, 1534608. [Google Scholar] [CrossRef] [PubMed]
- Song, G.; Liu, S.; Song, X.; Jiang, X.; Gong, S.; Hao, W.; Cui, Y.; Zhao, Y. Impact of climate change on the distribution of Ligustrum leucanthum using MaxEnt modeling. Sci. Rep. 2025, 15, 29017. [Google Scholar] [CrossRef] [PubMed]
- Pecl, G.T.; Araújo, M.B.; Bell, J.D.; Blanchard, J.; Bonebrake, T.C.; Chen, I.C.; Clark, T.D.; Colwell, R.K.; Danielsen, F.; Evengård, B.; et al. Biodiversity redistribution under climate change: Impacts on ecosystems and human well-being. Science 2017, 355, eaai9214. [Google Scholar] [CrossRef]
- Lane, H.S.; Symonds, J.E.; Ritchie, P.A. The phylogeography and population genetics of Polyprion oxygeneios based on mitochondrial DNA sequences and microsatellite DNA markers. Fish. Res. 2016, 174, 19–29. [Google Scholar] [CrossRef]
- Huang, B.; Zhang, H.C.; Xu, L.; Jiang, H.; Chen, T. Projecting the potential distribution of Dysosma versipellis (Berberidaceae) in China under present and future climate change scenarios. Appl. Ecol. Environ. Res. 2024, 22, 1107–1120. [Google Scholar] [CrossRef]
- Haesen, S.; Lembrechts, J.J.; De Frenne, P.; Lenoir, J.; Aalto, J.; Ashcroft, M.B.; Kopecký, M.; Luoto, M.; Maclean, I.; Nijs, I.; et al. ForestTemp—Sub-canopy microclimate temperatures of European forests. Glob. Change Biol. 2021, 27, 6307–6319. [Google Scholar] [CrossRef]
- Palaniyandi, K.; Jun, W. Low temperature enhanced the podophyllotoxin accumulation vis-a-vis its biosynthetic pathway gene(s) expression in Dysosma versipellis (Hance) M. Cheng—A pharmaceutically important medicinal plant. Process Biochem. 2020, 95, 197–203. [Google Scholar] [CrossRef]
- Wani, Z.A.; Abdul Rahim, P.P.; Dar, J.A.; Lone, A.N.; Siddiqui, S. Predicting the potential distribution of Podophyllum hexandrum Royle in the Himalaya under CMIP6 climate projections. Sci. Rep. 2025, 15, 25374. [Google Scholar] [CrossRef]
- Zhang, J.; Li, P.Z. Response of plant functional traits to climate change. IOP Conf. Ser. Earth Environ. Sci. 2019, 300, 032078. [Google Scholar] [CrossRef]
- Harris, R.M.B.; Beaumont, L.J.; Vance, T.R.; Tozer, C.R.; Remenyi, T.A.; Perkins-Kirkpatrick, S.E.; Mitchell, P.J.; Nicotra, A.B.; McGregor, S.; Andrew, N.R.; et al. Biological responses to the press and pulse of climate trends and extreme events. Nat. Clim. Change 2018, 8, 579–587. [Google Scholar] [CrossRef]
- Körner, C. The use of ‘altitude’ in ecological research. Trends Ecol. Evol. 2007, 22, 569–574. [Google Scholar] [CrossRef] [PubMed]
- Randin, C.F.; Engler, R.; Normand, S.; Zappa, M.; Zimmermann, N.E.; Pearman, P.B.; Vittoz, P.; Thuiller, W.; Guisan, A. Climate change and plant distribution: Local models predict high-elevation persistence. Glob. Change Biol. 2009, 15, 1557–1569. [Google Scholar] [CrossRef]
- Elith, J.; Leathwick, J.R. Species Distribution Models: Ecological Explanation and Prediction Across Space and Time. Annu. Rev. Ecol. Evol. Syst. 2009, 40, 677–697. [Google Scholar] [CrossRef]
- König, C.; Wüest, R.O.; Graham, C.H.; Karger, D.N.; Sattler, T.; Zimmermann, N.E.; Zurell, D. Scale dependency of joint species distribution models challenges interpretation of biotic interactions. J. Biogeogr. 2021, 48, 1541–1551. [Google Scholar] [CrossRef]
- Fan, Y.; Clark, M.; Lawrence, D.M.; Swenson, S.; Band, L.E.; Brantley, S.L.; Brooks, P.D.; Dietrich, W.E.; Flores, A.; Grant, G.; et al. Hillslope Hydrology in Global Change Research and Earth System Modeling. Water Resour. Res. 2019, 55, 1737–1772. [Google Scholar] [CrossRef]
- De Frenne, P.; Zellweger, F.; Rodríguez-Sánchez, F.; Scheffers, B.R.; Hylander, K.; Luoto, M.; Vellend, M.; Verheyen, K.; Lenoir, J. Global buffering of temperatures under forest canopies. Nat. Ecol. Evol. 2019, 3, 744–749. [Google Scholar] [CrossRef]
- Lourenço, J.; Enquist, B.J.; von Arx, G.; Sonsin-Oliveira, J.; Morino, K.; Thomaz, L.D.; Milanez, C.R.D. Hydraulic tradeoffs underlie local variation in tropical forest functional diversity and sensitivity to drought. New Phytol. 2022, 234, 50–63. [Google Scholar] [CrossRef]
- Ye, W.Q.; Zhu, S.S.; Comes, H.P.; Yang, T.; Lian, L.; Wang, W.; Qiu, Y.X. Phylogenomics and diversification drivers of the Eastern Asian—Eastern North American disjunct Podophylloideae. Mol. Phylogenetics Evol. 2022, 169, 107427. [Google Scholar] [CrossRef]
- Wong, E.L.Y.; Nevado, B.; Hiscock, S.J.; Filatov, D.A. Rapid evolution of hybrid breakdown following recent divergence with gene flow in Senecio species on Mount Etna, Sicily. Heredity 2023, 130, 40–52. [Google Scholar] [CrossRef]
- Zhou, Y.; Lu, X.; Zhang, G. Potentially differential impacts on niche overlap between Chinese endangered Zelkova schneideriana and its associated tree species under climate change. Front. Ecol. Evol. 2023, 11, 1218149. [Google Scholar] [CrossRef]
- Exposito-Alonso, M.; Vasseur, F.; Ding, W.; Wang, G.; Burbano, H.A.; Weigel, D. Genomic basis and evolutionary potential for extreme drought adaptation in Arabidopsis thaliana. Nat. Ecol. Evol. 2017, 2, 352–358. [Google Scholar] [CrossRef] [PubMed]
- Lv, M.; Su, H.Y.; Li, M.L.; Yang, D.L.; Yao, R.Y.; Li, M.F.; Wei, J.H. Effect of UV-B radiation on growth, flavonoid and podophyllotoxin accumulation, and related gene expression in Sinopodophyllum hexandrum. Plant Biol. 2020, 23, 202–209. [Google Scholar] [CrossRef] [PubMed]
- Zhang, X.; Kuang, T.H.; Dong, W.L.; Qian, Z.H.; Zhang, H.J.; Landis, J.B.; Feng, T.; Li, L.J.; Sun, Y.X.; Huang, J.L.; et al. Genomic convergence underlying high-altitude adaptation in alpine plants. J. Integr. Plant Biol. 2023, 65, 1620–1635. [Google Scholar] [CrossRef]
- Caldwell, M.M.; Bornman, J.F.; Ballaré, C.L.; Flint, S.D.; Kulandaivelu, G. Terrestrial ecosystems, increased solar ultraviolet radiation, and interactions with other climate change factors. Photochem. Photobiol. Sci. 2007, 6, 252–266. [Google Scholar] [CrossRef]
- Matthew Robson, T.; Aphalo, P.J.; Banaś, A.K.; Barnes, P.W.; Brelsford, C.C.; Jenkins, G.I.; Kotilainen, T.K.; Łabuz, J.; Martínez-Abaigar, J.; Morales, L.O.; et al. A perspective on ecologically relevant plant-UV research and its practical application. Photochem. Photobiol. Sci. 2019, 18, 970–988. [Google Scholar] [CrossRef]
- Li, P.S.; Xiang, Q.Y.; Wang, Y.; Dong, X.H. UV-B Radiation Enhances Epimediumbrevicornu Maxim. Quality by Improving the Leaf Structure and Increasing the Icaritin Content. Plants 2024, 13, 1720. [Google Scholar] [CrossRef]
- Lu, S.S.; Qi, J.W.; Zhao, J.; Song, Q.W.; Xing, L.N.; Du, W.B.; Wang, X.H.; Zhang, X.W.; Zhou, X.L. Transcriptome-Based Phylogenomics and Adaptive Divergence Across Environmental Gradients in Epimedium brevicornu. Agronomy 2025, 15, 2139. [Google Scholar] [CrossRef]
- Yang, L.L.; Zhou, S.W.; Hou, Y.W.; Ji, B.Y.; Pei, L.X.; Su, X.H.; Zhong, H.; Dong, C.M. Blue light induces biosynthesis of flavonoids in Epimedium sagittatum (Sieb.et Zucc.) Maxim. leaves, a study on a light-demanding medicinal shade herb. Ind. Crops Prod. 2022, 187, 115512. [Google Scholar] [CrossRef]
- Losos, J. Improbable Destinies: Fate, Chance, and the Future of Evolution; Riverhead Books: New York, NY, USA, 2017. [Google Scholar]
- Urban, M.C. Accelerating extinction risk from climate change. Science 2015, 348, 571–573. [Google Scholar] [CrossRef]
- Chen, I.C.; Hill, J.K.; Ohlemüller, R.; Roy, D.B.; Thomas, C.D. Rapid Range Shifts of Species Associated with High Levels of Climate Warming. Science 2011, 333, 1024–1026. [Google Scholar] [CrossRef] [PubMed]
- Parmesan, C.; Yohe, G. A globally coherent fingerprint of climate change impacts across natural systems. Nature 2003, 421, 37–42. [Google Scholar] [CrossRef] [PubMed]
- Fan, Y.; Yao, W.H.; Wang, Z.H.; Fan, X.Y.; Hu, S.Y.; Wang, H.F.; Ou, J. Predicting Potential Suitable Habitats of Three Rare Wild Magnoliaceae Species (Michelia crassipes, Lirianthe coco, Manglietia insignis) Under Current and Future Climatic Scenarios Based on the Maxent Model. Plants 2025, 14, 506. [Google Scholar] [CrossRef] [PubMed]
- Cai, J.; Yu, W.B.; Zhang, T.; Wang, H.; Li, D.Z. China’s biodiversity hotspots revisited: A treasure chest for plants. PhytoKeys 2019, 130, 1–24. [Google Scholar] [CrossRef]
- Davis, K.T.; Dobrowski, S.Z.; Holden, Z.A.; Higuera, P.E.; Abatzoglou, J.T. Microclimatic buffering in forests of the future: The role of local water balance. Ecography 2018, 42, 1–11. [Google Scholar] [CrossRef]
- Wang, Y.H.; Zhang, L.; Zhou, Y.C.; Ma, W.X.; Li, M.Y.; Guo, P.; Feng, L.; Fu, C.X. Using landscape genomics to assess local adaptation and genomic vulnerability of a perennial herb Tetrastigma hemsleyanum (Vitaceae) in subtropical China. Front. Genet. 2023, 14, 1150704. [Google Scholar] [CrossRef]
- Thomas, C.D.; Cameron, A.; Green, R.E.; Bakkenes, M.; Beaumont, L.J.; Collingham, Y.C.; Erasmus, B.F.N.; de Siqueira, M.F.; Grainger, A.; Hannah, L.; et al. Extinction risk from climate change. Nature 2004, 427, 145–148. [Google Scholar] [CrossRef]
- Wang, C.J.; Wan, J.Z.; Mu, X.Y.; Zhang, Z.X. Management planning for endangered plant species in priority protected areas. Biodivers. Conserv. 2015, 24, 2383–2397. [Google Scholar] [CrossRef]
- Myers, N.; Mittermeier, R.A.; Mittermeier, C.G.; da Fonseca, G.A.B.; Kent, J. Biodiversity hotspots for conservation priorities. Nature 2000, 403, 853–858. [Google Scholar] [CrossRef]
- Marcer, A.; Sáez, L.; Molowny-Horas, R.; Pons, X.; Pino, J. Using species distribution modelling to disentangle realised versus potential distributions for rare species conservation. Biol. Conserv. 2013, 166, 221–230. [Google Scholar] [CrossRef]
- Wan, J.Z.; Wang, C.J.; Yu, J.H.; Nie, S.M.; Han, S.J.; Zu, Y.G.; Chen, C.M.; Yuan, S.S.; Wang, Q.G. Model-based conservation planning of the genetic diversity of Phellodendron amurense Rupr due to climate change. Ecol. Evol. 2014, 4, 2884–2900. [Google Scholar] [CrossRef] [PubMed]
- Ockendon, N.; Baker, D.J.; Carr, J.A.; White, E.C.; Almond, R.E.A.; Amano, T.; Bertram, E.; Bradbury, R.B.; Bradley, C.; Butchart, S.H.M.; et al. Mechanisms underpinning climatic impacts on natural populations: Altered species interactions are more important than direct effects. Glob. Change Biol. 2014, 20, 2221–2229. [Google Scholar] [CrossRef] [PubMed]
- LaRue, E.A.; Emery, N.C.; Briley, L.; Christie, M.R. Geographic variation in dispersal distance facilitates range expansion of a lake shore plant in response to climate change. Divers. Distrib. 2019, 25, 1429–1440. [Google Scholar] [CrossRef]
- Woodward, F.I.; Thompson, G.B.; McKee, I.F. How Plants Respond to Climate Change: Migration Rates, Individualism and the Consequences for Plant Communities. Ann. Bot. 1991, 67, 15–22. [Google Scholar] [CrossRef]
- Asner, G.P.; Loarie, S.R.; Heyder, U. Combined effects of climate and land-use change on the future of humid tropical forests. Conserv. Lett. 2010, 3, 395–403. [Google Scholar] [CrossRef]
- Van der Putten, W.H.; Macel, M.; Visser, M.E. Predicting species distribution and abundance responses to climate change: Why it is essential to include biotic interactions across trophic levels. Philos. Trans. R. Soc. B Biol. Sci. 2010, 365, 2025–2034. [Google Scholar] [CrossRef]
- Fick, S.E.; Hijmans, R.J. WorldClim 2: New 1-km spatial resolution climate surfaces for global land areas. Int. J. Climatol. 2017, 37, 4302–4315. [Google Scholar] [CrossRef]
- Beckmann, M.; Václavík, T.; Manceur, A.M.; Šprtová, L.; von Wehrden, H.; Welk, E.; Cord, A.F. glUV: A global UV-B radiation data set for macroecological studies. Methods Ecol. Evol. 2014, 5, 372–383. [Google Scholar] [CrossRef]
- Worthington, T.A.; Zhang, T.; Logue, D.R.; Mittelstet, A.R.; Brewer, S.K. Landscape and flow metrics affecting the distribution of a federally-threatened fish: Improving management, model fit, and model transferability. Ecol. Model. 2016, 342, 1–18. [Google Scholar] [CrossRef]
- Wu, T.W.; Lu, Y.X.; Fang, Y.J.; Xin, X.G.; Li, L.; Li, W.P.; Jie, W.H.; Zhang, J.; Liu, Y.M.; Zhang, L.; et al. The Beijing Climate Center Climate System Model (BCC-CSM): The main progress from CMIP5 to CMIP6. Geosci. Model Dev. 2019, 12, 1573–1600. [Google Scholar] [CrossRef]
- Attarod, P.; Zhu, H.F.; Beiranvand, S.; Pypker, T.G.; Bayramzadeh, V.; Mariv, H.S.; Karimi, K. Past and future climate change in the Zagros region of western Iran. Anthropocene 2025, 50, 100475. [Google Scholar] [CrossRef]
- Ghanghermeh, A.A.; Roshan, G.R.; Martinez, A.; Iglesias, G. Offshore wind resources in the Caspian Sea under climate change. Energy 2025, 328, 136355. [Google Scholar] [CrossRef]
- Rusu, L. Climate change impact on the sea state conditions in the Mediterranean Sea under RCP and SSP emission scenarios. Renew. Energy 2025, 243, 122616. [Google Scholar] [CrossRef]
- Eyring, V.; Bony, S.; Meehl, G.A.; Senior, C.A.; Stevens, B.; Stouffer, R.J.; Taylor, K.E. Overview of the Coupled Model Intercomparison Project Phase 6 (CMIP6) experimental design and organization. Geosci. Model. Dev. 2016, 9, 1937–1958. [Google Scholar] [CrossRef]
- Riahi, K.; van Vuuren, D.P.; Kriegler, E.; Edmonds, J.; O’Neill, B.C.; Fujimori, S.; Bauer, N.; Calvin, K.; Dellink, R.; Fricko, O.; et al. The Shared Socioeconomic Pathways and their energy, land use, and greenhouse gas emissions implications: An overview. Glob. Environ. Change 2016, 42, 153–168. [Google Scholar] [CrossRef]
- O’Neill, B.C.; Kriegler, E.; Riahi, K.; Ebi, K.L.; Hallegatte, S.; Carter, T.R.; Mathur, R.; van Vuuren, D.P. A new scenario framework for climate change research: The concept of shared socioeconomic pathways. Clim. Change 2013, 122, 387–400. [Google Scholar] [CrossRef]
- Akaike, H.; Petrov, B.N.; Czaki, F. Information Theory and An Extension of the Maximum Likelihood Principle; Springer: Berlin/Heidelberg, Germany, 1973. [Google Scholar]
- Peterson, A.T.; Papeş, M.; Soberón, J. Rethinking receiver operating characteristic analysis applications in ecological niche modeling. Ecol. Model. 2008, 213, 63–72. [Google Scholar] [CrossRef]
- Peterson, A.T. Ecological Niches and Geographic Distributions; Princeton University Press: Princeton, NJ, USA, 2011; p. 152. [Google Scholar]
- Schoener, T.W. The Anolis Lizards of Bimini: Resource Partitioning in a Complex Fauna. Ecology 1968, 49, 704–726. [Google Scholar] [CrossRef]
- Broennimann, O.; Fitzpatrick, M.C.; Pearman, P.B.; Petitpierre, B.; Pellissier, L.; Yoccoz, N.G.; Thuiller, W.; Fortin, M.J.; Randin, C.; Zimmermann, N.E.; et al. Measuring ecological niche overlap from occurrence and spatial environmental data. Glob. Ecol. Biogeogr. 2011, 21, 481–497. [Google Scholar] [CrossRef]
- Warren, D.L.; Glor, R.E.; Turelli, M. Environmental niche equivalency versus conservatism: Quantitative approaches to niche evolution. Evolution 2008, 62, 2868–2883. [Google Scholar] [CrossRef]
- Guisan, A.; Rahbek, C. SESAM—A new framework integrating macroecological and species distribution models for predicting spatio-temporal patterns of species assemblages. J. Biogeogr. 2011, 38, 1433–1444. [Google Scholar] [CrossRef]
- Baselga, A.; Araújo, M.B. Individualistic vs community modelling of species distributions under climate change. Ecography 2009, 32, 55–65. [Google Scholar] [CrossRef]
- Hirzel, A.H.; Le Lay, G. Habitat suitability modelling and niche theory. J. Appl. Ecol. 2008, 45, 1372–1381. [Google Scholar] [CrossRef]
- Li, X.M.; Zhou, Y.Y.; Asrar, G.R.; Zhu, Z.Y. Developing a 1 km resolution daily air temperature dataset for urban and surrounding areas in the conterminous United States. Remote Sens. Environ. 2018, 215, 74–84. [Google Scholar] [CrossRef]
- Pontius, R.G.; Shusas, E.; McEachern, M. Detecting important categorical land changes while accounting for persistence. Agric. Ecosyst. Environ. 2004, 101, 251–268. [Google Scholar] [CrossRef]
- Bateman, B.L.; Pidgeon, A.M.; Radeloff, V.C.; VanDerWal, J.; Thogmartin, W.E.; Vavrus, S.J.; Heglund, P.J. The pace of past climate change vs. potential bird distributions and land use in the United States. Glob. Change Biol. 2015, 22, 1130–1144. [Google Scholar] [CrossRef]
- Alkemade, R.; van Oorschot, M.; Miles, L.; Nellemann, C.; Bakkenes, M.; ten Brink, B. GLOBIO3: A Framework to Investigate Options for Reducing Global Terrestrial Biodiversity Loss. Ecosystems 2009, 12, 374–390. [Google Scholar] [CrossRef]














| Species | Bio2 | Bio6 | Bio7 | UVB1 | Contributions (%) of the Top Four Environmental Variables |
|---|---|---|---|---|---|
| D. delavayi | 13.9 | - | 46.2 | - | 84.5 |
| D. difformis | 46.8 | 39.6 | - | - | 91.4 |
| D. versipellis | 40 | 36.7 | - | - | 85.4 |
| D. tsayuensis | 3.3 | 31.1 | - | 52.9 | 95.1 |
| Suitability Class | Current | SSP126 | SSP245 | SSP585 | ||||||
|---|---|---|---|---|---|---|---|---|---|---|
| 2050s | 2070s | 2090s | 2050s | 2070s | 2090s | 2050s | 2070s | 2090s | ||
| HS | 56.13 | 52.20 | 52.32 | 51.23 | 51.28 | 54.30 | 54.14 | 56.58 | 55.10 | 53.83 |
| MS | 89.49 | 86.42 | 94.06 | 87.57 | 95.50 | 97.02 | 93.64 | 90.40 | 93.39 | 92.9 |
| PS | 107.40 | 113.24 | 110.43 | 118.25 | 107.37 | 106.75 | 111.51 | 109.38 | 111.58 | 110.95 |
| TS | 253.02 | 251.86 | 256.82 | 257.04 | 254.16 | 258.07 | 259.29 | 256.37 | 260.07 | 257.68 |
| Scenario | Time Period | RCR (%) | CI (%) | SI (%) | SDR (%) | Dynamic Stage |
|---|---|---|---|---|---|---|
| SSP126 | Current–2050s | −0.46 | 3.98 | 97.90 | 0.44 | Stable Period |
| 2050s–2070s | 1.97 | 4.40 | 98.88 | 0.30 | ||
| 2070s–2090s | 0.09 | 2.97 | 98.66 | 0.48 | ||
| Period Mean | 0.53 | 3.78 | 98.48 | 0.41 | ||
| SSP245 | Current–2050s | 0.45 | 3.45 | 98.64 | 0.43 | Slow Expansion Period |
| 2050s–2070s | 1.54 | 3.43 | 99.19 | 0.30 | ||
| 2070s–2090s | 0.47 | 2.78 | 98.98 | 0.43 | ||
| Period Mean | 0.82 | 3.22 | 98.94 | 0.39 | ||
| SSP585 | Current–2050s | 1.32 | 3.53 | 99.04 | 0.32 | Transition Period |
| 2050s–2070s | 1.44 | 4.27 | 98.72 | 0.35 | ||
| 2070s–2090s | −0.92 | 3.59 | 97.89 | 0.40 | ||
| Period Mean | 0.61 | 3.80 | 98.55 | 0.36 |
| Emission Pathway | Sample Size (N) | Mean Rank | Chi-Square | Degrees of Freedom (df) | p-Value |
|---|---|---|---|---|---|
| SSP126 | 3 | 6.67 | 4.36 | 2 | 0.11 |
| SSP245 | 3 | 2.33 | |||
| SSP585 | 3 | 6 |
| Data Source | D. aurantiocaulis | D. difformis | D. tsayuensis | D. pleiantha | D. majoensis | D. delavayi | D. versipellis | Total |
|---|---|---|---|---|---|---|---|---|
| CVH | 1 | 54 | 16 | 105 | 29 | 89 | 191 | 485 |
| GBIF | 14 | 33 | 22 | 65 | 8 | 26 | 123 | 291 |
| Survey | 1 | 1 | 4 | 6 | ||||
| 782 |
| Species | Number of Samples | |
|---|---|---|
| Before Spatial Thinning | After Spatial Thinning | |
| D. aurantiocaulis | 15 | 8 |
| D. difformis | 87 | 67 |
| D. tsayuensis | 38 | 22 |
| D. pleiantha | 170 | 126 |
| D. majoensis | 38 | 32 |
| D. delavayi | 116 | 84 |
| D. versipellis | 318 | 259 |
| Subtotal | 598 | |
| Dysosma | 782 | 534 |
| Subtotal | 534 | |
| Species | Number of Samples | Random Test Percentage | Feature Combination Multiplier | Regularization Multiplier |
|---|---|---|---|---|
| Dysosma | 534 | 25 | LQ | 0.5 |
| D.versipellis | 259 | 30 | LQ | 0.5 |
| D.pleiantha | 126 | 30 | LQ | 2 |
| D.delavayi | 84 | 30 | LQ | 0.5 |
| D.diformis | 67 | 30 | LQ | 2.5 |
| D.majoensis | 32 | 40 | LQH | 3.5 |
| D.tsayuensis | 22 | 40 | LQ | 2.5 |
| D.aurantiocaulis | 8 | 0 | L | 2 |
| Indicator | Index | Formula | Ecological Significance |
|---|---|---|---|
| Change Intensity Indicator | Relative Change Rate (%) | Quantifies the magnitude of change in the total area of suitable habitats [102]. | |
| Change Intensity (%) | Characterizes the overall activity level of changes in suitable habitats [103]. | ||
| Stability Index | Stability Index (%) | Assesses the ability of core habitats to persist [104] | |
| Spatial Pattern Indicator | Spatial Displacement Rate | The range of this indicator is from 0 to 0.5, with higher values indicating stronger spatial reorganization [105]. |
Disclaimer/Publisher’s Note: The statements, opinions and data contained in all publications are solely those of the individual author(s) and contributor(s) and not of MDPI and/or the editor(s). MDPI and/or the editor(s) disclaim responsibility for any injury to people or property resulting from any ideas, methods, instructions or products referred to in the content. |
© 2026 by the authors. Licensee MDPI, Basel, Switzerland. This article is an open access article distributed under the terms and conditions of the Creative Commons Attribution (CC BY) license.
Share and Cite
Chen, R.; Luo, F.; Yao, W.; Yang, R.; Huang, L.; Li, H.; Li, M. Ecological Niche Differentiation and Distribution Dynamics Revealing Climate Change Responses in the Chinese Genus Dysosma. Plants 2026, 15, 162. https://doi.org/10.3390/plants15010162
Chen R, Luo F, Yao W, Yang R, Huang L, Li H, Li M. Ecological Niche Differentiation and Distribution Dynamics Revealing Climate Change Responses in the Chinese Genus Dysosma. Plants. 2026; 15(1):162. https://doi.org/10.3390/plants15010162
Chicago/Turabian StyleChen, Rui, Fangming Luo, Weihao Yao, Runmei Yang, Lang Huang, He Li, and Mao Li. 2026. "Ecological Niche Differentiation and Distribution Dynamics Revealing Climate Change Responses in the Chinese Genus Dysosma" Plants 15, no. 1: 162. https://doi.org/10.3390/plants15010162
APA StyleChen, R., Luo, F., Yao, W., Yang, R., Huang, L., Li, H., & Li, M. (2026). Ecological Niche Differentiation and Distribution Dynamics Revealing Climate Change Responses in the Chinese Genus Dysosma. Plants, 15(1), 162. https://doi.org/10.3390/plants15010162
