A Lipidomic Analysis Reveals Dynamic Changes of Polar Lipids for Oil Biosynthesis During Cotyledon Development in Perilla frutescens
Abstract
1. Introduction
2. Results
2.1. Changes in Total Lipid and Polar Lipid Contents During Cotyledon Development
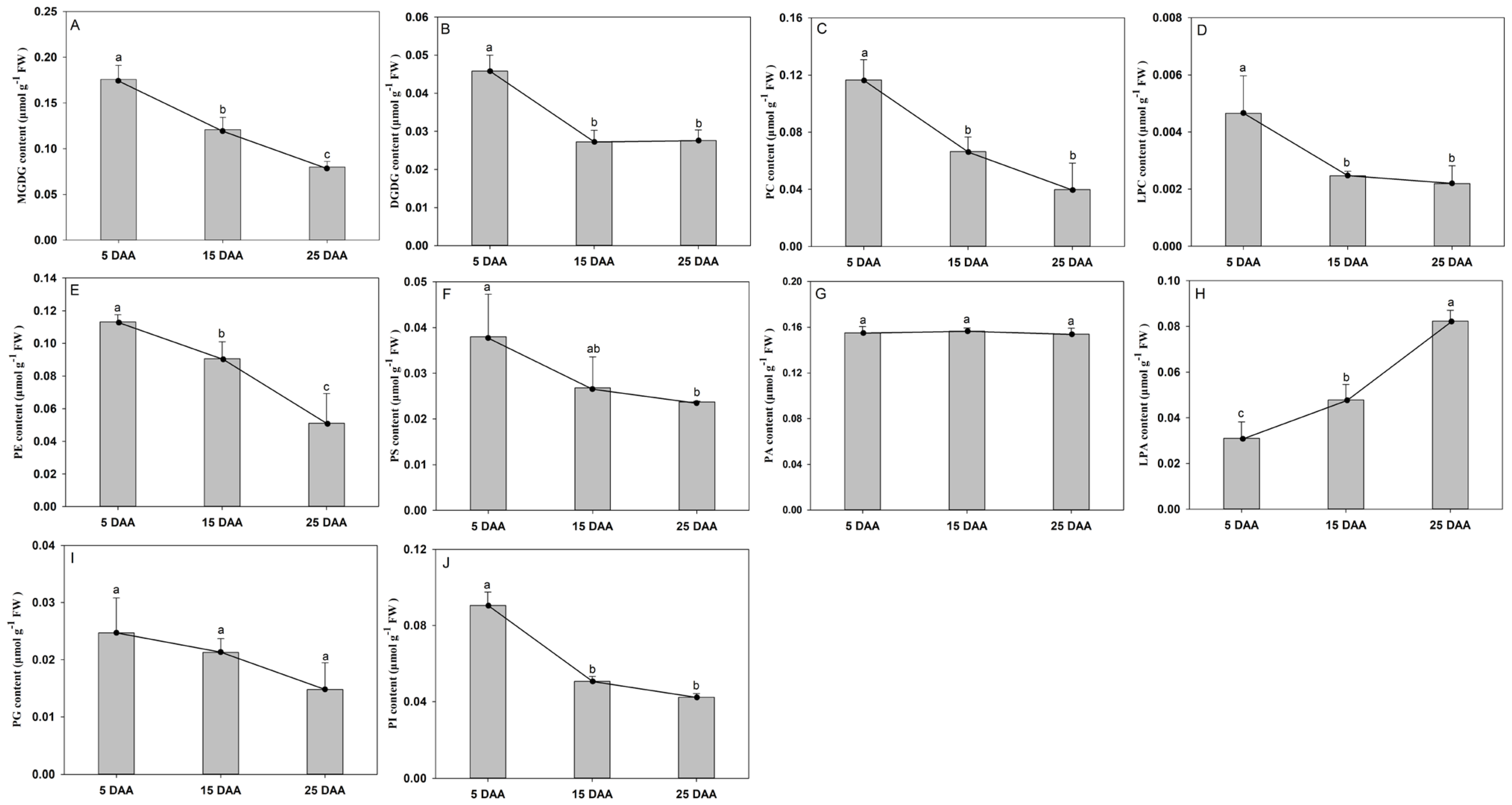
2.2. Polar Lipid Species and Dynamics During Cotyledon Development
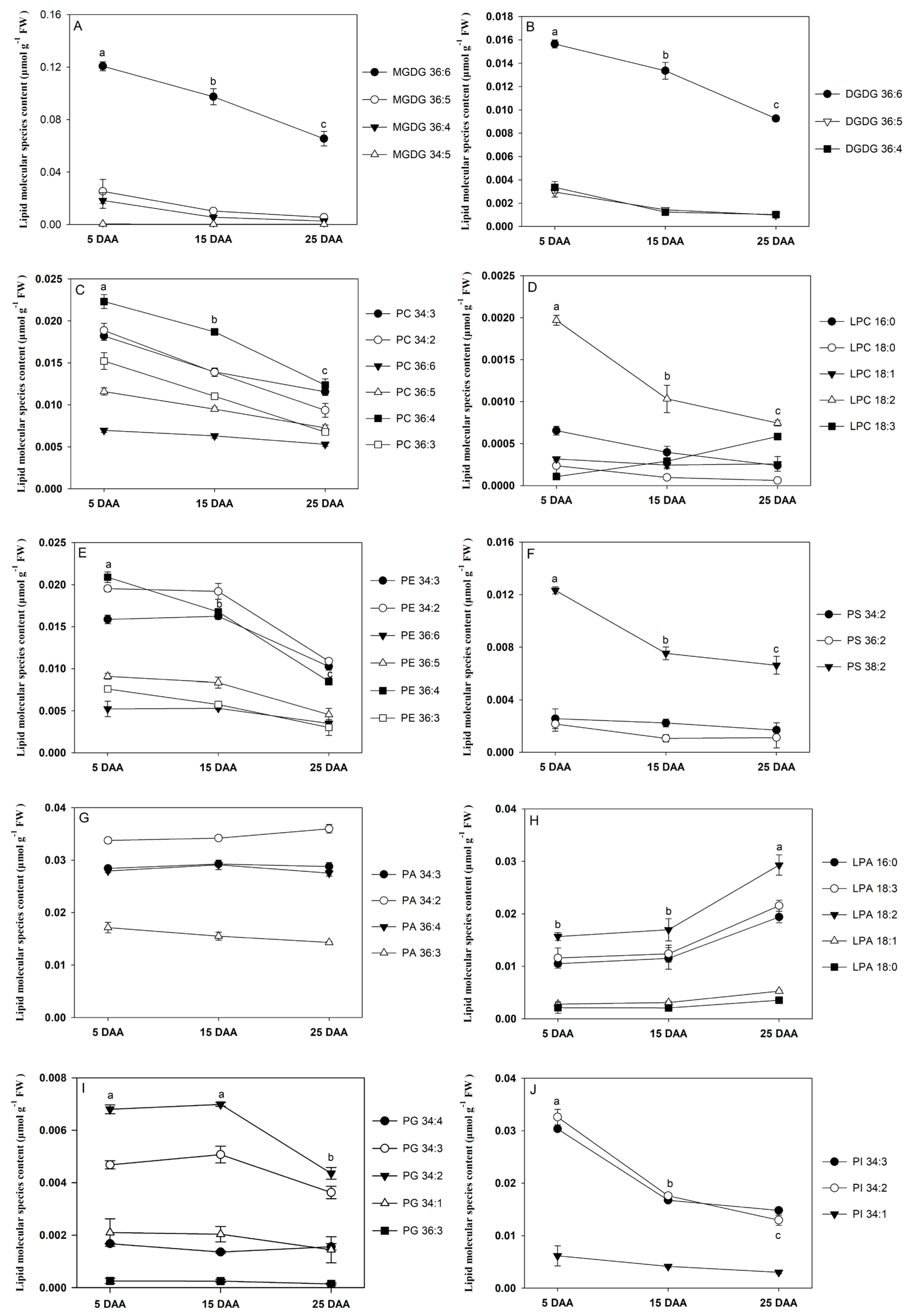
2.3. Polar Lipid Species and Dynamic Changes During Cotyledon Development
2.4. Differential Analysis of Polar Lipid Species During Cotyledon Development
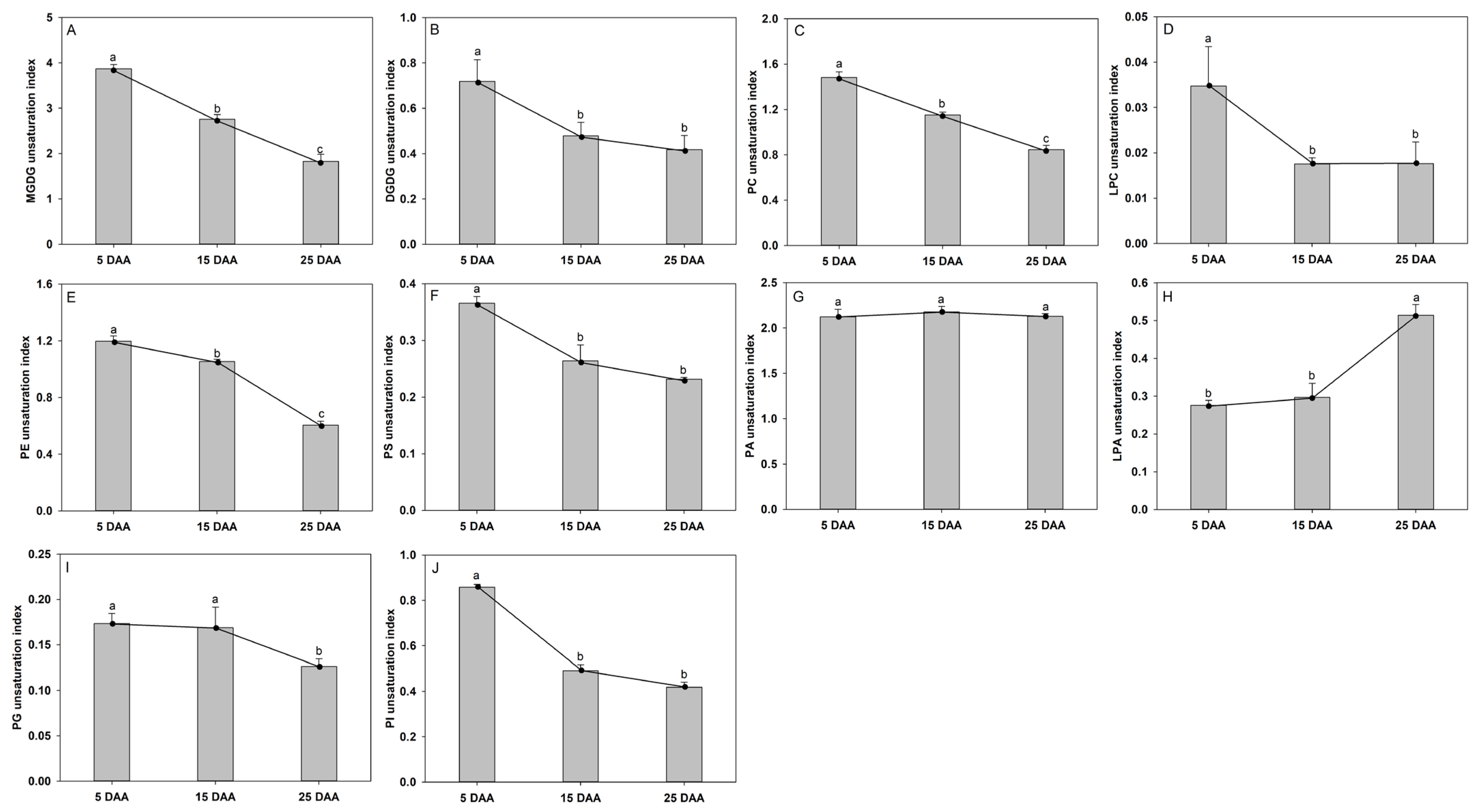
2.5. Analysis of the Unsaturation Degree of Polar Lipid During Cotyledon Development
3. Discussion
4. Materials and Methods
4.1. Plant Materials and Growth Conditions
4.2. Lipid Extraction
4.3. Liquid Chromatography Mass Spectrometry Analysis
4.4. Statistical Analysis
5. Conclusions
Supplementary Materials
Author Contributions
Funding
Data Availability Statement
Conflicts of Interest
References
- Asif, M.; Kumar, A. Nutritional and functional characterization of Perilla frutescens seed oil and evaluation of its effect on gastrointestinal motility. Malays. J. Pharm. Sci. 2010, 8, 1–12. [Google Scholar]
- Sun, K.; Ma, T. Study on the lipid-lowering capacity of α-linolenic acid from Perilla seed oil in oleic acid-induced HepG2 cells. Food Chem. Adv. 2025, 6, 100871. [Google Scholar] [CrossRef]
- Kunst, L.; Browse, J.; Somerville, C. Altered regulation of lipid biosynthesis in a mutant of Arabidopsis deficient in chloroplast glycerol-3-phosphate acyltransferase activity. Proc. Natl. Acad. Sci. USA 1988, 85, 4143–4147. [Google Scholar] [CrossRef]
- Kim, H.U.; Huang, A.H.C. Plastid lysophosphatidyl acyltransferase is essential for embryo development in Arabidopsis. Plant Physiol. 2004, 134, 1206–1216. [Google Scholar] [CrossRef]
- Haselier, A.; Akbari, H.; Weth, A.; Baumgartner, W.; Frentzen, M. Two closely related genes of Arabidopsis encode plastidial cytidinediphosphate diacylglycerol synthases essential for photoautotrophic growth. Plant Physiol. 2010, 153, 1372–1384. [Google Scholar] [CrossRef][Green Version]
- Hagio, M.; Sakurai, I.; Sato, S.; Kato, T.; Tabata, S.; Wada, H. Phosphatidylglycerol is essential for the development of thylakoid membranes in Arabidopsis thaliana. Plant Cell Physiol. 2002, 43, 1456–1464. [Google Scholar] [CrossRef] [PubMed]
- Harwood, J.L. The synthesis of acyl lipids in plant tissues. Prog. Lipid Res. 1979, 18, 55–86. [Google Scholar] [CrossRef] [PubMed]
- Guschina, I.A.; Everard, J.D.; Kinney, A.J.; Quant, P.A.; Harwood, J.L. Studies on the regulation of lipid biosynthesis in plants: Application of control analysis to soybean. Bioch. Bioph. Acta. 2014, 1838, 1488–1500. [Google Scholar] [CrossRef]
- Nerlich, A.; von Orlow, M.; Rontein, D.; Hanson, A.D.; Dörmann, P. Deficiency in phosphatidylserine decarboxylase activity in the psd1 psd2 psd3 triple mutant of Arabidopsis affects phosphatidylethanolamine accumulation in mitochondria. Plant Physiol. 2007, 144, 904–914. [Google Scholar] [CrossRef]
- Nakamura, Y. Function of polar glycerolipids in flower development in Arabidopsis thaliana. Prog. Lipid Res. 2015, 60, 17–29. [Google Scholar] [CrossRef] [PubMed]
- Muthulakshmi, C.; Sivaranjani, R.; Selvi, S. Modification of sesame (Sesamum indicum L.) for Triacylglycerol accumulation in plant biomass for biofuel applications. Biotech. Rep. 2021, 32, e00668. [Google Scholar] [CrossRef]
- Bates, P.D.; Stymne, S.; Ohlrogge, J. Biochemical pathways in seed oil synthesis. Curr. Opin. Plant Biol. 2013, 16, 358–364. [Google Scholar] [CrossRef] [PubMed]
- Parchuri, P.; Bhandari, S.; Azeez, A.; Chen, G.; Johnson, K.; Shockey, J.; Smertenko, A.; Bates, P.D. Identification of triacylglycerol remodeling mechanism to synthesize unusual fatty acid containing oils. Nat. Commun. 2024, 15, 3547. [Google Scholar] [CrossRef] [PubMed]
- Zhou, Y.L.; Huang, X.S.; Sun, Y.; Chai, X.D.; Wen, J.; Yang, Z.; Xue, J.N.; Zhang, X.Y.; Jia, X.Y.; Wang, J.P.; et al. Three Distinctive Diacylglycerol Acyltransferases (DGAT1, DGAT2, and DGAT3) from Perilla frutescens and Their Potential in Metabolic Engineering for Designed Oil Production. J. Agric. Food Chem. 2025, 73, 20254–20272. [Google Scholar] [CrossRef]
- Han, X.L.; Gross, R.W. The foundations and development of lipidomics. J. Lipid Res. 2022, 63, 100164. [Google Scholar] [CrossRef]
- Xia, X.S.; Chen, L.Y.; Hu, Z.H. Investigation of fatty acid biosynthesis and lipid accumulation in walnut kernels using combined transcriptomics and lipidomics analyses. Sci. Hortic. 2025, 348, 114213. [Google Scholar] [CrossRef]
- Li, N.; Huang, Y.; Zhao, Y.D.; Yang, Z.; Jia, Q.L.; Feng, B.L.; Taylor, D.C.; Du, C.; Zhang, M. Lipidomics studies reveal dynamic changes in polar lipids of developing endosperm of oat and wheat varieties with differing oil contents. Food Chem. 2024, 444, 138597. [Google Scholar] [CrossRef]
- Huang, C.Y.; Li, Y.; Wang, K.T.; Xi, J.W.; Xu, Y.F.; Si, X.L.; Pei, D.; Lyu, S.H.; Xia, G.H.; Wang, J.H.; et al. Analysis of lipidomics profile of Carya cathayensis nuts and lipid dynamic changes during embryonic development. Food Chem. 2022, 370, 130975. [Google Scholar] [CrossRef]
- Hou, T.; Netala, V.R.; Zhang, H.J.; Xing, Y.; Li, H.Z.; Zhang, Z.J. Perilla frutescens: A Rich Source of Pharmacological Active Compounds. Molecules 2022, 27, 3578. [Google Scholar] [CrossRef]
- Kim, H.U.; Lee, K.R.; Shim, D.; Lee, J.H.; Chen, G.Q.; Hwang, S. Transcriptome analysis and identification of genes associated with omega-3 fatty acid biosynthesis in Perilla frutescens (L.) var. frutescens. BMC Genom. 2016, 17, 474. [Google Scholar] [CrossRef]
- Asif, M. Health effects of omega-3,6,9 fatty acids: Perilla frutescens is a good example of plant oils. Orient. Pharm. Exp. Med. 2011, 11, 51–59. [Google Scholar] [CrossRef]
- Liu, H.; Wang, C.P.; Komatsu, S.; He, M.X.; Liu, G.S.; Shen, S.H. Proteomic analysis of the seed development in Jatropha curcas: From carbon flux to the lipid accumulation. J. Proteomics. 2013, 91, 23–40. [Google Scholar] [CrossRef]
- Hu, C.F.; Song, J.Y.; Jin, W.M.; Wang, W.Q.; Bai, H.J.; Wu, C.Y.; Shen, L.R. Lipidomics characterized TAG biosynthesis of developing kernels in three walnut cultivars in Xinjiang region. Food Chem. 2023, 416, 135808. [Google Scholar] [CrossRef]
- Grimberg, A. Preferred carbon precursors for lipid labelling in the heterotrophic endosperm of developing oat (Avena sativa L.) grains. Plant Physiol. Bioch. 2014, 83, 346–355. [Google Scholar] [CrossRef]
- Wang, W.Q.; Wen, H.; Jin, Q.; Yu, W.J.; Li, G.; Wu, M.Y.; Bai, H.J.; Shen, L.R.; Wu, C.Y. Comparative transcriptome analysis on candidate genes involved in lipid biosynthesis of developing kernels for three walnut cultivars in Xinjiang. Food Sci. Hum. Well. 2022, 11, 1201–1214. [Google Scholar] [CrossRef]
- Han, X.L. Lipidomics for studying metabolism. Nat. Rev. Endocrinol. 2016, 12, 668–679. [Google Scholar] [CrossRef]
- Liu, Y.; Wang, G.L.; Wang, X.M. Role of aminoalcoholphosphotransferases 1 and 2 in phospholipid homeostasis in Arabidopsis. Plant Cell 2015, 27, 1512–1528. [Google Scholar] [CrossRef]
- Bates, P.D.; Browse, J. The significance of different diacylgycerol synthesis pathways on plant oil composition and bioengineering. Front. Plant Sci. 2012, 3, 147. [Google Scholar] [CrossRef]
- Dahlqvist, A.; Stahl, U.; Lenman, M.; Banas, A.; Lee, M.; Sandager, L.; Ronne, H.; Stymne, S. Phospholipid:diacylglycerol acyltransferase: An enzyme that catalyzes the acyl-CoA-independent formation of triacylglycerol in yeast and plants. Proc. Natl. Acad. Sci. USA 2000, 97, 6487–6492. [Google Scholar] [CrossRef] [PubMed]
- Hu, C.F.; Wang, Y.Q.; Fan, Y.S.; Li, H.C.; Wang, C.Y.; Zhang, J.D.; Zhang, S.J.; Han, X.L.; Wen, C.P. Lipidomics revealed idiopathic pulmonary fibrosis-induced hepatic lipid disorders corrected with treatment of baicalin in a murine model. AAPS J. 2015, 17, 711–722. [Google Scholar] [CrossRef] [PubMed]
- Wi, S.J.; Seo, S.Y.; Cho, K.; Nam, M.H.; Park, K.Y. Lysophosphatidylcholine enhances susceptibility in signaling pathway against pathogen infection through biphasic production of reactive oxygen species and ethylene in tobacco plants. Phytochemistry 2014, 104, 48–59. [Google Scholar] [CrossRef]
- Yao, S.B.; Yang, B.; Li, J.W.; Tang, S.; Tang, S.H.; Kim, S.C.; Wang, X.M. Phosphatidic acid signaling in modulating plant reproduction and architecture. Plant Commun. 2025, 6, 101234. [Google Scholar] [CrossRef]
- Wang, Z.Y.; Liu, P.Y.; Sun, H.T.; Suo, W.Y.; Cheng, Z.Q.; Yang, M.L.; Chen, Q.S.; Zhao, Y. Genome-wide characterization of soybean lysophosphatidic acid acyltransferases and functional characterization of the role of GmLPAT11 in salt stress. J. Integr. Agr. 2024; in press. [Google Scholar] [CrossRef]
- Bates, P.D.; Fatihi, A.; Snapp, A.R.; Carlsson, A.S.; Browse, J.; Lu, C.F. Acyl Editing and Headgroup Exchange Are the Major Mechanisms That Direct Polyunsaturated Fatty Acid Flux into Triacylglycerols. Plant Physiol. 2012, 160, 1530–1539. [Google Scholar] [CrossRef] [PubMed]
- Wang, L.P.; Shen, W.Y.; Kazachkov, M.; Chen, G.Q.; Chen, Q.L.; Carlsson, A.S.; Stymne, S.; Weselake, R.; Zou, J.T. Metabolic interactions between the Lands Cycle and the Kennedy Pathway of Glycerolipid synthesis in Arabidopsis developing seeds. Plant Cell 2012, 24, 4652–4669. [Google Scholar] [CrossRef]
- Xie, P.S.; Chen, J.; Xia, Y.J.; Cai, Z.W. MALDI and MALDI-2 mass spectrometry imaging contribute to revealing the alternations in lipid metabolism in germinating soybean seeds. Chin. Chem. Lett. 2025, 36, 110595. [Google Scholar] [CrossRef]
- Yao, S.B.; Kim, S.C.; Li, J.W.; Tang, S.; Wang, X.M. Phosphatidic acid signaling and function in nuclei. Prog. Lipid Res. 2024, 93, 101267. [Google Scholar] [CrossRef] [PubMed]
- Guckert, J.B.; Cooksey, K.E. Triglyceride accumulation and fatty acid profile changes in Chlorella (Chlorophyta) during high pH-induced cell cycle inhibition. J. Phycol. 1990, 26, 72–79. [Google Scholar] [CrossRef]
- Wu, J.X.; Nadeem, M.; Galagedara, L.; Thomas, R.; Cheema, M. Recent insights into cell responses to cold stress in plants: Signaling, defence, and potential functions of phosphatidic acid. Environ. Exp. Bot. 2022, 203, 105068. [Google Scholar] [CrossRef]
- Zou, X.Z.; Zhang, K.; Wu, D.; Lu, M.T.; Wang, H.B.; Shen, Q. Integrated analysis of miRNA, transcriptome, and degradome sequencing provides new insights into lipid metabolism in perilla seed. Gene 2024, 895, 147953. [Google Scholar] [CrossRef]
- Welti, R.; Li, W.Q.; Li, M.Y.; Sang, Y.M.; Biesiada, H.; Zhou, H.E.; Rajashekar, C.B.; Williams, T.D.; Wang, X.M. Profiling membrane lipids in plant stress responses. Role of phospholipase Dα in freezing-induced lipid changes in Arabidopsis. J. Biol Chem. 2002, 277, 31994–32002. [Google Scholar] [CrossRef] [PubMed]
- Hou, X.L.; Han, X.Y.; Meng, Y.; Wang, L.Z.; Zhang, W.Q.; Yang, C.; Li, H.; Tang, S.J.; Guo, Z.H.; Liu, C.Y.; et al. Acyl carrier protein OsMTACP2 confers rice cold tolerance at the booting stage. Plant Physiol. 2024, 195, 1277–1292. [Google Scholar] [CrossRef] [PubMed]
- Narayanan, S.; Tamura, P.J.; Roth, M.R.; Prasad, P.V.; Welti, R. Wheat leaf lipids during heat stress: I. High day and night temperatures result in major lipid alterations. Plant Cell Environ. 2016, 39, 787–803. [Google Scholar] [CrossRef] [PubMed]
- Dunn, W.B.; Broadhurst, D.; Begley, P.; Zelena, E.; Francis-McIntyre, S.; Anderson, N.; Brown, M.; Knowles, J.D.; Halsall, A.; Haselden, J.N.; et al. Procedures for large-scale metabolic profiling of serum and plasma using gas chromatography and liquid chromatography coupled to mass spectrometry. Nat. Protoc. 2011, 6, 1060–1083. [Google Scholar] [CrossRef]





Disclaimer/Publisher’s Note: The statements, opinions and data contained in all publications are solely those of the individual author(s) and contributor(s) and not of MDPI and/or the editor(s). MDPI and/or the editor(s) disclaim responsibility for any injury to people or property resulting from any ideas, methods, instructions or products referred to in the content. |
© 2026 by the authors. Licensee MDPI, Basel, Switzerland. This article is an open access article distributed under the terms and conditions of the Creative Commons Attribution (CC BY) license.
Share and Cite
Liu, X.; Zhang, J.; Xu, W.; Du, X.; Yang, D.; Xu, L.; Zhang, S.; Gao, T. A Lipidomic Analysis Reveals Dynamic Changes of Polar Lipids for Oil Biosynthesis During Cotyledon Development in Perilla frutescens. Plants 2026, 15, 119. https://doi.org/10.3390/plants15010119
Liu X, Zhang J, Xu W, Du X, Yang D, Xu L, Zhang S, Gao T. A Lipidomic Analysis Reveals Dynamic Changes of Polar Lipids for Oil Biosynthesis During Cotyledon Development in Perilla frutescens. Plants. 2026; 15(1):119. https://doi.org/10.3390/plants15010119
Chicago/Turabian StyleLiu, Xiaoxiao, Jiudong Zhang, Weijun Xu, Xichun Du, Deng Yang, Lingling Xu, Shuangyu Zhang, and Tianpeng Gao. 2026. "A Lipidomic Analysis Reveals Dynamic Changes of Polar Lipids for Oil Biosynthesis During Cotyledon Development in Perilla frutescens" Plants 15, no. 1: 119. https://doi.org/10.3390/plants15010119
APA StyleLiu, X., Zhang, J., Xu, W., Du, X., Yang, D., Xu, L., Zhang, S., & Gao, T. (2026). A Lipidomic Analysis Reveals Dynamic Changes of Polar Lipids for Oil Biosynthesis During Cotyledon Development in Perilla frutescens. Plants, 15(1), 119. https://doi.org/10.3390/plants15010119

