Effect of Rain-Shelter Cultivation on Yield and Fruit Quality of Container-Grown Rabbiteye Blueberry in Central-Eastern China
Abstract
1. Introduction
2. Results
2.1. Soil Moisture Conditions
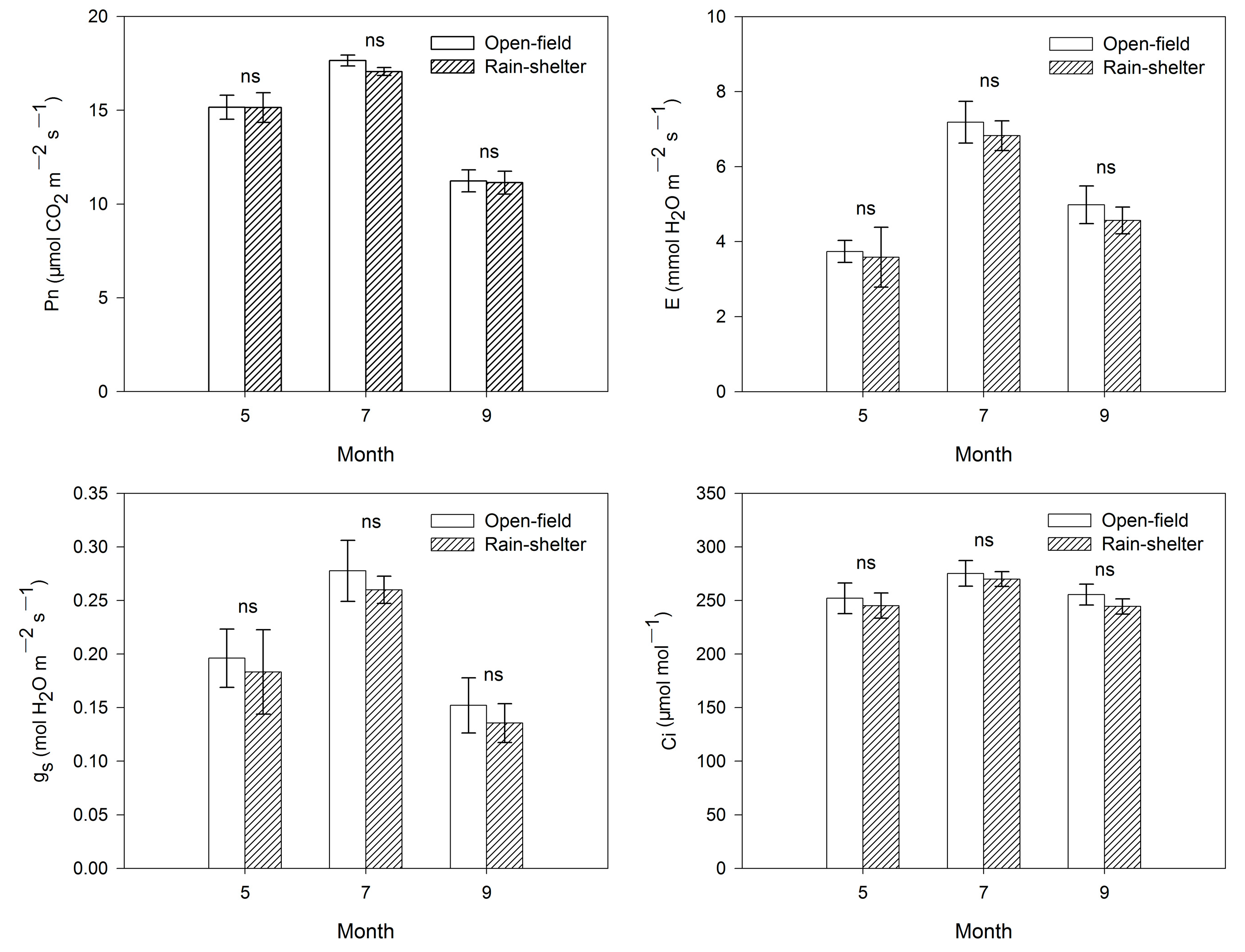
2.2. Photosynthetic Characteristics
2.3. Fruit Drop and Cracking Rate
2.4. Fruit Weight and Yield
2.5. Fruit Quality
3. Discussion
3.1. Effects of Shelter Covering on the Micrometeorological Conditions
3.2. Effects of Shelter Covering on the Photosynthetic Characteristics of Rabbiteye Blueberry Leaves
3.3. Effects of Shelter Covering on the Fruit Yield of Rabbiteye Blueberry
3.4. Effects of Shelter Covering on the Fruit Quality of Rabbiteye Blueberry
4. Materials and Methods
4.1. Experimental Site
4.2. Plant Cultivation and Experimental Design
4.3. Field Management
4.4. Environmental Conditions
4.5. Soil Moisture Content Measurement
4.6. Photosynthetic Characteristics Measurement
4.7. Fruit Yield and Berry Quality Measurements
4.8. Statistical Analysis
5. Conclusions
Author Contributions
Funding
Data Availability Statement
Conflicts of Interest
References
- Yu, H.; Wei, J.G.; Yang, S.F.; Yang, X.F.; He, S.A. The development situation and prospect of blueberry industry in China. Acta Hortic. 2023, 1357, 325–328. [Google Scholar] [CrossRef]
- Garbowski, T.; Bar-Michalczyk, D.; Charazińska, S.; Grabowska-Polanowska, B.; Kowalczyk, A.; Lochyński, P. An overview of natural soil amendments in agriculture. Soil Tillage Res. 2023, 225, 105462. [Google Scholar] [CrossRef]
- Retano, A. Evaluating Alternative Soil Amendments for Organic Northern Highbush Blueberry Cultivation in Sub-Optimal Soils. Master’s Thesis, Oregon State University, Corvallis, OR, USA, 8 December 2023. [Google Scholar]
- Obia, A.; Mulder, J.; Hale, S.E.; Nurida, N.L.; Cornelissen, G. The potential of biochar in improving drainage, aeration and maize yields in heavy clay soils. PLoS ONE 2018, 13, e0196794. [Google Scholar] [CrossRef] [PubMed]
- Winkler, A.; Blumenberg, I.; Schürmann, L.; Knoche, M. Rain cracking in sweet cherries is caused by surface wetness, not by water uptake. Sci. Hortic. 2020, 269, 109400. [Google Scholar] [CrossRef]
- Singerman, A.; Burani-Arouca, M.; Williamson, J.G.; England, G.K. Establishment and Production Costs for Southern Highbush Blueberry Orchards in Florida: Enterprise Budget and Profitability Analysis; University of Florida, Institute of Food and Agricultural Sciences: Gainesville, FL, USA, 2016; pp. 1–14. [Google Scholar]
- Voogt, W.; Van Dijk, P.; Douven, F.; Van Der Maas, R. Development of a soilless growing system for blueberries (Vaccinium corymbosum): Nutrient demand and nutrient solution. Acta Hortic. 2014, 1017, 215–221. [Google Scholar] [CrossRef]
- Fang, Y.; Nunez, G.H.; Silva, M.N.D.; Phillips, D.A.; Munoz, P.R. A review for southern highbush blueberry alternative production systems. Agronomy 2020, 10, 1531. [Google Scholar] [CrossRef]
- Fang, Y.; Nunez, G.; Fisher, P.; Munoz, P.R. Effect of container size, substrate composition, and genotype on growth and fruit quality of young southern highbush blueberry in a container-based intensive production system. Sci. Hortic. 2022, 302, 111149. [Google Scholar] [CrossRef]
- Li, X.X.; He, F.; Wang, J.; Li, Z.; Pan, Q.H. Simple rain-shelter cultivation prolongs accumulation period of anthocyanins in wine grape berries. Molecules 2014, 19, 14843–14861. [Google Scholar] [CrossRef]
- Lim, K.H.; Gu, M.; Kim, B.S.; Kim, W.S.; Cho, D.H.; Son, J.H.; Park, S.; Choi, K.J.; Jung, S.K.; Choi, H.S. Tree growth and fruit production of various organic Asian pear (Pyrus pyrifolia Nakai) cultivars grown under a rain-shelter system. J. Hortic. Sci. Biotechnol. 2015, 90, 655–663. [Google Scholar] [CrossRef]
- Claire, D.; Watters, N.; Gendron, L.; Boily, C.; Pépin, S.; Caron, J. High productivity of soilless strawberry cultivation under rain shelters. Sci. Hortic. 2018, 232, 127–138. [Google Scholar] [CrossRef]
- Tian, T.T.; Qiao, G.; Deng, B.; Wen, Z.; Hong, Y.; Wen, X.P. The effects of rain shelter coverings on the vegetative growth and fruit characteristics of Chinese cherry (Prunus pseudocerasus Lindl.). Sci. Hortic. 2019, 254, 228–235. [Google Scholar] [CrossRef]
- Zhang, Q.; Pang, X.M.; Chen, X.M.; Ye, J.H.; Lin, S.X.; Jia, X.L. Rain-shelter cultivation influence rhizosphere bacterial community structure in pear and its relationship with fruit quality of pear and soil chemical properties. Sci. Hortic. 2020, 269, 109419. [Google Scholar] [CrossRef]
- Zhang, H.M.; Hou, Q.D.; Tu, K.; Qiao, G.; Li, Q.; Wen, X.P. The Effects of Rain-shelter Cultivation on the Photosynthetic Characteristics and Chlorophyll Fluorescence of Sweet Cherry (Prunus avium L.). Erwerbs-Obstbau 2021, 63, 359–368. [Google Scholar] [CrossRef]
- Pino, S.; Palma, M.; Sepúlveda, Á.; Sánchez-Contreras, J.; Moya, M.; Yuri, J.A. Effect of rain cover on tree physiology and fruit condition and quality of ‘Rainier’, ‘Bing’ and ‘Sweetheart’ sweet cherry trees. Horticulturae 2023, 9, 109. [Google Scholar] [CrossRef]
- Meng, J.F.; Ning, P.F.; Xu, T.F.; Zhang, Z.W. Effect of rain-shelter cultivation of Vitis vinifera cv. Cabernet Gernischet on the phenolic profile of berry skins and the incidence of grape diseases. Molecules 2013, 18, 381–397. [Google Scholar] [CrossRef]
- Renquist, S. An evaluation of blueberry cultivars grown in plastic tunnels in Douglas County, Oregon. Int. J. Fruit Sci. 2005, 5, 31–38. [Google Scholar] [CrossRef]
- Retamal-Salgado, J.; Bastías, R.M.; Wilckens, R.; Paulino, L. Influence of microclimatic conditions under high tunnels on the physiological and productive responses in blueberry ‘O’Neal’. Chil. J. Agric. Res. 2015, 75, 291–297. [Google Scholar] [CrossRef]
- Ogden, A.B.; Van Iersel, M.W. Southern highbush blueberry production in high tunnels: Temperatures, development, yield, and fruit quality during the establishment years. HortScience 2009, 44, 1850–1856. [Google Scholar] [CrossRef]
- Matamala, M.F.; Bastías, R.M.; Urra, I.; Calderón-Orellana, A.; Campos, J.; Albornoz, K. Rain cover and netting materials differentially affect fruit yield and quality traits in two highbush blueberry cultivars via changes in sunlight and temperature conditions. Plants 2023, 12, 3556. [Google Scholar] [CrossRef]
- Rana, G.; Katerji, N.; Introna, M.; Hammami, A. Microclimate and plant water relationship of the overhead table grape vineyard managed with three different covering techniques. Sci. Hortic. 2004, 102, 105–120. [Google Scholar] [CrossRef]
- Gao, Y.; Li, X.X.; Han, M.M.; Yang, X.F.; Li, Z.; Wang, J.; Pan, Q.H. Rain-shelter cultivation modifies carbon allocation in the polyphenolic and volatile metabolism of Vitis vinifera L. Chardonnay grapes. PLoS ONE 2016, 11, e0156117. [Google Scholar] [CrossRef] [PubMed]
- Liu, Z.; He, N.; Chen, C.; Cheng, M.; Tan, M.; He, J.; Dong, Z.; Zhao, Q. Effects of Diffuse Light Film Rain Shelter on the Growth and Fruit Quality of Fresh Grape. Russ. J. Plant Physiol. 2023, 70, 119. [Google Scholar] [CrossRef]
- Teramura, A.H.; Davies, F.S.; Buchanan, D.W. Comparative photosynthesis and transpiration in excised shoots of rabbiteye blueberry. HortScience 1979, 14, 723–724. [Google Scholar] [CrossRef]
- Moon, J.W.; Fiore, J.A.; Hancock, J.F. A comparison of carbon and water vapor gas exchange characteristics between a diploid and highbush blueberry. J. Am. Soc. Hortic. Sci. 1987, 112, 134–138. [Google Scholar] [CrossRef]
- Kumudini, S. Effect of radiation and temperature on cranberry photosynthesis and characterization of diurnal change in photosynthesis. J. Am. Soc. Hortic. Sci. 2004, 129, 106–111. [Google Scholar] [CrossRef]
- Petridis, A.; van der Kaay, J.; Chrysanthou, E.; McCallum, S.; Graham, J.; Hancock, R.D. Photosynthetic limitation as a factor influencing yield in highbush blueberries (Vaccinium corymbosum) grown in a northern European environment. J. Exp. Bot. 2018, 69, 3069–3080. [Google Scholar] [CrossRef]
- Long, J.; Tan, T.; Zhu, Y.; An, X.; Zhang, X.; Wang, D. Response of blueberry photosynthetic physiology to light intensity during different stages of fruit development. PLoS ONE 2024, 19, e0310252. [Google Scholar] [CrossRef]
- Sun, Y.; Zhang, Y. Effects of environmental conditions on the transpiration rate and stomatal conductance of fruit crops under rain shelter. J. Agric. Sci. 2016, 10, 15–23. [Google Scholar]
- Usenik, V.; Zadravec, P.; Štampar, F. Influence of rain protective tree covering on sweet cherry fruit quality. Eur. J. Hortic. Sci. 2009, 74, 49–53. [Google Scholar] [CrossRef]
- Khadivi-Khub, A. Physiological and genetic factors influencing fruit cracking. Acta Physiol. Plant. 2015, 37, 1718. [Google Scholar] [CrossRef]
- Ruisa, S.; Feldmane, D.; Skrivele, M.; Rubauskis, E.; Kaufmane, E. The Effect of Rain Protective Covering on Sweet Cherry Fruit Quality. Acta Hortic. 2017, 1161, 143–147. [Google Scholar] [CrossRef]
- Baba, T.; Hasegawa, R.; Nakaba, S.; Funada, R.; Ban, T. Analysis of factors causing fruit cracking of blueberry fruit by water absorption and identifying the region of water uptake. Hortic. Res. 2015, 14, 231–239. [Google Scholar] [CrossRef][Green Version]
- Chen, X.M.; Zhang, Q.; Zeng, S.M.; Chen, Y.; Guo, Y.Y.; Huang, X.Z. Rhizosphere soil affects pear fruit quality under rain-shelter cultivation. Can. J. Plant Sci. 2020, 100, 683–691. [Google Scholar] [CrossRef]
- Schmitz-Eiberger, M.A.; Blanke, M.M. Bioactive components in forced sweet cherry fruit (Prunus avium L.), antioxidative capacity and allergenic potential as dependent on cultivation under cover. LWT-Food Sci. Technol. 2012, 46, 388–392. [Google Scholar] [CrossRef]
- Wang, S.Y. Effect of pre-harvest conditions on antioxidant capacity in fruits. Acta Hortic. 2006, 712, 229–305. [Google Scholar] [CrossRef]
- Singleton, V.L.; Orthofer, R.; Lamuela-Raventós, R.M.; Lester, P. Analysis of total phenols and other oxidation substrates and antioxidants by means of Folin-Ciocalteu reagent. Methods Enzym. 1999, 299, 152–178. [Google Scholar]
- Jia, Z.S.; Tang, M.C.; Wu, J.M. The determination of flavonoid contents in mulberry and their scavenging effects on superoxide radicals. Food Chem. 1999, 64, 555–559. [Google Scholar]
- Ravanfar, R.; Moein, M.; Niakousari, M.; Tamaddon, A. Extraction and fractionation of anthocyanins from red cabbage: Ultrasonic-assisted extraction and conventional percolation method. J. Food Meas. Charact. 2018, 12, 2271–2277. [Google Scholar] [CrossRef]







| Year | Treatment | Total Soluble Solids (%) | Acidity (%) | Total Polyphenols GAE mg/g | Total Flavonoids mg QE/g | Total Anthocyanins C3GE mg/100 g |
|---|---|---|---|---|---|---|
| 2019 | Open field | 12.4 ± 0.6 a | - | 4.52 ± 0.32 a | 3.74 ± 0.40 a | 209.51 ± 12.18 a |
| Rain shelter | 12.2 ± 0.5 a | - | 4.09 ± 0.23 b | 3.55 ± 0.36 a | 185.09 ± 8.76 b | |
| 2020 | Open field | 11.3 ± 0.4 a | 0.37 ± 0.03 a | 3.46 ± 0.33 a | 3.85 ± 0.34 a | 171.95 ± 12.60 a |
| Rain shelter | 11.4 ± 0.6 a | 0.38 ± 0.03 a | 3.45 ± 0.21 a | 3.79 ± 0.28 a | 173.35 ± 12.86 a | |
| 2021 | Open field | 11.9 ± 0.4 a | 0.44 ± 0.04 a | 2.86 ± 0.37 a | 3.93 ± 0.25 a | 177.82 ± 23.08 a |
| Rain shelter | 11.9 ± 0.5 a | 0.42 ± 0.03 a | 2.83 ± 0.31 a | 3.96 ± 0.35 a | 176.09 ± 21.66 a |
| Weather Condition | Treatment | Photosynthetically Active Radiation (μmol·m−2·s−1) | UV-A Radiation (W·m−2) | UV-B Radiation (W·m−2) |
|---|---|---|---|---|
| Sunny day | Open field | 1163.66 ± 21.79 a | 12.19 ± 0.16 a | 0.88 ± 0.05 a |
| Rain shelter | 850.49 ± 16.06 b | 8.29 ± 0.08 b | 0.57 ± 0.01 b | |
| Cloudy day | Open field | 234.21 ± 11.05 a | 3.00 ± 0.08 a | 0.27 ± 0.01 a |
| Rain shelter | 178.55 ± 10.93 b | 2.23 ± 0.04 b | 0.20 ± 0.01 b |
Disclaimer/Publisher’s Note: The statements, opinions and data contained in all publications are solely those of the individual author(s) and contributor(s) and not of MDPI and/or the editor(s). MDPI and/or the editor(s) disclaim responsibility for any injury to people or property resulting from any ideas, methods, instructions or products referred to in the content. |
© 2025 by the authors. Licensee MDPI, Basel, Switzerland. This article is an open access article distributed under the terms and conditions of the Creative Commons Attribution (CC BY) license (https://creativecommons.org/licenses/by/4.0/).
Share and Cite
Wei, J.; Jiang, J.; Tian, L.; Jiang, Y.; Ge, C.; Yu, H.; Zeng, Q. Effect of Rain-Shelter Cultivation on Yield and Fruit Quality of Container-Grown Rabbiteye Blueberry in Central-Eastern China. Plants 2025, 14, 1167. https://doi.org/10.3390/plants14081167
Wei J, Jiang J, Tian L, Jiang Y, Ge C, Yu H, Zeng Q. Effect of Rain-Shelter Cultivation on Yield and Fruit Quality of Container-Grown Rabbiteye Blueberry in Central-Eastern China. Plants. 2025; 14(8):1167. https://doi.org/10.3390/plants14081167
Chicago/Turabian StyleWei, Jiguang, Jiafeng Jiang, Liangliang Tian, Yanqin Jiang, Chunfeng Ge, Hong Yu, and Qilong Zeng. 2025. "Effect of Rain-Shelter Cultivation on Yield and Fruit Quality of Container-Grown Rabbiteye Blueberry in Central-Eastern China" Plants 14, no. 8: 1167. https://doi.org/10.3390/plants14081167
APA StyleWei, J., Jiang, J., Tian, L., Jiang, Y., Ge, C., Yu, H., & Zeng, Q. (2025). Effect of Rain-Shelter Cultivation on Yield and Fruit Quality of Container-Grown Rabbiteye Blueberry in Central-Eastern China. Plants, 14(8), 1167. https://doi.org/10.3390/plants14081167
