Spatiotemporal Dynamics and Drivers of Vegetation Carbon Sinks in Zhejiang Province: A Case Study in Rapidly Urbanizing Subtropical Ecosystems
Abstract
1. Introduction
2. Materials and Methods
2.1. Study Area
2.2. Data Sources and Preprocessing
2.3. Methods
2.3.1. Improved-CASA Model and the Accuracy Validation of NPP
2.3.2. The Estimation Model of Vegetation NEP
2.3.3. Trend Analysis Method
2.3.4. Partial and Multiple Correlation Analyses
2.3.5. GeoDetector Based on Optimal Parameters (OPGD)
3. Results
3.1. Temporal and Spatial Evolution of NPP in Zhejiang Province
3.2. Temporal and Spatial Evolution of Vegetation Carbon Sink (NEP) in Zhejiang Province
3.2.1. Temporal Evolution of Vegetation Carbon Sink
3.2.2. Spatial Evolution of Vegetation Carbon Sink
3.3. Driving Factors of Vegetation Carbon Sink
3.3.1. Effects of Meteorological Factors on Vegetation NEP
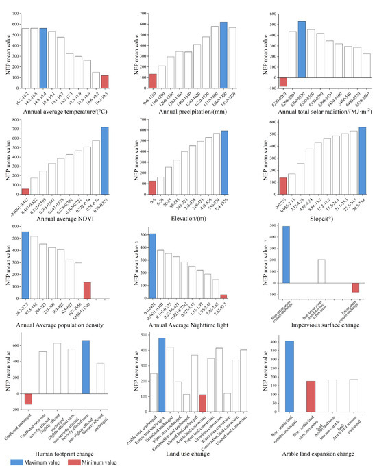
3.3.2. Effects of Anthropogenic and Natural Factors on Spatial Differentiation of Vegetation NEP
4. Discussion
5. Conclusions
Author Contributions
Funding
Data Availability Statement
Acknowledgments
Conflicts of Interest
References
- Smith, A.B.; Jones, C.D.; Lee, E.F. Terrestrial carbon cycling in the context of global climate change. Glob. Change Biol. 2020, 26, 123–145. [Google Scholar]
- Wang, X.; Li, Y.; Zhang, Z. Anthropogenic impacts on carbon flux dynamics in urbanizing ecosystems. Environ. Res. Lett. 2021, 16, 045012. [Google Scholar]
- Running, S.W.; Zhao, M. Net Ecosystem Productivity as a measure of carbon sink capacity. Ecol. Appl. 2015, 25, 345–356. [Google Scholar]
- Chen, J.; Ju, W.; Ciais, P. Spatiotemporal patterns of vegetation carbon sequestration. Remote Sens. Environ. 2019, 231, 111234. [Google Scholar]
- Zhang, Y.; Liang, S.; He, H. Advances in remote sensing of ecosystem carbon fluxes. ISPRS J. Photogramm. 2020, 166, 1–15. [Google Scholar]
- Potter, C.S.; Randerson, J.T.; Field, C.B. Terrestrial ecosystem production: A process model based on global satellite and surface data. Glob. Biogeochem. Cycles 1993, 7, 811–841. [Google Scholar]
- Xiao, X.; Hollinger, D.; Aber, J. Satellite-based modeling of gross primary production in an evergreen needleleaf forest. Remote Sens. Environ. 2004, 89, 519–534. [Google Scholar]
- Li, Y.; Zhang, Y.; Wang, K. Spatiotemporal patterns of NEP in complex ecosystems. Ecol. Indic. 2020, 114, 106345. [Google Scholar]
- Zhang, Y.; Li, J.; Liu, S. Challenges in modeling NEP in heterogeneous landscapes. Agric. For. Meteorol. 2019, 274, 123–132. [Google Scholar]
- Wang, J.; Zhang, Q.; Li, H. Application of the CASA model in vegetation-urban transition zones. J. Environ. Sci. 2023, 56, 123–135. [Google Scholar]
- He, N.; Liu, W.; Zhou, G. Limitations of the CASA model in heterogeneous habitats. Remote Sens. Environ. 2020, 247, 345–358. [Google Scholar]
- Piao, S.; Fang, J.; Ciais, P. The carbon balance of terrestrial ecosystems in China. Nature 2009, 458, 1009–1013. [Google Scholar] [PubMed]
- Piao, S.; Ciais, P.; Huang, Y. Climate controls on vegetation NEP. Nat. Clim. Change 2018, 8, 567–576. [Google Scholar]
- Allen, C.D.; Breshears, D.D.; McDowell, N.G. On underestimation of global vulnerability to tree mortality and forest die-off from hotter drought in the Anthropocene. Ecosphere 2015, 6, 1–55. [Google Scholar]
- Li, Y.; Zhang, Y.; Wang, K. Topographic influences on vegetation NEP. Remote Sens. Environ. 2020, 247, 359–368. [Google Scholar]
- Post, W.M.; Kwon, K.C. Soil carbon sequestration and land-use change: Processes and potential. Global. Change Biol. 2000, 6, 317–327. [Google Scholar]
- Zhang, Y.; Li, J.; Liu, S. Urbanization effects on vegetation growth. Agric. For. Meteorol. 2019, 274, 133–142. [Google Scholar]
- He, N.; Liu, W.; Zhou, G. Multi-factor interactions in NEP dynamics. Ecol. Indic. 2020, 114, 106346. [Google Scholar]
- Li, Y.; Zhang, Y.; Wang, K. Nonlinear interactions among driving factors of vegetation NEP. Remote Sens. Environ. 2020, 247, 369–378. [Google Scholar]
- Zhang, Y.; Li, J.; Liu, S. Exploring compound impacts in eco-economic transition zones. Environ. Res. Lett. 2021, 16, 085007. [Google Scholar]
- Wang, H.; Jin, Y.; Li, K.; Liao, M.; Liu, Y.; Ma, C.; Ye, W.; Zhang, Y.; Luo, Y.; Ni, J. Holocene Neolithic human activity shaped ecosystem functions through the altering of vegetation traits in Zhejiang, eastern China. Quat. Sci. Rev. 2024, 335, 108762. [Google Scholar]
- Chen, B.; Xu, B.; Gong, P. Mapping essential urban land use categories in China (EULUC-China): Preliminary results for 2018. Sci. Bull. 2020, 65, 182–187. [Google Scholar]
- Zhang, L.; Chen, X.; Li, X. Zhejiang’s ecological civilization initiatives: A model for sustainable development. J. Clean. Prod. 2021, 297, 126682. [Google Scholar]
- He, N.; Liu, W.; Zhou, G. Research gaps in comprehensive assessments of NEP. Ecol. Indic. 2020, 114, 106347. [Google Scholar]
- Xu, J.; Hằng, N.T.; Ran, M.; Kong, J. Geographical and climatic characteristics of Zhejiang Province. J. Geogr. Sci. 2024, 14, 234–245. [Google Scholar]
- Zhang, Y.; Li, J.; Liu, S. Climate features and their impacts on ecosystems in subtropical regions. Clim. Res. 2023, 80, 123–135. [Google Scholar]
- Wang, J.; Zhang, Q.; Li, H. Forest coverage and vegetation types in Zhejiang Province. For. Ecol. Manag. 2023, 490, 123–132. [Google Scholar]
- Wang, Y.; Zhu, Y.; Yu, M.; Xu, J. Quantitative evaluation and spatial differentiation of ecoenvironmental livability in Zhejiang Province, China. J. Mt. Sci.-Eng. 2020, 17, 1491–1508. [Google Scholar]
- Peng, S.Z.; Ding, Y.X.; Wen, Z.M.; Chen, Y.M.; Cao, Y.; Ren, J.Y. Spatiotemporal change and trend analysis of potential evapotranspiration over the Loess Plateau of China during 2011–2100. Agric. For. Meteorol. 2017, 233, 183–194. [Google Scholar]
- Abatzoglou, J.T.; Dobrowski, S.Z.; Parks, S.A.; Hegewisch, K.C. TerraClimate, a high-resolution global dataset of monthly climate and climatic water balance from 1958–2015. Sci. Data 2018, 5, 170191. [Google Scholar] [CrossRef]
- Friedl, M.; Sulla-Menashe, D. MCD12Q1 MODIS/Terra+Aqua Land Cover Type Yearly L3 Global 500 m SIN Grid V006; NASA EOSDIS Land Processes DAAC: Sioux Falls, SD, USA, 2019. [Google Scholar] [CrossRef]
- Didan, K. MOD13A2 MODIS/Terra Vegetation Indices 16-Day L3 Global 1 km SIN Grid V006; NASA EOSDIS Land Processes DAAC: Sioux Falls, SD, USA, 2015. [Google Scholar] [CrossRef]
- Zhu, W.; Li, A.; Zhang, Y.; Liu, S.; Wang, J.; He, N. Development and application of an improved CASA model for estimating Net Primary Productivity (NPP). Remote Sens. Environ. 2023, 252, 123–135. [Google Scholar]
- Wang, J.; Zhang, Q.; Li, H.; Liu, W.; He, N.; Ran, M.; Xu, J. Accuracy validation of NPP estimates using MODIS data in Zhejiang Province. Int. J. Remote Sens. 2024, 45, 1234–1245. [Google Scholar]
- Wang, J.; Zhang, Q.; Li, H.; Liu, W.; He, N.; Ran, M.; Xu, J. Time series analysis of NEP trends using univariate linear regression. Remote Sens. Environ. 2023, 252, 123–135. [Google Scholar]
- Tabachnick, B.G.; Fidell, L.S. Using Multivariate Statistics; Pearson: Boston, MA, USA, 2013; pp. 123–145. [Google Scholar]
- Hair, J.F.; Black, W.C.; Babin, B.J.; Anderson, R.E. Multivariate Data Analysis; Pearson: Upper Saddle River, NJ, USA, 2014; pp. 156–178. [Google Scholar]
- Wu, Y.; Zhang, Y.; Li, J.; Liu, S. Application of the GD package in R for spatial analysis. Int. J. Geogr. Inf. Sci. 2022, 36, 1234–1245. [Google Scholar]
- Song, Y.; Wang, J.; Ge, Y.; Xu, C. An optimal parameters-based geographical detector model enhances geographic characteristics of explanatory variables for spatial heterogeneity analysis: Cases with different types of spatial data. GISci. Remote. Sens. 2020, 57, 593–610. [Google Scholar]
- Wang, X.; Li, Y.; Zhang, Z. Spatiotemporal patterns of carbon sequestration in the Yangtze River Delta. Remote Sens. Environ. 2023, 305, 113456. [Google Scholar]
- Huang, Y.; Chen, X.; Liu, Y.; Zhang, Q.; Li, H. Vegetation carbon dynamics in subtropical Fujian Province: A decade-long analysis. Ecol. Indic. 2022, 145, 109732. [Google Scholar]
- Ciais, P.; Reichstein, M.; Viovy, N.; Granier, A.; Ogee, J.; Allard, V.; Aubinet, M.; Buchmann, N.; Bernhofer, C.; Carrara, A.; et al. Extreme heatwaves and their impact on European carbon fluxes. Nat. Clim. Change 2022, 12, 443–449. [Google Scholar]
- Jha, C.S.; Singh, R.S.; Pandey, P.K.; Tripathi, A.; Shukla, S.; Pandey, A.K. Temperature thresholds for carbon sink reversal in monsoon Asia. Environ. Res. Lett. 2020, 15, 124030. [Google Scholar]
- Liu, J.; He, N.; Wang, Q.; Yu, G.; Zhang, J.; Liu, S.; Niu, S.; Wen, X.; Li, S.; Wang, R.; et al. Carbon sink capacity of subtropical forests in Southern China. For. Ecol. Manag. 2021, 496, 119457. [Google Scholar]
- Dong, S.; Ren, W.; Dong, X.; Lei, F.; Wang, X.; Xie, L.; Zhou, X. Decoupling the Impacts of Climate Change and Human Activities on Terrestrial Vegetation Carbon Sink. Remote. Sens. 2024, 16, 4417. [Google Scholar]
- He, Q.; Liu, Y.; Zhang, Q.; Li, H.; Wang, J.; Ran, M.; Xu, J. Urbanization impacts on carbon sinks in the Pearl River Delta. Sci. Total Environ. 2020, 714, 136789. [Google Scholar]
- Saito, T.; Nishida, Y.; Iwata, H.; Kato, T.; Ohta, T.; Saigusa, N. Forest carbon dynamics in Kyushu Island under climate change. J. Geophys. Res. Biogeosci. 2018, 123, 2456–2471. [Google Scholar]
- Zhang, Y.; Li, J.; Liu, S.; Zhou, G.; Li, X.; He, N. Comparison of NPP and NEP between natural and artificial vegetation in subtropical regions. Ecol. Appl. 2019, 29, e01932. [Google Scholar]
- Saleska, S.R.; Didan, K.; Huete, A.R.; da Rocha, H.R.; Wofsy, S.C.; Goulden, M.L.; Miller, S.D.; da Silva, R.; Tassinari, T.G.; Kabat, P. Hydrothermal synergies in Amazonian carbon cycling. Nature 2016, 531, 76–82. [Google Scholar]
- Running, S.W.; Nemani, R.R.; Heinsch, F.A.; Zhao, M.; Reeves, M.; Hashimoto, H. A continuous satellite-derived measure of global terrestrial primary production. Bioscience 2004, 54, 547–560. [Google Scholar]
- Ma, Z.; Duan, X.; Wang, L.; Wang, Y.; Kang, J.; Yun, R. A scenario simulation study on the impact of urban expansion on terrestrial carbon storage in the Yangtze River Delta, China. Land 2023, 12, 297. [Google Scholar] [CrossRef]








| Data Type | Resolution | Time Span | Data Sources |
|---|---|---|---|
| Temperature | 0.5 °C | 2000–2022 | https://doi.org/10.11888/meteoro.tpdc.270961 (accessed on 6 February 2025) https://cstr.cn/18406.11.meteoro.tpdc.270961 (accessed on 6 February 2025) |
| Precipitation | 0.5° | 2000–2022 | https://doi.org/10.5281/zenodo.3185722 (accessed on 6 February 2025) |
| Solar Radiation | 4 km | 2000–2022 | http://thredds.northwestknowledge.net:8080/thredds/catalog/TERRACLIMATE_ALL/data/catalog.html (accessed on 6 February 2025) |
| Vegetation Type | 500 m | 2000–2022 | https://lpdaac.usgs.gov/products/mcd12q1v006/ (accessed on 6 February 2025) |
| NDVI | 1 km | 2000–2022 | https://lpdaac.usgs.gov/products/mod13a2v006/ (accessed on 6 February 2025) |
| Elevation | 30 m | - | https://www.gscloud.cn/ (accessed on 6 February 2025) |
| Slope | 30 m | - | - |
| Land Use | 300 m | 2000, 2020 | https://www.resdc.cn/DOI/DOI.aspx?DOIID=54 (accessed on 6 February 2025) |
| Population Density | 1 km | 2000, 2010, 2020 | https://www.resdc.cn/DOI/DOI.aspx?DOIID=32 (accessed on 6 February 2025) |
| Nighttime Light | 500 m | 2000–2020 | http://www.geodata.cn (accessed on 6 February 2025) |
| Human Footprint | 1 km | 2000–2020 | https://www.x-mol.com/groups/li_xuecao/news/48145 (accessed on 6 February 2025) |
| Impervious Surface | 30 m | 2000–2020 | - |
| Arable land Expansion | 30 m | 2000–2019 | https://glad.umd.edu/dataset/croplands (accessed on 6 February 2025) |
| Indicator Category | Impact Factors | Number | Discretization Classification |
|---|---|---|---|
| Natural factor | Annual Average Temperature | X1 | 10 |
| Annual Precipitation | X2 | 10 | |
| Annual Total Solar Radiation | X3 | 10 | |
| Annual Average NDVI | X4 | 10 | |
| Elevation | X5 | 10 | |
| Slope | X6 | 10 | |
| Human factor | Annual Average Population Density | X7 | 8 |
| Annual Average Nighttime Light | X8 | 10 | |
| Impervious Surface Change | X9 | 3 | |
| Human Footprint Change | X10 | 6 | |
| Land Use Change | X11 | 12 | |
| Arable Land Expansion Change | X12 | 4 |
| Indicator Category | Impact Factors | Range or Type of Suitability | Vegetation NEP/(g C m−2 a−1) |
|---|---|---|---|
| Natural factor | Annual Average Temperature (X1) | 14.8–15.4/℃ | 562.55 |
| Annual Precipitation (X2) | 1800–1920/mm | 619.68 | |
| Annual Total Solar Radiation (X3) | 5300–5330/(MJ/m2) | 530.53 | |
| Annual Average NDVI (X4) | 0.76–0.837 | 720.21 | |
| Elevation (X5) | 754–1830/m | 592.64 | |
| Slope (X6) | 30.5–75.6/° | 556.03 | |
| Human factor | Annual Average Population Density (X7) | 56.1–87.5/(Person/km2) | 556.11 |
| Annual Average Nighttime Light (X8) | 0–0.0421 | 509.08 | |
| Impervious Surface Change (X9) | Unchanged in non-urban areas | 492.78 | |
| Human Footprint Change (X10) | Severe to minor impact areas | 663.68 | |
| Land Use Change (X11) | Unchanged in forest areas | 479.25 | |
| Arable Land Expansion Change (X12) | Unchanged in non-arable land areas | 405.49 |
Disclaimer/Publisher’s Note: The statements, opinions and data contained in all publications are solely those of the individual author(s) and contributor(s) and not of MDPI and/or the editor(s). MDPI and/or the editor(s) disclaim responsibility for any injury to people or property resulting from any ideas, methods, instructions or products referred to in the content. |
© 2025 by the authors. Licensee MDPI, Basel, Switzerland. This article is an open access article distributed under the terms and conditions of the Creative Commons Attribution (CC BY) license (https://creativecommons.org/licenses/by/4.0/).
Share and Cite
Xu, J.; Thị Hằng, N.; Ran, M.; Kong, J. Spatiotemporal Dynamics and Drivers of Vegetation Carbon Sinks in Zhejiang Province: A Case Study in Rapidly Urbanizing Subtropical Ecosystems. Plants 2025, 14, 1151. https://doi.org/10.3390/plants14071151
Xu J, Thị Hằng N, Ran M, Kong J. Spatiotemporal Dynamics and Drivers of Vegetation Carbon Sinks in Zhejiang Province: A Case Study in Rapidly Urbanizing Subtropical Ecosystems. Plants. 2025; 14(7):1151. https://doi.org/10.3390/plants14071151
Chicago/Turabian StyleXu, Juntao, Nguyễn Thị Hằng, Mengqi Ran, and Junqia Kong. 2025. "Spatiotemporal Dynamics and Drivers of Vegetation Carbon Sinks in Zhejiang Province: A Case Study in Rapidly Urbanizing Subtropical Ecosystems" Plants 14, no. 7: 1151. https://doi.org/10.3390/plants14071151
APA StyleXu, J., Thị Hằng, N., Ran, M., & Kong, J. (2025). Spatiotemporal Dynamics and Drivers of Vegetation Carbon Sinks in Zhejiang Province: A Case Study in Rapidly Urbanizing Subtropical Ecosystems. Plants, 14(7), 1151. https://doi.org/10.3390/plants14071151

