Maize Cultivation in Sun Mushroom Post-Harvest Areas: Yield, Soil Chemical Properties, and Economic Viability
Abstract
1. Introduction
2. Materials and Methods
2.1. Experimental Design
- (i)
- SMS: sun mushroom post-harvest area without application of mineral fertilizer;
- (ii)
- SMS + S: sun mushroom post-harvest area with the application of mineral fertilizer at sowing;
- (iii)
- SMS + S + TD: sun mushroom post-harvest area with the application of mineral fertilizer at sowing and topdressing;
- (iv)
- Control area following the mineral fertilization recommendations of Duarte et al. [22].
2.2. Maize Cultivation
2.3. Electrical Conductivity and Soil pH
2.4. Chemical Characterization of Soil and Plants
2.5. Agronomic Parameters
2.6. Nearest Neighbor and Heat Map Analysis
2.7. Economic Analysis
2.8. Statistical Analysis
3. Results
3.1. Electrical Conductivity and Soil pH
3.2. Chemical Characterization of Soil and Plants
3.3. Agronomic Parameters
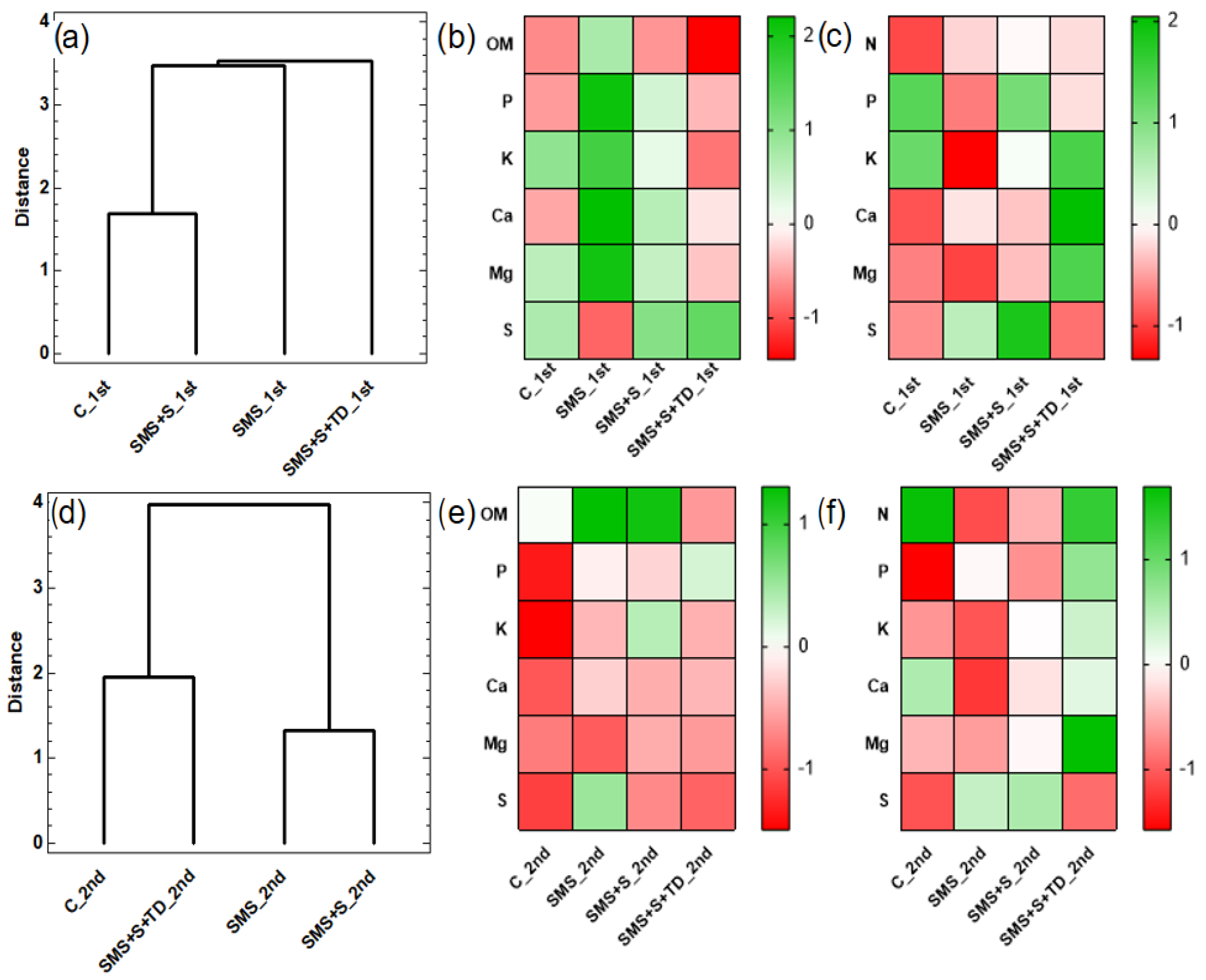
3.4. Cluster and Heat Analysis
3.5. Economic Analysis
4. Discussion
4.1. Electrical Conductivity, pH, and Chemical Characterization of Soil and Plants
4.2. Agronomic Parameters
4.3. Economics Analysis and Implications
5. Conclusions
Author Contributions
Funding
Data Availability Statement
Conflicts of Interest
References
- van Dijk, M.; Morley, T.; Rau, M.L.; Saghai, Y. A meta-analysis of projected global food demand and population at risk of hunger for the period 2010–2050. Nat. Food 2021, 2, 494–501. [Google Scholar] [CrossRef] [PubMed]
- Schattman, R.E.; Rowland, D.L.; Kelemen, S.C. Sustainable and regenerative agriculture: Tools to address food insecurity and climate change. J. Soil Water Conserv. 2023, 78, 33A–38A. [Google Scholar] [CrossRef]
- Nkansah-Dwamena, E. Why Small-Scale Circular Agriculture Is Central to Food Security and Environmental Sustainability in Sub-Saharan Africa? The Case of Ghana. Circ. Econ. Sustain. 2023, 4, 995–1019. [Google Scholar] [CrossRef]
- Ijaz, M.; Nawaz, A.; Ul-Allah, S.; Rizwan, M.S.; Ullah, A.; Hussain, M.; Sher, A.; Ahmad, S. Crop diversification and food security. In Agronomic Crops: Production Technologies; Hasanuzzaman, M., Ed.; Springer Publisher: Berlin/Heidelberg, Germany, 2019; Volume 1, pp. 607–621. [Google Scholar]
- Barbieri, P.; Pellerin, S.; Seufert, V.; Nesme, T. Changes in crop rotations would impact food production in an organically farmed world. Nat. Sustain. 2019, 2, 378–385. [Google Scholar] [CrossRef]
- Kazige, O.K.; Chuma, G.B.; Lusambya, A.S.; Mondo, J.M.; Balezi, A.Z.; Mapatano, S.; Mushagalusa, G.N. Valorizing staple crop residues through mushroom production to improve food security in eastern Democratic Republic of Congo. J. Agric. Food Res. 2022, 8, 100285. [Google Scholar]
- Silva, C.d.O.G.; Cunha, J.R.B.; Conceição, A.A.; Almeida, E.G.; Zied, D.C.; Junior, W.G.V.; Dias, E.S.; Isikhuemhen, O.S.; Abdelnur, P.V.; de Siqueira, F.G. Outdoor versus indoor cultivation: Effects on the metabolite profile of Agaricus subrufescens strains analyzed by untargeted metabolomics. Food Chem. 2022, 374, 131740. [Google Scholar]
- Junior, W.G.V.; Cardoso, R.V.C.; Fernandes, Â.; Ferreira, I.C.F.R.; Barros, L.; Pardo-Giménez, A.; Soares, D.M.M.; Stevani, C.V.; Zied, D.C. Influence of strains and environmental cultivation conditions on the bioconversion of ergosterol and vitamin D2 in the sun mushroom. J. Sci. Food Agric. 2022, 102, 1699–1706. [Google Scholar]
- Zied, D.C.; de Abreu, C.G.; Alves, L.D.S.; Prado, E.P.; Pardo-Gimenez, A.; de Melo, P.C.; Dias, E.S. Influence of the production environment on the cultivation of lettuce and arugula with spent mushroom substrate. J. Environ. Manag. 2021, 281, 111799. [Google Scholar]
- Hřebečková, T.; Wiesnerová, L.; Hanč, A. Changes in layers of laboratory vermicomposting using spent mushroom substrate of Agaricus subrufescens P. J. Environ. Manag. 2020, 276, 111340. [Google Scholar]
- Mohapatra, K.B.; Niranjan, C. Performance of straw mushroom (Volvariella volvacea) raised as an intercrop in coconut plantations of coastal Odisha. In Proceedings of the 8th International Conference on Mushroom Biology and Mushroom Products (ICMBMP8), New Delhi, India, 19–22 November 2014; pp. 314–317. [Google Scholar]
- Hamed, H.A.; Mohamed, M.F.; El-Shaikh, K.A.; Hosseney, M.H. Toward Optimizing Field Intercropping of Faba Bean and Edible Pleurotus Macro-fungi. Asian J. Res. Rev. Agric. 2020, 2, 90–100. [Google Scholar]
- Song, H.; Chen, D.; Sun, S.; Li, J.; Tu, M.; Xu, Z.; Gong, R.; Jiang, G. Peach-Morchella intercropping mode affects soil properties and fungal composition. PeerJ 2021, 9, e11705. [Google Scholar] [PubMed]
- Hetland, G.; Tangen, J.-M.; Mahmood, F.; Mirlashari, M.R.; Nissen-Meyer, L.S.H.; Nentwich, I.; Therkelsen, S.P.; Tjønnfjord, G.E.; Johnson, E. Antitumor, anti-inflammatory and antiallergic effects of Agaricus blazei mushroom extract and the related medicinal basidiomycetes mushrooms, Hericium erinaceus and Grifola frondosa: A review of preclinical and clinical studies. Nutrients 2020, 12, 1339. [Google Scholar] [CrossRef] [PubMed]
- Cavalcante, J.L.R.; Gomes, V.F.F.; Kopytowski Filho, J.; Minhoni, M.T.D.A.; Andrade, M.C.N.D. Cultivation of Agaricus blazei in the environmental protection area of the Baturité region under three types of casing soils. Acta Scientiarum. Agron. 2008, 30, 513–517. [Google Scholar]
- Tanumihardjo, S.A.; McCulley, L.; Roh, R.; Lopez-Ridaura, S.; Palacios-Rojas, N.; Gunaratna, N.S. Maize agro-food systems to ensure food and nutrition security in reference to the Sustainable Development Goals. Glob. Food Secur. 2020, 25, 100327. [Google Scholar]
- Silva, W.R.; Fracetto, G.G.M.; Fracetto, F.J.C.; Da Silva, Y.J.A.V.; De Souza, A.A.B.; Do Nascimento, C.W.A. The Stabilization Method of Sewage Sludge Affects Soil Microbial Attributes and Boosts Soil P Content and Maize Yield in a Sludge-Amended Soil in the Field. J. Soil Sci. Plant Nutr. 2021, 22, 1267–1276. [Google Scholar]
- Chen, Y.; Sossah, F.L.; Lv, Z.; Lv, Y.; Tian, L.; Sun, X.; Li, C.; Song, B.; Li, Y. Effect of wheat bran and maize straw substrates on the agronomic traits and nutritional content of Auricularia cornea cv. Yu Muer. Sci. Hortic. 2021, 286, 110200. [Google Scholar]
- Santos, H.D.; Jacomine, P.T.; Dos Anjos, L.H.C.; De Oliveira, V.Á.; Lumbreras, J.F.; Coelho, M.R.; de Almeida, J.A.; de Araujo Filho, J.C.; de Oliveira, J.B.; Cunha, T.J.F. Brazilian Soil Classification System; Embrapa: Brasília, Brazil, 2018. [Google Scholar]
- NRCS, Natural Resources Conservation Service. Soil Survey Staff Keys to Soil Taxonomy, 13th ed.; U.S. Department of Agriculture, Natural Resources Conservation Service: Washington, DC, USA, 2022.
- Alvares, C.A.; Stape, J.L.; Sentelhas, P.C.; Gonçalves, J.D.M.; Sparovek, G. Köppen’s climate classification map for Brazil. Meteorol. Z. 2013, 22, 711–728. [Google Scholar]
- Duarte, A.P.; Cantarella, H.; Quaggio, J.A. Milho para grãos e silagem. In BOLETIM 100: Recomendação de Adubação e Calagem para o Estado de São Paulo; Cantarella, H., Quaggio, J.A., Mattos Júnior, D., Boaretto, R.M., van Raij, B., Eds.; Instituto Agronômico de Campinas: Campinas, Brazil, 2022; pp. 199–205. [Google Scholar]
- Aguiar, A.T.; Gonçalves, C.; Paterniani, M.E.A.G.Z.; Tucci, M.L.S.A.; de Castro, C.E.F. Boletim 200: Instruções Agrícolas para as Principais Culturas Econômicas, 7th ed.; Instituto Agronômico: Campinas, Brazil, 2014. [Google Scholar]
- Carmo, D.L.D.; Silva, C.A. Electrical conductivity and corn growth in contrasting soils affected by liming application at various levels. Pesqui. Agropecuária Bras. 2016, 51, 1762–1772. [Google Scholar]
- Nogueira, T.A.R.; Miranda, B.G.; Jalal, A.; Lessa, L.G.F.; Filho, M.C.M.T.; Marcante, N.C.; Abreu-Junior, C.H.; Jani, A.D.; Capra, G.F.; Moreira, A.; et al. Nepheline syenite and phonolite as alternative potassium sources for maize. Agronomy 2021, 11, 1385. [Google Scholar] [CrossRef]
- Schlichting, A.F.; Bonfim-Silva, E.M.; Silva, M.D.C.; Pietro-Souza, W.; Silva, T.J.D.; Farias, L.D.N. Efficiency of portable chlorophyll meters in assessing the nutritional status of wheat plants. Rev. Bras. Eng. Agríc. Ambient. 2015, 19, 1148–1151. [Google Scholar]
- Zhai, L.; Wang, Z.; Zhai, Y.; Zhang, L.; Zheng, M.; Yao, H.; Lv, L.; Shen, H.; Zhang, J.; Yao, Y.; et al. Partial substitution of chemical fertilizer by organic fertilizer benefits grain yield, water use efficiency, and economic return of summer maize. Soil Tillage Res. 2022, 217, 105287. [Google Scholar] [CrossRef]
- CEPEA, Centro de Estudos Avançados em Economia Aplicada. Indicador do Milho ESALQ/BM&FBOVESPA. Available online: https://www.cepea.esalq.usp.br/br/indicador/milho.aspx (accessed on 12 June 2024).
- CONAB, Companhia Nacional de Abastecimento. Série Histórica das Safras—Milho. Available online: https://www.conab.gov.br/info-agro/safras/serie-historica-das-safras/itemlist/category/910-Milho (accessed on 12 June 2024).
- Medina, E.; Paredes, C.; Bustamante, M.A.; Moral, R.; Moreno-Caselles, J. Relationships between soil physico-chemical, chemical and biological properties in a soil amended with spent mushroom substrate. Geoderma 2012, 173, 152–161. [Google Scholar] [CrossRef]
- Roy, S.; Barman, S.; Chakraborty, U.; Chakraborty, B. Evaluation of Spent Mushroom Substrate as biofertilizer for growth improvement of Capsicum annuum L. J. Appl. Biol. Biotechnol. 2015, 3, 022–027. [Google Scholar]
- Nedelciu, C.E.; Ragnarsdottir, K.V.; Schlyter, P.; Stjernquist, I. Global phosphorus supply chain dynamics: Assessing regional impact to 2050. Glob. Food Secur. 2020, 26, 100426. [Google Scholar] [CrossRef] [PubMed]
- Penuelas, J.; Coello, F.; Sardans, J. A better use of fertilizers is needed for global food security and environmental sustainability. Agric. Food Secur. 2023, 12, 5. [Google Scholar] [CrossRef]
- Geng, Y.; Pan, S.; Zhang, L.; Qiu, J.; He, K.; Gao, H.; Li, Z.; Tian, D. Phosphorus biogeochemistry regulated by carbonates in soil. Environ. Res. 2022, 214, 113894. [Google Scholar] [CrossRef]
- Kumari, V.V.; Banerjee, P.; Verma, V.C.; Sukumaran, S.; Chandran, M.A.S.; Gopinath, K.A.; Venkatesh, G.; Yadav, S.K.; Singh, V.K.; Awasthi, N.K. Plant nutrition: An effective way to alleviate abiotic stress in agricultural crops. Int. J. Mol. Sci. 2022, 23, 8519. [Google Scholar] [CrossRef]
- Firmano, R.F.; de Oliveira, A.; de Castro, C.; Alleoni, L.R.F. Potassium rates on the cationic balance of an Oxisol and soybean nutritional status after 8 years of K deprivation. Exp. Agric. 2020, 56, 293–311. [Google Scholar] [CrossRef]
- Najafi-Ghiri, M.; Mirsoleimani, A.; Boostani, H.R.; Amin, H. Influence of wood vinegar and potassium application on soil properties and Ca/K ratio in citrus rootstocks. J. Soil Sci. Plant Nutr. 2022, 22, 334–344. [Google Scholar] [CrossRef]
- Louarn, G.; Bedoussac, L.; Gaudio, N.; Journet, E.P.; Moreau, D.; Jensen, E.S.; Justes, E. Plant nitrogen nutrition status in intercrops—A review of concepts and methods. Eur. J. Agron. 2021, 124, 126229. [Google Scholar] [CrossRef]
- Hoang, H.G.; Thuy, B.T.P.; Lin, C.; Vo, D.V.N.; Tran, H.T.; Bahari, M.B.; Le, V.G.; Vu, C.T. The nitrogen cycle and mitigation strategies for nitrogen loss during organic waste composting: A review. Chemosphere. 2022, 300, 134514. [Google Scholar] [CrossRef] [PubMed]
- Dunjana, N.; Nyamugafata, P.; Nyamangara, J.; Mango, N.; Gwenzi, W. Maize Water Productivity and Its Relationship to Soil Properties under Integrated Cattle Manure and Mineral-Nitrogen Fertilizer in a Smallholder Cropping System. Agron. J. 2015, 107, 2410–2418. [Google Scholar]
- Bouhia, Y.; Hafidi, M.; Ouhdouch, Y.; Boukhari, M.E.M.E.; Mphatso, C.; Zeroual, Y.; Lyamlouli, K. Conversion of waste into organo-mineral fertilizers: Current technological trends and prospects. Rev. Environ. Sci. Bio/Technol. 2022, 21, 425–446. [Google Scholar]
- Llarena-Hernández, C.R.; Largeteau, M.L.; Ferrer, N.; Regnault-Roger, C.; Savoie, J.M. Optimization of the cultivation conditions for mushroom production with European wild strains of Agaricus subrufescens and Brazilian cultivars. J. Sci. Food Agric. 2014, 94, 77–84. [Google Scholar]
- Nunes, W.A.G.D.A.; Menezes, J.F.S.; Benites, V.D.M.; Lima, S.A.D.; Oliveira, A.D.S. Use of organic compost produced from slaughterhouse waste as fertilizer in soybean and corn crops. Sci. Agric. 2015, 72, 343–350. [Google Scholar]
- Puga, A.P.; Grutzmacher, P.; Cerri, C.E.P.; Ribeirinho, V.S.; de Andrade, C.A. Biochar-based nitrogen fertilizers: Greenhouse gas emissions, use efficiency, and maize yield in tropical soils. Sci. Total Environ. 2020, 704, 135375. [Google Scholar] [CrossRef]
- Alves, L.d.S.; Caitano, C.E.C.; Ferrari, S.; Júnior, W.G.V.; Heinrichs, R.; Moreira, B.R.d.A.; Pardo-Giménez, A.; Zied, D.C. Application of Spent Sun Mushroom Substrate in Substitution of Synthetic Fertilizers at Maize Topdressing. Agronomy 2022, 12, 2884. [Google Scholar] [CrossRef]
- Bai, J.; Huang, Y.; Bai, Y.; Chen, D.; Haider, S.; Song, J.; Moreira, B.R.D.A.; Ren, G.; Yang, G.; Feng, Y.; et al. Impact of straw-biochar amendments on microbial activity and soil carbon dynamics in wheat-maize system. Soil Tillage Res. 2024, 244, 106284. [Google Scholar]
- Kaur, S.; Kaur, M.; Devi, R.; Kapoor, S. Paddy straw and maize stalks compost for cultivation of Agaricus bisporus. Int. J. Curr. Microbiol. Appl. Sci. 2019, 8, 2418–2428. [Google Scholar]
- CONTAG, Confederação Nacional dos Trabalhadores Rurais Agricultores e Agricultoras Familiares. Anuário da Agricultura Familiar 2023. Available online: https://ww2.contag.org.br/anuario-da-agricultura-familiar-2023 (accessed on 12 June 2024).
- Fathi, A.; Barari Tari, D.; Fallah Amoli, H.; Niknejad, Y. Study of energy consumption and greenhouse gas (GHG) emissions in corn production systems: Influence of different tillage systems and use of fertilizer. Commun. Soil Sci. Plant Anal. 2020, 51, 769–778. [Google Scholar] [CrossRef]
- Hu, Y.; Li, D.; Wu, Y.; Liu, S.; Li, L.; Chen, W.; Wu, S.; Meng, Q.; Feng, H.; Siddique, K.H. Mitigating greenhouse gas emissions by replacing inorganic fertilizer with organic fertilizer in wheat–maize rotation systems in China. J. Environ. Manag. 2023, 344, 118494. [Google Scholar] [CrossRef] [PubMed]
- Phares, C.A.; Amoakwah, E.; Danquah, A.; Afrifa, A.; Beyaw, L.R.; Frimpong, K.A. Biochar and NPK fertilizer co-applied with plant growth promoting bacteria (PGPB) enhanced maize grain yield and nutrient use efficiency of inorganic fertilizer. J. Agric. Food Res. 2022, 10, 100434. [Google Scholar] [CrossRef]
- Carrasco, J.; Zied, D.C.; Pardo, J.E.; Preston, G.M.; Pardo-Giménez, A. Supplementation in mushroom crops and its impact on yield and quality. AMB Express 2018, 8, 146. [Google Scholar] [CrossRef] [PubMed]




| Control Area | ||||||||||||
| pH | O.M. | P | S | Al3+ | H + Al | K | Ca | Mg | SB | CEC | BS | AS |
| CaCl2 | g dm3 | mg dm3 | mmolc dm3 | % | ||||||||
| 5.0 | 8 | 4 | 17 | 0 | 16 | 1.1 | 16 | 7 | 24 | 40 | 60 | 0 |
| Post-harvest sun mushroom area | ||||||||||||
| pH | O.M. | P | S | Al3+ | H + Al | K | Ca | Mg | SB | CEC | BS | AS |
| CaCl2 | g dm3 | mg dm3 | mmolc dm3 | % | ||||||||
| 5.9 | 9 | 21 | 10 | 0 | 13 | 1.8 | 25 | 7 | 34 | 47 | 72 | 0 |
| Soil granulometry | ||||||||||||
| Clay | Silt | Sand | ||||||||||
| g kg−1 | ||||||||||||
| 130 | 20 | 850 | ||||||||||
| Area | Treatments | N (kg ha−1) | P2O5 (kg ha−1) | K2O (kg ha−1) | SMS Deposited in the Area (ton ha−1) |
|---|---|---|---|---|---|
| Post-harvest sun mushroom area | SMS | 0 | 0 | 0 | 22.7 |
| SMS + S | 30 | 50 | 50 | ||
| SMS + S + TD | 90 (30 + 60) | 50 | 70 (50 + 20) | ||
| Control area | Control | 90 (30 + 60) | 90 | 70 (50 + 20) | 0 |
| Treatments | pH (H2O) | EC (µS cm−1) | ||
|---|---|---|---|---|
| First Crop | Second Crop | First Crop | Second Crop | |
| Control | 6.25 bc | 6.14 b | 132.37 ab | 68.75 b |
| SMS | 6.62 a | 6.28 ab | 134.50 ab | 111.25 a |
| SMS + S | 6.48 ab | 6.35 a | 95.00 b | 75.70 b |
| SMS + S + TD | 6.15 c | 6.32 a | 158.87 a | 101.75 a |
| Mean | 6.38 | 6.27 | 130.08 | 89.36 |
| C.V | 3.98 | 1.97 | 27.30 | 20.02 |
| p > f | 0.001 | 0.003 | 0.023 | 0.000 |
| Treatments | O.M. (g dm−3) | P (mg dm−3) | K (mmolc dm−3) | Ca (mmolc dm−3) | Mg (mmolc dm−3) | S (mg dm−3) | ||||||
|---|---|---|---|---|---|---|---|---|---|---|---|---|
| First Crop | Second Crop | First Crop | Second Crop | First Crop | Second Crop | First Crop | Second Crop | First Crop | Second Crop | First Crop | Second Crop | |
| Control | 8.04 | 8.57 | 4.90 b | 4.85 b | 1.85 | 1.22 b | 28.71 b | 20.95 b | 6.82 b | 5.27 | 3.93 | 2.69 |
| SMS | 9.11 | 9.54 | 5.07 a | 4.93 a | 2.02 | 1.50 ab | 71.64 a | 32.19 a | 8.49 a | 5.06 | 2.86 | 3.80 |
| SMS + S | 8.09 | 9.48 | 4.96 ab | 4.92 a | 1.66 | 1.69 a | 46.46 b | 29.09 a | 6.73 b | 5.59 | 4.16 | 2.98 |
| SMS + S + TD | 7.45 | 8.09 | 4.91 b | 4.95 a | 1.41 | 1.48 ab | 34.18 b | 29.80 a | 5.77 b | 5.47 | 4.37 | 2.83 |
| Mean | 8.17 | 8.92 | 4.95 | 4.91 | 1.73 | 1.47 | 45.21 | 28.00 | 6.95 | 5.34 | 3.83 | 3.07 |
| C.V | 19.33 | 18.49 | 1.80 | 0.63 | 25.72 | 22.88 | 28.21 | 21.05 | 17.25 | 14.52 | 28.80 | 28.77 |
| p > f | 0.023 ns | 0.211 ns | 0.002 | 0.000 | 0.065 ns | 0.007 | 0.001 | 0.004 | 0.001 | 0.562 ns | 0.051 ns | 0.342 ns |
| Treatments | N (g kg−1) | P (g kg−1) | K (g kg−1) | Ca (g kg−1) | Mg (g kg−1) | S (g kg−1) | ||||||
|---|---|---|---|---|---|---|---|---|---|---|---|---|
| First Crop | Second Crop | First Crop | Second Crop | First Crop | Second Crop | First Crop | Second Crop | First Crop | Second Crop | First Crop | Second Crop | |
| Control | 11.72 | 14.70 a | 1.37 | 1.14 | 8.65 | 6.58 | 1.28 | 1.62 a | 6.17 | 6.52 b | 1.16 | 1.13 |
| SMS | 12.25 | 11.55 b | 1.21 | 1.26 | 5.83 | 6.14 | 1.46 | 1.20 b | 5.62 | 6.26 b | 1.23 | 1.22 |
| SMS + S | 12.77 | 12.25 b | 1.35 | 1.21 | 7.38 | 7.30 | 1.42 | 1.45ab | 6.73 | 7.22 ab | 1.21 | 1.23 |
| SMS + S + TD | 12.60 | 14.35 a | 1.25 | 1.32 | 8.94 | 7.71 | 1.98 | 1.54 ab | 9.74 | 10.21 a | 1.15 | 1.14 |
| Mean | 12.33 | 13.12 | 1.30 | 1.23 | 7.70 | 6.93 | 1.53 | 1.45 | 7.09 | 7.55 | 1.18 | 1.18 |
| C.V | 15.01 | 7.15 | 10.10 | 11.11 | 33.87 | 24.13 | 39.88 | 17.63 | 43.51 | 33.29 | 10.00 | 11.60 |
| p > f | 0.687 ns | 0.000 | 0.051 ns | 0.092 ns | 0.091 ns | 0.261 ns | 0.295 ns | 0.015 | 0.094 ns | 0.015 | 0.461 ns | 0.337 ns |
| Crop | Treatments | Total Return | Total Cost | Net Benefit | ||||
|---|---|---|---|---|---|---|---|---|
| Average Yield (t ha−1) | Grain Price (USD t−1) 1 | Total Income (USD ha−1) | Fixed Cost (USD ha−1) 2 | Fertilization Cost (USD ha−1) | Net Benefit (USD ha−1) | Increase (USD ha−1) Compared to Control | ||
| First Crop | Control | 5.64 | 246.9 | 1404.9 | 970.15 | 344.0 | 90.7 | - |
| SMS | 5.34 | 246.9 | 1318.4 | 970.15 | 0 | 348.2 | +257.5 | |
| SMS + S | 5.70 | 246.9 | 1407.3 | 970.15 | 172.0 | 265.1 | +174.4 | |
| SMS + S + TD | 5.50 | 246.9 | 1357.9 | 970.15 | 344.0 | 43.7 | −47.0 | |
| Second Crop | Control | 5.90 | 270.5 | 1595.9 | 970.15 | 344.0 | 281.7 | - |
| SMS | 5.19 | 270.5 | 1403.9 | 970.15 | 0 | 433.8 | +152.1 | |
| SMS + S | 5.23 | 270.5 | 1414.7 | 970.15 | 172.0 | 272.5 | −9.2 | |
| SMS + S + TD | 6.61 | 270.5 | 1788.0 | 970.15 | 344.0 | 473.8 | +192.1 | |
Disclaimer/Publisher’s Note: The statements, opinions and data contained in all publications are solely those of the individual author(s) and contributor(s) and not of MDPI and/or the editor(s). MDPI and/or the editor(s) disclaim responsibility for any injury to people or property resulting from any ideas, methods, instructions or products referred to in the content. |
© 2025 by the authors. Licensee MDPI, Basel, Switzerland. This article is an open access article distributed under the terms and conditions of the Creative Commons Attribution (CC BY) license (https://creativecommons.org/licenses/by/4.0/).
Share and Cite
Alves, L.d.S.; Iossi, M.R.; Cardoso Caitano, C.E.; Vieira Júnior, W.G.; Teixeira, P.A.G.; Heinrichs, R.; Pardo-Giménez, A.; Zied, D.C. Maize Cultivation in Sun Mushroom Post-Harvest Areas: Yield, Soil Chemical Properties, and Economic Viability. Plants 2025, 14, 1097. https://doi.org/10.3390/plants14071097
Alves LdS, Iossi MR, Cardoso Caitano CE, Vieira Júnior WG, Teixeira PAG, Heinrichs R, Pardo-Giménez A, Zied DC. Maize Cultivation in Sun Mushroom Post-Harvest Areas: Yield, Soil Chemical Properties, and Economic Viability. Plants. 2025; 14(7):1097. https://doi.org/10.3390/plants14071097
Chicago/Turabian StyleAlves, Lucas da Silva, Matheus Rodrigo Iossi, Cinthia Elen Cardoso Caitano, Wagner Gonçalves Vieira Júnior, Pedro Afonso Gomes Teixeira, Reges Heinrichs, Arturo Pardo-Giménez, and Diego Cunha Zied. 2025. "Maize Cultivation in Sun Mushroom Post-Harvest Areas: Yield, Soil Chemical Properties, and Economic Viability" Plants 14, no. 7: 1097. https://doi.org/10.3390/plants14071097
APA StyleAlves, L. d. S., Iossi, M. R., Cardoso Caitano, C. E., Vieira Júnior, W. G., Teixeira, P. A. G., Heinrichs, R., Pardo-Giménez, A., & Zied, D. C. (2025). Maize Cultivation in Sun Mushroom Post-Harvest Areas: Yield, Soil Chemical Properties, and Economic Viability. Plants, 14(7), 1097. https://doi.org/10.3390/plants14071097

