Effects of Nitrogen Application Strategies on Yield, Nitrogen Uptake and Leaching in Spring Maize Fields in Northwest China
Abstract
1. Introduction
2. Materials and Methods
2.1. Site Description
2.2. Experimental Design
2.3. Sampling and Measurements
2.4. Calculations
2.5. Statistical Analysis
3. Results
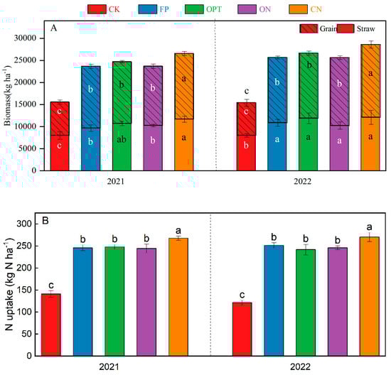
3.1. Effect of Optimized N Application on Maize Yield and N Absorption and Utilization of Spring Maize
3.2. Effect of Optimized N Application on N Leaching Concentration and Amount
3.3. Effect of Optimized N Application on Inorganic N Content in 0–100 cm Soil Profile
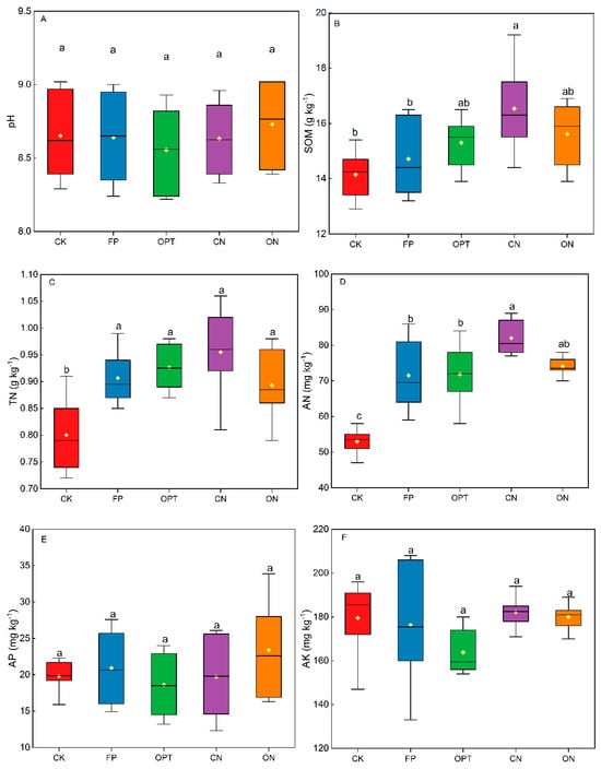
3.4. Effect of Optimized N Application on Soil Fertility in the Root Zone
3.5. Effect of Optimized N Application on Apparent N Balance
4. Discussion
4.1. Effects of the Optimizing N Application Strategy on Yield and N Fertilizer Utilization of Spring Maize
4.2. Effects of Optimized N Application Strategies on Inorganic N Leaching and Accumulation
4.3. Effects of Optimizing N Application Strategies on Soil Fertility and N Apparent Balance
5. Conclusions
Author Contributions
Funding
Data Availability Statement
Conflicts of Interest
References
- Erenstein, O.; Jaleta, M.; Sonder, K.; Mottaleb, K.; Prasanna, B.M. Global maize production, consumption and trade: Trends and R&D implications. Food Secur. 2022, 14, 1295–1319. [Google Scholar]
- NBS (National Bureau of Statistics). China Statistical Yearbook; China Statistics Press: Beijing, China, 2022. [Google Scholar]
- Liu, R.L.; Zhang, A.P.; Li, Y.H.; Wang, F.; Zhao, T.C.; Chen, C.; Hong, Y. Rice Yield, N Use Efficiency (NUE) and N Leaching Losses as Affected by Long-term Combined Applications of Manure and Chemical Fertilizers in Yellow River Irrigated Region of Ningxia, China. J. Agro-Environ. Sci. 2015, 34, 947–954. [Google Scholar]
- Liu, R.L.; Wang, Y.; Hong, Y.; Wang, F.; Mao, X.P.; Yi, J. Controlled-release urea application and optimized N applied strategy reduced N leaching and maintained grain yield of paddy fields in Northwest China. Front. Plant Sci. 2023, 14, 1033506. [Google Scholar] [CrossRef] [PubMed]
- Wang, Y.; Zhao, R.L.; Zhao, J.; Sun, F.G.; Xie, T.N.; Zhang, W.J. Characteristics and Key Cultivation Techniques of Maize High Yield Plots in Yellow River Irrigation Areas of Ningxia. Crops 2013, 33, 108–113. [Google Scholar]
- Liu, D.T.; Song, C.C.; Xin, Z.H.; Fang, C.; Liu, Z.H. Spatial patterns and driving factor analysis of recommended N application rate for the trade-off between economy and environment for maize in China. J. Environ. Manag. 2022, 322, 116099. [Google Scholar]
- Zheng, C.; Yang, Z.C.; Qiu, X.C.; Yin, L.; Li, Y.L. Water Environmental Quality of Drainage Ditches and Their Controls in Ningxia Irrigation Area. Bull. Soil Water Conserv. 2018, 38, 74–79+87. [Google Scholar]
- Li, X.L.; He, T.Q.; Zhang, C.X.; Tian, M.H.; Wu, M.; Li, C.H.; Yang, Q.H.; Zhang, X.L. Effect of Organic Fertilizer Replacing Chemical Fertilizers on Greenhouse Gas Emission Under the Conditions of Same N Fertilizer Input in Maize Farmland. Sci. Agric. Sin. 2022, 55, 948–961. [Google Scholar]
- Seungdo, K.; Bruce, E.D. Effects of N fertilizer application on greenhouse gas emissions and economics of maize production. Environ. Sci. Technol. 2008, 42, 6028–6033. [Google Scholar]
- Zörb, C.; Schmitt, S.; Neeb, A.; Karl, S.; Linder, M.; Schubert, S. The biochemical reaction of maize (Zea mays L.) to salt stress is characterized by a mitigation of symptoms and not by a specific adaptation. Plant Sci. 2004, 167, 91–100. [Google Scholar]
- Ju, X.T.; Xing, G.X.; Chen, X.P.; Zhang, S.L.; Zhang, L.J.; Liu, X.J.; Cui, Z.L.; Yin, B.; Christie, P.; Zhu, Z.L.; et al. Reducing environmental risk by improving N management in intensive Chinese agricultural systems. Proc. Natl. Acad. Sci. USA 2009, 106, 3041–3046. [Google Scholar]
- Ju, X.T.; Zhang, F.S. Thinking about N recovery rate. Ecol. Environ. 2003, 12, 192–197. [Google Scholar]
- Zhao, S.C.; Pei, X.X.; He, P.; Zhang, X.Z.; Li, K.J.; Zhao, W. Effects of reducing and postponing N application on soil N supply plant N uptake and utilization of summer maize. Plant Nutr. Fertil. Sci. 2010, 16, 492–497. [Google Scholar]
- Dimkpa, C.O.; Fugice, J.; Singh, U.; Lewis, T.D. Development of fertilizers for enhanced N use efficiency-Trends and perspectives. Sci. Total Environ. 2020, 731, 139113. [Google Scholar]
- Efthimiadou, A.; Bilalis, D.; Karkanis, A.; Froud-Williams, B. Combined organic/inorganic fertilization enhance soil quality and increased yield, photosynthesis and sustainability of sweet maize crop. Aust. J. Crop Sci. 2010, 4, 722–729. [Google Scholar]
- Zhou, H.; Wang, Y.Q.; Wang, J.; Liu, H.; Li, H.F.; Guo, J.W. Effects of Long-Term Organic-Inorganic N Application on Maize Yield and N-Containing Gas Emission. Agronomy 2023, 13, 848. [Google Scholar]
- Nazir, M.; Pandey, R.; Siddiqi, T.O.; Ibrahim, M.M.; Qureshi, M.I.; Abraham, G.; Vengavasi, K.; Ahmad, A. N-deficiency stress induces protein expression differentially in low-N tolerant and low-N sensitive Maize genotypes. Front. Plant Sci. 2016, 7, 298. [Google Scholar]
- Gully, K.; Hander, T.; Boller, T.; Bartels, S. Perception of Arabidopsis AtPep peptides, but not bacterial elicitors, accelerates starvation-induced senescence. Front. Plant Sci. 2015, 6, 14. [Google Scholar]
- Woli, K.P.; Sawyer, J.E.; Boyer, M.J.; Abendroth, L.J.; Elmore, R.W. Maize era hybrid macronutrient and dry matter accumulation in plant components. Agron. J. 2018, 110, 1648–1658. [Google Scholar]
- Pei, W.D.; Wang, G.X.; Wang, Z.L.; Ren, Z.P.; Zhang, H.J. Effect of N Fertilizer Postponing Application on Grain Filling and Endogenous Hormones of Spring Maize. J. Maize Sci. 2022, 30, 114–120. [Google Scholar]
- Xie, W.Y.; Zhou, H.P.; Yang, Z.X.; Liu, Z.P.; Du, Y.L.; Guo, J.; Lv, Q.Q. Effects of different ratios of controlled-release urea and common urea on yield, N utilization and economic benefit of spring maize. Agric. Res. Arid Areas 2020, 38, 31–38. [Google Scholar]
- Lu, Y.J.; Yu, H.Y.; Yao, F.Y.; Cao, Y.J.; Wei, W.W.; Wang, L.C.; Wang, Y.J. Effects of soil straw return and N on spring maize yield, greenhouse gas emission and soil enzyme activity in black soils. Chin. J. Eco-Agric. 2016, 24, 1456–1463. [Google Scholar]
- Sun, R.; Ding, J.; Li, H.; Wang, X.; Li, W.; Li, K.; Ye, X.; Sun, S. Mitigating nitrate leaching in cropland by enhancing microbial nitrate transformation through the addition of liquid biogas slurry. Agric. Ecosyst. Environ. 2023, 345, 108324. [Google Scholar]
- Barreto, M.S.C.; Ramlogan, M.; Oliveira, D.M.S.; Verburg, E.E.J.; Elzinga, E.J.; Rouff, A.A.; Jemo, M.; Alleoni, L.R.F. Thermal stability of soil organic carbon after long-term manure application across land uses and tillage systems in an oxisol. Catena 2021, 200, 105164. [Google Scholar]
- Brown, K.H.; Bach, E.M.; Drijber, R.A.; Castellano, M.J. A long-term N fertilizer gradient has little effect on soil organic matter in a high-intensity maize production system. Glob. Change Biol. 2014, 20, 1339–1350. [Google Scholar]
- Yang, Q.L.; Liu, P.; Dong, S.T.; Zhang, J.W.; Zhao, B.; Li, R.F.; Ren, H.; Ren, H.; Han, X.F. Effects of Combined Application of Manure and Chemical Fertilizers on Loss of Gaseous N and Yield of Summer Maize. Sci. Agric. Sin. 2018, 51, 2476–2488. [Google Scholar]
- Qu, X.L.; Long, H.Y.; Xie, P. Study on soil formation characteristics and systematic classification of irrigation and siltation soils in Ningxia’s Yellow River Irrigation Area. Soil J. 2017, 54, 1102–1114. [Google Scholar]
- Bao, S.D. Soil Agrochemistry Analysis, 3rd ed.; China Agriculture Press: Beijing, China, 2000. [Google Scholar]
- Singh, B.; Eric, C. Fertilizers and nitrate pollution of surface and ground water: An increasingly pervasive global problem. SN Appl. Sci. 2021, 3, 518. [Google Scholar]
- Luo, X.S.; Kou, C.L.; Wang, Q. Optimal Fertilizer Application Reduced N Leaching and Maintained High Yield in Wheat-Maize Cropping System in North China. Plants 2022, 11, 1963. [Google Scholar]
- Putten, P.E.; Birch, C.J. Effect of N supply on leaf appearance, leaf growth, leaf N economy and photosynthetic capacity in maize (Zea mays L.). Field Crop. Res. 2005, 93, 64–73. [Google Scholar]
- Zhang, J.W.; Wang, K.J.; Hu, C.H.; Dong, S.T.; Liu, P. Effects of different nitrogen application stages on forage nutritive value of summer maize. Sci. Agric. Sin. 2002, 35, 1337–1342. [Google Scholar]
- Gao, S.L.; Liu, S.T.; Yang, Q.H.; Chong, J.T. Effect of reducing and postponing nitrogen fertilization on the yield and canopy physiological properties of corn. Chin. Agric. Sci. Bull. 2013, 29, 114–118. [Google Scholar]
- Wu, X.L.; Li, C.S.; Tang, Y.L.; Liu, Y.B.; Li, B.Q.; Fan, G.Q.; Xiong, T. Effects of nitrogen fertiliser transport on yield, nitrogen use efficiency and light energy efficiency of wheat. J. Appl. Ecol. 2017, 28, 1889–1898. [Google Scholar]
- Wu, G.L.; Guo, L.Y.; Cui, Z.Y.; Li, Y.; Yin, Y.P.; Wang, Z.L.; Jang, G.M. Differential effects of nitrogen managements on nitrogen, dry matter accumulation and transportation in late-sowing winter wheat. Acta Ecol. Sin. 2012, 32, 5128–5137. [Google Scholar]
- Wang, L.M.; LI, S.Q.; Shao, M.A. Effects of N and water supply on dry matter and N accumulation and distribution in maize (Zea mays L.) leaf and straw-sheath. Sci. Agric. Sin. 2010, 43, 2697–2705. [Google Scholar]
- Yang, X.Y.; Geng, K.B.; Yu, Q.Q.; Yan, Z.F.; Li, H.; Cui, Y.C.; Yang, H. Effects of organic fertiliser replacing chemical fertiliser nitrogen on carbon and nitrogen transport characteristics of wheat field soil. J. Soil Water Conserv. 2019, 33, 230–236. [Google Scholar]
- Liu, H.J.; Chen, Y.W.; Sun, G.F.; Chen, L.G.; Zheng, J.C. Effects of different ratios of organic-inorganic fertilisers on rice yield and nutrient loss from farmland. J. Ecol. 2017, 36, 405–412. [Google Scholar]
- Cha, Y.; Wu, X.P.; Zhang, H.M.; Cai, D.X.; Zhu, P.; Gao, H.J. Effects of long-term organic-inorganic allotment of soil organic carbon in black soil on the enhancement of basic soil fertility of farmland. Chin. Agric. Sci. 2015, 48, 4649–4659. [Google Scholar]
- Liu, Z.X.; Liu, P.; Jia, X.C.; Cheng, Y.; Dong, S.T.; Zhao, B.; Zhang, J.W.; Yang, J.S. Effects of different water and fertiliser treatments on soil microbial properties in summer maize fields. J. Appl. Ecol. 2015, 26, 113–121. [Google Scholar]
- Chen, G.; Wang, P.; Tao, H.B.; Zhang, D.D. Effects of organic and inorganic fertilisation on yield and soil water use of spring maize in dryland. Arid Zone Agric. Res. 2012, 30, 139–144. [Google Scholar]
- Fu, Z.H.; Ma, Z.T.; Wei, H.Y. Effects of controlled release fertilizer ratio on yield formation and nitrogen absorption and utilization of late-maturing medium japonica rice under different mechanized cultivation methods. Acta Agron. Sin. 2022, 48, 165–179. [Google Scholar] [CrossRef]
- Robson, P.R.H.; Farrar, K.; Gay, A.P.; Jensen, E.F.; Clifton-Brown, J.C.; Donnison, L.S. Variation in canopy duration in the perennial biofuel crop Miscanthus reveals complex associations with yield. J. Exp. Bot. 2013, 64, 2373–2383. [Google Scholar] [PubMed]
- Pommel, B.; Gallais, A.; Coque, M.; Quilleré, I.; Hirel, B.; Prioul, J.K.; Andrieu, B.; Floriot, M. Carbon and N allocation and grain filling in three maize hybrids differing in leaf senescence. Eur. J. Agron. 2006, 24, 203–211. [Google Scholar]
- Fernandez, J.A.; DeBruin, J.; Messina, C.D.; Ciampitti, I.A. Late-season N fertilization on maize yield: A meta-analysis. Field Crops Res. 2020, 247, 107586. [Google Scholar]
- Tilman, D.; Cassman, K.G.; Matson, P.A.; Naylor, R.; Polasky, S. Agricultural sustainability and intensive production practices. Nature 2002, 418, 671–677. [Google Scholar] [CrossRef]
- Zou, L.; Liu, Y.; Wang, Y.; Hu, X. Assessment and analysis of agricultural non-point source pollution loads in China: 1978–2017. J. Environ. Manag. 2020, 263, 110400. [Google Scholar]
- Liu, D.; Song, C.; Fang, C.; Xin, Z.; Xi, J.; Lu, Y. A recommended N application strategy for high crop yield and low environmental pollution at a basin scale. Sci. Total Environ. 2021, 792, 148464. [Google Scholar] [CrossRef]
- Li, H.S. Principles and Techniques of Plant Physiological Experiment; Higher Education Press: Beijing, China, 2000. [Google Scholar]
- Qiao, J.; Yang, L.; Yan, T.; Xue, F.; Zhao, D. N fertilizer reduction in rice production for two consecutive years in the Taihu Lake area. Agric. Ecosyst. Environ. 2012, 146, 103–112. [Google Scholar]
- Zeng, K.; Zhu, W.B.; Tian, Y.H.; Yin, B. Influence of urea fertilization methods on rice yield, nitrogen use efficiency and soil nitrogen loss. J. Plant Nutr. Fertil. 2023, 29, 427–436. [Google Scholar]
- Hou, K.; Rong, X.M.; Han, L. Effects of one-time deep application of available nitrogen and slow and controlled-release nitrogen on rice yield, nitrogen use efficiency, and nitrogen loss. J. Agro Environ. Sci. 2021, 40, 1923–1934. [Google Scholar]
- Liu, M.P.; Xu, K.W.; Xiao, H.; Chen, X.H.; Peng, D.D.; Lu, J.Y.; Chen, Y.X. Effects of N application on the characteristics of mineral N leaching in purplish soil and spring 617 maize yield in Sichuan. J. Agric. Resour. Environ. 2022, 39, 88–98. [Google Scholar]
- Yang, X.L.; Lu, Y.L.; Tong, Y.A.; Lin, W.; Liang, T. Effects of long-term N application and straw returning on N budget under wheat-maize rotation system. Plant Nutr. Fertil. Sci. 2013, 19, 65–73. [Google Scholar]
- Zhang, L.J.; Ju, X.T.; Wen, H.D.; Xia, X.P.; Liu, H. Utilization of residual N by 623 plants and its movement in different soil layers. Plant Nutr. Fertil. Sci. 2010, 16, 82–91. [Google Scholar]
- Banger, K.; Nafziger, E.D.; Wang, J.; Pittelkow, C.M. Modeling Inorganic Soil N Status in Maize Agroecosystems. Soil Sci. Soc. Am. J. 2019, 83, 1564–1574. [Google Scholar]
- Raza, S.; Farmaha, B.S. Contrasting maize yield responses to N fertilization in southeast coastal plain soils. Front. Environ. Sci. 2022, 10, 1236. [Google Scholar]
- Zhou, J.Y.; Gu, B.j.; Schlesinge, W.H.; Ju, X.T. Significant accumulation of nitrate in Chinese semi-humid croplands. Sci. Rep. 2016, 6, 25088. [Google Scholar]
- Hou, Y.P.; Kong, L.L.; Li, Q.; Yin, C.X.; Qin, Y.B.; Yu, L.; Wang, L.C.; Xie, J.G. Effects of Drip Irrigation with N on N Uptake, Soil Inorganic N Content and N Balance of Spring Maize. J. Soil Water Conserv. 2018, 32, 238–245. [Google Scholar]
- Zhang, M.; Yao, Y.; Tian, Y.; Ceng, K.; Zhao, M.; Zhao, M.; Yin, B. Increasing yield and N use efficiency with organic fertilizer in Chinese intensive rice cropping systems. Field Crops Res. 2018, 227, 102–109. [Google Scholar]
- Gao, P.; Zhang, T.; Lei, X.Y.; Cui, X.W.; Lu, Y.X.; Fan, P.F.; Zhang, H.M. Improvement of soil fertility and rice yield after long-term Application of cow manure combined with inorganic fertilizers. J. Integr. Agric. 2023, 22, 2221–2232. [Google Scholar]
- Jin, L.B.; Cui, H.Y.; Li, B.; Liu, P. Effects of integrated agronomic management practices on yield and N efficiency of summer maize in North China. Field Crops Res. 2012, 134, 30–35. [Google Scholar]
- Cameron, K.C.; Di, H.J.; Moir, J.L. N losses from the soil/plant system: A review. Ann. Appl. Biol. 2013, 162, 145–173. [Google Scholar]
- Wu, G.; Yuan, M.M.; Cao, Z.W.; Zhang, Z.D.; Wang, L.L.; Wang, Y.L.; Sun, Y.X. Characteristics of ammonia volatilisation loss from paddy fields under different water nitrogen management conditions. J. Ecol. Rural Environ. 2019, 35, 651–658. [Google Scholar]
- Xie, Y.Q.; Zhang, J.F.; Jiang, H.M.; Yang, J.C.; Dang, S.H.i.; Li, X.; Guo, J.Y.; Li, L.L.; Liu, X.; Zhou, G.Y. Effects of different fertilisation practices on greenhouse gas emissions from paddy soils. J. Agric. Environ. Sci. 2015, 34, 578–584. [Google Scholar]






| Soil Depth (cm) | Bulk Density (g cm−3) | Total Porosity (%) | Total Salt (g kg−1) | Organic Matter (g kg−1) | Total N (g kg−1) | Available N (mg kg−1) |
|---|---|---|---|---|---|---|
| 0–20 | 1.36 ± 0.11 a | 48.7 ± 3.90 a | 0.49 ± 0.04 a | 13.74 ± 1.1 a | 1.01 ± 0.08 a | 38.66 ± 3.09 a |
| 20–40 | 1.36 ± 0.14 a | 48.8 ± 4.88 a | 0.40 ± 0.04 b | 8.71 ± 0.87 b | 0.85 ± 0.09 b | 26.98 ± 2.70 b |
| 40–60 | 1.53 ± 0.23 a | 42.3 ± 3.35 a | 0.39 ± 0.06 bc | 5.26 ± 0.79 c | 0.40 ± 0.06 c | 25.12 ± 3.70 b |
| 60–80 | 1.64 ± 0.11 a | 39.0 ± 2.73 a | 0.35 ± 0.02 bc | 4.41 ± 0.31 cd | 0.31 ± 0.05 c | 24.31 ± 3.70 b |
| 80–100 | 1.44 ± 0.26 a | 45.4 ± 4.17 a | 0.31 ± 0.06 c | 3.15 ± 0.57 d | 0.29 ± 0.05 c | 23.58 ± 4.27 b |
| Treatment | Organic Fertilizer | Urea N | Control-Released Uera N | P2O5 | K2O |
|---|---|---|---|---|---|
| CK | 0 | 0 | 0 | 105 | 45 |
| FP | 0 | 420 | 0 | 105 | 45 |
| OPT | 0 | 360 | 0 | 105 | 45 |
| ON | 4500 | 300 | 0 | 105 | 45 |
| CN | 0 | 135 | 135 | 105 | 45 |
| Treatment | NUE/% | NPP/kg·kg−1 | ||||
|---|---|---|---|---|---|---|
| 2021 | 2022 | Average | 2021 | 2022 | Average | |
| FP | 24.89 ± 1.58 d | 30.46 ± 1.46 c | 27.68 ± 1.27 d | 33.34 ± 1.07 d | 35.18 ± 0.73 d | 34.42 ± 1.17 d |
| OPT | 29.65 ± 1.44 c | 32.91 ± 33.1 c | 31.28 ± 1.88 c | 38.84 ± 0.69 c | 40.95 ± 1.27 c | 38.81 ± 1.52 c |
| ON | 34.45 ± 3.27 b | 40.90 ± 1.40 b | 37.67 ± 0.98 b | 44.73 ± 1.66 b | 51.19 ± 1.36 b | 46.34 ± 0.71 b |
| CN | 46.92 ± 1.79 a | 54.46 ± 3.89 a | 50.69 ± 2.16 a | 55.09 ± 1.67 a | 61.01 ± 3.13 a | 58.70 ± 1.92 a |
| Treatment | TN | NO3−-N | NH4+-N | |||
|---|---|---|---|---|---|---|
| 2021 | 2022 | 2021 | 2022 | 2021 | 2022 | |
| CK | 5.96 ± 0.49 e | 4.96 ± 0.84 d | 3.06 ± 0.68 d | 2.75 ± 0.45 e | 0.45 ± 0.04 c | 0.37 ± 0.07 c |
| FP | 30.04 ± 2.56 a | 30.77 ± 1.20 a | 15.77 ± 1.77 a | 16.15 ± 1.25 a | 1.82 ± 0.55 a | 1.76 ± 0.34 a |
| OPT | 25.79 ± 3.23 b | 24.23 ± 2.62 b | 14.75 ± 1.51 a | 13.29 ± 1.21 b | 1.71 ± 0.31 a | 1.42 ± 0.33 ab |
| ON | 16.48 ± 1.23 c | 13.99 ± 01 c | 9.10 ± 0.84 b | 7.75 ± 0.78 c | 1.38 ± 0.18 ab | 1.08 ± 0.34 b |
| CN | 12.22 ± 0.65 d | 12.27 ± 1.15 c | 6.65 ± 1.06 c | 5.12 ± 0.83 d | 1.09 ± 0.13 b | 0.92 ± 0.18 b |
| Items | CK | FP | OPT | ON | CN |
|---|---|---|---|---|---|
| Total N input | 175.54 | 595.54 | 535.54 | 475.54 | 445.54 |
| Fertilizer | 0.00 | 420.00 | 360.00 | 300.00 | 270.00 |
| Irrigation and precipitation | 9.75 | 9.75 | 9.75 | 9.75 | 9.75 |
| Seed | 0.49 | 0.49 | 0.49 | 0.49 | 0.49 |
| Soil mineral N before transplant | 122.98 | 122.98 | 122.98 | 122.98 | 122.98 |
| Apparent N mineralization | 42.81 | 42.81 | 42.81 | 42.81 | 42.81 |
| Total N input | 175.54 | 595.54 | 535.54 | 475.54 | 445.54 |
| Total N output | 175.54 | 595.54 | 535.54 | 475.54 | 445.54 |
| Maize plant N uptake | 131.2 | 248.45 | 244.83 | 245.21 | 269.07 |
| Soil mineral N after harvest | 34.59 | 300.13 | 254.93 | 200.67 | 154.62 |
| Apparent N loss | 9.75 | 46.96 | 35.78 | 29.66 | 21.85 |
Disclaimer/Publisher’s Note: The statements, opinions and data contained in all publications are solely those of the individual author(s) and contributor(s) and not of MDPI and/or the editor(s). MDPI and/or the editor(s) disclaim responsibility for any injury to people or property resulting from any ideas, methods, instructions or products referred to in the content. |
© 2025 by the authors. Licensee MDPI, Basel, Switzerland. This article is an open access article distributed under the terms and conditions of the Creative Commons Attribution (CC BY) license (https://creativecommons.org/licenses/by/4.0/).
Share and Cite
Wang, Y.; He, J.; Gao, Z.; Liu, R.; Hong, Y.; Wang, F.; Mao, X.; Xu, T.; Zhou, L.; Yi, J. Effects of Nitrogen Application Strategies on Yield, Nitrogen Uptake and Leaching in Spring Maize Fields in Northwest China. Plants 2025, 14, 1067. https://doi.org/10.3390/plants14071067
Wang Y, He J, Gao Z, Liu R, Hong Y, Wang F, Mao X, Xu T, Zhou L, Yi J. Effects of Nitrogen Application Strategies on Yield, Nitrogen Uptake and Leaching in Spring Maize Fields in Northwest China. Plants. 2025; 14(7):1067. https://doi.org/10.3390/plants14071067
Chicago/Turabian StyleWang, Ying, Jingjing He, Zongyuan Gao, Ruliang Liu, Yu Hong, Fang Wang, Xinping Mao, Tianxiang Xu, Lina Zhou, and Jun Yi. 2025. "Effects of Nitrogen Application Strategies on Yield, Nitrogen Uptake and Leaching in Spring Maize Fields in Northwest China" Plants 14, no. 7: 1067. https://doi.org/10.3390/plants14071067
APA StyleWang, Y., He, J., Gao, Z., Liu, R., Hong, Y., Wang, F., Mao, X., Xu, T., Zhou, L., & Yi, J. (2025). Effects of Nitrogen Application Strategies on Yield, Nitrogen Uptake and Leaching in Spring Maize Fields in Northwest China. Plants, 14(7), 1067. https://doi.org/10.3390/plants14071067

