Biochar and Trehalose Co-Application: A Sustainable Strategy for Alleviating Lead Toxicity in Rice
Abstract
1. Introduction
2. Results
2.1. Growth and Yield Traits
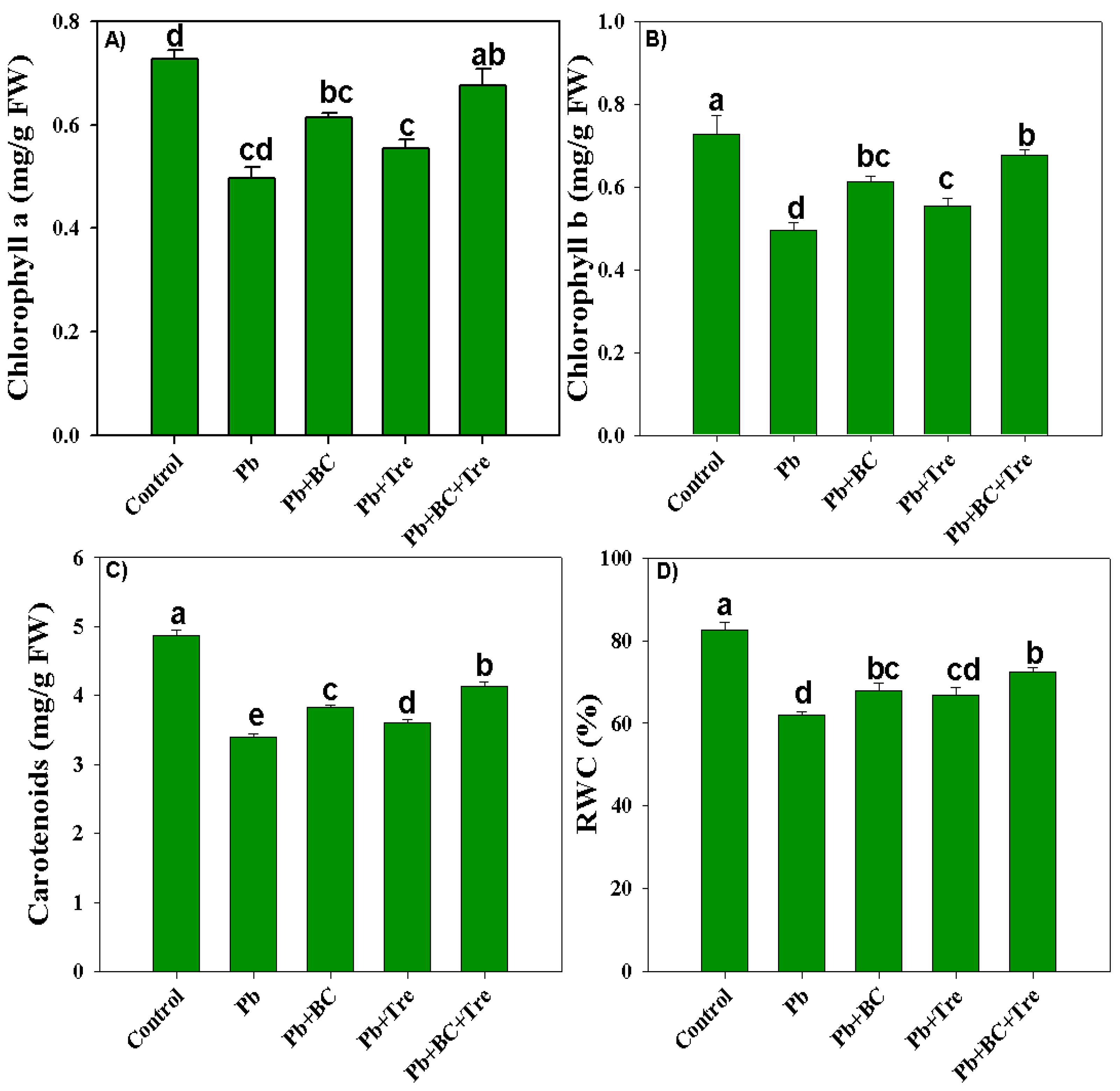
2.2. Chlorophyll and Relative Water Contents
2.3. Leaf Oxidative Markers, Osmolytes, and Antioxidant Activities
2.4. Tissue Pb Concentration, Pb Translocation, and Biological Accumulation Coefficient Factors
2.5. Tissue Nutrient Concentration
2.6. Soil Properties After Harvesting
2.7. Principal Component Analysis and Correlation Matrix
3. Discussion
4. Materials and Methods
4.1. Experimental Details
4.2. Experiment Setup
4.3. Measurement of Plant Growth and Yield Traits
4.4. Measurement of Chlorophyll Contents and Physiological Attributes
4.5. Estimation of Oxidative Stress Indicators and Osmolytes
4.6. Measurement of Antioxidant Activities
4.7. Measurement of Nutrient Concentrations
4.8. Assessment of the Pb Concentration in Soil and Plant and Analysis of Soil Physicochemical Properties
- (i)
- BCF = Pb concentration in roots/Pb concentration in soil
- (ii)
- TF = Pb concentration in shoots/Pb concentration in roots
4.9. Statistical Analysis
5. Conclusions
Author Contributions
Funding
Data Availability Statement
Acknowledgments
Conflicts of Interest
References
- Beduk, F.; Aydin, S.; Aydin, M.E.; Bahadir, M. Consequences of heavy metals in water and wastewater for the environment and human health. In Water and Wastewater Management: Global Problems and Measures; Springer: Berlin/Heidelberg, Germany, 2022; pp. 221–228. [Google Scholar]
- Devi, N.R. A Brief Study of the Effects of Heavy Metals and Metalloids on Food Crops. In Remediation of Heavy Metals: Sustainable Technologies and Recent Advances; John Wiley & Sons: Hoboken, NJ, USA, 2024; pp. 31–46. [Google Scholar]
- Chen, L.; Chang, N.; Qiu, T.; Wang, N.; Cui, Q.; Shuling, Z.; Huang, F.; Chen, H.; Zeng, Y.; Dong, F. Meta-analysis of impacts of microplastics on plant heavy metal accumulation. Environ. Pollut. 2024, 348, 123787. [Google Scholar] [CrossRef] [PubMed]
- Yang, L.; Kang, Y.; Li, N.; Wang, Y.; Sun, H.; Ao, T.; Chen, L.; Chen, W. Safe utilization evaluation of two typical traditional Chinese medicinal materials in Cd-contaminated soil based on the analysis of Cd transfer and AHP model. Sci. Total Environ. 2024, 913, 169741. [Google Scholar] [CrossRef] [PubMed]
- He, B.; Zhao, X.; Li, P.; Liang, J.; Fan, Q.; Ma, X.; Zheng, G.; Qiu, J. Lead isotopic fingerprinting as a tracer to identify the pollution sources of heavy metals in the southeastern zone of Baiyin, China. Sci. Total Environ. 2019, 660, 348–357. [Google Scholar] [CrossRef] [PubMed]
- Vareda, J.P.; Valente, A.J.; Durães, L. Assessment of heavy metal pollution from anthropogenic activities and remediation strategies: A review. J. Environ. Manag. 2019, 246, 101–118. [Google Scholar] [CrossRef]
- Collin, M.S.; Venkatraman, S.K.; Vijayakumar, N.; Kanimozhi, V.; Arbaaz, S.M.; Stacey, R.S.; Anusha, J.; Choudhary, R.; Lvov, V.; Tovar, G.I. Bioaccumulation of lead (Pb) and its effects on human: A review. J. Hazard. Mater. Adv. 2022, 7, 100094. [Google Scholar] [CrossRef]
- Ghouri, F.; Shahid, M.J.; Zhong, M.; Zia, M.A.; Alomrani, S.O.; Liu, J.; Sun, L.; Ali, S.; Liu, X.; Shahid, M.Q. Alleviated lead toxicity in rice plant by co-augmented action of genome doubling and TiO2 nanoparticles on gene expression, cytological and physiological changes. Sci. Total Environ. 2024, 911, 168709. [Google Scholar] [CrossRef]
- Ashraf, U.; Kanu, A.S.; Mo, Z.; Hussain, S.; Anjum, S.A.; Khan, I.; Abbas, R.N.; Tang, X. Lead toxicity in rice: Effects, mechanisms, and mitigation strategies—A mini review. Environ. Sci. Pollut. Res. 2015, 22, 18318–18332. [Google Scholar] [CrossRef]
- Khan, M.; Rolly, N.K.; Al Azzawi, T.N.I.; Imran, M.; Mun, B.-G.; Lee, I.-J.; Yun, B.-W. Lead (Pb)-induced oxidative stress alters the morphological and physio-biochemical properties of rice (Oryza sativa L.). Agronomy 2021, 11, 409. [Google Scholar] [CrossRef]
- Rasool, M.; Anwar-ul-Haq, M.; Jan, M.; Akhtar, J.; Ibrahim, M.; Iqbal, J. Phytoremedial potential of maize (Zea mays L.) hybrids against cadmium (Cd) and lead (Pb) toxicity. Pure Appl. Biol. 2020, 9, 1932–1945. [Google Scholar] [CrossRef]
- Ashraf, U.; Kanu, A.S.; Deng, Q.; Mo, Z.; Pan, S.; Tian, H.; Tang, X. Lead (Pb) toxicity; physio-biochemical mechanisms, grain yield, quality, and Pb distribution proportions in scented rice. Front. Plant Sci. 2017, 8, 259. [Google Scholar] [CrossRef]
- Romanowska, E.; Wasilewska, W.; Fristedt, R.; Vener, A.V.; Zienkiewicz, M. Phosphorylation of PSII proteins in maize thylakoids in the presence of Pb ions. J. Plant Physiol. 2012, 169, 345–352. [Google Scholar] [CrossRef] [PubMed]
- Liu, X.; Ju, Y.; Mandzhieva, S.; Pinskii, D.; Minkina, T.; Rajput, V.D.; Roane, T.; Huang, S.; Li, Y.; Ma, L.Q. Sporadic Pb accumulation by plants: Influence of soil biogeochemistry, microbial community and physiological mechanisms. J. Hazard. Mater. 2023, 444, 130391. [Google Scholar] [CrossRef] [PubMed]
- Chen, L.; Zhou, M.; Wang, J.; Zhang, Z.; Duan, C.; Wang, X.; Zhao, S.; Bai, X.; Li, Z.; Li, Z. A global meta-analysis of heavy metal (loid) s pollution in soils near copper mines: Evaluation of pollution level and probabilistic health risks. Sci. Total Environ. 2022, 835, 155441. [Google Scholar] [CrossRef] [PubMed]
- Hu, B.; Ai, Y.; Jin, J.; Hayat, T.; Alsaedi, A.; Zhuang, L.; Wang, X. Efficient elimination of organic and inorganic pollutants by biochar and biochar-based materials. Biochar 2020, 2, 47–64. [Google Scholar] [CrossRef]
- Yang, Y.; Ye, C.; Zhang, W.; Zhu, X.; Li, H.; Yang, D.; Ahmed, W.; Zhao, Z. Elucidating the impact of biochar with different carbon/nitrogen ratios on soil biochemical properties and rhizosphere bacterial communities of flue-cured tobacco plants. Front. Plant Sci. 2023, 14, 1250669. [Google Scholar] [CrossRef]
- Yang, L.; Li, S.; Ahmed, W.; Jiang, T.; Mei, F.; Hu, X.; Liu, W.; Abbas, F.M.; Xue, R.; Peng, X. Exploring the Relationship Between Biochar Pore Structure and Microbial Community Composition in Promoting Tobacco Growth. Plants 2024, 13, 2952. [Google Scholar] [CrossRef]
- Jia, W.; Wang, B.; Wang, C.; Sun, H. Tourmaline and biochar for the remediation of acid soil polluted with heavy metals. J. Environ. Chem. Eng. 2017, 5, 2107–2114. [Google Scholar] [CrossRef]
- Liu, L.; Li, J.; Wu, G.; Shen, H.; Fu, G.; Wang, Y. Combined effects of biochar and chicken manure on maize (Zea mays L.) growth, lead uptake and soil enzyme activities under lead stress. PeerJ 2021, 9, e11754. [Google Scholar] [CrossRef]
- Shahzad, A.S.; Younis, U.; Naz, N.; Danish, S.; Syed, A.; Elgorban, A.M.; Eswaramoorthy, R.; Huang, S.; Battaglia, M.L. Acidified biochar improves lead tolerance and enhances morphological and biochemical attributes of mint in saline soil. Sci. Rep. 2023, 13, 8720. [Google Scholar] [CrossRef]
- Shi, X.; Wang, S.; He, W.; Wang, Y. Lead accumulation and biochemical responses in Rhus chinensis Mill to the addition of organic acids in lead contaminated soils. RSC Adv. 2023, 13, 4211–4221. [Google Scholar] [CrossRef]
- Rahman, S.U.; Han, J.-C.; Ahmad, M.; Gao, S.; Khan, K.A.; Li, B.; Zhou, Y.; Zhao, X.; Huang, Y. Toxic effects of lead (Pb), cadmium (Cd) and tetracycline (TC) on the growth and development of Triticum aestivum: A meta-analysis. Sci. Total Environ. 2023, 904, 166677. [Google Scholar] [CrossRef] [PubMed]
- Priyanka, N.; Geetha, N.; Manish, T.; Sahi, S.; Venkatachalam, P. Zinc oxide nanocatalyst mediates cadmium and lead toxicity tolerance mechanism by differential regulation of photosynthetic machinery and antioxidant enzymes level in cotton seedlings. Toxicol. Rep. 2021, 8, 295–302. [Google Scholar]
- Alloway, B.J. Heavy Metals in Soils: Trace Metals and Metalloids in Soils and Their Bioavailability; Springer Science & Business Media: Berlin/Heidelberg, Germany, 2012; Volume 22. [Google Scholar]
- Aslam, M.; Aslam, A.; Sheraz, M.; Ali, B.; Ulhassan, Z.; Najeeb, U.; Zhou, W.; Gill, R.A. Lead toxicity in cereals: Mechanistic insight into toxicity, mode of action, and management. Front. Plant Sci. 2021, 11, 587785. [Google Scholar] [CrossRef]
- Ashraf, U.; Hussain, S.; Anjum, S.A.; Abbas, F.; Tanveer, M.; Noor, M.A.; Tang, X. Alterations in growth, oxidative damage, and metal uptake of five aromatic rice cultivars under lead toxicity. Plant Physiol. Biochem. 2017, 115, 461–471. [Google Scholar] [CrossRef]
- Lebrun, M.; Miard, F.; Nandillon, R.; Scippa, G.S.; Bourgerie, S.; Morabito, D. Biochar effect associated with compost and iron to promote Pb and As soil stabilization and Salix viminalis L. growth. Chemosphere 2019, 222, 810–822. [Google Scholar] [CrossRef] [PubMed]
- Collin, S.; Baskar, A.; Geevarghese, D.M.; Ali, M.N.V.S.; Bahubali, P.; Choudhary, R.; Lvov, V.; Tovar, G.I.; Senatov, F.; Koppala, S. Bioaccumulation of lead (Pb) and its effects in plants: A review. J. Hazard. Mater. Lett. 2022, 3, 100064. [Google Scholar] [CrossRef]
- Mahamood, M.N.; Zhu, S.; Noman, A.; Mahmood, A.; Ashraf, S.; Aqeel, M.; Ibrahim, M.; Ashraf, S.; Liew, R.K.; Lam, S.S. An assessment of the efficacy of biochar and zero-valent iron nanoparticles in reducing lead toxicity in wheat (Triticum Aestivum L.). Environ. Pollut. 2023, 319, 120979. [Google Scholar] [CrossRef]
- Ibrahim, E.A.; El-Sherbini, M.A.; Selim, E.-M.M. Effects of biochar on soil properties, heavy metal availability and uptake, and growth of summer squash grown in metal-contaminated soil. Sci. Hortic. 2022, 301, 111097. [Google Scholar] [CrossRef]
- Rahi, A.A.; Younis, U.; Ahmed, N.; Ali, M.A.; Fahad, S.; Sultan, H.; Zarei, T.; Danish, S.; Taban, S.; El Enshasy, H.A. Toxicity of Cadmium and nickel in the context of applied activated carbon biochar for improvement in soil fertility. Saudi J. Biol. Sci. 2022, 29, 743–750. [Google Scholar] [CrossRef]
- Farhangi-Abriz, S.; Torabian, S. Antioxidant enzyme and osmotic adjustment changes in bean seedlings as affected by biochar under salt stress. Ecotoxicol. Environ. Saf. 2017, 137, 64–70. [Google Scholar] [CrossRef]
- Zulfiqar, U.; Farooq, M.; Hussain, S.; Maqsood, M.; Hussain, M.; Ishfaq, M.; Ahmad, M.; Anjum, M.Z. Lead toxicity in plants: Impacts and remediation. J. Environ. Manag. 2019, 250, 109557. [Google Scholar] [CrossRef] [PubMed]
- Qiu, Z.; Tang, J.; Chen, J.; Zhang, Q. Remediation of cadmium-contaminated soil with biochar simultaneously improves biochar’s recalcitrance. Environ. Pollut. 2020, 256, 113436. [Google Scholar] [CrossRef] [PubMed]
- Yuan, Y.; Chen, H.; Yuan, W.; Williams, D.; Walker, J.T.; Shi, W. Is biochar-manure co-compost a better solution for soil health improvement and N2O emissions mitigation? Soil Biol. Biochem. 2017, 113, 14–25. [Google Scholar] [CrossRef] [PubMed]
- Li, Z.; Song, Z.; Singh, B.P.; Wang, H. The impact of crop residue biochars on silicon and nutrient cycles in croplands. Sci. Total Environ. 2019, 659, 673–680. [Google Scholar] [CrossRef]
- Hasan, N.; Choudhary, S.; Laskar, R.A.; Naaz, N.; Sharma, N. Comparative study of cadmium nitrate and lead nitrate [Cd(NO3)2 and Pb(NO3)2] stress in cyto-physiological parameters of Capsicum annuum L. Hortic. Environ. Biotechnol. 2022, 63, 627–641. [Google Scholar] [CrossRef]
- Kosar, F.; Akram, N.A.; Ashraf, M.; Sadiq, M.; Al-Qurainy, F. Trehalose-induced improvement in growth, photosynthetic characteristics and levels of some key osmoprotectants in sunflower (Helianthus annuus L.) under drought stress. Pak. J. Bot. 2018, 50, 955–961. [Google Scholar]
- Sharma, A.; Shahzad, B.; Rehman, A.; Bhardwaj, R.; Landi, M.; Zheng, B. Response of phenylpropanoid pathway and the role of polyphenols in plants under abiotic stress. Molecules 2019, 24, 2452. [Google Scholar] [CrossRef]
- Razzaq, M.; Akram, N.A.; Chen, Y.; Samdani, M.S.; Ahmad, P. Alleviation of chromium toxicity by trehalose supplementation in Zea mays through regulating plant biochemistry and metal uptake. Arab. J. Chem. 2024, 17, 105505. [Google Scholar] [CrossRef]
- Jasmin, P.; Prian, W.; Mondol, M.; Ullah, S.; Chamon, A. Effects of lead on growth, yield and mineral nutrition of rice (Oryza sativa L.). J. Biodivers. Conserv. Bioresour. Manag. 2019, 5, 83–92. [Google Scholar] [CrossRef]
- Mansoor, S.; Kour, N.; Manhas, S.; Zahid, S.; Wani, O.A.; Sharma, V.; Wijaya, L.; Alyemeni, M.N.; Alsahli, A.A.; El-Serehy, H.A. Biochar as a tool for effective management of drought and heavy metal toxicity. Chemosphere 2021, 271, 129458. [Google Scholar] [CrossRef]
- Kosar, F.; Akram, N.A.; Ashraf, M.; Ahmad, A.; Alyemeni, M.N.; Ahmad, P. Impact of exogenously applied trehalose on leaf biochemistry, achene yield and oil composition of sunflower under drought stress. Physiol. Plant. 2021, 172, 317–333. [Google Scholar] [CrossRef] [PubMed]
- Sultan, H.; Ahmed, N.; Mubashir, M.; Danish, S. Chemical production of acidified activated carbon and its influences on soil fertility comparative to thermo-pyrolyzed biochar. Sci. Rep. 2020, 10, 595. [Google Scholar] [CrossRef] [PubMed]
- Liu, C.; Lin, H.; He, P.; Li, X.; Geng, Y.; Tuerhong, A.; Dong, Y. Peat and bentonite amendments assisted soilless revegetation of oligotrophic and heavy metal contaminated nonferrous metallic tailing. Chemosphere 2022, 287, 132101. [Google Scholar] [CrossRef]
- Zhang, J.; Li, J.; Lin, Q.; Huang, Y.; Chen, D.; Ma, H.; Zhao, Q.; Luo, W.; Nawaz, M.; Jeyakumar, P. Impact of coconut-fiber biochar on lead translocation, accumulation, and detoxification mechanisms in a soil–rice system under elevated lead stress. J. Hazard. Mater. 2024, 469, 133903. [Google Scholar] [CrossRef] [PubMed]
- Wang, K.; Li, F.; Gao, M.; Huang, Y.; Song, Z. Mechanisms of trehalose-mediated mitigation of Cd toxicity in rice seedlings. J. Clean. Prod. 2020, 267, 121982. [Google Scholar] [CrossRef]
- Diwan, H.; Ahmad, A.; Iqbal, M. Uptake-related parameters as indices of phytoremediation potential. Biologia 2010, 65, 1004–1011. [Google Scholar] [CrossRef]
- Li, S.; Yang, L.; Jiang, T.; Ahmed, W.; Mei, F.; Zhang, J.; Zhang, T.; Yang, Y.; Peng, X.; Shan, Q. Unraveling the role of pyrolysis temperature in biochar-mediated modulation of soil microbial communities and tobacco bacterial wilt disease. Appl. Soil Ecol. 2025, 206, 105845. [Google Scholar] [CrossRef]
- Li, S.; Ahmed, W.; Zhang, T.; Jiang, T.; Mei, F.; Shan, Q.; Yang, L.; Guo, C.; Zhao, Z. Different Morphologies and Functional Nitrogen Accumulation Results in the Different Nitrogen Use Efficiency of Tobacco Plants. J. Plant Growth Regul. 2023, 42, 5895–5908. [Google Scholar] [CrossRef]
- Yang, Y.; Ahmed, W.; Ye, C.; Yang, L.; Wu, L.; Dai, Z.; Khan, K.A.; Hu, X.; Zhu, X.; Zhao, Z. Exploring the effect of different application rates of biochar on the accumulation of nutrients and growth of flue-cured tobacco (Nicotiana tabacum). Front. Plant Sci. 2024, 15, 1225031. [Google Scholar] [CrossRef]
- Lichtenthaler, H.K. [34] Chlorophylls and carotenoids: Pigments of photosynthetic biomembranes. In Methods in Enzymology; Elsevier: Amsterdam, The Netherlands, 1987; Volume 148, pp. 350–382. [Google Scholar]
- Ali, Q.; Ayaz, M.; Yu, C.; Wang, Y.; Guo, Q.; Wu, H.; Gao, X. Cadmium tolerant microbial strains possess different mechanisms for cadmium biosorption and immobilization in rice seedlings. Chemosphere 2022, 303, 135206. [Google Scholar] [CrossRef]
- Chattha, M.U.; Amjad, T.; Khan, I.; Nawaz, M.; Ali, M.; Chattha, M.B.; Ali, H.M.; Ghareeb, R.Y.; Abdelsalam, N.R.; Azmat, S. Mulberry based zinc nano-particles mitigate salinity induced toxic effects and improve the grain yield and zinc bio-fortification of wheat by improving antioxidant activities, photosynthetic performance, and accumulation of osmolytes and hormones. Front. Plant Sci. 2022, 13, 920570. [Google Scholar] [CrossRef] [PubMed]
- Song, R.; Tan, Y.; Ahmed, W.; Zhou, G.; Zhao, Z. Unraveling the expression of differentially expressed proteins and enzymatic activity in response to Phytophthora nicotianae across different flue-cured tobacco cultivars. BMC Microbiol. 2022, 22, 112. [Google Scholar] [CrossRef] [PubMed]
- Velikova, V.; Yordanov, I.; Edreva, A. Oxidative stress and some antioxidant systems in acid rain-treated bean plants: Protective role of exogenous polyamines. Plant Sci. 2000, 151, 59–66. [Google Scholar] [CrossRef]
- Bates, L.S.; Waldren, R.; Teare, I. Rapid determination of free proline for water-stress studies. Plant Soil 1973, 39, 205–207. [Google Scholar] [CrossRef]
- Bradford, M.M. A rapid and sensitive method for the quantitation of microgram quantities of protein utilizing the principle of protein-dye binding. Anal. Biochem. 1976, 72, 248–254. [Google Scholar] [CrossRef]
- Ali, Q.; Khan, A.R.; Yujie, W.; Chenjie, Y.; Zhao, Q.; Ayaz, M.; Raza, W.; Gu, Q.; Wu, H.; Mundra, S.; et al. Antimicrobial metabolites of Bacillus velezensis FZB42 reshape rice rhizosphere microbial community composition and induce host resistance against Rhizoctonia solani. Curr. Plant Biol. 2025, 41, 100440. [Google Scholar] [CrossRef]
- Nakano, Y.; Asada, K. Purification of ascorbate peroxidase in spinach chloroplasts; its inactivation in ascorbate-depleted medium and reactivation by monodehydroascorbate radical. Plant Cell Physiol. 1987, 28, 131–140. [Google Scholar]
- Farman, A.A.; Hadwan, M.H. Simple kinetic method for assessing catalase activity in biological samples. MethodsX 2021, 8, 101434. [Google Scholar] [CrossRef]
- Van Doorn, W.G.; Ketsa, S. Cross reactivity between ascorbate peroxidase and phenol (guaiacol) peroxidase. Postharvest Biol. Technol. 2014, 95, 64–69. [Google Scholar] [CrossRef]
- Ayaz, M.; Ali, Q.; Zhao, W.; Chi, Y.K.; Ali, F.; Rashid, K.A.; Cao, S.; He, Y.Q.; Bukero, A.A.; Huang, W.K.; et al. Exploring plant growth promoting traits and biocontrol potential of new isolated Bacillus subtilis BS-2301 strain in suppressing Sclerotinia sclerotiorum through various mechanisms. Front. Plant Sci. 2024, 15, 1444328. [Google Scholar] [CrossRef]
- Kubar, K.A.; Ali, Q.; Kalhoro, S.A.; Memon, S.A.; Nehela, Y.; Korai, P.K.; Ahmed, M.; Narejo, M.U.N. Dynamics of organic carbon fractions, soil fertility, and aggregates affected by diverse land-use cultivation systems in semiarid degraded land. J. Soil Sci. Plant Nutr. 2024, 24, 524–536. [Google Scholar] [CrossRef]
- Zhang, J.; Zhou, X.; Zhang, Y.; Dai, Z.; He, Z.; Qiu, Y.; Alharbi, S.A.; Wei, F.; Wei, L.; Ahmed, W. Pre-soil fumigation with ammonium bicarbonate and lime modulates the rhizosphere microbiome to mitigate clubroot disease in Chinese cabbage. Front. Microbiol. 2024, 15, 1376579. [Google Scholar] [CrossRef] [PubMed]
- Malik, R.N.; Husain, S.Z.; Nazir, I. Heavy metal contamination and accumulation in soil and wild plant species from industrial area of Islamabad, Pakistan. Pak. J. Bot. 2010, 42, 291–301. [Google Scholar]







| Treatments | EL (%) | MDA (mg/g FW) | H2O2 (mg/g FW) | Proline (mg/g FW) | TSP (mg/g FW) | APX (U/mg Protein) | CAT (U/mg Protein) | POD (U/mg Protein) | SOD (U/mg Protein) |
|---|---|---|---|---|---|---|---|---|---|
| Control | 19.87 ± 1.32 d | 3.44 ± 0.082 d | 1.79 ± 0.10 e | 0.623 ± 0.026 c | 9.88 ± 0.78 a | 5.30 ± 0.15 e | 2.54 ± 0.070 e | 0.180 ± 0.022 c | 2.56 ± 0.09 e |
| Pb stress | 49.33 ± 1.70 a | 6.38 ± 0.17 a | 4.69 ± 0.15 a | 0.683 ± 0.20 bc | 6.85 ± 0.56 c | 5.94 ± 0.42 d | 2.99 ± 0.086 d | 0.237 ± 0.012 bc | 3.10 ± 0.10 d |
| Pb + BC | 23.63 ± 1.74 bc | 4.04 ± 0.22 c | 3.12 ± 0.82 c | 0.850 ± 0.025 a | 8.08 ± 0.12 b | 6.86 ± 0.21 b | 4.10 ± 0.084 b | 0.377 ± 0.034 a | 4.33 ± 0.08 b |
| Pb + Tre | 25.30 ± 0.94 b | 4.58 ± 0.22 b | 3.45 ± 0.048 b | 0.740 ± 0.029 b | 7.34 ± 0.18 c | 6.45 ± 0.70 c | 3.65 ± 0.066 c | 0.283 ± 0.025 b | 3.93 ± 0.04 c |
| Pb + BC + Tre | 22.20 ± 0.82 bc | 3.64 ± 0.068 cd | 2.75 ± 0.060 d | 0.923 ± 0.020 a | 8.56 ± 0.11 b | 7.35 ± 0.42 a | 4.49 ± 0.068 a | 0.433 ± 0.017 a | 4.78 ± 0.12 a |
| Treatments | Root-N | Shoot-N | Root-P | Shoot-P | Root-K | Shoot-K | Root-Ca | Shoot-Ca | Root-Mg | Shoot-Mg |
|---|---|---|---|---|---|---|---|---|---|---|
| mg·kg−1 DW | ||||||||||
| Control | 9.77 ± 0.32 c | 12.61 ± 0.54 c | 7.13 ± 0.7 cd | 10.71 ± 0.37 c | 16.66 ± 0.82 c | 19.65 ± 1.23 d | 46.63 ± 1.94 c | 65.50 ± 0.94 c | 35.40 ± 0.83 d | 48.83 ± 0.95 d |
| Pb stress | 8.70 ± 0.40 c | 10.69 ± 0.38 d | 6.14 ± 0.17 d | 9.14 ± 0.90 c | 14.23 ± 0.21 c | 17.30 ± 0.43 d | 42.90 ± 1.10 c | 58.10 ± 1.90 d | 31.37 ± 1.67 d | 40.30 ± 0.78 e |
| Pb + BC | 13.23 ± 0.33 b | 18.14 ± 0.37 ab | 9.87 ± 0.52 ab | 13.97 ± 0.55 b | 22.33 ± 0.97 b | 30.37 ± 0.67 b | 57.24 ± 1.68 b | 77.47 ± 1.43 ab | 51.47 ± 0.90 b | 61.65 ± 0.63 b |
| Pb + Tre | 11.95 ± 0.30 b | 16.95 ± 0.28 c | 8.59 ± 0.45 bc | 12.40 ± 0.49 b | 20.19 ± 0.82 b | 27.03 ± 1.17 c | 52.82 ± 1.25 b | 72.70 ± 1.36 b | 44.59 ± 2.47 c | 56.40 ± 0.95 c |
| Pb + BC + Tre | 15.17 ± 0.98 a | 19.22 ± 0.45 a | 11.37 ± 0.87 a | 15.75 ± 0.73 a | 26.84 ± 1.10 a | 34.27 ± 0.86 a | 64.67 ± 1.13 a | 82.37 ± 1.68 a | 57.19 ± 1.23 a | 66.90 ± 1.69 a |
| Treatments | Soil Pb (mg kg−1) | Soil pH | AP (mg kg−1) | AK (mg kg−1) | TN (g kg−1) | SOC (mg kg−1) |
|---|---|---|---|---|---|---|
| Control | 0.00 ± 0.00 e | 5.39 ± 0.012 c | 29.45 ± 0.73 a | 109.67 ± 3.68 a | 1.47 ± 0.034 a | 23.73 ± 0.95 b |
| Pb stress | 154 ± 3.86 a | 5.40 ± 0.033 c | 15.77 ± 0.54 e | 63.94 ± 2.63 d | 0.82 ± 0.024 d | 23.03 ± 1.27 b |
| Pb + BC | 109 ± 2.68 c | 5.54 ± 0.021 b | 20.20 ± 0.82 c | 80.20 ± 1.63 bc | 1.12 ± 0.021 bc | 28.50 ± 0.70 a |
| Pb + Tre | 125 ± 2.87 b | 5.43 ± 0.017 c | 18.07 ± 0.19 d | 73.27 ± 0.98 c | 1.03 ± 0.066 c | 23.84 ± 0.49 b |
| Pb + BC + Tre | 98 ± 2.37 d | 5.62 ± 0.012 a | 24.42 ± 0.68 b | 84.93 ± 2.02 b | 1.21 ± 0.025 b | 31.10 ± 0.78 a |
Disclaimer/Publisher’s Note: The statements, opinions and data contained in all publications are solely those of the individual author(s) and contributor(s) and not of MDPI and/or the editor(s). MDPI and/or the editor(s) disclaim responsibility for any injury to people or property resulting from any ideas, methods, instructions or products referred to in the content. |
© 2025 by the authors. Licensee MDPI, Basel, Switzerland. This article is an open access article distributed under the terms and conditions of the Creative Commons Attribution (CC BY) license (https://creativecommons.org/licenses/by/4.0/).
Share and Cite
Yang, Y.; Liu, L.; Xiong, H.; Wang, T.; Yang, J.; Wang, W.; Al-Khalaf, A.A.; Wang, Z.; Ahmed, W. Biochar and Trehalose Co-Application: A Sustainable Strategy for Alleviating Lead Toxicity in Rice. Plants 2025, 14, 878. https://doi.org/10.3390/plants14060878
Yang Y, Liu L, Xiong H, Wang T, Yang J, Wang W, Al-Khalaf AA, Wang Z, Ahmed W. Biochar and Trehalose Co-Application: A Sustainable Strategy for Alleviating Lead Toxicity in Rice. Plants. 2025; 14(6):878. https://doi.org/10.3390/plants14060878
Chicago/Turabian StyleYang, Yingfen, Li Liu, Haibo Xiong, Tianju Wang, Jun Yang, Wenpeng Wang, Areej A. Al-Khalaf, Zhuhua Wang, and Waqar Ahmed. 2025. "Biochar and Trehalose Co-Application: A Sustainable Strategy for Alleviating Lead Toxicity in Rice" Plants 14, no. 6: 878. https://doi.org/10.3390/plants14060878
APA StyleYang, Y., Liu, L., Xiong, H., Wang, T., Yang, J., Wang, W., Al-Khalaf, A. A., Wang, Z., & Ahmed, W. (2025). Biochar and Trehalose Co-Application: A Sustainable Strategy for Alleviating Lead Toxicity in Rice. Plants, 14(6), 878. https://doi.org/10.3390/plants14060878

