Optimizing Fodder Yield and Quality Through Grass–Legume Relay Intercropping in the Mediterranean Region
Abstract
1. Introduction
2. Results
2.1. ANOVA Analysis and Hsu’s Multiple Comparisons
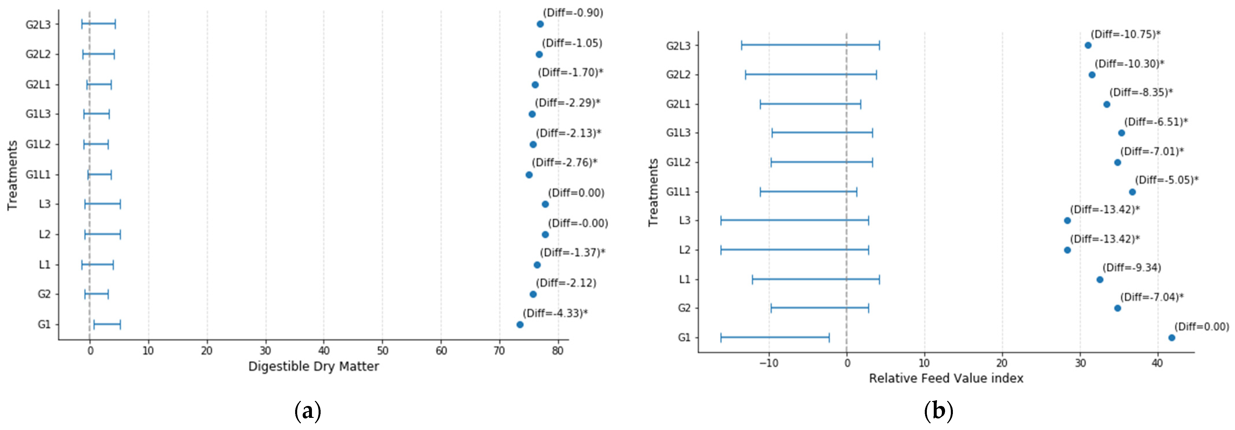
2.2. Impact of Intercropping on Forage/Feed Digestibility
2.3. Advanced Competition Indices
2.3.1. Indicators for Quantifying the Intensity of Competition
2.3.2. Indicators for Quantifying the Effects of Competition
2.4. Economic Analysis of Intercropping vs. Monocropping
3. Discussion
4. Materials and Methods
4.1. Experimental Design
4.2. Experimental Site and Environmental Conditions
4.3. Plant Material
4.4. Crop Management and Agronomic Practices
4.5. Data Collection
4.5.1. Forage Quality Analysis and Digestibility Indices
4.5.2. Biomass Yield (BY) and Protein Yield (PY)
4.5.3. Competition Indices
4.5.4. Relative LAI Index (RLI)
4.5.5. Economic Analysis
- Yieldintercrop,1, and Yieldintercrop,2 represent the biomass yield (kg/ha) of grass forage and legume forage under intercropping conditions, respectively.
- Pricecrop,1 and Pricecrop,2 correspond to the market price ($/kg) of grass forage and legume forage, respectively.
- Yieldmono,1 and Yieldmono,2 denote the biomass yields of grass forage and legume forage when grown as sole crops (monoculture).
4.6. Statistical Analysis
5. Conclusions
Author Contributions
Funding
Data Availability Statement
Conflicts of Interest
Abbreviations
| CP | Crude Protein |
| CA | Crude Ash |
| CF | Crude Fiber |
| DMC | Dry Matter Content |
| BY | Biomass Yield |
| PY | Protein Yield |
| NDF | Neutral Detergent Fiber |
| ADF | Acid Detergent Fiber |
| DDM | Digestible Dry Matter |
| RFV | Relative Feed Value |
| RLI | Relative Leaf Area Index |
| ELER | Economic Land Equivalent Ratio |
| RCI | Relative Competition Intensity |
| AG | Aggressivity Index |
| RYM | Relative Yield Monoculture |
| RY | Relative Yield |
| MCB | Multiple Comparisons with the Best |
| ANOVA | Analysis of Variance |
| RCBD | Randomized Complete Block Design |
References
- Andrews, D.; Kassam, A. The importance of multiple cropping in increasing world food supplies. Mult. Crop. 1976, 27, 1–10. [Google Scholar]
- Maitra, S.; Hossain, A.; Brestic, M.; Skalicky, M.; Ondrisik, P.; Gitari, H.; Brahmachari, K.; Shankar, T.; Bhadra, P.; Palai, J.B. Intercropping—A low input agricultural strategy for food and environmental security. Agronomy 2021, 11, 343. [Google Scholar] [CrossRef]
- Huss, C.; Holmes, K.; Blubaugh, C. Benefits and risks of intercropping for crop resilience and pest management. J. Econ. Entomol. 2022, 115, 1350–1362. [Google Scholar] [CrossRef] [PubMed]
- Moreira, B.; Gonçalves, A.; Pinto, L.; Prieto Lage, M.A.; Carocho, M.; Caleja, C.; Barros, L. Intercropping systems: An opportunity for environment conservation within nut production. Agriculture 2024, 14, 1149. [Google Scholar] [CrossRef]
- Yin, W.; Chai, Q.; Zhao, C.; Yu, A.; Fan, Z.; Hu, F.; Fan, H.; Guo, Y.; Coulter, J.A. Water utilization in intercropping: A review. Agric. Water Manag. 2020, 241, 106335. [Google Scholar] [CrossRef]
- Dwivedi, A.; Dev, I.; Kumar, V.; Yadav, R.S.; Yadav, M.; Gupta, D.; Singh, A.; Tomar, S. Potential role of maize-legume intercropping systems to improve soil fertility status under smallholder farming systems for sustainable agriculture in India. Int. J. Life Sci. Biotechnol. Pharma Res. 2015, 4, 145–157. [Google Scholar]
- Bilalis, D.J.; Sidiras, N.; Kakampouki, I.; Efthimiadou, A.; Papatheohari, Y.; Thomopoulos, P. Effects of organic fertilization on maize/legume intercrop in a clay loam soil and Mediterranean climate-Can the Land Equivalent Ratio (LER) index be used for root development? J. Food Agric. Environ. 2005, 3, 117–123. [Google Scholar]
- Chen, G.; Jiang, F.; Zhang, S.; Zhang, Q.; Jiang, G.; Gao, B.; Cao, G.; Islam, M.U.; Cao, Z.; Zhao, X. Potential crop yield gains under intensive soybean/maize intercropping in China. Plant Soil 2025, 506, 275–290. [Google Scholar] [CrossRef]
- Sanderson, M.A.; Archer, D.; Hendrickson, J.; Kronberg, S.; Liebig, M.; Nichols, K.; Schmer, M.; Tanaka, D.; Aguilar, J. Diversification and ecosystem services for conservation agriculture: Outcomes from pastures and integrated crop–livestock systems. Renew. Agric. Food Syst. 2013, 28, 129–144. [Google Scholar] [CrossRef]
- Freckleton, R.; Watkinson, A. The mis-measurement of plant competition. Funct. Ecol. 1999, 13, 285–287. [Google Scholar]
- Himanen, S.J.; Mäkinen, H.; Rimhanen, K.; Savikko, R. Engaging farmers in climate change adaptation planning: Assessing intercropping as a means to support farm adaptive capacity. Agriculture 2016, 6, 34. [Google Scholar] [CrossRef]
- Homulle, Z.; George, T.S.; Karley, A.J. Root traits with team benefits: Understanding belowground interactions in intercropping systems. Plant Soil 2022, 471, 1–26. [Google Scholar] [CrossRef]
- Bilalis, D.J.; Karamanos, A.J. Organic maize growth and mycorrhizal root colonization response to tillage and organic fertilization. J. Sustain. Agric. 2010, 34, 836–849. [Google Scholar] [CrossRef]
- Chimonyo, V.G.P.; Modi, A.T.; Mabhaudhi, T. Perspective on crop modelling in the management of intercropping systems. Arch. Agron. Soil Sci. 2015, 61, 1511–1529. [Google Scholar] [CrossRef]
- Lithourgidis, A.; Dordas, C. Forage yield, growth rate, and nitrogen uptake of faba bean intercrops with wheat, barley, and rye in three seeding ratios. Crop Sci. 2010, 50, 2148–2158. [Google Scholar] [CrossRef]
- Mamine, F.; Farès, M.h. Barriers and levers to developing wheat–pea intercropping in Europe: A review. Sustainability 2020, 12, 6962. [Google Scholar] [CrossRef]
- Iannetta, P.P.; Young, M.; Bachinger, J.; Bergkvist, G.; Doltra, J.; Lopez-Bellido, R.J.; Monti, M.; Pappa, V.A.; Reckling, M.; Topp, C.F. A comparative nitrogen balance and productivity analysis of legume and non-legume supported cropping systems: The potential role of biological nitrogen fixation. Front. Plant Sci. 2016, 7, 1700. [Google Scholar] [CrossRef]
- Kebede, G.; Assefa, G.; Feyissa, F.; Mengistu, A. Forage legumes in crop-livestock mixed farming systems: A review. Int. J. Livest. Res. 2016, 6, 1–18. [Google Scholar] [CrossRef]
- Eskandari, H.; Ghanbari, A.; Javanmard, A. Intercropping of cereals and legumes for forage production. Not. Sci. Biol. 2009, 1, 7–13. [Google Scholar] [CrossRef]
- Hamzei, J.; Seyedi, M. Evaluation of the effects of intercropping systems on yield performance, land equivalent ratio, and weed control efficiency. Agric. Res. 2015, 4, 202–207. [Google Scholar] [CrossRef]
- Belel, M.; Halim, R.; Rafii, M.; Saud, H. Intercropping of corn with some selected legumes for improved forage production: A review. J. Agric. Sci. 2014, 6, 48–62. [Google Scholar] [CrossRef]
- Xu, Z.; Li, C.; Zhang, C.; Yu, Y.; van der Werf, W.; Zhang, F. Intercropping maize and soybean increases efficiency of land and fertilizer nitrogen use; A meta-analysis. Field Crops Res. 2020, 246, 107661. [Google Scholar] [CrossRef]
- Meena, R.S.; Das, A.; Yadav, G.S.; Lal, R. Legumes for Soil Health and Sustainable Management; Springer: Singapore, 2018. [Google Scholar]
- Bilalis, D.; Roussis, I.; Kakabouki, I. Enhancing Crop Yield and Adaptability through Sustainable Soil Management: Effective and Eco-Friendly Practices. Plants 2024, 13, 2798. [Google Scholar] [CrossRef]
- Gulwa, U.; Mgujulwa, N.; Beyene, S.T. Benefits of grass-legume inter-cropping in livestock systems. Afr. J. Agric. Res. 2018, 13, 1311–1319. [Google Scholar]
- Rai, S. Improved Agronomic Practices on Enhancement of Quality Forage Production for Livestock Farming. Agron. J. Nepal 2024, 8, 226–236. [Google Scholar] [CrossRef]
- Souza, M.d.S.; da Silva, T.G.F.; de Souza, L.S.B.; Jardim, A.M.d.R.F.; Araújo Júnior, G.d.N.; Alves, H.M.N. Practices for the improvement of the agricultural resilience of the forage production in semiarid environment: A review. Amaz. J. Plant Res. 2019, 3, 417–430. [Google Scholar] [CrossRef]
- Φωλίνα, Ε.A. Aξιολόγηση δύο ειδών συγκαλλιέργειας σε συστήματα βιολογικής παραγωγής. Master’s Thesis, Agricultural University of Athens, Athina, Greece, 2018. [Google Scholar]
- Gerber, P.J.; Steinfeld, H.; Henderson, B.; Mottet, A.; Opio, C.; Dijkman, J.; Falcucci, A.; Tempio, G. Tackling Climate Change Through Livestock: A Global Assessment of Emissions and Mitigation Opportunities; Food and Agriculture Organization of the United Nations (FAO): Roma, Italy, 2013. [Google Scholar]
- Gamage, A.; Gangahagedara, R.; Gamage, J.; Jayasinghe, N.; Kodikara, N.; Suraweera, P.; Merah, O. Role of organic farming for achieving sustainability in agriculture. Farming Syst. 2023, 1, 100005. [Google Scholar] [CrossRef]
- Wei, Z.; Maxwell, T.M.; Robinson, B.; Dickinson, N. Legume nutrition is improved by neighbouring grasses. Plant Soil 2022, 475, 443–455. [Google Scholar] [CrossRef]
- Li, S. Intercropping perennial cereal and legumes for improving biological soil health and microbial drought resilience. Acta Univ. Agric. Sueciae 2024, 92. [Google Scholar]
- Teshome, A.; Habte, E.; Teressa, A.; Muktar, M.S.; Assefa, Y.; Jones, C.S. Methods and Practices for the Evaluation of Forage Legumes, Grasses and Fodder Trees for Use as Livestock Feeds; ILRI Manual: Nairobi, Kenya, 2023. [Google Scholar]
- Sánchez-Bravo, P.; Chambers, E.; Noguera-Artiaga, L.; Sendra, E.; Chambers, E., IV; Carbonell-Barrachina, Á.A. Consumer understanding of sustainability concept in agricultural products. Food Qual. Prefer. 2021, 89, 104136. [Google Scholar] [CrossRef]
- Papanaoum, G.; Bouloumpasi, E.; Lazaridou, T.B. Silage yield and protein content of foragelegumes intercropping with cereals. AGROFOR 2020, 5, 70–74. [Google Scholar] [CrossRef]
- Gennatos, K.; Lazaridou, T.B. Silage Yield and protein content of forage legumes intercropping with cereals in two spatial arrangements. AGROFOR 2021, 6, 111–116. [Google Scholar] [CrossRef]
- Zhang, J.; Yin, B.; Xie, Y.; Li, J.; Yang, Z.; Zhang, G. Legume-cereal intercropping improves forage yield, quality and degradability. PLoS ONE 2015, 10, e0144813. [Google Scholar] [CrossRef]
- Vadez, V.; Krishnamurthy, L.; Kashiwagi, J.; Kholova, J.; Devi, J.; Sharma, K.; Bhatnagar-Mathur, P.; Hoisington, D.; Hash, C.; Bidinger, F. Exploiting the functionality of root systems for dry, saline, and nutrient deficient environments in a changing climate. J. SAT Agric. Res. 2007, 4, 1–61. [Google Scholar]
- Barsila, S.R.; Acharya, S.; Acharya, P. Herbage Mass Productivity, Composition, and Biological Compatibility of Oat and Vetch Mixture at Different Seed Rate Proportions in Abandoned Lands. Int. J. Agron. 2024, 2024, 5560158. [Google Scholar] [CrossRef]
- Javanmard, A.; Nasab, A.D.M.; Javanshir, A.; Moghaddam, M.; Janmohammadi, H. Forage yield and quality in intercropping of maize with different legumes as double-cropped. J. Food Agric. Environ. 2009, 7, 163–166. [Google Scholar]
- Bilalis, D.; Papastylianou, P.; Konstantas, A.; Patsiali, S.; Karkanis, A.; Efthimiadou, A. Weed-suppressive effects of maize–legume intercropping in organic farming. Int. J. Pest Manag. 2010, 56, 173–181. [Google Scholar] [CrossRef]
- Xu, R.; Zhao, H.; You, Y.; Wu, R.; Liu, G.; Sun, Z.; Bademuqiqige; Zhang, Y. Effects of intercropping, nitrogen fertilization and corn plant density on yield, crude protein accumulation and ensiling characteristics of silage corn interseeded into alfalfa stand. Agriculture 2022, 12, 357. [Google Scholar] [CrossRef]
- Suhailfayaz, K.; Singh, R. The effect of Cowpea intercropping and different fertilizer levels on Nutritional quality of Napier grass. Ecol. Environ. Conserv. 2023, 29, S21–S27. [Google Scholar]
- Bacchi, M.; Monti, M.; Calvi, A.; Lo Presti, E.; Pellicanò, A.; Preiti, G. Forage potential of cereal/legume intercrops: Agronomic performances, yield, quality forage and LER in two harvesting times in a Mediterranean environment. Agronomy 2021, 11, 121. [Google Scholar] [CrossRef]
- Eskandari, H. Yield and quality of forage produced in intercropping of maize (Zea mays) with cowpea (Vigna sinensis) and mungbean (Vigna radiate) as double cropped. J. Basic Appl. Sci. Res. 2012, 2, 93–97. [Google Scholar]
- Darko, U.; Svečnjak, Z.; Dujmović-Purgar, D.; Jareš, D.; Horvatić, I. Influence of intercropping maize with climbing bean on forage yield and quality. Agrofor 2019, 4, 60–67. [Google Scholar]
- Zaeem, M.; Nadeem, M.; Pham, T.H.; Ashiq, W.; Ali, W.; Gillani, S.S.M.; Moise, E.; Elavarthi, S.; Kavanagh, V.; Cheema, M. Corn-soybean intercropping improved the nutritional quality of forage cultivated on podzols in boreal climate. Plants 2021, 10, 1015. [Google Scholar] [CrossRef]
- Ball, D.; Collins, M.; Lacefield, G.; Martin, N.; Mertens, D.; Olson, K.; Putnam, D.; Undersander, D.; Wolf, M. Understanding Forage Quality–American Farm Bureau Federation Publication 1 (01); American Farm Bureau Federation: Washington, DC, USA, 2001. [Google Scholar]
- Tahir, M.; Li, C.; Zeng, T.; Xin, Y.; Chen, C.; Javed, H.H.; Yang, W.; Yan, Y. Mixture composition influenced the biomass yield and nutritional quality of legume–grass pastures. Agronomy 2022, 12, 1449. [Google Scholar] [CrossRef]
- Baba, M.; Halim, R.; Alimon, A.; Abubakar, I. Grass-legume mixtures for enhanced forage production: Analysis of dry matter yield and competition indices. Afr. J. Agric. Res. 2011, 6, 5242–5250. [Google Scholar]
- Vasilakoglou, I.; Dhima, K. Forage yield and competition indices of berseem clover intercropped with barley. Agron. J. 2008, 100, 1749–1756. [Google Scholar] [CrossRef]
- Luo, F.; Liu, W.; Mi, W.; Ma, X.; Liu, K.; Ju, Z.; Li, W. Legume-grass mixtures increase forage yield by improving soil quality in different ecological regions of the Qinghai-Tibet Plateau. Front. Plant Sci. 2023, 14, 1280771. [Google Scholar] [CrossRef]
- Rady, A.M.S. Competition indices of berseem clover, Italian ryegrass mixtures. Alex. J. Agric. Sci. 2016, 61, 419–428. [Google Scholar]
- Prajapati, B.; Prajapati, J.; Kumar, K.; Shrivastava, A. Determination of the relationships between quality parameters and yields of fodder obtained from intercropping systems by correlation analysis. Pan 2019, 90, 100. [Google Scholar]
- Muttappanavar, R.K.; Shekara, B. Quality contents of fodder as influenced by different perennial fodder intercropping systems. Forage Res. 2023, 49, 81–85. [Google Scholar]
- Song, Y.; Lee, S.-H.; Rahman, M.A.; Lee, K.-W. Evaluation of intercropping sorghum× sudangrass hybrid (Sorghum bicolor) with legume crops based on growth characteristics, forage productivity, and feed values at a summer paddy field. J. Korean Soc. Grassl. Forage Sci. 2021, 41, 198–204. [Google Scholar] [CrossRef]
- Tramacere, L.G.; Antichi, D.; Mele, M.; Ragaglini, G.; Mantino, A. Effects of intercropping on the herbage production of a binary grass-legume mixture (Hedysarum coronarium L. and Lolium multiflorum Lam.) under artificial shade in Mediterranean rainfed conditions. Agrofor. Syst. 2024, 98, 1445–1460. [Google Scholar] [CrossRef]
- Temesgen, T. Effect Of Seed Rate On Forage Yield, Morphological Characteristics, and Chemical Composition of Sudan Grass (Sorghum Sudanense) and Vetch (Vicia Dasycarpa) Intercropping Grown under Irrigation Condition in North Mecha District of Ethiopia. Ph.D. Thesis, Bahir Dar University, Bahir Dar, Ethiopia, 2022. [Google Scholar]
- Basaran, U.; Dogrusoz, M.C.; Gulumser, E.; Mut, H. Hay yield and quality of intercropped sorghum-sudan grass hybrid and legumes with different seed ratio. Turk. J. Field Crops 2017, 22, 47–53. [Google Scholar] [CrossRef][Green Version]
- Azraf-ul-Haq Ahmad, R.A.; Mahmood, N.; Nazir, M. Competitive performance of associated forage crops grown in different forage sorghum-legume intercropping systems. Pak. J. Agric. Sci. 2006, 43, 1–2. [Google Scholar]
- Agegnehu, G.; Ghizaw, A.; Sinebo, W. Yield performance and land-use efficiency of barley and faba bean mixed cropping in Ethiopian highlands. Eur. J. Agron. 2006, 25, 202–207. [Google Scholar] [CrossRef]
- Zhang, G.; Yang, Z.; Dong, S. Interspecific competitiveness affects the total biomass yield in an alfalfa and corn intercropping system. Field Crops Res. 2011, 124, 66–73. [Google Scholar] [CrossRef]
- Pariz, C.M.; Costa, N.R.; Costa, C.; Crusciol, C.A.C.; de Castilhos, A.M.; Meirelles, P.R.d.L.; Calonego, J.C.; Andreotti, M.; Souza, D.M.d.; Cruz, I.V. An innovative corn to silage-grass-legume intercropping system with oversown black oat and soybean to silage in succession for the improvement of nutrient cycling. Front. Sustain. Food Syst. 2020, 4, 544996. [Google Scholar] [CrossRef]
- Williams, A.C.; McCarthy, B.C. A new index of interspecific competition for replacement and additive designs. Ecol. Res. 2001, 16, 29–40. [Google Scholar] [CrossRef]
- Garnier, E.; Navas, M.-L.; Austin, M.P.; Lilley, J.M.; Gifford, R.M. A problem for biodiversity-productivity studies: How to compare the productivity of multispecific plant mixtures to that of monocultures? Acta Oecologica 1997, 18, 657–670. [Google Scholar] [CrossRef]
- Wilson, J.B. Shoot competition and root competition. J. Appl. Ecol. 1988, 25, 279–296. [Google Scholar] [CrossRef]
- Wilson, S.D.; Keddy, P.A. Measuring diffuse competition along an environmental gradient: Results from a shoreline plant community. Am. Nat. 1986, 127, 862–869. [Google Scholar] [CrossRef]
- Šidlauskaitė, G.; Toleikienė, M.; Kadžiulienė, Ž. Comparison of Productivity and Quality of Three Perennial Ryegrass Cultivars and Their Mixture in Response to Nitrogen Fertilization and Grass-Legume Mixtures. Plants 2024, 13, 3130. [Google Scholar] [CrossRef] [PubMed]
- Crews, T.E.; Kemp, L.; Bowden, J.H.; Murrell, E.G. How the nitrogen economy of a perennial cereal-legume intercrop affects productivity: Can synchrony be achieved? Front. Sustain. Food Syst. 2022, 6, 755548. [Google Scholar] [CrossRef]
- Wei, K.; Xiang, H.; Liu, Y.; Zhang, X.; Yu, X. Mixed cropping of Medicago ruthenica-Bromus inermis exhibits higher yield and quality advantages in the Longxi loess plateau region of Northwest China. Front. Sustain. Food Syst. 2024, 8, 1411687. [Google Scholar] [CrossRef]
- Christopher, C.O. Comparative analysis of enterprise combination costs and returns in cassava-based food crop farming systems in Delta State, Nigeria. ARPN J. Agri. Biol. Sci 2008, 3, 27–32. [Google Scholar]
- Koocheki, A.; Moghaddam, P.R.; Seyyedi, S.M. Saffron-pumpkin/watermelon: A clean and sustainable strategy for increasing economic land equivalent ratio under limited irrigation. J. Clean. Prod. 2019, 208, 1327–1338. [Google Scholar] [CrossRef]
- Wakley, A.; Black, I.A. An examination of the Degtiareff methods for determining soil organic matter and a proposed modification of chromic acid titration method. Soil Sci. 1934, 37, 29–38. [Google Scholar] [CrossRef]
- AOAC. Official Methods of Analysis of AOAC International; Association of Official Analytical Chemists: Rockville, MD, USA, 1990. [Google Scholar]
- Helrich, K. Official Methods of Analysis of the Association of Official Analytical Chemists; Association of Official Analytical Chemists: Rockville, MD, USA, 1990. [Google Scholar]
- Schroeder, J.W. Interpreting Forage Analysis; North Dakota State University: Fargo, ND, USA, 1994. [Google Scholar]
- Undersander, D.; Moore, J.E.; Schneider, N. Relative forage quality. Focus Forage 2002, 4, 1–2. [Google Scholar]
- Rohweder, D.; Barnes, R.; Jorgensen, N. Proposed hay grading standards based on laboratory analyses for evaluating quality. J. Anim. Sci. 1978, 47, 747–759. [Google Scholar] [CrossRef]
- Nichiporovich, A.; Stroganova, L.; Vlasova, M. Fotosinteticheskaya Deyatel’nost’rasteniy v Posevakh [Photosynthetic Activity of Plants in Crops]; AN SSSR: Moscow, Russia, 1961. (In Russian) [Google Scholar]
- McGilchrist, C.; Trenbath, B. A revised analysis of plant competition experiments. Biometrics 1971, 27, 659–671. [Google Scholar] [CrossRef]
- Keddy, P.A. Competitive hierarchies and centrifugal organization in plant communities. In Perspectives on Plant Competition; Academic Press: Cambridge, MA, USA, 1990; Volume 265, p. 90. [Google Scholar]
- Statistics, A. National Agricultural Statistics Service; US Department of Agriculture: Washington, DC, USA, 1998. [Google Scholar]










| Source | DF | CP | CA | DMC | CF | BY | PY | DDM | RFV |
|---|---|---|---|---|---|---|---|---|---|
| FBlocks | 2 | ||||||||
| FIntercrop | 10 | 2.66 * | 4.85 ** | 2.69 * | 13.17 *** | 13.78 *** | 4.86 ** | 13.17 *** | 13.26 *** |
| Error | 20 | ||||||||
| Total | 32 |
| Intercrops | AG (G) | AG (L) |
|---|---|---|
| G1L1 | −0.090 | 0.09 |
| G1L2 | 0.375 | −0.375 |
| G1L3 | 0.695 | −0.695 |
| G2L1 | −0.126 | 0.126 |
| G2L2 | 0.285 | −0.285 |
| G2L3 | 0.604 | −0.604 |
| Index | Formula | Limits | Introduced by | ||
|---|---|---|---|---|---|
| Competition | Neutral | Facilitation | |||
| Indices to quantify the intensity of competition | |||||
| Relative Competition Intensity | 1 | 0 | → −∞ | [67] | |
| Aggressivity Index | 1 | 0 | → −∞ | [80] | |
| Indices to quantify the effect of competition | |||||
| Relative Yield Monoculture | <+1 | 1 | >+1 | [66] | |
| Relative Yield | <+1 | 1 | >+1 | [81] | |
Disclaimer/Publisher’s Note: The statements, opinions and data contained in all publications are solely those of the individual author(s) and contributor(s) and not of MDPI and/or the editor(s). MDPI and/or the editor(s) disclaim responsibility for any injury to people or property resulting from any ideas, methods, instructions or products referred to in the content. |
© 2025 by the authors. Licensee MDPI, Basel, Switzerland. This article is an open access article distributed under the terms and conditions of the Creative Commons Attribution (CC BY) license (https://creativecommons.org/licenses/by/4.0/).
Share and Cite
Folina, A.; Stavropoulos, P.; Mavroeidis, A.; Roussis, I.; Kakabouki, I.; Tsiplakou, E.; Bilalis, D. Optimizing Fodder Yield and Quality Through Grass–Legume Relay Intercropping in the Mediterranean Region. Plants 2025, 14, 877. https://doi.org/10.3390/plants14060877
Folina A, Stavropoulos P, Mavroeidis A, Roussis I, Kakabouki I, Tsiplakou E, Bilalis D. Optimizing Fodder Yield and Quality Through Grass–Legume Relay Intercropping in the Mediterranean Region. Plants. 2025; 14(6):877. https://doi.org/10.3390/plants14060877
Chicago/Turabian StyleFolina, Antigolena, Panteleimon Stavropoulos, Antonios Mavroeidis, Ioannis Roussis, Ioanna Kakabouki, Eleni Tsiplakou, and Dimitrios Bilalis. 2025. "Optimizing Fodder Yield and Quality Through Grass–Legume Relay Intercropping in the Mediterranean Region" Plants 14, no. 6: 877. https://doi.org/10.3390/plants14060877
APA StyleFolina, A., Stavropoulos, P., Mavroeidis, A., Roussis, I., Kakabouki, I., Tsiplakou, E., & Bilalis, D. (2025). Optimizing Fodder Yield and Quality Through Grass–Legume Relay Intercropping in the Mediterranean Region. Plants, 14(6), 877. https://doi.org/10.3390/plants14060877

