Influence of Soil Amendment Application on Growth and Yield of Hedysarum scoparium Fisch. et Mey and Avena sativa L. Under Saline Conditions in Dry-Land Regions
Abstract
1. Introduction
2. Results
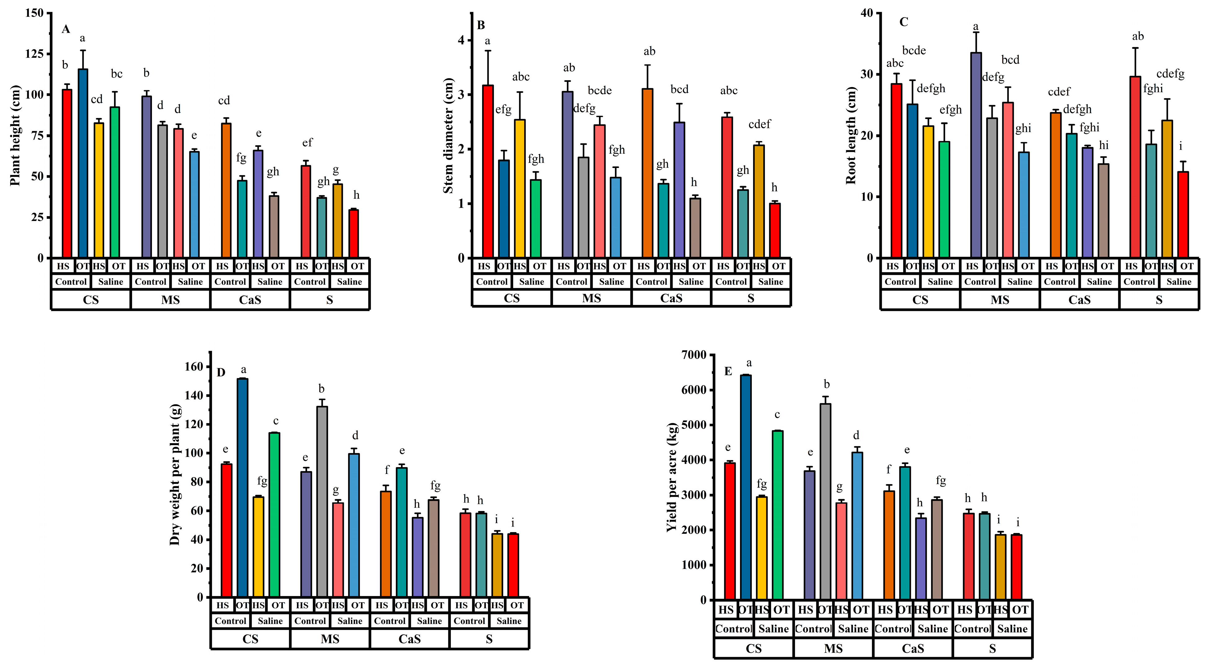
2.1. Growth Traits and Yield Response
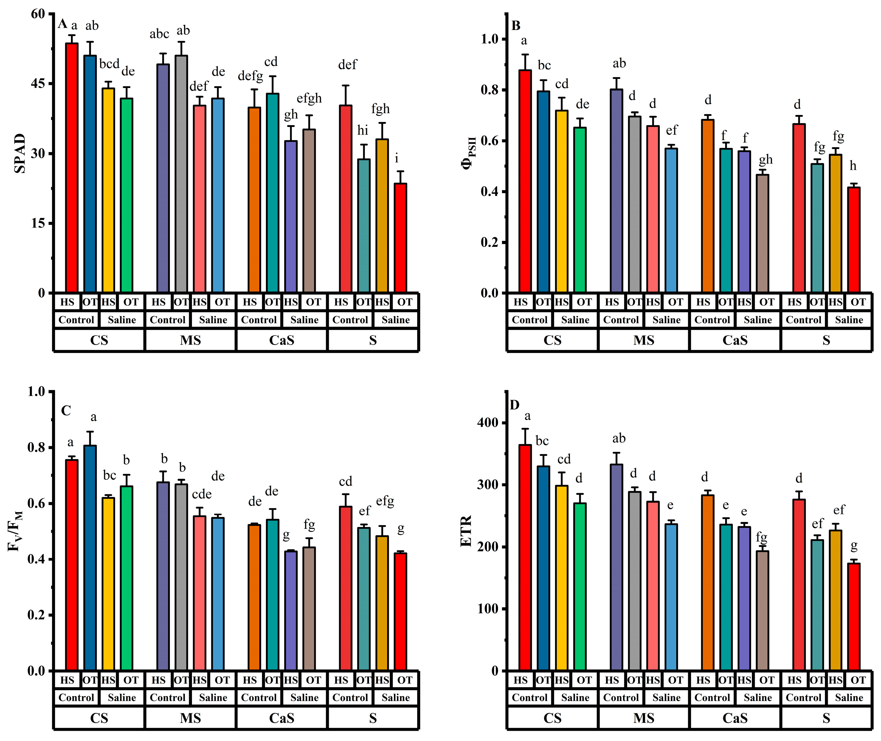
2.2. Chlorophyll Content and Fluorescence Parameters Under Soil Amendments
2.3. Response to Photosynthesis Pigments Under Soil Amendments
2.4. Antioxidant Enzyme Activity and Oxidative Damage Makers Under Soil Amendment
2.5. Ion’s Concentration
2.6. Correlation Traits
3. Discussion
Purposed Mechanism of Soil Amendment to Cope with Salt Stress
4. Materials and Methods
4.1. Experimental Design
4.2. Chlorophyll Content and Chlorophyll Fluorescence Parameters
4.3. Photosynthesis Pigments
4.4. Hydrogen per Oxide (H2O2) and Malondialdehyde (MDA) Content
4.5. Antioxidant Enzymes Activities
4.6. Growth Traits
4.7. Ions Analysis
4.8. Statistical Analysis
5. Conclusions
Supplementary Materials
Author Contributions
Funding
Data Availability Statement
Acknowledgments
Conflicts of Interest
References
- Azeem, A.; Mai, W.; Tian, C.; Javed, Q. Dry Weight Prediction of Wedelia trilobata and Wedelia chinensis by Using Artificial Neural Network and MultipleLinear Regression Models. Water 2023, 15, 1896. [Google Scholar] [CrossRef]
- Azeem, A.; Wenxuan, M.; Ali, R.; Abbas, A.; Hussain, N.; Kazmi, A.H.; Butt, U.A. Evaluating salt tolerance in fodder crops: A field experiment in the dry land. Open Agric. 2024, 9, 20220307. [Google Scholar] [CrossRef]
- Azeem, A.; Wu, Y.; Xing, D.; Javed, Q.; Ullah, I. Photosynthetic response of two okra cultivars under salt stress and re-watering. J. Plant Interact. 2017, 12, 67–77. [Google Scholar] [CrossRef]
- Zhao, S.; Liu, X.; Banerjee, S.; Hartmann, M.; Peng, B.; Elvers, R.; Zhao, Z.-Y.; Zhou, N.; Liu, J.-J.; Wang, B. Continuous planting of euhalophyte Suaeda salsa enhances microbial diversity and multifunctionality of saline soil. Appl. Environ. Microbiol. 2024, 90, e02355-23. [Google Scholar] [CrossRef] [PubMed]
- Duan, S.; Al-Huqail, A.A.; Alsudays, I.M.; Younas, M.; Aslam, A.; Shahzad, A.N.; Qayyum, M.F.; Rizwan, M.; Hamoud, Y.A.; Shaghaleh, H. Effects of biochar types on seed germination, growth, chlorophyll contents, grain yield, sodium, and potassium uptake by wheat (Triticum aestivum L.) under salt stress. BMC Plant Biol. 2024, 24, 487. [Google Scholar] [CrossRef] [PubMed]
- Ma, Z.; Zhao, X.; He, A.; Cao, Y.; Han, Q.; Lu, Y.; Yong, J.W.H.; Huang, J. Mycorrhizal symbiosis reprograms ion fluxes and fatty acid metabolism in wild jujube during salt stress. Plant Physiol. 2022, 189, 2481–2499. [Google Scholar] [CrossRef] [PubMed]
- Alsamadany, H.; Anayatullah, S.; Zia-ur-Rehman, M.; Usman, M.; Ameen, T.; Alharby, H.F.; Alharbi, B.M.; Abdulmajeed, A.M.; Yong, J.W.H.; Rizwan, M. Residual efficiency of iron-nanoparticles and different iron sources on growth, and antioxidants in maize plants under salts stress: Life cycle study. Heliyon 2024, 10, e28973. [Google Scholar] [CrossRef]
- Xu, Q.; Liu, H.; Li, M.; Gong, P.; Li, P.; Xu, Y. Optimizing water and nitrogen management for saline wasteland improvement: A case study on Suaeda salsa. Agric. Water Manag. 2024, 301, 108930. [Google Scholar] [CrossRef]
- Abbott, L.; Macdonald, L.; Wong, M.; Webb, M.; Jenkins, S.; Farrell, M. Potential roles of biological amendments for profitable grain production–A review. Agric. Ecosyst. Environ. 2018, 256, 34–50. [Google Scholar] [CrossRef]
- Navarro-Torre, S.; Garcia-Caparrós, P.; Nogales, A.; Abreu, M.M.; Santos, E.; Cortinhas, A.L.; Caperta, A.D. Sustainable agricultural management of saline soils in arid and semi-arid Mediterranean regions through halophytes, microbial and soil-based technologies. Environ. Exp. Bot. 2023, 212, 105397. [Google Scholar] [CrossRef]
- Qi, Y.; Keyimu, M.; Zeng, F.; Li, Z.; Fan, Z.-X.; Gui, D. Radial growth response of Euphrates poplar to thermo-hydroclimatic changes in a desert oasis ecotone. Ecol. Front. 2024, 45, 68–77. [Google Scholar] [CrossRef]
- Naz, N.; Fatima, S.; Hameed, M.; Ahmad, M.S.A.; Shah, S.M.R.; Ahmad, F.; Anwar, M.; Basharat, S.; Asghar, A.; Ashraf, M. Phytoremediation potential modulated by structural and functional traits in a saline desert halophyte Fagonia indica Burm. f. Environ. Sci. Pollut. Res. 2023, 30, 80693–80712. [Google Scholar] [CrossRef] [PubMed]
- Shahzadi, A.; Noreen, Z.; Alamery, S.; Zafar, F.; Haroon, A.; Rashid, M.; Aslam, M.; Younas, A.; Attia, K.A.; Mohammed, A.A. Effects of biochar on growth and yield of Wheat (Triticum aestivum L.) under salt stress. Sci. Rep. 2024, 14, 20024. [Google Scholar] [CrossRef]
- Jiang, Z.; Wang, Q.; Ning, S.; Lin, S.; Hu, X.; Song, Z. Application of Magnetized Ionized Water and Bacillus subtilis Improved Saline Soil Quality and Cotton Productivity. Plants 2024, 13, 2458. [Google Scholar] [CrossRef] [PubMed]
- Kalanaki, M.; Karandish, F.; Afrasiab, P.; Ritzema, H.; Khamari, I.; Tabatabai, S.M. Assessing the influence of integrating soil amendment applications with saline water irrigation on Ajwain’s yield and water productivity. Irrig. Sci. 2022, 40, 71–85. [Google Scholar] [CrossRef]
- She, D.; Sun, X.; Gamareldawla, A.H.; Nazar, E.A.; Hu, W.; Edith, K.; Yu, S.E. Benefits of soil biochar amendments to tomato growth under saline water irrigation. Sci. Rep. 2018, 8, 14743. [Google Scholar] [CrossRef]
- Raut, Y.Y.; Shedekar, V.S.; Islam, K.R.; Gonzalez, J.M.; Watts, D.B.; Dick, W.A.; Flanagan, D.C.; Fausey, N.R.; Batte, M.T.; Reeder, R.C. Soybean yield response to gypsum soil amendment, cover crop, and rotation. Agric. Environ. Lett. 2020, 5, e20020. [Google Scholar] [CrossRef]
- Shahid, M. Effect of soil amendments on trace element-mediated oxidative stress in plants: Meta-analysis and mechanistic interpretations. J. Hazard. Mater. 2021, 407, 124881. [Google Scholar] [CrossRef]
- Bello, S.K.; Alayafi, A.H.; Al-Solaimani, S.G.; Abo-Elyousr, K.A. Mitigating soil salinity stress with gypsum and bio-organic amendments: A review. Agronomy 2021, 11, 1735. [Google Scholar] [CrossRef]
- Goldan, E.; Nedeff, V.; Barsan, N.; Culea, M.; Panainte-Lehadus, M.; Mosnegutu, E.; Tomozei, C.; Chitimus, D.; Irimia, O. Assessment of manure compost used as soil amendment—A review. Processes 2023, 11, 1167. [Google Scholar] [CrossRef]
- Sharma, M.; Reynnells, R. Importance of soil amendments: Survival of bacterial pathogens in manure and compost used as organic fertilizers. Preharvest Food Saf. 2018, 4, 159–175. [Google Scholar]
- Azeem, A.; Mai, W. Mathematical Modeling for Predicting Growth and Yield of Halophyte Hedysarum scoparium in Arid Regions under Variable Irrigation and Soil Amendment Conditions. Resources 2024, 13, 110. [Google Scholar] [CrossRef]
- Azeem, A.; Mai, W.; Ali, R. Modeling Plant Height and Biomass Production of Cluster Bean and Sesbania across Diverse Irrigation Qualities in Pakistan’s Thar Desert. Water 2023, 16, 9. [Google Scholar] [CrossRef]
- Paudel, D.; Dhungana, B.; Caffe, M.; Krishnan, P. A review of health-beneficial properties of oats. Foods 2021, 10, 2591. [Google Scholar] [CrossRef]
- Mansoor, H.N.; Abbas, H.H.; Taleb, M.S. The impact of salinity water on growth and yield of two oats cultivars (Avena sativa L.). Plant Arch. 2019, 19, 1069–1076. [Google Scholar]
- Ullah, M.A.; Mahmood, I.A.; Sarwar, M.; Rasheed, M. Screening of Oat (Avena sativa) varieties in saline-sodic soil. Am. J. Biomed. Sci. Res. 2019, 4, 104–106. [Google Scholar] [CrossRef]
- Ghazaryan, K.; Harutyunyan, A.; Khachatryan, H.; Singh, A.; Minkina, T.; Rajput, V.; Movsesyan, H. Study of tolerance and phytodesalination potential of wheat, oat, emmer, and barley for sustainable saline agriculture. Appl. Ecol. Environ. Res. 2023, 21, 4853–4882. [Google Scholar] [CrossRef]
- Xue, J.; Wang, X.; Du, X.; Mao, P.; Zhang, T.; Zhao, L.; Han, J. Influence of salinity and temperature on the germination of Hedysarum scoparium Fisch. et Mey. Afr. J. Biotechnol. 2012, 11, 3244–3249. [Google Scholar]
- Ma, J.; Wang, H.; Jin, L.; Zhang, P. Comparative analysis of physiological responses to environmental stress in Hedysarum scoparium and Caragana korshinskii seedlings due to roots exposure. PeerJ 2023, 11, e14905. [Google Scholar] [CrossRef]
- Zhou, Z.; Yu, M.; Ding, G.; Gao, G.; He, Y.; Wang, G. Effects of Hedysarum leguminous plants on soil bacterial communities in the Mu Us Desert, northwest China. Ecol. Evol. 2020, 10, 11423–11439. [Google Scholar] [CrossRef]
- Moghadas, S.M.; Fitzpatrick, M.C.; Sah, P.; Pandey, A.; Shoukat, A.; Singer, B.H.; Galvani, A.P. The implications of silent transmission for the control of COVID-19 outbreaks. Proc. Natl. Acad. Sci. USA 2020, 117, 17513–17515. [Google Scholar] [CrossRef] [PubMed]
- Khalid, W.; Sajid, H.B.; Noor, H.; Babar, M.; Ullah, F.; Umar, M.; Haq, M.I.U.; Tahir, N. Evaluation of various double haploid maize hybrids under water deficit condition. Int. J. Agric. Biosci. 2022, 11, 194–198. [Google Scholar]
- Cui, Q.; Xia, J.; Yang, H.; Liu, J.; Shao, P. Biochar and effective microorganisms promote Sesbania cannabina growth and soil quality in the coastal saline-alkali soil of the Yellow River Delta, China. Sci. Total Environ. 2021, 756, 143801. [Google Scholar] [CrossRef] [PubMed]
- Ray, D.K.; West, P.C.; Clark, M.; Gerber, J.S.; Prishchepov, A.V.; Chatterjee, S. Climate change has likely already affected global food production. PLoS ONE 2019, 14, e0217148. [Google Scholar] [CrossRef]
- Deng, J.; Ding, G.; Gao, G.; Wu, B.; Zhang, Y.; Qin, S.; Fan, W. The sap flow dynamics and response of Hedysarum scoparium to environmental factors in semiarid northwestern China. PLoS ONE 2015, 10, e0131683. [Google Scholar] [CrossRef]
- Chen, H.; Hou, H.; Wang, X.; Zhu, Y.; Saddique, Q.; Wang, Y.; Cai, H.-J. The effects of aeration and irrigation regimes on soil CO2 and N2O emissions in a greenhouse tomato production system. J. Integr. Agric. 2018, 17, 449–460. [Google Scholar] [CrossRef]
- Ma, C.; Wang, J.; Li, J. Evaluation of the effect of soil salinity on the crop coefficient (K c) for cotton (Gossypium hirsutum L.) under mulched drip irrigation in arid regions. Irrig. Sci. 2023, 41, 235–249. [Google Scholar] [CrossRef]
- Lopes, M.; Sanches-Silva, A.; Castilho, M.; Cavaleiro, C.; Ramos, F. Halophytes as source of bioactive phenolic compounds and their potential applications. Crit. Rev. Food Sci. Nutr. 2023, 63, 1078–1101. [Google Scholar] [CrossRef]
- Kul, R.; Arjumend, T.; Ekinci, M.; Yildirim, E.; Turan, M.; Argin, S. Biochar as an organic soil conditioner for mitigating salinity stress in tomato. Soil Sci. Plant Nutr. 2021, 67, 693–706. [Google Scholar] [CrossRef]
- Mehdizadeh, L.; Moghaddam, M.; Lakzian, A. Amelioration of soil properties, growth and leaf mineral elements of summer savory under salt stress and biochar application in alkaline soil. Sci. Hortic. 2020, 267, 109319. [Google Scholar] [CrossRef]
- Ovejero, J.; Ortiz, C.; Boixadera, J.; Serra, X.; Ponsá, S.; Lloveras, J.; Casas, C. Pig slurry fertilization in a double-annual cropping forage system under sub-humid Mediterranean conditions. Eur. J. Agron. 2016, 81, 138–149. [Google Scholar] [CrossRef]
- Nakano, Y.; Asada, K. Hydrogen peroxide is scavenged by ascorbate-specific peroxidase in spinach chloroplasts. Plant Cell Physiol. 1981, 22, 867–880. [Google Scholar]
- Wu, D.; Chen, C.; Liu, Y.; Yang, L.; Yong, J.W.H. Iso-osmotic calcium nitrate and sodium chloride stresses have differential effects on growth and photosynthetic capacity in tomato. Sci. Hortic. 2023, 312, 111883. [Google Scholar] [CrossRef]
- Chowdhury, M.S.N.; Sani, M.N.H.; Siddique, A.B.; Hossain, M.S.; Yong, J.W.H. Synergistic effects of biochar and potassium co-application on growth, physiological attributes, and antioxidant defense mechanisms of wheat under water deficit conditions. Plant Stress 2024, 12, 100452. [Google Scholar] [CrossRef]
- Acharya, B.R.; Sandhu, D.; Dueñas, C.; Ferreira, J.F.; Grover, K.K. Deciphering molecular mechanisms involved in salinity tolerance in Guar (Cyamopsis tetragonoloba (L.) Taub.) using transcriptome analyses. Plants 2022, 11, 291. [Google Scholar] [CrossRef] [PubMed]
- Abbasi, G.H.; Ijaz, M.; Akhtar, J.; Anwar-Ul-Haq, M.; Jamil, M.; Ali, S.; Ahmad, R.; Khan, H.N. Profiling of anti-oxidative enzymes and lipid peroxidation in leaves of salt tolerant and salt sensitive maize hybrids under NaCl and Cd stress. Sains Malays. 2016, 45, 177–184. [Google Scholar]
- Bouras, H.; Mamassi, A.; Devkota, K.P.; Choukr-Allah, R.; Bouazzama, B. Integrated effect of saline water irrigation and phosphorus fertilization practices on wheat (Triticum aestivum) growth, productivity, nutrient content and soil proprieties under dryland farming. Plant Stress 2023, 10, 100295. [Google Scholar] [CrossRef]
- Khan, M.K.; Pandey, A.; Hamurcu, M.; Vyhnánek, T.; Zargar, S.M.; Kahraman, A.; Topal, A.; Gezgin, S. Exploring strigolactones for inducing abiotic stress tolerance in plants. Czech J. Genet. Plant Breed. 2024, 60, 55–69. [Google Scholar] [CrossRef]
- Azeem, A.; Wenxuan, M.; Ali, R.; Abbas, A.; Hussian, N.; Kazmi, A.H.; Butt, U.A. Growth prediction models and dynamics of three fodder crops under fresh and brackish water irrigation in dry-land regions. Sustain. Environ. 2024, 10, 2379145. [Google Scholar] [CrossRef]
- Ghaffarian, M.R.; Yadavi, A.; Dehnavi, M.M.; Nassab, A.D.M.; Salehi, M. Improvement of physiological indices and biological yield by intercropping of Kochia (Kochia scoparia), Sesbania (Sesbania aculeata) and Guar (Cyamopsis tetragonoliba) under the salinity stress of irrigation water. Physiol. Mol. Biol. Plants 2020, 26, 1319–1330. [Google Scholar] [CrossRef]
- Balasubramaniam, T.; Shen, G.; Esmaeili, N.; Zhang, H. Plants’ response mechanisms to salinity stress. Plants 2023, 12, 2253. [Google Scholar] [CrossRef] [PubMed]
- Arif, Y.; Singh, P.; Siddiqui, H.; Bajguz, A.; Hayat, S. Salinity induced physiological and biochemical changes in plants: An omic approach towards salt stress tolerance. Plant Physiol. Biochem. 2020, 156, 64–77. [Google Scholar] [CrossRef]
- Kumar, S.; Li, G.; Yang, J.; Huang, X.; Ji, Q.; Liu, Z.; Ke, W.; Hou, H. Effect of salt stress on growth, physiological parameters, and ionic concentration of water dropwort (Oenanthe javanica) cultivars. Front. Plant Sci. 2021, 12, 660409. [Google Scholar] [CrossRef] [PubMed]
- Shin, Y.K.; Bhandari, S.R.; Jo, J.S.; Song, J.W.; Cho, M.C.; Yang, E.Y.; Lee, J.G. Response to salt stress in lettuce: Changes in chlorophyll fluorescence parameters, phytochemical contents, and antioxidant activities. Agronomy 2020, 10, 1627. [Google Scholar] [CrossRef]
- Shin, Y.K.; Bhandari, S.R.; Cho, M.C.; Lee, J.G. Evaluation of chlorophyll fluorescence parameters and proline content in tomato seedlings grown under different salt stress conditions. Hortic. Environ. Biotechnol. 2020, 61, 433–443. [Google Scholar] [CrossRef]
- Stefanov, M.A.; Rashkov, G.D.; Apostolova, E.L. Assessment of the photosynthetic apparatus functions by chlorophyll fluorescence and P700 absorbance in C3 and C4 plants under physiological conditions and under salt stress. Int. J. Mol. Sci. 2022, 23, 3768. [Google Scholar] [CrossRef]
- Xiao, L.; Yuan, G.; Feng, L.; Bi, D.; Wei, J. Soil properties and the growth of wheat (Triticum aestivum L.) and maize (Zea mays L.) in response to reed (phragmites communis) biochar use in a salt-affected soil in the Yellow River Delta. Agric. Ecosyst. Environ. 2020, 303, 107124. [Google Scholar] [CrossRef]
- Park, J.-H.; Yun, J.-J.; Kim, S.-H.; Park, J.-H.; Acharya, B.S.; Cho, J.-S.; Kang, S.-W. Biochar improves soil properties and corn productivity under drought conditions in South Korea. Biochar 2023, 5, 66. [Google Scholar] [CrossRef]
- Shin, S.; Aziz, D.; El-Sayed, M.E.; Hazman, M.; Almas, L.; McFarland, M.; El Din, A.S.; Burian, S.J. Systems thinking for planning sustainable desert agriculture systems with saline groundwater irrigation: A review. Water 2022, 14, 3343. [Google Scholar] [CrossRef]
- Yan, S.; Gao, Y.; Tian, M.; Tian, Y.; Li, J. Comprehensive evaluation of effects of various carbon-rich amendments on tomato production under continuous saline water irrigation: Overall soil quality, plant nutrient uptake, crop yields and fruit quality. Agric. Water Manag. 2021, 255, 106995. [Google Scholar] [CrossRef]
- Chen, L.; Yue, S.; Sun, L.; Gao, M.; Wang, R. Study on the Effects of Irrigation Quotas and Amendments on Salinized Soil and Maize Growth. Water 2024, 16, 2194. [Google Scholar] [CrossRef]
- Ding, Z.; Kheir, A.M.; Ali, M.G.; Ali, O.A.; Abdelaal, A.I.; Lin, X.E.; Zhou, Z.; Wang, B.; Liu, B.; He, Z. The integrated effect of salinity, organic amendments, phosphorus fertilizers, and deficit irrigation on soil properties, phosphorus fractionation and wheat productivity. Sci. Rep. 2020, 10, 2736. [Google Scholar] [CrossRef] [PubMed]
- Mohamed, A.S.; Sherif, A.E. Effect of magnetic saline irrigation water and soil amendments on growth and productivity of Kalamata olive cultivar. Egypt. J. Agric. Res. 2020, 98, 302–326. [Google Scholar] [CrossRef]
- Khadem Moghadam, N.; Motesharezadeh, B.; Maali-Amiri, R.; Lajayer, B.A.; Astatkie, T. Effects of potassium and zinc on physiology and chlorophyll fluorescence of two cultivars of canola grown under salinity stress. Arab. J. Geosci. 2020, 13, 771. [Google Scholar] [CrossRef]
- ALKahtani, M.D.; Attia, K.A.; Hafez, Y.M.; Khan, N.; Eid, A.M.; Ali, M.A.; Abdelaal, K.A. Chlorophyll fluorescence parameters and antioxidant defense system can display salt tolerance of salt acclimated sweet pepper plants treated with chitosan and plant growth promoting rhizobacteria. Agronomy 2020, 10, 1180. [Google Scholar] [CrossRef]
- Sumarniasih, M.S.; Antara, M. Sustainable dryland management strategy in Buleleng Regency of Bali, Indonesia. J. Dryland Agric. 2021, 7, 88–95. [Google Scholar]
- Sahu, B.; Dash, B.; Pradhan, S.N.; Nalia, A.; Singh, P. Fertilizer management in dryland cultivation for stable crop yields. In Enhancing Resilience of Dryland Agriculture Under Changing Climate: Interdisciplinary and Convergence Approaches; Springer: Berlin/Heidelberg, Germany, 2023; pp. 305–322. [Google Scholar] [CrossRef]
- Ahmed, M.; Hayat, R.; Ahmad, M.; Ul-Hassan, M.; Kheir, A.M.; Ul-Hassan, F.; Ur-Rehman, M.H.; Shaheen, F.A.; Raza, M.A.; Ahmad, S. Impact of climate change on dryland agricultural systems: A review of current status, potentials, and further work need. Int. J. Plant Prod. 2022, 16, 341–363. [Google Scholar] [CrossRef]
- Krall, J.P.; Edwards, G.E. Relationship between photosystem II activity and CO2 fixation in leaves. Physiol. Plant. 1992, 86, 180–187. [Google Scholar] [CrossRef]
- Lichtenthaler, H.K. Chlorophylls and carotenoids: Pigments of photosynthetic biomembranes. Methods Enzymol. 1987, 148, 350–382. [Google Scholar]
- Loreto, F.; Velikova, V. Isoprene produced by leaves protects the photosynthetic apparatus against ozone damage, quenches ozone products, and reduces lipid peroxidation of cellular membranes. Plant Physiol. 2001, 127, 1781–1787. [Google Scholar] [CrossRef]
- Heath, R.L.; Packer, L. Photoperoxidation in isolated chloroplasts: I. Kinetics and stoichiometry of fatty acid peroxidation. Arch. Biochem. Biophys. 1968, 125, 189–198. [Google Scholar] [CrossRef] [PubMed]
- Hameed, A.; Ramzan, M.; Zubair, H.M.K. Impact of compensation on employee performance (empirical evidence from banking sector of Pakistan). Int. J. Bus. Soc. Sci. 2014, 5, 302–309. [Google Scholar]
- Bardsley, P.; Abey, A.; Davenport, S.V. The economics of insuring crops against drought. Aust. J. Agric. Econ. 1984, 28, 1–14. [Google Scholar] [CrossRef]
- Kruger, N.J. The Bradford method for protein quantitation. In The Protein Protocols Handbook; Humana Press: Totowa, NJ, USA, 2009; pp. 17–24. [Google Scholar]
- Azeem, A.; Sun, J.; Javed, Q.; Jabran, K.; Du, D. The effect of submergence and eutrophication on the trait’s performance of Wedelia trilobata over its congener native Wedelia chinensis. Water 2020, 12, 934. [Google Scholar] [CrossRef]
- Azeem, A.; Sun, J.; Javed, Q.; Jabran, K.; Saifullah, M.; Huang, Y.; Du, D. Water deficiency with nitrogen enrichment makes Wedelia trilobata to become weak competitor under competition. Int. J. Environ. Sci. Technol. 2021, 19, 319–326. [Google Scholar] [CrossRef]







Disclaimer/Publisher’s Note: The statements, opinions and data contained in all publications are solely those of the individual author(s) and contributor(s) and not of MDPI and/or the editor(s). MDPI and/or the editor(s) disclaim responsibility for any injury to people or property resulting from any ideas, methods, instructions or products referred to in the content. |
© 2025 by the authors. Licensee MDPI, Basel, Switzerland. This article is an open access article distributed under the terms and conditions of the Creative Commons Attribution (CC BY) license (https://creativecommons.org/licenses/by/4.0/).
Share and Cite
Azeem, A.; Mai, W.; Gul, B.; Rasheed, A. Influence of Soil Amendment Application on Growth and Yield of Hedysarum scoparium Fisch. et Mey and Avena sativa L. Under Saline Conditions in Dry-Land Regions. Plants 2025, 14, 855. https://doi.org/10.3390/plants14060855
Azeem A, Mai W, Gul B, Rasheed A. Influence of Soil Amendment Application on Growth and Yield of Hedysarum scoparium Fisch. et Mey and Avena sativa L. Under Saline Conditions in Dry-Land Regions. Plants. 2025; 14(6):855. https://doi.org/10.3390/plants14060855
Chicago/Turabian StyleAzeem, Ahmad, Wenxuan Mai, Bilquees Gul, and Aysha Rasheed. 2025. "Influence of Soil Amendment Application on Growth and Yield of Hedysarum scoparium Fisch. et Mey and Avena sativa L. Under Saline Conditions in Dry-Land Regions" Plants 14, no. 6: 855. https://doi.org/10.3390/plants14060855
APA StyleAzeem, A., Mai, W., Gul, B., & Rasheed, A. (2025). Influence of Soil Amendment Application on Growth and Yield of Hedysarum scoparium Fisch. et Mey and Avena sativa L. Under Saline Conditions in Dry-Land Regions. Plants, 14(6), 855. https://doi.org/10.3390/plants14060855
