Comparative Patterns of Sex Expression and Sex Ratios in Island and Continental Bryophyte Populations
Abstract
1. Introduction
2. Results
2.1. Sex Expression and Phenotypic Sex Ratio
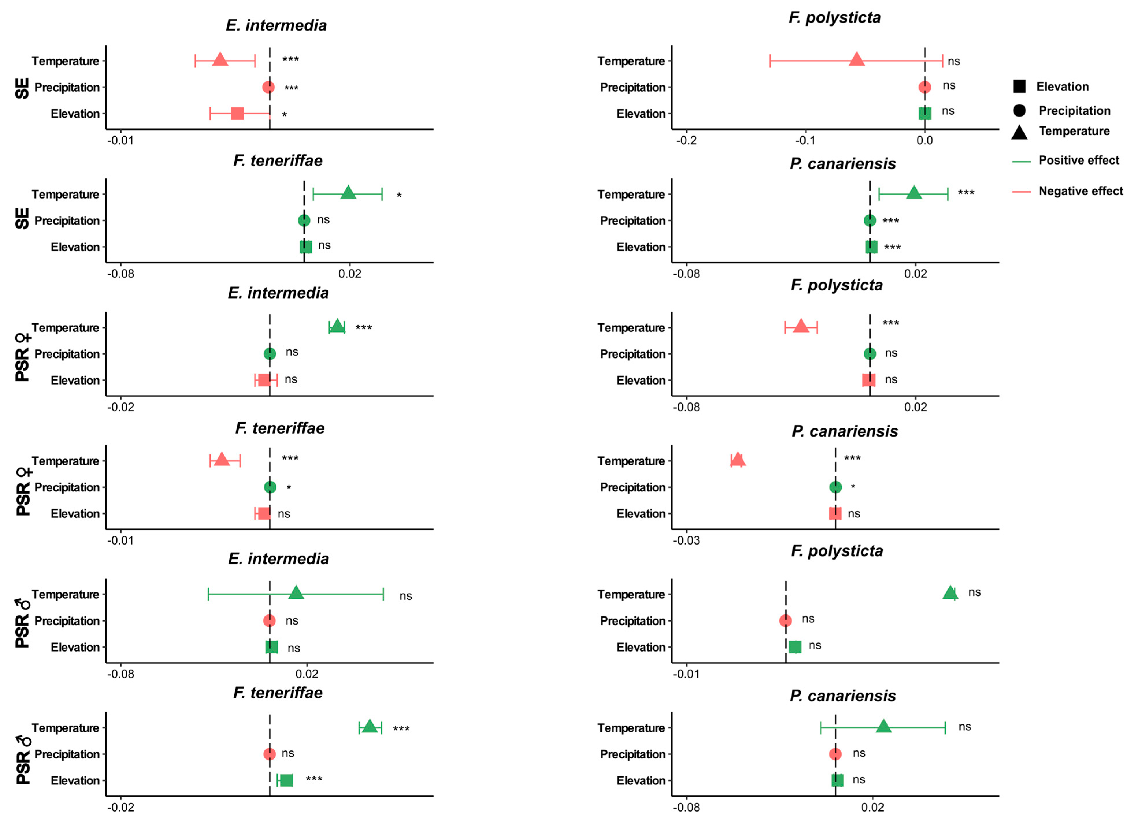
2.2. Effects of Environment Factors on Sex Expression and Phenotypic Sex Ratio
2.3. Relationship Between Phenotypic Male Sex Ratio and Frequency of Sporophytes
3. Materials and Methods
3.1. Study Area and Floristic Affinities
3.2. Study Species
3.3. Sampling Design and Data Collection
3.4. Sex Determination
3.5. Data Analyses
4. Discussion
4.1. Patterns of Sex Expression and Sex Ratio
4.2. Environmental Factors of Sex Expression and Sex Ratio
4.3. Influence of Expressed Sexual Ratios on Sexual Reproduction
5. Conclusions
Supplementary Materials
Author Contributions
Funding
Data Availability Statement
Acknowledgments
Conflicts of Interest
References
- Matthews, T.J.; Triantis, K. Island biogeography. Curr. Biol. 2021, 31, R1201–R1207. [Google Scholar] [CrossRef]
- Biddick, M.; Hendriks, A.; Burns, K.C. Plants obey (and disobey) the island rule. Proc. Natl. Acad. Sci. USA 2019, 116, 17632–17634. [Google Scholar] [CrossRef]
- Burns, K.C. Evolution in Isolation: The Search for an Island Syndrome in Plants; Cambridge University Press: Cambridge, UK, 2019. [Google Scholar]
- Nürk, N.M.; Atchison, G.W.; Hughes, C.E. Island woodiness underpins accelerated disparification in plant radiations. New Phytol. 2019, 224, 518–531. [Google Scholar] [CrossRef] [PubMed]
- Covas, R. Evolution of reproductive life histories in island birds worldwide. Proc. R. Soc. B 2012, 279, 1531–1537. [Google Scholar] [CrossRef]
- Jezierski, M.T.; Smith, W.J.; Clegg, S.M. The island syndrome in birds. J. Biogeogr. 2023, 51, 1607–1622. [Google Scholar] [CrossRef]
- Leihy, R.I.; Chown, S.L. Wind plays a major but not exclusive role in the prevalence of insect flight loss on remote islands: Insect flight loss on islands. Proc. R. Soc. B 2020, 287, 20202121. [Google Scholar] [CrossRef] [PubMed]
- Novosolov, M.; Raia, P.; Meiri, S. The island syndrome in lizards. Glob. Ecol. Biogeogr. 2013, 22, 184–191. [Google Scholar] [CrossRef]
- Lomolino, M.V.; Van der Geer, A.A.; Lyras, G.A.; Palombo, M.R.; Sax, D.F.; Rozzi, R. Of mice and mammoths: Generality and antiquity of the island rule. J. Biogeogr. 2013, 40, 1427–1439. [Google Scholar] [CrossRef]
- Singh, P.; Gargi, B.; Semwal, P.; Mishra, J.; Thapliyal, A. Global research trends, publication characteristics and knowledge domains of plant reproductive biology: A bibliometric and knowledge mapping analysis of 50 years. Ecol. Front. 2024, 44, 451–458. [Google Scholar] [CrossRef]
- Blackstock, T.H. Sex expression and sporophyte frequency in Frullania tamarisci (L.) Dumort. J. Bryol. 2015, 37, 202–208. [Google Scholar] [CrossRef]
- Eppley, S.M.; Rosenstiel, T.N.; Chmielewski, M.W.; Woll, S.C.; Shaw, Z.M.; Shortlidge, E.E. Rapid population sex-ratio changes in the moss Ceratodon purpureus. Am. J. Bot. 2018, 105, 1232–1238. [Google Scholar] [CrossRef]
- Bisang, I.; Ehrlén, J.; Hedenäs, L. Sex expression and genotypic sex ratio vary with region and environment in the wetland moss Drepanocladus lycopodioides. Bot. J. Linn. Soc. 2020, 192, 421–434. [Google Scholar] [CrossRef]
- Patiño, J.; Bisang, I.; Hedenäs, L.; Dirkse, G.; Bjarnason, Á.H.; Ah-Peng, C.; Vanderpoorten, A. Baker’s law and the island syndromes in bryophytes. J. Ecol. 2013, 101, 1245–1255. [Google Scholar] [CrossRef]
- Patiño, J.; Vanderpoorten, A. Bryophyte Biogeography. Crit. Rev. Plant Sci. 2018, 37, 175–209. [Google Scholar] [CrossRef]
- Haig, D. Living together and living apart: The sexual lives of bryophytes. Philos. Trans. R. Soc. B 2016, 371, 20150535. [Google Scholar] [CrossRef] [PubMed]
- Cronberg, N. Colonization dynamics of the clonal moss Hylocomium splendens on islands in a Baltic land uplift area: Reproduction, genet distribution and genetic variation. J. Ecol. 2002, 90, 925–935. [Google Scholar] [CrossRef]
- Boquete, M.T.; Varela, Z.; Fernández, J.A.; Calleja, J.A.; Branquinho, C.; Chilà, A.; Cronberg, N.; de Carvalho, R.C.; Aleixo, C.; Estébanez-Pérez, B.; et al. Current and historical factors drive variation of reproductive traits in unisexual mosses in Europe: A case study. J. Syst. Evol. 2023, 61, 213–226. [Google Scholar] [CrossRef]
- Laenen, B.; Machac, A.; Gradstein, S.R.; Shaw, B.; Patiño, J.; Désamoré, A.; Goffinet, B.; Cox, C.J.; Shaw, J.; Vanderpoorten, A. Geographical range in liverworts: Does sex really matter? J. Biogeogr. 2016, 43, 627–635. [Google Scholar] [CrossRef]
- Niklas, K.J.; Cobb, E.D. The evolutionary ecology (evo-eco) of plant asexual reproduction. Evol. Ecol. 2017, 31, 317–332. [Google Scholar] [CrossRef]
- Longton, R.E.; Schuster, R.M. Reproductive biology. In New Manual of Bryology; The Hattori Botanical Laboratory: Nichinan, Japan, 1983; pp. 386–462. [Google Scholar]
- Bisang, I.; Hedenäs, L. Sex ratio patterns in dioicous bryophytes revisited. J. Bryol. 2005, 27, 207–219. [Google Scholar] [CrossRef]
- Bisang, I.; Ehrlén, J.; Korpelainen, H.; Hedenäs, L. No evidence of sexual niche partitioning in a dioecious moss with rare sexual reproduction. Ann. Bot. 2015, 116, 771–779. [Google Scholar] [CrossRef] [PubMed]
- Stark, L.R.; Mishler, B.D.; Mcletchie, D.N. The cost of realized sexual reproduction: Assessing patterns of reproductive allocation and sporophyte abortion in a desert moss. Am. J. Bot. 2000, 87, 1599–1608. [Google Scholar] [CrossRef] [PubMed]
- Bisang, I.; Ehrlén, J.; Persson, C.; Hedenäs, L. Family affiliation, sex ratio and sporophyte frequency in unisexual mosses. Bot. J. Linn. Soc. 2014, 174, 163–172. [Google Scholar] [CrossRef]
- Kalmar, A.; Currie, D.J. A global model of island biogeography. Glob. Ecol. Biogeogr. 2006, 15, 72–81. [Google Scholar] [CrossRef]
- Weigelt, P.; Jetz, W.; Kreft, H. Bioclimatic and physical characterization of the world’s islands. Proc. Natl. Acad. Sci. USA 2013, 110, 15307–15312. [Google Scholar] [CrossRef]
- Maciel-Silva, A.S.; Gaspar, E.P.; da Conceição, F.P.; Dias Dos Santos, N.; Pinheiro da Costa, D. Reproductive biology of Syzygiella rubricaulis (Nees) Steph. (Adelanthaceae, Marchantiophyta), a liverwort disjunctly distributed in high-altitude Neotropical mountains. Plant Biol. 2016, 18, 601–608. [Google Scholar] [CrossRef]
- Maruo, F.; Imura, S. Restriction of sexual reproduction in the moss Racomitrium lanuginosum along an elevational gradient. Ecol. Evol. 2020, 10, 10066–10075. [Google Scholar] [CrossRef]
- Fernández-Palacios, J.M.; Otto, R.; Capelo, J.; Caujapé-Castells, J.; de Nascimento, L.; Duarte, M.C.; Elias, R.B.; García-Verdugo, C.; de Sequeira, M.M.; Médail, F.; et al. In defence of the entity of Macaronesia as a biogeographical region. Biol. Rev. 2024, 99, 2060–2081. [Google Scholar] [CrossRef] [PubMed]
- Myers, N.; Mittermeier, R.A.; Mittermeier, C.G.; da Fonseca, G.A.B.; Kent, J. Biodiversity hotspots for conservation priorities. Nature 2000, 403, 853–858. [Google Scholar] [CrossRef]
- Rodrigues, A.S.B.; Martins, A.; Garcia, C.A.; Sérgio, C.; Porley, R.; Fontinha, S.; González-Mancebo, J.; Gabriel, R.; Phephu, N.; Van Rooy, J.; et al. Climate-driven vicariance and long-distance dispersal explain the Rand Flora pattern in the liverwort Exormotheca pustulosa (Marchantiophyta). Biol. J. Linn. Soc. 2020, 130, 480–496. [Google Scholar] [CrossRef]
- Price, J.P.; Otto, R.; de Sequeira, M.M.; Kueffer, C.; Schaefer, H.; Caujapé-Castells, J.; Fernández-Palacios, J.M. Colonization and diversification shape species–area relationships in three Macaronesian archipelagos. J. Biogeogr. 2018, 45, 2027–2039. [Google Scholar] [CrossRef]
- Rivas-Martínez, S.; Penas, A.; Díaz, T.E. Biogeographic Map of Europe: Scale 1:16 mill. In Cartographic Service; University of Leon: Leon, Spain, 2001. [Google Scholar]
- Loidi, J. The European Atlantic biogeographic province: Flora, vegetation and historical aspects. Ber. Reinhold-Tüxen-Ges. 2018, 20, 191–204. [Google Scholar]
- Hodgetts, N.; Cálix, M.; Englefield, E.; Fettes, N.; Criado, M.G.; Patin, L.; Nieto, A.; Bergamini, A.; Bisang, I.; Baisheva, E.; et al. A Miniature World in Decline: European Red List of Mosses, Liverworts and Hornworts; IUCN: International Union for Conservation of Nature: Gland, Switzerland, 2019. [Google Scholar] [CrossRef]
- Sim-Sim, M. Exsertotheca intermedia. In The IUCN Red List of Threatened Species 2019; E.T87467257A87714896; IUCN: Gland, Switzerland, 2019. [Google Scholar] [CrossRef]
- Hedenäs, L.; Bisang, I. Sex expression and sex ratios in dwarf male-producing pleurocarpous mosses—Have we missed something? Plant Ecol. Divers. 2012, 5, 387–393. [Google Scholar] [CrossRef]
- Sim-Sim, M.; Hodgetts, N.; Martins, A. Frullania polysticta. In The IUCN Red List of Threatened Species 2019; E.T39193A87713320; IUCN: Gland, Switzerland, 2019. [Google Scholar] [CrossRef]
- Sim-Sim, M. The genus Frullania Raddi (Hepaticae) in Portugal and Madeira. Cryptogam. Bryol. 1999, 20, 83–144. [Google Scholar] [CrossRef]
- Ros, R.M.; Mazimpaka, V.; Abou-Salama, U.; Aleffi, M.; Blockeel, T.L.; Brugues, M.; Cano, M.J.; Cros, R.M.; Dia, M.G.; Dirkse, G.M.; et al. Hepatics and anthocerotes of the Mediterranean, an annotated checklist. Cryptogam. Bryol. 2007, 28, 351–437. [Google Scholar]
- Ellis, L.T.; Alataş, M.; Asthana, A.K.; Rawat, K.K.; Sahu, V.; Srivastava, A.; Bakalin, V.A.; Batan, N.; Bednarek-Ochyra, H.; Bester, S.P.; et al. New national and regional bryophyte records, 47. J. Bryol. 2016, 38, 151–167. [Google Scholar] [CrossRef]
- Infante, M.; Pimentel, M.; Rodríguez-Santos, E.; Sahuquillo, E.; Heras, P. A new area for Frullania teneriffae (F.Weber) Nees in the Iberian Peninsula. Bol. Soc. Esp. Briol. 2022, 56, 13–17. [Google Scholar] [CrossRef]
- Hodgetts, N. Frullania teneriffae (Europe assessment). In The IUCN Red List of Threatened Species 2019; E.T87543119A87794896; IUCN: Gland, Switzerland, 2019. [Google Scholar]
- Fontinha, S.; Sim-Sim, M.; Sérgio, C. The genus Porella (Porellaceae, Marchantiophyta) in Madeira Archipelago: Ecological and morphological approaches. Nova Hedwig. 2010, 138, 297–310. [Google Scholar]
- Sim-Sim, M.; Garcia, C.; Garilleti, R.; Infante, M.; Porley, R.D.; Sérgio, C. Porella canariensis. In The IUCN Red List of Threatened Species 2019; E.T87543585A87715354; IUCN: Gland, Switzerland, 2019. [Google Scholar]
- Chapman, A.D.; Wieczorek, J.R. Georeferencing Best Practices; GBIF Secretariat: Copenhagen, Denmark, 2020. [Google Scholar] [CrossRef]
- R Core Team. R: A Language and Environment for Statistical Computing; R Foundation for Statistical Computing: Vienna, Austria, 2023. [Google Scholar]
- Kassambra, A. Package “Rstatix”: Pipe-Friendly Framework for Basic Statistical Tests. 2023. Available online: https://rpkgs.datanovia.com/rstatix/ (accessed on 1 July 2024).
- Dunn, P.K.; Smyth, G.K. Generalized Linear Models with Examples in R, 2nd ed.; Springer: New York, NY, USA, 2018. [Google Scholar]
- Karger, D.N.; Conrad, O.; Böhner, J.; Kawohl, T.; Kreft, H.; Soria-Auza, R.W.; Zimmermann, N.E.; Linder, H.P.; Kessler, M. Climatologies at high resolution for the earth’s land surface areas. Sci. Data 2017, 4, 170122. [Google Scholar] [CrossRef] [PubMed]
- ESRI. ArcGIS Desktop: Release 10.7; ESRI: Redlands, CA, USA, 2021. [Google Scholar]
- Bates, D.; Mächler, M.; Bolker, B.; Walker, S. Fitting Linear Mixed-Effects Models Using lme4. J. Stat. Softw 2015, 67, 48. [Google Scholar] [CrossRef]
- Zinn, K.E.; Tunc-Ozdemir, M.; Harper, J.F. Temperature stress and plant sexual reproduction: Uncovering the weakest links. J. Exp. Bot. 2010, 61, 1959–1968. [Google Scholar] [CrossRef] [PubMed]
- Traveset, A. Reproductive ecology of Cneorum tricoccon L. (Cneoraceae) in the Balearic Islands. Bot. J. Linn. Soc. 1995, 117, 221–232. [Google Scholar] [CrossRef]
- Barrett, S.C.H. The reproductive biology and genetics of island plants. Philos. Trans. R. Soc. B 1996, 351, 725–733. [Google Scholar] [CrossRef]
- Frankham, R. Relationship of Genetic Variation to Population Size in Wildlife. Conserv. Biol. 1996, 10, 1500–1508. [Google Scholar] [CrossRef]
- Field, D.L.; Pickup, M.; Barrett, S.C. Ecological context and metapopulation dynamics affect sex-ratio variation among dioecious plant populations. Ann. Bot. 2013, 111, 917–923. [Google Scholar] [CrossRef] [PubMed]
- Del Arco, M.J.; Rodríguez-Delgado, O. Vegetation of the Canary Islands; Springer: Berlin, Germany, 2018. [Google Scholar]
- Pendergrass, A.G.; Knutti, R.; Lehner, F.; Deser, C.; Sanderson, B.M. Precipitation variability increases in a warmer climate. Sci. Rep. 2017, 7, 17966. [Google Scholar] [CrossRef] [PubMed]
- Euler, T.V.; Ågren, J.; Ehrlén, J. Floral display and habitat quality affect cost of reproduction in Primula farinosa. Oikos 2012, 121, 1400–1407. [Google Scholar] [CrossRef]
- Lambrecht, S.C.; Loik, M.; Inouye, D.; Harte, J. Reproductive and physiological responses to simulated climate warming for four subalpine species. New Phytol. 2007, 173, 121–134. [Google Scholar] [CrossRef]
- Cronberg, N.; Natcheva, R.; Hedlund, K. Microarthropods mediate sperm transfer in mosses. Science 2006, 313, 1255. [Google Scholar] [CrossRef] [PubMed]
- Newton, M. Sex ratio differences in Mnium hornum Hedw. and M. undulatum Sw. in relation to spore germination and vegetative regeneration. Ann. Bot. 1972, 36, 163–178. [Google Scholar] [CrossRef]
- Longton, R. Biology of Polar Bryophytes and Lichens; Cambridge University Press: Cambridge, UK, 1988. [Google Scholar]
- Cameron, R.G.; Wyatt, R. Spatial Patterns and Sex Ratios in Dioecious and Monoecious Mosses of the Genus Splachnum. Bryologist 1990, 93, 161. [Google Scholar] [CrossRef]
- Mishler, B.D.; Oliver, M.J. Gametophytic phenology of Tortula ruralis, a desiccation-tolerant moss, in the Organ Mountains of southern New Mexico. Bryologist 1991, 94, 143–153. [Google Scholar] [CrossRef]
- Stark, L.R.; McLetchie, D.N.; Eppley, S.M. Sex ratios and the shy male hypothesis in the moss Bryum argenteum (Bryaceae). Bryologist 2010, 113, 788–797. [Google Scholar] [CrossRef]
- Sim-Sim, M.; Ruas, S.; Fontinha, S.; Hedenäs, L.; Sérgio, C.; Lobo, C. Bryophyte conservation on a North Atlantic hotspot: Threatened bryophytes in Madeira and Selvagens Archipelagos (Portugal). Syst. Biodivers. 2014, 12, 315–330. [Google Scholar] [CrossRef]
- Boch, S.; Martins, A.; Ruas, S.; Fontinha, S.; Carvalho, P.; Reis, F.; Bergamini, A.; Sim-Sim, M. Bryophyte and macrolichen diversity show contrasting elevation relationships and are negatively affected by disturbances in laurel forests of Madeira island. J. Veg. Sci. 2019, 30, 1122–1133. [Google Scholar] [CrossRef]
- Munné-Bosch, S. Sex ratios in dioecious plants in the framework of global change. Environ. Exp. Bot. 2015, 109, 99–102. [Google Scholar] [CrossRef]
- Cropper, T.E.; Hanna, E. An analysis of the climate of Macaronesia, 1865–2012. Int. J. Climatol. 2014, 34, 604–622. [Google Scholar] [CrossRef]
- Alonso-García, M.; Villarreal, A.J.C.; McFarland, K.; Goffinet, B. Population Genomics and Phylogeography of a Clonal Bryophyte With Spatially Separated Sexes and Extreme Sex Ratios. Front. Plant Sci. 2020, 11, 495. [Google Scholar] [CrossRef] [PubMed]
- Bisang, I.; Ehrlén, J.; Hedenäs, L. Life-history characteristics and historical factors are important to explain regional variation in reproductive traits and genetic diversity in perennial mosses. Ann. Bot. 2023, 132, 29–42. [Google Scholar] [CrossRef]
- Chopra, R.N. Environmental factors affecting gametangial induction in bryophytes. J. Hattori Bot. Lab. 1984, 55, 99–104. [Google Scholar]
- Bowker, M.A.; Stark, L.R.; McLetchie, D.N.; Mishler, B.D. Sex expression, skewed sex ratios, and microhabitat distribution in the dioecious desert moss Syntrichia caninervis (Pottiaceae). Am. J. Bot. 2000, 87, 517–526. [Google Scholar] [CrossRef] [PubMed]
- Stark, L.R.; McLetchie, D.N.; Mishler, B.D. Sex expression, plant size, and spatial segregation of the sexes across a stress gradient in the desert moss Syntrichia caninervis. Bryologist 2005, 108, 183–193. [Google Scholar] [CrossRef]
- Jacquemyn, H.; Brys, R.; Jongejans, E. Size-dependent flowering and costs of reproduction affect population dynamics in a tuberous perennial woodland orchid. J. Ecol. 2010, 98, 1204–1215. [Google Scholar] [CrossRef]
- Awasthi, V.; Asthana, A.K.; Nath, V. In vitro study on the reproductive behavior of the endemic and threatened Indian liverwort: Cryptomitrium himalayense Kashyap (Aytoniaceae). Cryptogam. Bryol. 2013, 34, 313–323. [Google Scholar] [CrossRef]
- Castetter, R.C.; McLetchie, D.N.; Eppley, S.M.; Stark, L.R. Sex ratio and sex expression in an urban population of the silver moss, Bryum argenteum Hedw. J. Bryol. 2019, 41, 227–235. [Google Scholar] [CrossRef]
- García-Herrera, R.; Gallego, D.; Hernández, E.; Gimeno, L.; Ribera, P.; Calvo, N. Precipitation trends in the Canary Islands. Int. J. Climatol. 2003, 23, 235–241. [Google Scholar] [CrossRef]
- Prada, S.; Menezes de Sequeira, M.; Figueira, C.; da Silva, M.O. Fog precipitation and rainfall interception in the natural forests of Madeira Island (Portugal). Agric. For. Meteorol. 2009, 149, 1179–1187. [Google Scholar] [CrossRef]
- Ortiz, P.L.; Arista, M.; Talavera, S. Sex ratio and reproductive effort in the dioecious Juniperus communis subsp. alpina (Suter) Čelak. (Cupressaceae) along an altitudinal gradient. Ann. Bot. 2002, 89, 205–211. [Google Scholar] [CrossRef] [PubMed]
- Hedenäs, L.; Bisang, I. Infraspecific diversity in a spore-dispersed species with limited distribution range. Syst. Biodivers. 2015, 13, 17–27. [Google Scholar] [CrossRef]
- Bisang, I.; Ehrlén, J.; Hedenäs, L. Mate-limited reproductive success in two dioicous mosses. Oikos 2004, 104, 291–298. [Google Scholar] [CrossRef]
- Ehrlén, J.; Bisang, I.; Hedenäs, L. Costs of Sporophyte Production in the Moss, Dicranum polysetum. Plant Ecol. 2000, 149, 207–217. [Google Scholar] [CrossRef]
- Bisang, I.; Ehrlén, J. Reproductive effort and cost of sexual reproduction in female Dicranum polysetum. Bryologist 2002, 105, 384–397. [Google Scholar] [CrossRef]
- Obeso, J. The costs of reproduction in plants. New Phytol. 2002, 155, 321–348. [Google Scholar] [CrossRef] [PubMed]
- Rydgren, K.; Halvorsen, R.; Cronberg, N. Infrequent sporophyte production maintains a female-biased sex ratio in the unisexual clonal moss Hylocomium splendens. J. Ecol. 2010, 98, 1224–1231. [Google Scholar] [CrossRef]





Disclaimer/Publisher’s Note: The statements, opinions and data contained in all publications are solely those of the individual author(s) and contributor(s) and not of MDPI and/or the editor(s). MDPI and/or the editor(s) disclaim responsibility for any injury to people or property resulting from any ideas, methods, instructions or products referred to in the content. |
© 2025 by the authors. Licensee MDPI, Basel, Switzerland. This article is an open access article distributed under the terms and conditions of the Creative Commons Attribution (CC BY) license (https://creativecommons.org/licenses/by/4.0/).
Share and Cite
Martins, A.; Patiño, J.; Sim-Sim, M. Comparative Patterns of Sex Expression and Sex Ratios in Island and Continental Bryophyte Populations. Plants 2025, 14, 573. https://doi.org/10.3390/plants14040573
Martins A, Patiño J, Sim-Sim M. Comparative Patterns of Sex Expression and Sex Ratios in Island and Continental Bryophyte Populations. Plants. 2025; 14(4):573. https://doi.org/10.3390/plants14040573
Chicago/Turabian StyleMartins, Anabela, Jairo Patiño, and Manuela Sim-Sim. 2025. "Comparative Patterns of Sex Expression and Sex Ratios in Island and Continental Bryophyte Populations" Plants 14, no. 4: 573. https://doi.org/10.3390/plants14040573
APA StyleMartins, A., Patiño, J., & Sim-Sim, M. (2025). Comparative Patterns of Sex Expression and Sex Ratios in Island and Continental Bryophyte Populations. Plants, 14(4), 573. https://doi.org/10.3390/plants14040573

