Effects of Straw Decomposition on Soil Surface Evaporation Resistance and Evaporation Simulation
Abstract
1. Introduction
2. Results and Analysis
2.1. Straw Decomposition Process
2.2. The Changes in Surface Soil Moisture Content over Time for Two Different Treatments at Each Stage
2.3. Variation of Cumulative Evaporation with Soil Moisture Content
2.4. Soil Moisture Retention Curves for Bare Soil and 60 Days’ Decomposition
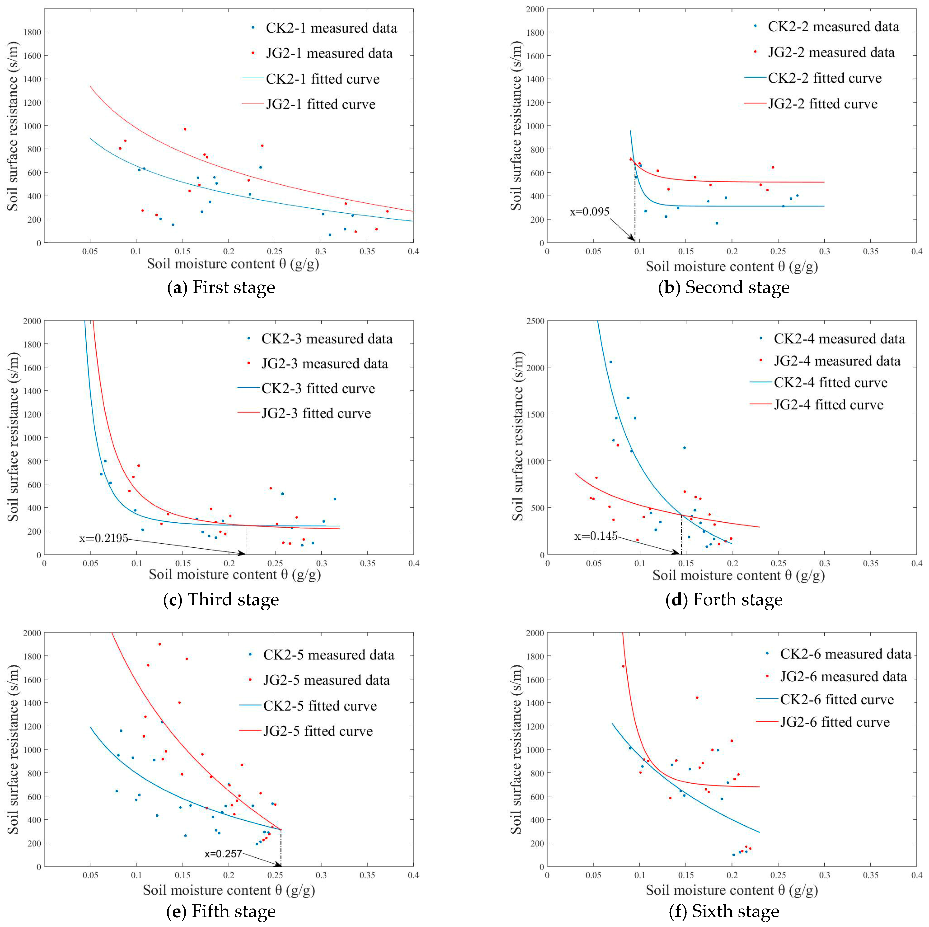
2.5. Construction of Soil Surface Evaporation Resistance Model for Each Treatment and Stage
2.6. Model Simulation Accuracy
3. Materials and Methods
3.1. Site Description
3.2. Setup of Experiment
3.2.1. Location of Experiment
3.2.2. Design of Experiment
3.3. Observation Items
3.4. Data Processing
3.4.1. Decomposition Data Processing
3.4.2. Calculation Method of Soil Water Retention Curve
3.4.3. Construction of the Soil Surface Evaporation Resistance Model
3.4.4. Model Accuracy Evaluation
4. Discussion
4.1. Effect of Straw Decomposition on Soil Evaporation Process
4.2. Effect of Straw Decomposition on Soil Water Retention
4.3. Effect of Straw Decomposition on Soil Surface Evaporation Resistance
5. Conclusions
- (1)
- The decomposition of straw can reduce soil evaporation. Under identical experimental conditions, the cumulative evaporation measured by the lysimeters during straw decomposition was consistently lower than that observed in the bare soil, with a maximum relative reduction of up to 32.2%.
- (2)
- By analyzing the soil moisture retention curves of soil with straw decomposition and bare soil after 60 days, it turned out that straw decomposition could enhance the soil’s water retention capacity. At the same soil water suction, the corresponding moisture content increased by approximately 2.1%.
- (3)
- The decomposition of straw increases soil surface evaporation resistance, and the higher the degree of decomposition, the greater the surface evaporation resistance.
- (4)
- This study is helpful for the research of farmland water conservation measures.
Author Contributions
Funding
Data Availability Statement
Conflicts of Interest
References
- Wythers, K.R.; Lauenroth, W.K.; Paruelo, J.M. Bare-soil evaporation under semiarid field conditions. Soil Sci. Soc. Am. J. 1999, 63, 1341–1349. [Google Scholar] [CrossRef]
- Cappa, C.D.; Hendricks, M.B.; DePaolo, D.J.; Cohen, R.C. Isotopic fractionation of water during evaporation. J. Geophys. Res.-Atmos. 2003, 108. [Google Scholar] [CrossRef]
- Zhang, Y.; Chiew, F.H.S.; Peña-Arancibia, J.; Sun, F.; Li, H.; Leuning, R. Global variation of transpiration and soil evaporation and the role of their major climate drivers. J Geophys. Res.-Atmos. 2017, 122, 6868–6881. [Google Scholar] [CrossRef]
- Djaman, K.; O’Neill, M.; Owen, C.K.; Smeal, D.; Koudahe, K.; West, M.; Allen, S.; Lombard, K.; Irmak, S. Crop evapotranspiration, irrigation water requirement and water productivity of maize from meteorological data under semiarid climate. Water 2018, 10, 405. [Google Scholar] [CrossRef]
- Zhang, Z.; Li, X.; Liu, L.; Wang, Y.; Li, Y. Influence of mulched drip irrigation on landscape scale evapotranspiration from farmland in an arid area. Agric. Water Manag. 2020, 230, 105953. [Google Scholar] [CrossRef]
- Liao, Y.; Cao, H.; Liu, X.; Li, H.-T.; Hu, Q.-Y.; Xue, W.-K. By increasing infiltration and reducing evaporation, mulching can improve the soil water environment and apple yield of orchards in semiarid areas. Agric. Water Manag. 2021, 253, 106936. [Google Scholar] [CrossRef]
- Vereecken, H.; Amelung, W.; Bauke, S.L.; Bogena, H.; Brüggemann, N.; Montzka, C.; Vanderborght, J.; Bechtold, M.; Blöschl, G.; Carminati, A.; et al. Soil hydrology in the Earth system. Nat. Rev. Earth Environ. 2022, 3, 573–587. [Google Scholar] [CrossRef]
- Or, D.; Lehmann, P.; Shahraeeni, E.; Shokri, N. Advances in soil evaporation physics—A review. Vadose Zone J. 2013, 12, 1–16. [Google Scholar] [CrossRef]
- El-Beltagi, H.S.; Basit, A.; Mohamed, H.I.; Ali, I.; Ullah, S.; Kamel, E.A.R.; Shalaby, T.A.; Ramadan, K.M.A.; Alkhateeb, A.A.; Ghazzawy, H.S. Mulching as a sustainable water and soil saving practice in agriculture: A review. Agronomy 2022, 12, 1881. [Google Scholar] [CrossRef]
- Zhang, X.; Ye, P.; Wu, Y.; Zhai, E. Experimental study on simultaneous heat-water-salt migration of bare soil subjected to evaporation. J. Hydrol. 2022, 609, 127710. [Google Scholar] [CrossRef]
- Ghiat, I.; Mackey, H.R.; Al-Ansari, T. A review of evapotranspiration measurement models, techniques and methods for open and closed agricultural field applications. Water 2021, 13, 2523. [Google Scholar] [CrossRef]
- Yang, B.; Blackewll, P.S.; Nicholson, D.F. Soil surface resistance models to evaporation and field measurements. Acta Geogr. Sin. 1997, 52, 177–183. [Google Scholar] [CrossRef]
- Yamanaka, T.; Inoue, M.; Kaihotsu, I. Effects of gravel mulch on water vapor transfer above and below the soil surface. Agric. Water Manag. 2004, 67, 145–155. [Google Scholar] [CrossRef]
- Alibabaei, K.; Gaspar, P.D.; Lima, T.M. Modeling soil water content and reference evapotranspiration from climate data using deep learning method. Appl. Sci. 2021, 11, 5029. [Google Scholar] [CrossRef]
- Van Bavel, C.H.M.; Hillel, D.I. Calculating potential and actual evaporation from a bare soil surface by simulation of concurrent flow of water and heat. Agric. Meteorol. 1976, 17, 453–476. [Google Scholar] [CrossRef]
- Li, M.; Wang, W.; Wang, X.; Yao, C.; Wang, Y.; Wang, Z.; Zhou, W.; Chen, E.; Chen, W. Effect of straw mulching and deep burial mode on water and salt transport regularity in saline soils. Water 2023, 15, 3227. [Google Scholar] [CrossRef]
- Zhang, Y.; Shen, Y.; Sun, H.; Gates, J.B. Evapotranspiration and its partitioning in an irrigated winter wheat field: A combined isotopic and micrometeorologic approach. J. Hydrol. 2011, 408, 203–211. [Google Scholar] [CrossRef]
- Tang, S.; Cheng, W.; Hu, R.; Guigue, J.; Kimani, S.M.; Tawaraya, K.; Xu, X. Simulating the effects of soil temperature and moisture in the off-rice season on rice straw decomposition and subsequent CH4 production during the growth season in a paddy soil. Biol. Fertil. Soils 2016, 52, 739–748. [Google Scholar] [CrossRef]
- Li, H.; Zhang, Y.; Sun, Y.; Zhang, Q.; Liu, P.; Wang, X.; Li, J.; Wang, R. No-tillage with straw mulching improved grain yield by reducing soil water evaporation in the fallow period: A 12-year study on the Loess Plateau. Soil Tillage Res. 2022, 224, 105504. [Google Scholar] [CrossRef]
- Wang, C.; Ma, J.; Wang, Y.; Li, Z.; Ma, B. The influence of wheat straw mulching and straw length on infiltration, runoff and soil loss. Hydrol. Processes 2022, 36, e14561. [Google Scholar] [CrossRef]
- Ma, J.; Chang, L.; Li, Y.; Lan, X.; Ji, W.; Zhang, J.; Han, F.; Cheng, H.; Chai, Y.; Chai, S. Straw strip mulch improves soil moisture similar to plastic film mulch but with a higher net income. Agric. Ecosyst. Environ. 2024, 362, 108855. [Google Scholar] [CrossRef]
- Cheng, D.; Wang, Z.; Yang, L.; Zhang, L.; Zhang, Q. Combined effects of mulching and crop density on soil evaporation, temperature, and water use efficiency of winter wheat. Exp. Agric. 2021, 57, 163–174. [Google Scholar] [CrossRef]
- Eberbach, P.L.; Humphreys, E.; Kukal, S.S. The effect of rice straw mulch on evapotranspiration, transpiration and soil evaporation of irrigated wheat in Punjab, India. Agric. Water Manag. 2011, 98, 1847–1855. [Google Scholar] [CrossRef]
- Zhao, X.; Song, X.; Wang, D.; Li, L.; Meng, P.; Fu, C.; Wang, L.; Wei, W.; Yang, N.; Liu, Y.; et al. Optimizing straw mulching methods to control soil and water losses on loess sloped farmland. Agronomy 2024, 14, 696. [Google Scholar] [CrossRef]
- Yang, Y.; Zhang, M.; Wang, S.; Qu, D.; Zhang, Y.; Wang, J. Soil moisture variability affected by sand mulch: An isotope-based assessment of irrigated farmland in Northwest China. Ecohydrology 2023, 16, e2477. [Google Scholar] [CrossRef]
- Kang, W.; Zhang, Y.; Zhao, W.; Wu, S. The Effect of Gravel Mulch on soil Evaporation and Resistance: Experimental Findings and Modeling. J. Soil Sci. Plant Nutr. 2024, 1–14. [Google Scholar] [CrossRef]
- Feng, H.; Chen, J.; Zheng, X.; Xue, J.; Miao, C.; Du, Q.; Xu, Y. Effect of sand mulches of different particle sizes on soil evaporation during the freeze-thaw period. Water 2018, 10, 536. [Google Scholar] [CrossRef]
- Chen, J.; Xie, X.; Zheng, X.; Xue, J.; Miao, C.; Du, Q.; Xu, Y. Effects of sand-mulch thickness on soil evaporation during the freeze-thaw period. Hydrol. Processes 2020, 34, 2830–2842. [Google Scholar] [CrossRef]
- Li, S.; Li, Y.; Lin, H.; Feng, H.; Dyck, M. Effects of different mulching technologies on evapotranspiration and summer maize growth. Agric. Water Manag. 2018, 201, 309–318. [Google Scholar] [CrossRef]
- Ramos, T.B.; Darouich, H.; Pereira, L.S. Mulching effects on soil evaporation, crop evapotranspiration and crop coefficients: A review aimed at improved irrigation management. Irrig. Sci. 2024, 42, 525–539. [Google Scholar] [CrossRef]
- Zhao, L.; Zhao, H.; Zhao, X.; Xin, L. Effects of Different Gravel Mulching on Soil Moisture Status and Regression Model Prediction in Arid Regions. J. Geosci. Environ. Protec. 2022, 10, 109–120. [Google Scholar] [CrossRef]
- Ye, L.; Xu, Y.; Zhu, G.; Zhang, W.; Jiao, Y. Effects of Different Mulch Types on Farmland Soil Moisture in an Artificial Oasis Area. Land 2024, 13, 34. [Google Scholar] [CrossRef]
- Xue, P.; Fu, Q.; Li, T.; Liu, D.; Hou, R.; Li, Q.; Li, M.; Meng, F. Effects of biochar and straw application on the soil structure and water-holding and gas transport capacities in seasonally frozen soil areas. J. Environ. Manag. 2022, 301, 113943. [Google Scholar] [CrossRef]
- Wang, L.; Wang, C.; Feng, F.; Wu, Z.; Yan, H. Effect of straw application time on soil properties and microbial community in the Northeast China Plain. J. Soils Sediments 2021, 21, 3137–3149. [Google Scholar] [CrossRef]
- Shen, X.; Wang, L.; Yang, Q.; Xiu, W.; Li, G.; Zhao, J.; Zhang, G. Dynamics of soil organic carbon and labile carbon fractions in soil aggregates affected by different tillage managements. Sustainability 2021, 13, 1541. [Google Scholar] [CrossRef]
- Li, Z.; Shen, Y.; Zhang, W.; Zhang, H.; Liu, L.; Wang, Z.; Gu, J.; Yang, J. Effects of long-term straw returning on rice yield and soil properties and bacterial community in a rice-wheat rotation system. Field Crops Res. 2023, 291, 108800. [Google Scholar] [CrossRef]
- Iqbal, A.; Khan, A.; Green, S.J.; Ali, I.; He, L.; Zeeshan, M.; Luo, Y.; Wu, X.; Wei, S.; Jiang, L. Long-term straw mulching in a no-till field improves soil functionality and rice yield by increasing soil enzymatic activity and chemical properties in paddy soils. J. Plant Nutr. Soil Sci. 2021, 184, 622–634. [Google Scholar] [CrossRef]
- Arunrat, N.; Sereenonchai, S.; Sansupa, C.; Kongsurakan, P.; Hatano, R. Effect of Rice Straw and Stubble Burning on Soil Physicochemical Properties and Bacterial Communities in Central Thailand. Biology 2023, 12, 501. [Google Scholar] [CrossRef]
- Xinxiang Comprehensive Test Base, Chinese Academy of Agricultural Sciences. Available online: https://caas.cn/ptjd/jd/zhjd/ca61fa2f639942fea4b6c9158f44126b.htm (accessed on 24 December 2024).
- Liu, J.; Si, Z.; Wu, L. Effects of water and nitrogen coupling on winter wheat yield and water or nitrogen use efficiency under high-low seedbed cultivation pattern. Trans. CSAE 2023, 39, 144–154. [Google Scholar] [CrossRef]
- Zhao, M. Analysis of the current status of crop straw resource utilization in Henan province. Coop. Econ. Technol. 2021, 17, 38–39. [Google Scholar] [CrossRef]
- Weng, D.; Chen, W.; Shen, J. Microclimate and Farm Microclimate; Agricultural Press of China: Beijing, China, 1981; pp. 96–101. ISBN 7-109-00977-7. [Google Scholar]
- Guo, R.; Qian, R.; Yang, L.; Khaliq, A.; Han, F.; Hussain, S.; Zhang, P.; Cai, T.; Jia, Z.; Chen, X.; et al. Interactive effects of maize straw-derived biochar and n fertilization on soil bulk density and porosity, maize productivity and nitrogen use efficiency in arid areas. J. Soil Sci. Plant Nutr. 2022, 22, 4566–4586. [Google Scholar] [CrossRef]
- Liu, L.; Cheng, M.; Yang, L.; Gu, X.; Jin, J.; Fu, M. Regulation of straw decomposition and its effect on soil function by the amount of returned straw in a cool zone rice crop system. Sci. Rep. 2023, 13, 15673. [Google Scholar] [CrossRef] [PubMed]
- Chen, L.; Sun, S.; Yao, B.; Peng, Y.; Gao, C.; Qin, T.; Zhou, Y.; Sun, C.; Quan, W. Effects of straw return and straw biochar on soil properties and crop growth: A review. Front. Recent Dev. Plant Sci. 2022, 13, 986763. [Google Scholar] [CrossRef] [PubMed]
- Halder, M.; Ahmad, S.J.; Rahman, T.; Joardar, J.C.; Siddique, A.B.; Islam, M.S.; Islam, M.U.; Liu, S.; Rabbi, S.; Peng, X. Effects of straw incorporation and straw-burning on aggregate stability and soil organic carbon in a clay soil of Bangladesh. Geoderma Reg. 2023, 32, e00620. [Google Scholar] [CrossRef]
















| Stage Name | Cumulative Evaporation (mm) | Stage Name | Cumulative Evaporation (mm) | Relative Reduction |
|---|---|---|---|---|
| CK1-1 | 11.766 | JG1-1 | 10.583 | 10.06% |
| CK1-2 | 11.238 | JG1-2 | 10.893 | 3.08% |
| CK1-3 | 9.390 | JG1-3 | 8.717 | 7.16% |
| CK1-4 | 6.571 | JG1-4 | 4.455 | 32.20% |
| CK1-5 | 8.698 | JG1-5 | 6.208 | 28.63% |
| CK2-1 | 17.380 | JG2-1 | 14.590 | 16.05% |
| CK2-2 | 12.408 | JG2-2 | 8.772 | 29.30% |
| CK2-3 | 18.733 | JG2-3 | 15.138 | 19.19% |
| CK2-4 | 13.383 | JG2-4 | 16.469 | |
| CK2-5 | 16.162 | JG2-5 | 12.395 | 23.32% |
| CK2-6 | 13.061 | JG2-6 | 10.970 | 16.02% |
| Stage Name | n | ||||
|---|---|---|---|---|---|
| CK1-1 | 0.5972 | 0.0571 | 0.0002 | 4.6213 | 0.981 |
| JG1-5 | 0.4008 | 0.0381 | 0.000521 | 2.0068 | 0.943 |
| Stage Name | A | B | R2 |
|---|---|---|---|
| CK2-1 | 1.567 | 0.294 | 0.971 |
| JG2-6 | 3.729 | 0.381 | 0.852 |
| Stage Name | a | b | c | R2 |
|---|---|---|---|---|
| CK1-1 | 22.873 | 2.621 | −86.013 | 0.591 |
| JG1-1 | 221.378 | 0.996 | −284.515 | 0.547 |
| CK1-2 | 1.893 × 10−13 | 17.084 | 115.942 | 0.772 |
| JG1-2 | 1.410 | 2.778 | 119.437 | 0.791 |
| CK1-3 | 4.098 | 3.673 | 449.939 | 0.521 |
| JG1-3 | 9.058 | 3.110 | 503.812 | 0.636 |
| CK1-4 | 10.092 | 1.968 | 5.385 | 0.804 |
| JG1-4 | 233.708 | 1.756 | −441.722 | 0.770 |
| CK1-5 | 2.69 × 10−11 | 24.370 | 67.368 | 0.654 |
| JG1-5 | 0.403 | 10.524 | 167.798 | 0.756 |
| Stage Name | a | b | c | R2 |
|---|---|---|---|---|
| CK2-1 | 1.70212 × 105 | 0.002 | −1.70034 × 105 | 0.440 |
| JG2-1 | 5.13754 × 105 | 0.001 | −5.13463 × 105 | 0.374 |
| CK2-2 | 1.661 × 10−5 | 11.641 | 310.551 | 0.483 |
| JG2-2 | 0.497 | 4.962 | 516.169 | 0.601 |
| CK2-3 | 0.874 | 3.429 | 239.120 | 0.651 |
| JG2-3 | 10.698 | 2.595 | 201.868 | 0.550 |
| CK2-4 | 317.565 | 1.132 | −589.328 | 0.744 |
| JG2-4 | 0.93664 × 105 | 0.003 | −0.93523 × 105 | 0.461 |
| CK2-5 | 3410.227 | 0.133 | −3310.380 | 0.467 |
| JG2-5 | 1.10831 × 105 | 0.012 | 1.11145 × 105 | 0.634 |
| CK2-6 | 1.95654 × 105 | 0.004 | 1.95805 × 105 | 0.483 |
| JG2-6 | 0.136 | 5.582 | 675.497 | 0.521 |
| Stage Name | SSE × 10−6 | NS | RMSE × 10−4 | MAE × 10−4 | R2 |
|---|---|---|---|---|---|
| JG1-1 | 15.070 | 0.6417 | 7.23 | 5.23 | 0.683 |
| JG1-2 | 5.121 | 0.5416 | 9.12 | 6.67 | 0.558 |
| JG1-3 | 0.358 | 0.1321 | 1.36 | 1.08 | 0.534 |
| JG1-4 | 1.658 | 0.9063 | 3.35 | 2.45 | 0.926 |
| JG1-5 | 1.599 | 0.6573 | 5.42 | 3.31 | 0.625 |
| Stage Name | SSE × 10−5 | NS | RMSE × 10−4 | MAE × 10−4 | R2 |
|---|---|---|---|---|---|
| JG2-1 | 1.143 | 0.1367 | 25.0 | 17.0 | 0.3824 |
| JG2-2 | 0.265 | 0.4048 | 10.0 | 7.3 | 0.4697 |
| JG2-3 | 2.257 | 0.5029 | 19.1 | 16.0 | 0.5004 |
| JG2-4 | 3.537 | 0.4500 | 26.0 | 19.0 | 0.5092 |
| JG2-5 | 1.317 | 0.6704 | 11.0 | 8.0 | 0.6809 |
| JG2-6 | 0.420 | 0.1735 | 22.0 | 12.0 | 0.3655 |
| 1 (1 d~10 d) | 2 (11 d~20 d) | 3 (21 d~40 d) | 4 (41 d~50 d) | 5 (51 d~60 d) | |
|---|---|---|---|---|---|
| Treatment1 | CK1-1 | CK1-2 | CK1-3 | CK1-4 | CK1-5 |
| Treatment2 | JG1-1 | JG1-2 | JG1-3 | JG1-4 | JG1-5 |
| 1 (1 d~10 d) | 2 (11 d~20 d) | 3 (21 d~30 d) | 4 (31 d~40 d) | 5 (41 d~50 d) | 6 (51 d~60 d) | |
|---|---|---|---|---|---|---|
| Treatment1 | CK2-1 | CK2-2 | CK2-3 | CK2-4 | CK2-5 | CK2-6 |
| Treatment2 | JG2-1 | JG2-2 | JG2-3 | JG2-4 | JG2-5 | JG2-5 |
Disclaimer/Publisher’s Note: The statements, opinions and data contained in all publications are solely those of the individual author(s) and contributor(s) and not of MDPI and/or the editor(s). MDPI and/or the editor(s) disclaim responsibility for any injury to people or property resulting from any ideas, methods, instructions or products referred to in the content. |
© 2025 by the authors. Licensee MDPI, Basel, Switzerland. This article is an open access article distributed under the terms and conditions of the Creative Commons Attribution (CC BY) license (https://creativecommons.org/licenses/by/4.0/).
Share and Cite
Wang, S.; Lei, L.; Gao, Y.; Zhan, E. Effects of Straw Decomposition on Soil Surface Evaporation Resistance and Evaporation Simulation. Plants 2025, 14, 434. https://doi.org/10.3390/plants14030434
Wang S, Lei L, Gao Y, Zhan E. Effects of Straw Decomposition on Soil Surface Evaporation Resistance and Evaporation Simulation. Plants. 2025; 14(3):434. https://doi.org/10.3390/plants14030434
Chicago/Turabian StyleWang, Shengfeng, Longwei Lei, Yang Gao, and Enlai Zhan. 2025. "Effects of Straw Decomposition on Soil Surface Evaporation Resistance and Evaporation Simulation" Plants 14, no. 3: 434. https://doi.org/10.3390/plants14030434
APA StyleWang, S., Lei, L., Gao, Y., & Zhan, E. (2025). Effects of Straw Decomposition on Soil Surface Evaporation Resistance and Evaporation Simulation. Plants, 14(3), 434. https://doi.org/10.3390/plants14030434

