Phylogenetic and Expression Analysis of SBP-Box Gene Family to Enhance Environmental Resilience and Productivity in Camellia sinensis cv. Tie-guanyin
Abstract
1. Introduction
2. Results
2.1. Recognition of Components Belonging to the CsSBP Gene Family in Tieguanyin
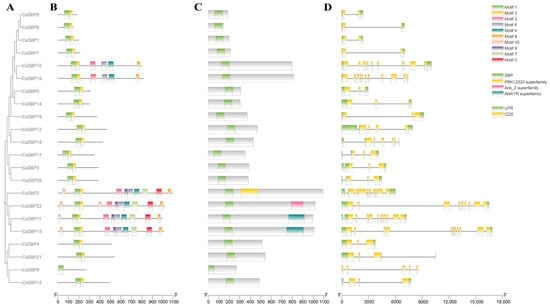
2.2. Examination of the Structural Organization of CsSBP Genes and Analysis of Conserved Motifs
2.3. Evolutionary Relationship Analysis and Sequence Alignment of SBP Protein Sequences
2.4. Chromosomal Distribution and Intraspecific Collinearity Analysis of CsSBP
2.5. Prediction Analysis of Cis-Acting Elements for CsSBP Gene Families
2.6. Syntenic Analysis of CsSBPs Genes
2.7. Expression Trends of CsSBP Genes upon Exposure to Light, Shade, and Cold Treatments
3. Discussion
4. Materials and Methods
4.1. Identification and Characterization of the SBP Gene Family in Te TGY Plants
4.2. Evolutionary Analysis and Gene Structure of the CsSBP Family
4.3. Physicochemical Characteristics and Subcellular Localization
4.4. Phylogenetic Analysis
4.5. Collinearity and Repetition Analysis
4.6. Non-Biological Stress Treatments
4.7. Extraction and Quantitative Analysis of RNA
4.8. RNA Extraction and Statistical Analysis
5. Conclusions
Author Contributions
Funding
Data Availability Statement
Conflicts of Interest
References
- Gao, Y.S.; Ren, J.B.; Lin, T.; Wu, C.Y. Response Surface Optimization of baking parameters for high-quality tea charcoal. Fujian J. Agric. Sci. 2024, 39, 225–236. [Google Scholar]
- Zhou, J.; Gao, S.; Du, Z.; Jin, S.; Yang, Z.; Xu, T.; Zheng, C.; Liu, Y. Seasonal variations and sensory profiles of oolong tea: Insights from metabolic analysis of Tieguanyin cultivar. Food Chem. 2024, 462, 140977. [Google Scholar] [CrossRef] [PubMed]
- Guo, T.; Song, D.; Ho, C.T.; Zhang, X.; Zhang, C.; Cao, J.; Wu, Z. Omics Analyses of Gut Microbiota in a Circadian Rhythm Disorder Mouse Model Fed with Oolong Tea Polyphenols. J. Agric. Food Chem. 2019, 67, 8847–8854. [Google Scholar] [CrossRef] [PubMed]
- Chen, Y.L.; Duan, J.; Jiang, Y.M.; Shi, J.; Peng, L.; Xue, S.; Kakuda, Y. Production, Quality, and Biological Effects of Oolong Tea (Camellia sinensis). Food Rev. Int. 2010, 27, 518294. [Google Scholar] [CrossRef]
- Liu, J.; Qian, C.; Li, X. Livelihood and Food Security in the Context of Sustainable Agriculture: Evidence from Tea Agricultural Heritage Systems in China. Foods 2024, 13, 2238. [Google Scholar] [CrossRef]
- Xu, Y.Q.; Liu, P.P.; Shi, J.; Gao, Y.; Wang, Q.S.; Yin, J.F. Quality development and main chemical components of Tieguanyin oolong teas processed from different parts of fresh shoots. Food Chem. 2018, 249, 176–183. [Google Scholar] [CrossRef] [PubMed]
- Zheng, C.; Wang, Y.; Ding, Z.; Zhao, L. Global transcriptional analysis reveals the complex relationship between tea quality, leaf senescence and the responses to cold-drought combined stress in Camellia sinensis. Front. Plant Sci. 2016, 7, 1858. [Google Scholar] [CrossRef]
- Yan, Y.; Jeong, S.; Park, C.E.; Mueller, N.D.; Piao, S.; Park, H.; Joo, J.; Chen, X.; Wang, X.; Liu, J.; et al. Effects of extreme temperature on China’s tea production. Environ. Res. Lett. 2021, 16, 044040. [Google Scholar] [CrossRef]
- Wang, W.; Xin, H.; Wang, M.; Ma, Q.; Wang, L.; Kaleri, N.A.; Wang, Y.; Li, X. Transcriptomic Analysis Reveals the Molecular Mechanisms of Drought-Stress-Induced Decreases in Camellia sinensis Leaf Quality. Front. Plant Sci. 2016, 7, 385. [Google Scholar] [CrossRef] [PubMed] [PubMed Central]
- Bennetzen, J. Better research for better tea. Nature 2019, 566, S5. [Google Scholar] [CrossRef] [PubMed]
- Zandalinas, S.I.; Balfagón, D.; Gómez-Cadenas, A.; Mittler, R. Plant responses to climate change: Metabolic changes under combined abiotic stresses. J. Exp. Bot. 2022, 73, 3339–3354. [Google Scholar] [CrossRef] [PubMed]
- Zhang, Y.; Xu, J.; Li, R.; Ge, Y.; Li, Y.; Li, R. Plants’ Response to Abiotic Stress: Mechanisms and Strategies. Int. J. Mol. Sci. 2023, 24, 10915. [Google Scholar] [CrossRef]
- Pandey, P.; Ramegowda, V.; Senthil-Kumar, M. Shared and unique responses of plants to multiple individual stresses and stress combinations: Physiological and molecular mechanisms. Front. Plant Sci. 2015, 6, 723. [Google Scholar] [CrossRef] [PubMed]
- Hobert, O. Gene Regulation by Transcription Factors and MicroRNAs. Science 2008, 319, 1785–1786. [Google Scholar] [CrossRef]
- Yang, Z.; Wang, X.; Gu, S.; Hu, Z.; Xu, H.; Xu, C. Comparative study of SBP-box gene family in Arabidopsis and rice. Gene 2008, 407, 1–11. [Google Scholar] [CrossRef] [PubMed]
- Riechmann, J.L.; Heard, J.; Martin, G.; Reuber, L.; Jiang, C.Z.; Keddie, J.; Adam, L.; Pineda, O.; Ratcliffe, O.J.; Samaha, R.R.; et al. Arabidopsis Transcription Factors: Genome-Wide Comparative Analysis Among Eukaryotes. Science 2000, 290, 2105–2110. [Google Scholar] [CrossRef] [PubMed]
- Yao, X.; Fang, K.; Qiao, K.; Xiong, J.; Lan, J.; Chen, J.; Tian, Y.; Kang, X.; Lei, W.; Zhang, D.; et al. Cooperative transcriptional regulation by ATAF1 and HY5 promotes light-induced cotyledon opening in Arabidopsis thaliana. Sci. Signal. 2024, 17, eadf7318. [Google Scholar] [CrossRef] [PubMed]
- Klein, J.; Saedler, H.; Huijser, P. A new family of DNA binding proteins includes putative transcriptional regulators of the Antirrhinum majus floral meristem identity geneSQUAMOSA. Mol. Gen. Genet. 1996, 250, 7–16. [Google Scholar] [CrossRef] [PubMed]
- Hou, H.; Jia, H.; Yan, Q.; Wang, X. Overexpression of a SBP-Box Gene (VpSBP16) from Chinese Wild Vitis Species in Arabidopsis Improves Salinity and Drought Stress Tolerance. Int. J. Mol. Sci. 2018, 19, 940. [Google Scholar] [CrossRef] [PubMed]
- Birkenbihl, R.P.; Jach, G.; Saedler, H.; Huijser, P. Functional Dissection of the Plant-specific SBP-Domain: Overlap of the DNA-binding and Nuclear Localization Domains. J. Mol. Biol. 2005, 352, 585–596. [Google Scholar] [CrossRef]
- Li, L.C.; Qin, G.J.; Tsuge, T.; Hou, X.H.; Ding, M.Y.; Aoyama, T.; Oka, A.; Chen, Z.; Gu, H.; Zhao, Y.; et al. SPOROCYTELESS modulates YUCCA expression to regulate the development of lateral organs in Arabidopsis. New Phytol. 2008, 179, 751–764. [Google Scholar] [CrossRef] [PubMed]
- Lännenpää, M.; Jänönen, I.; Hölttä-Vuori, M.; Gardemeister, M.; Porali, I.; Sopanen, T. A new SBP-box gene BpSPL1 in silver birch (Betula pendula). Physiol. Plant. 2004, 120, 491–500. [Google Scholar] [CrossRef]
- Ning, K.; Chen, S.; Huang, H.; Jiang, J.; Yuan, H.; Li, H. Molecular characterization and expression analysis of the SPL gene family with BpSPL9 transgenic lines found to confer tolerance to abiotic stress in Betula platyphylla Suk. Plant Cell Tissue Organ Cult. 2017, 130, 469–481. [Google Scholar] [CrossRef]
- Li, J.; Hou, H.; Li, X.; Xiang, J.; Yin, X.; Gao, H.; Zheng, Y.; Bassett, C.L.; Wang, X. Genome-wide identification and analysis of the SBP-box family genes in apple (Malus × domestica Borkh.). Plant Physiol. Biochem. 2013, 70, 100–114. [Google Scholar] [CrossRef] [PubMed]
- Song, H.; Zhao, K.; Jiang, G.; Sun, S.; Li, J.; Tu, M.; Wang, L.; Xie, H.; Chen, D. Genome-Wide Identification and Expression Analysis of the SBP-Box Gene Family in Loquat Fruit Development. Genes 2024, 15, 23. [Google Scholar] [CrossRef] [PubMed]
- Waclawovsky, A.J.; Loureiro, M.E.; Freitas, R.D.L.; Rocha, C.D.S.; Cano, M.A.O.; Fontes, E.P.B. Evidence for the sucrose-binding protein role in carbohydrate metabolism and transport at early developmental stage. Physiol. Plant. 2006, 128, 391–404. [Google Scholar] [CrossRef]
- Hou, H.; Li, J.; Gao, M.; Singer, S.D.; Wang, H.; Mao, L.; Fei, Z.; Wang, X. Genomic organization, phylogenetic comparison and differential expression of the SBP-box family genes in grape. PLoS ONE 2013, 8, e59358. [Google Scholar] [CrossRef] [PubMed]
- Wang, P.; Chen, D.; Zheng, Y.; Jin, S.; Yang, J.; Ye, N. Identification and Expression Analyses of SBP-Box Genes Reveal Their Involvement in Abiotic Stress and Hormone Response in Tea Plant (Camellia sinensis). Int. J. Mol. Sci. 2018, 19, 3404. [Google Scholar] [CrossRef] [PubMed]
- Xing, S.; Salinas, M.; Höhmann, S.; Berndtgen, R.; Huijser, P. miR156-targeted and nontargeted SBP-box transcription factors act in concert to secure male fertility in Arabidopsis. Plant Cell 2010, 22, 3935–3950. [Google Scholar] [CrossRef]
- Stief, A.; Altmann, S.; Hoffmann, K.; Pant, B.D.; Scheible, W.-R.; Bäurle, I. Arabidopsis miR156 Regulates Tolerance to Recurring Environmental Stress through SPL Transcription Factors. Plant Cell 2014, 26, 1792–1807. [Google Scholar] [CrossRef] [PubMed]
- Kim, J.J.; Lee, J.H.; Kim, W.; Jung, H.S.; Huijser, P.; Ahn, J.H. The microRNA156-SQUAMOSA PROMOTER BINDING PROTEIN-LIKE3 Module Regulates Ambient Temperature-Responsive Flowering via FLOWERING LOCUS T in Arabidopsis. Plant Physiol. 2012, 159, 461–478. [Google Scholar] [CrossRef] [PubMed]
- Lai, D.; Fan, Y.; Xue, G.; He, A.; Yang, H.; He, C.; Li, Y.; Ruan, J.; Yan, J.; Cheng, J. Genome-wide identification and characterization of the SPL gene family and its expression in the various developmental stages and stress conditions in foxtail millet (Setaria italica). BMC Genom. 2022, 23, 389. [Google Scholar] [CrossRef] [PubMed]
- Song, A.; Gao, T.; Wu, D.; Xin, J.; Chen, S.; Guan, Z.; Wang, H.; Jin, L.; Chen, F. Transcriptome-wide identification and expression analysis of chrysanthemum SBP-like transcription factors. Plant Physiol. Biochem. 2016, 102, 10–16. [Google Scholar] [CrossRef]
- Vos, I.A.; Moritz, L.; Pieterse, C.M.; Van Wees, S.C. Impact of hormonal crosstalk on plant resistance and fitness under multi-attacker conditions. Front. Plant Sci. 2015, 6, 639. [Google Scholar] [CrossRef] [PubMed] [PubMed Central]
- Lim, C.W.; Baek, W.; Jung, J.; Kim, J.-H.; Lee, S.C. Function of ABA in Stomatal Defense against Biotic and Drought Stresses. Int. J. Mol. Sci. 2015, 16, 15251–15270. [Google Scholar] [CrossRef] [PubMed]
- Cardon, G.H.; Höhmann, S.; Klein, J.; Nettesheim, K.; Saedler, H.; Huijser, P. Molecular characterisation of the Arabidopsis SBP-box genes. Gene 1999, 237, 91–104. [Google Scholar] [CrossRef] [PubMed]
- Tong, T.; Fang, Y.; Zhang, Z.; Zheng, J.; Lu, X.; Zhang, X.; Xue, D. Genome-wide identification, phylogenetic and expression analysis of SBP-box gene family in barley (Hordeum vulgare L.). Plant. Growth Regul. 2020, 90, 137–149. [Google Scholar] [CrossRef]
- Xue, G.; Wu, W.; Fan, Y.; Ma, C.; Xiong, R.; Bai, Q.; Yao, X.; Weng, W.; Cheng, J.; Ruan, J. Genome-wide identification, evolution, and role of SPL gene family in beet (Beta vulgaris L.) under cold stress. BMC Genom. 2024, 25, 101. [Google Scholar] [CrossRef] [PubMed]
- Cheng, H.; Hao, M.; Wang, W.; Mei, D.; Tong, C.; Wang, H.; Liu, J.; Fu, L.; Hu, Q. Genomic identification, characterization and differential expression analysis of SBP-box gene family in Brassica napus. BMC Plant Biol. 2016, 16, 196. [Google Scholar] [CrossRef] [PubMed]
- Yang, H.; Zhai, X.; Zhao, Z.; Fan, G. Comprehensive analyses of the SPL transcription factor family in Paulownia fortunei and their responses to biotic and abiotic stresses. Int. J. Biol. Macromol. 2023, 226, 1261–1272. [Google Scholar] [CrossRef] [PubMed]
- Gilmour, S.J.; Sebolt, A.M.; Salazar, M.P.; Everard, J.D.; Thomashow, M.F. Overexpression of the Arabidopsis CBF3 transcriptional activator mimics multiple biochemical changes associated with cold acclimation. Plant Physiol. 2000, 124, 1854–1865. [Google Scholar] [CrossRef] [PubMed]
- Jaglo-Ottosen, K.R.; Gilmour, S.J.; Zarka, D.G.; Schabenberger, O.; Thomashow, M.F. Arabidopsis CBF1 overexpression induces COR genes and enhances freezing tolerance. Science 1998, 280, 104–106. [Google Scholar] [CrossRef]
- Zhao, J.; Shi, M.; Yu, J.; Guo, C. SPL9 mediates freezing tolerance by directly regulating the expression of CBF2 in Arabidopsis thaliana. BMC Plant Biol. 2022, 22, 59. [Google Scholar] [CrossRef]
- Zhang, Y.; Schwarz, S.; Saedler, H.; Huijser, P. SPL8, a local regulator in a subset of gibberellin-mediated developmental processes in Arabidopsis. Plant Mol. Biol. 2007, 63, 429–439. [Google Scholar] [CrossRef] [PubMed]
- Jung, J.H.; Lee, H.J.; Ryu, J.Y.; Park, C.M. SPL3/4/5 Integrate Developmental Aging and Photoperiodic Signals into the FT-FD Module in Arabidopsis Flowering. Mol. Plant 2016, 9, 1647–1659. [Google Scholar] [CrossRef] [PubMed]
- Liu, J.; Niu, Y.; Zhang, J.; Zhou, Y.; Ma, Z.; Huang, X. Ca2+ channels and Ca2+ signals involved in abiotic stress responses in plant cells: Recent advances. Plant Cell Tissue Organ Cult. 2018, 132, 413–424. [Google Scholar] [CrossRef]
- Xiong, L.; Schumaker, K.S.; Zhu, J.-K. Cell Signaling during Cold, Drought, and Salt Stress. Plant Cell 2002, 14 (Suppl. S1), S165–S183. [Google Scholar] [CrossRef]
- Zeng, H.; Xu, L.; Singh, A.; Wang, H.; Du, L.; Poovaiah, B.W. Involvement of calmodulin and calmodulin-like proteins in plant responses to abiotic stresses. Front. Plant Sci. 2015, 6, 600. [Google Scholar] [CrossRef]
- Smirnoff, N. The role of active oxygen in the response of plants to water deficit and desiccation. New Phytol. 1993, 125, 27–58. [Google Scholar] [CrossRef] [PubMed]
- Ohama, N.; Sato, H.; Shinozaki, K.; Yamaguchi-Shinozaki, K. Transcriptional Regulatory Network of Plant Heat Stress Response. Trends Plant Sci. 2017, 22, 53–65. [Google Scholar] [CrossRef] [PubMed]
- Huang, X.; Chen, M.H.; Yang, L.T.; Li, Y.R.; Wu, J.M. Effects of Exogenous Abscisic Acid on Cell Membrane and Endogenous Hormone Contents in Leaves of Sugarcane Seedlings under Cold Stress. Sugar Tech. 2015, 17, 59–64. [Google Scholar] [CrossRef]
- Wang, L.; Tsuda, K.; Truman, W.; Sato, M.; Nguyen, L.V.; Katagiri, F.; Glazebrook, J. CBP60g and SARD1 play partially redundant critical roles in salicylic acid signaling. Plant J. Cell Mol. Biol. 2011, 67, 1029–1041. [Google Scholar] [CrossRef] [PubMed]
- Zhang, J.H.; Wang, L.J.; Pan, Q.H.; Wang, Y.Z.; Zhan, J.C.; Huang, W.D. Accumulation and subcellular localization of heat shock proteins in young grape leaves during cross-adaptation to temperature stresses. Sci. Hortic. 2008, 117, 231–240. [Google Scholar] [CrossRef]
- Sadura, I.; Libik-Konieczny, M.; Jurczyk, B.; Gruszka, D.; Janeczko, A. HSP Transcript and Protein Accumulation in Brassinosteroid Barley Mutants Acclimated to Low and High Temperatures. Int. J. Mol. Sci. 2020, 21, 1889. [Google Scholar] [CrossRef] [PubMed]
- Mittler, R. Oxidative stress, antioxidants and stress tolerance. Trends Plant Sci. 2002, 7, 405–410. [Google Scholar] [CrossRef]
- Zorov, D.B.; Juhaszova, M.; Sollott, S.J. Mitochondrial Reactive Oxygen Species (ROS) and ROS-Induced ROS Release. Physiol. Rev. 2014, 94, 909–950. [Google Scholar] [CrossRef] [PubMed]








| Name | Sequence ID | Number of Amino Acid | Molecular Weight | Theoretical pI | Instability Index | Grand Average of Hydropathicity | Predicted Location(s) |
|---|---|---|---|---|---|---|---|
| CsSBP1 | CsTGY07G0000556 | 199 | 21,654.11 | 8.94 | 73.91 | −0.992 | Nucleus |
| CsSBP2 | CsTGY04G0000059 | 1092 | 120,280.32 | 8.25 | 56.07 | −0.463 | Nucleus |
| CsSBP3 | CsTGY02G0000059 | 388 | 43,086.26 | 8.88 | 53.74 | −0.622 | Nucleus |
| CsSBP4 | CsTGY02G0001323 | 513 | 56,414.44 | 7.63 | 45.87 | −0.607 | Nucleus |
| CsSBP5 | CsTGY03G0002650 | 309 | 34,415.78 | 8.84 | 69.12 | −0.851 | Nucleus |
| CsSBP6 | CsTGY08G0001893 | 143 | 16,312.92 | 7.00 | 80.77 | −1.362 | Nucleus |
| CsSBP7 | CsTGY05G0000639 | 210 | 23,366.81 | 9.17 | 73.25 | −1.253 | Nucleus |
| CsSBP8 | CsTGY05G0001480 | 185 | 20,895.09 | 9.05 | 47.50 | −1.221 | Nucleus |
| CsSBP9 | CsTGY05G0002407 | 268 | 30,638.66 | 9.06 | 45.60 | −0.104 | Cytoplasm Nucleus |
| CsSBP10 | CsTGY05G0002587 | 797 | 89,588.18 | 5.80 | 58.33 | −0.314 | Cytoplasm Nucleus |
| CsSBP11 | CsTGY05G0002815 | 995 | 110,008.4 | 6.33 | 44.60 | −0.393 | Nucleus |
| CsSBP12 | CsTGY06G0000121 | 466 | 51,122.98 | 8.45 | 56.65 | −0.685 | Cytoplasm Nucleus |
| CsSBP13 | CsTGY06G0000542 | 488 | 54,137.89 | 7.61 | 49.82 | −0.505 | Nucleus |
| CsSBP14 | CsTGY06G0002194 | 303 | 34,064.75 | 9.50 | 63.65 | −0.762 | Nucleus |
| CsSBP15 | CsTGY09G0000082 | 1009 | 111,997.33 | 6.52 | 48.90 | −0.314 | Nucleus |
| CsSBP16 | CsTGY09G0000361 | 814 | 90,960.3 | 6.29 | 53.05 | −0.299 | Cytoplasm Nucleus |
| CsSBP17 | CsTGY10G0000081 | 349 | 38,204.28 | 7.64 | 59.34 | −0.696 | Nucleus |
| CsSBP18 | CsTGY10G0000091 | 429 | 47,157.92 | 8.87 | 54.32 | −0.605 | Cytoplasm Nucleus |
| CsSBP19 | CsTGY10G0002410 | 371 | 39,680.64 | 8.59 | 48.25 | −0.679 | Nucleus |
| CsSBP20 | CsTGY15G0000933 | 381 | 41,795.4 | 7.19 | 65.80 | −0.622 | Nucleus |
| CsSBP21 | CsTGY15G0001546 | 541 | 58,874.01 | 6.53 | 43.27 | −0.650 | Nucleus |
| CsSBP22 | CsTGY11G0000061 | 1019 | 112,946.93 | 5.56 | 54.95 | −0.363 | Nucleus |
Disclaimer/Publisher’s Note: The statements, opinions and data contained in all publications are solely those of the individual author(s) and contributor(s) and not of MDPI and/or the editor(s). MDPI and/or the editor(s) disclaim responsibility for any injury to people or property resulting from any ideas, methods, instructions or products referred to in the content. |
© 2025 by the authors. Licensee MDPI, Basel, Switzerland. This article is an open access article distributed under the terms and conditions of the Creative Commons Attribution (CC BY) license (https://creativecommons.org/licenses/by/4.0/).
Share and Cite
Gao, Y.; Wen, Y.; Lin, Q.; Feng, Y.; Shi, X.; Xiao, S.; Tumukunde, E.; Zheng, K.; Cao, S. Phylogenetic and Expression Analysis of SBP-Box Gene Family to Enhance Environmental Resilience and Productivity in Camellia sinensis cv. Tie-guanyin. Plants 2025, 14, 422. https://doi.org/10.3390/plants14030422
Gao Y, Wen Y, Lin Q, Feng Y, Shi X, Xiao S, Tumukunde E, Zheng K, Cao S. Phylogenetic and Expression Analysis of SBP-Box Gene Family to Enhance Environmental Resilience and Productivity in Camellia sinensis cv. Tie-guanyin. Plants. 2025; 14(3):422. https://doi.org/10.3390/plants14030422
Chicago/Turabian StyleGao, Yusen, Yingxin Wen, Qinmin Lin, Yizhuo Feng, Xinying Shi, Siyao Xiao, Elisabeth Tumukunde, Kehui Zheng, and Shijiang Cao. 2025. "Phylogenetic and Expression Analysis of SBP-Box Gene Family to Enhance Environmental Resilience and Productivity in Camellia sinensis cv. Tie-guanyin" Plants 14, no. 3: 422. https://doi.org/10.3390/plants14030422
APA StyleGao, Y., Wen, Y., Lin, Q., Feng, Y., Shi, X., Xiao, S., Tumukunde, E., Zheng, K., & Cao, S. (2025). Phylogenetic and Expression Analysis of SBP-Box Gene Family to Enhance Environmental Resilience and Productivity in Camellia sinensis cv. Tie-guanyin. Plants, 14(3), 422. https://doi.org/10.3390/plants14030422

