Soil Legacy Effects of Chromolaena odorata and Biochar Remediation Depend on Invasion Intensity
Abstract
1. Introduction
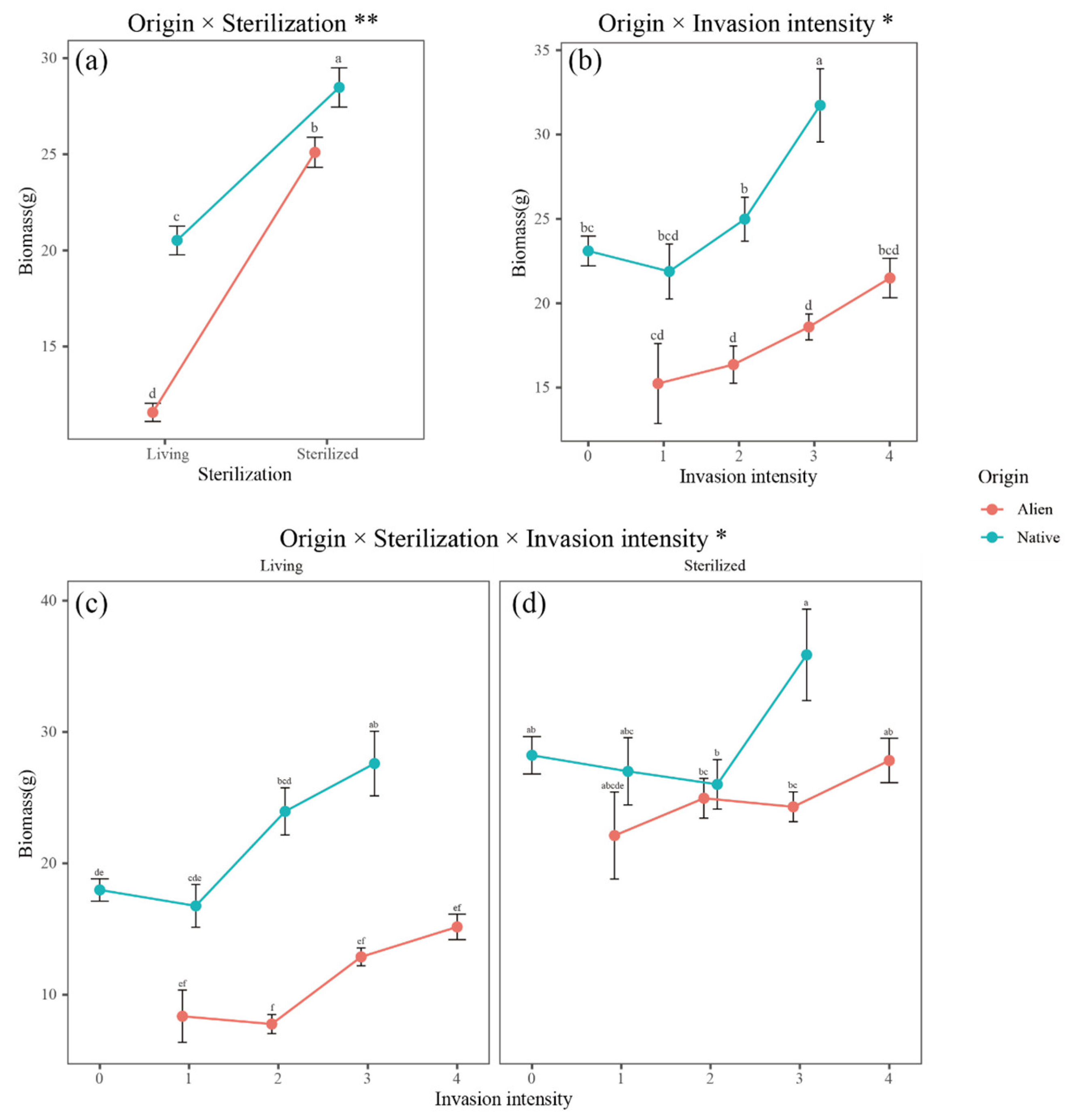
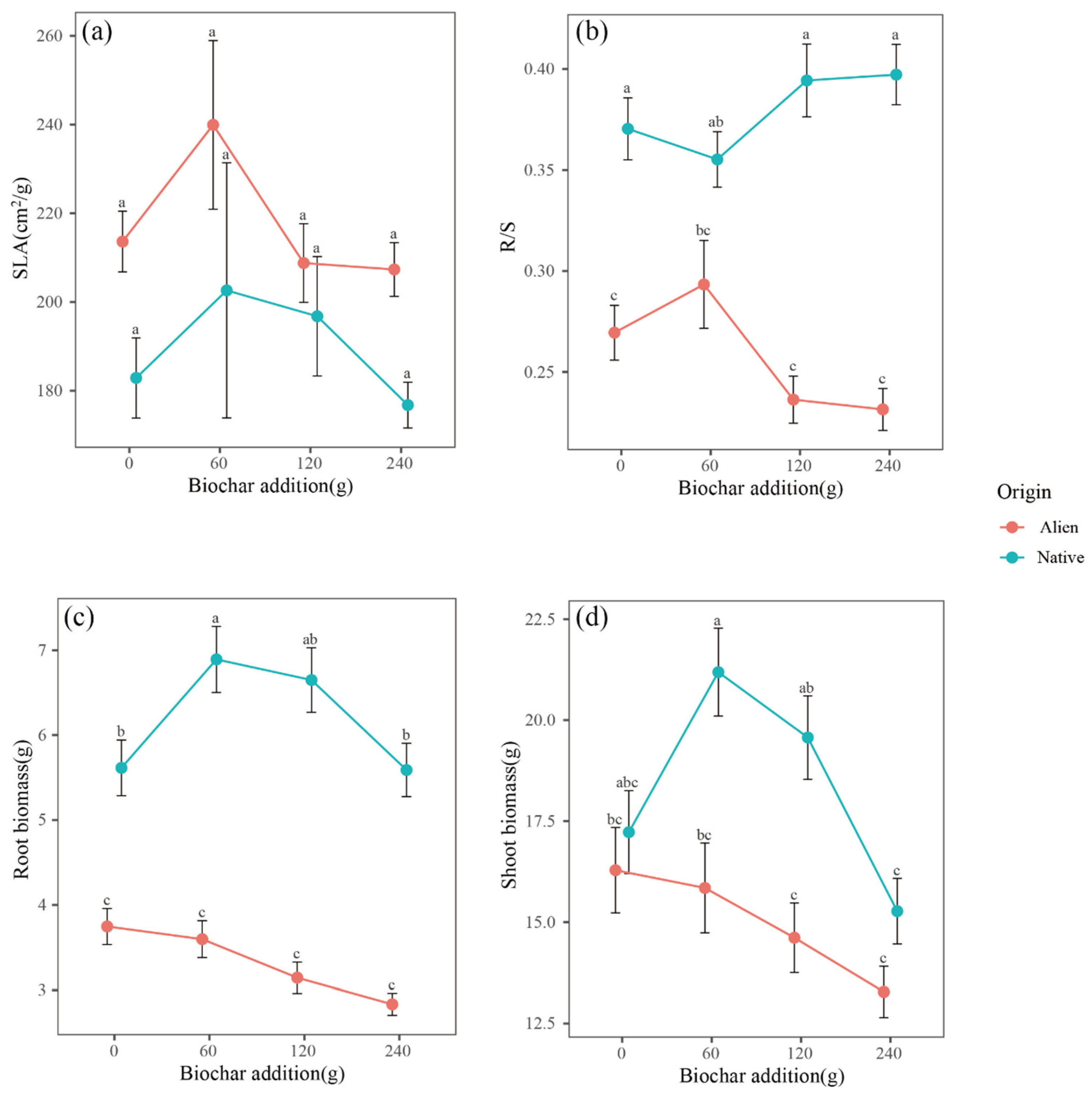
2. Results
3. Discussion
3.1. Soil Legacy Effects of Invasive Plant Removal
3.2. Effectiveness of Biochar in Remediation
4. Materials and Methods
4.1. Invasive Plant Community Plots
4.2. Plant Material
4.3. Biochar Preparation
4.4. Pot Experiment
4.5. Data Collection
4.6. Data Analysis and Plotting
5. Conclusions
Author Contributions
Funding
Data Availability Statement
Acknowledgments
Conflicts of Interest
References
- van Kleunen, M.; Dawson, W.; Essl, F.; Pergl, J.; Winter, M.; Weber, E.; Kreft, H.; Weigelt, P.; Kartesz, J.; Nishino, M.; et al. Global exchange and accumulation of non-native plants. Nature 2015, 525, 100–103. [Google Scholar] [CrossRef]
- Vilà, M.; Espinar, J.L.; Hejda, M.; Hulme, P.E.; Jarošík, V.; Maron, J.L.; Pergl, J.; Schaffner, U.; Sun, Y.; Pyšek, P. Ecological impacts of invasive alien plants: A meta-analysis of their effects on species, communities and ecosystems. Ecol. Lett. 2011, 14, 702–708. [Google Scholar] [CrossRef] [PubMed]
- Valéry, L.; Fritz, H.; Lefeuvre, J.-C.; Simberloff, D. In search of a real definition of the biological invasion phenomenon itself. Biol. Invasions 2008, 10, 1345–1351. [Google Scholar] [CrossRef]
- Torchin, M.E.; Mitchell, C.E. Parasites, pathogens, and invasions by plants and animals. Front. Ecol. Environ. 2004, 2, 183–190. [Google Scholar] [CrossRef]
- van Hengstum, T.; Hooftman, D.A.P.; Oostermeijer, J.G.B.; van Tienderen, P.H. Impact of plant invasions on local arthropod communities: A meta-analysis. J. Ecol. 2014, 102, 4–11. [Google Scholar] [CrossRef]
- IPBES. Summary for Policymakers of the Thematic Assessment Report on Invasive Alien Species and Their Control of the Intergovernmental Science-Policy Platform on Biodiversity and Ecosystem Services; Roy, H.E., Pauchard, A., Stoett, P., Renard Truong, T., Bacher, S., Galil, B.S., Hulme, P.E., Ikeda, T., Sankaran, K.V., McGeoch, M.A., et al., Eds.; IPBES Secretariat: Bonn, Germany, 2023. [Google Scholar]
- Seebens, H.; Blackburn, T.M.; Dyer, E.E.; Genovesi, P.; Hulme, P.E.; Jeschke, J.M.; Pagad, S.; Pyšek, P.; Winter, M.; Arianoutsou, M.; et al. No saturation in the accumulation of alien species worldwide. Nat. Commun. 2017, 8, 14435. [Google Scholar] [CrossRef] [PubMed]
- Seebens, H.; Blackburn, T.M.; Dyer, E.E.; Genovesi, P.; Hulme, P.E.; Jeschke, J.M.; Pagad, S.; Pyšek, P.; van Kleunen, M.; Winter, M.; et al. Global rise in emerging alien species results from increased accessibility of new source pools. Proc. Natl. Acad. Sci. USA 2018, 115, E2264–E2273. [Google Scholar] [CrossRef]
- Li, W.; Bi, X.; Zheng, Y. Soil legacy effects on biomass allocation depend on native plant diversity in the invaded community. Sci. Prog. 2023, 106, 00368504221150060. [Google Scholar] [CrossRef]
- Eppinga, M.B.; Rietkerk, M.; Dekker, S.C.; De Ruiter, P.C.; Van der Putten, W.H.; Van der Putten, W.H. Accumulation of local pathogens: A new hypothesis to explain exotic plant invasions. Oikos 2006, 114, 168–176. [Google Scholar] [CrossRef]
- Ehrenfeld, J.G.; Ravit, B.; Elgersma, K. Feedback in the Plant-Soil System. Annu. Rev. Environ. Resour. 2005, 30, 75–115. [Google Scholar] [CrossRef]
- Liao, C.; Peng, R.; Luo, Y.; Zhou, X.; Wu, X.; Fang, C.; Chen, J.; Li, B. Altered ecosystem carbon and nitrogen cycles by plant invasion: A meta-analysis. New Phytol. 2008, 177, 706–714. [Google Scholar] [CrossRef] [PubMed]
- Gioria, M.; Pyšek, P. The Legacy of Plant Invasions: Changes in the Soil Seed Bank of Invaded Plant Communities. BioScience 2015, 66, 40–53. [Google Scholar] [CrossRef]
- Corbin, J.; D’Antonio, C. Gone but Not Forgotten? Invasive Plants’ Legacies on Community and Ecosystem Properties. Invasive Plant Sci. Manag. 2012, 5, 117–124. [Google Scholar] [CrossRef]
- Weidenhamer, J.D.; Callaway, R.M. Direct and Indirect Effects of Invasive Plants on Soil Chemistry and Ecosystem Function. J. Chem. Ecol. 2010, 36, 59–69. [Google Scholar] [CrossRef] [PubMed]
- Afzal, M.R.; Naz, M.; Ashraf, W.; Du, D. The Legacy of Plant Invasion: Impacts on Soil Nitrification and Management Implications. Plants 2023, 12, 2980. [Google Scholar] [CrossRef] [PubMed]
- Heinen, R.; Hannula, S.E.; De Long, J.R.; Huberty, M.; Jongen, R.; Kielak, A.; Steinauer, K.; Zhu, F.; Bezemer, T.M. Plant community composition steers grassland vegetation via soil legacy effects. Ecol. Lett. 2020, 23, 973–982. [Google Scholar] [CrossRef] [PubMed]
- Xu, Z.; Guo, X.; Skálová, H.; Hu, Y.; Wang, J.; Li, M.; Guo, W. Shift in the effects of invasive soil legacy on subsequent native and invasive trees driven by nitrogen deposition. NeoBiota 2024, 93, 25–37. [Google Scholar] [CrossRef]
- Weidlich, E.W.A.; Flórido, F.G.; Sorrini, T.B.; Brancalion, P.H.S. Controlling invasive plant species in ecological restoration: A global review. J. Appl. Ecol. 2020, 57, 1806–1817. [Google Scholar] [CrossRef]
- Shi, X.; Liu, G.; Zheng, Y.-L. Comparisons of irradiance utilization efficiency by invasive Chromolaena odorata and its three co-occurring species in one planted understory. Flora 2020, 271, 151680. [Google Scholar] [CrossRef]
- Grotkopp, E.; Rejmánek, M. High seedling relative growth rate and specific leaf area are traits of invasive species: Phylogenetically independent contrasts of woody angiosperms. Am. J. Bot. 2007, 94, 526–532. [Google Scholar] [CrossRef] [PubMed]
- Mcalpine, K.G.; Jesson, L.K.; Kubien, D.S. Photosynthesis and water-use efficiency: A comparison between invasive (exotic) and non-invasive (native) species. Austral. Ecol. 2008, 33, 10–19. [Google Scholar] [CrossRef]
- Weber, K.; Quicker, P. Properties of biochar. Fuel 2018, 217, 240–261. [Google Scholar] [CrossRef]
- Wang, J.; Wang, S. Preparation, modification and environmental application of biochar: A review. J. Clean. Prod. 2019, 227, 1002–1022. [Google Scholar]
- Sujeeun, L.; Thomas, S.C. Potential of Biochar to Mitigate Allelopathic Effects in Tropical Island Invasive Plants: Evidence from Seed Germination Trials. Trop. Conserv. Sci. 2017, 10, 1940082917697264. [Google Scholar] [CrossRef]
- Bieser, J.M.H.; Al-Zayat, M.; Murtada, J.; Thomas, S.C. Biochar mitigation of allelopathic effects in three invasive plants: Evidence from seed germination trials. Can. J. Soil Sci. 2022, 102, 213–224. [Google Scholar] [CrossRef]
- Ni, J.; Pignatello, J.J.; Xing, B. Adsorption of Aromatic Carboxylate Ions to Black Carbon (Biochar) Is Accompanied by Proton Exchange with Water. Environ. Sci. Technol. 2011, 45, 9240–9248. [Google Scholar] [CrossRef]
- Pokharel, P.; Ma, Z.; Chang, S.X. Biochar increases soil microbial biomass with changes in extra- and intracellular enzyme activities: A global meta-analysis. Biochar 2020, 2, 65–79. [Google Scholar] [CrossRef]
- Omondi, M.O.; Xia, X.; Nahayo, A.; Liu, X.; Korai, P.K.; Pan, G. Quantification of biochar effects on soil hydrological properties using meta-analysis of literature data. Geoderma 2016, 274, 28–34. [Google Scholar] [CrossRef]
- El-Naggar, A.; Lee, S.S.; Rinklebe, J.; Farooq, M.; Song, H.; Sarmah, A.K.; Zimmerman, A.R.; Ahmad, M.; Shaheen, S.M.; Ok, Y.S. Biochar application to low fertility soils: A review of current status, and future prospects. Geoderma 2019, 337, 536–554. [Google Scholar] [CrossRef]
- Arif, M.; Ilyas, M.; Riaz, M.; Ali, K.; Shah, K.; Ul Haq, I.; Fahad, S. Biochar improves phosphorus use efficiency of organic-inorganic fertilizers, maize-wheat productivity and soil quality in a low fertility alkaline soil. Field Crops Res. 2017, 214, 25–37. [Google Scholar] [CrossRef]
- Alkharabsheh, H.M.; Seleiman, M.F.; Battaglia, M.L.; Shami, A.; Jalal, R.S.; Alhammad, B.A.; Almutairi, K.F.; Al-Saif, A.M. Biochar and Its Broad Impacts in Soil Quality and Fertility, Nutrient Leaching and Crop Productivity: A Review. Agronomy 2021, 11, 993. [Google Scholar] [CrossRef]
- Feng, Q.; Wang, B.; Chen, M.; Wu, P.; Lee, X.; Xing, Y. Invasive plants as potential sustainable feedstocks for biochar production and multiple applications: A review. Resour. Conserv. Recycl. 2021, 164, 105204. [Google Scholar] [CrossRef]
- Woolf, D.; Amonette, J.E.; Street-Perrott, F.A.; Lehmann, J.; Joseph, S. Sustainable biochar to mitigate global climate change. Nat. Commun. 2010, 1, 56. [Google Scholar] [CrossRef]
- Yuan, P.; Wang, J.; Pan, Y.; Shen, B.; Wu, C. Review of biochar for the management of contaminated soil: Preparation, application and prospect. Sci. Total Environ. 2019, 659, 473–490. [Google Scholar] [CrossRef]
- Diez, J.M.; Dickie, I.; Edwards, G.; Hulme, P.E.; Sullivan, J.J.; Duncan, R.P. Negative soil feedbacks accumulate over time for non-native plant species. Ecol. Lett. 2010, 13, 803–809. [Google Scholar] [CrossRef]
- Wang, G.; Burrill, H.M.; Podzikowski, L.Y.; Eppinga, M.B.; Zhang, F.; Zhang, J.; Schultz, P.A.; Bever, J.D. Dilution of specialist pathogens drives productivity benefits from diversity in plant mixtures. Nat. Commun. 2023, 14, 8417. [Google Scholar] [CrossRef] [PubMed]
- Zhou, Y.; Yang, Z.; Liu, J.; Li, X.; Wang, X.; Dai, C.; Zhang, T.; Carrión, V.J.; Wei, Z.; Cao, F.; et al. Crop rotation and native microbiome inoculation restore soil capacity to suppress a root disease. Nat. Commun. 2023, 14, 8126. [Google Scholar] [CrossRef] [PubMed]
- Ni, X. Study of Plant-Soil Feedback Mechanisms Under Different Invasion Levels of Chromolaena odorata in Two Habitats. Master’s Thesis, Lanzhou University, Lanzhou, China, 2023. [Google Scholar]
- Ding, Y.; Liu, Y.; Liu, S.; Li, Z.; Tan, X.; Huang, X.; Zeng, G.; Zhou, L.; Zheng, B. Biochar to improve soil fertility: A review. Agron. Sustain. Dev. 2016, 36, 36. [Google Scholar]
- Lamb, E.G.; Kembel, S.W.; Cahill, J.F., Jr. Shoot, but not root, competition reduces community diversity in experimental mesocosms. J. Ecol. 2009, 97, 155–163. [Google Scholar] [CrossRef]
- Wright, I.J.; Reich, P.B.; Westoby, M.; Ackerly, D.D.; Baruch, Z.; Bongers, F.; Cavender-Bares, J.; Chapin, T.; Cornelissen, J.H.C.; Diemer, M.; et al. The worldwide leaf economics spectrum. Nature 2004, 428, 821–827. [Google Scholar] [CrossRef] [PubMed]
- Montesinos, D. Fast invasives fastly become faster: Invasive plants align largely with the fast side of the plant economics spectrum. J. Ecol. 2022, 110, 1010–1014. [Google Scholar] [CrossRef]
- Leishman, M.R.; Haslehurst, T.; Ares, A.; Baruch, Z. Leaf trait relationships of native and invasive plants: Community- and global-scale comparisons. New Phytol. 2010, 176, 635–643. [Google Scholar] [CrossRef] [PubMed]
- Zheng, Y.-L.; Burns, J.H.; Liao, Z.-Y.; Li, Y.-p.; Yang, J.; Chen, Y.-j.; Zhang, J.-l.; Zheng, Y.-g. Species composition, functional and phylogenetic distances correlate with success of invasive Chromolaena odorata in an experimental test. Ecol. Lett. 2018, 21, 1211–1220. [Google Scholar] [CrossRef] [PubMed]
- Shi, X.; Li, W.-T.; Zheng, Y.-L. Soil legacy effect of extreme precipitation on a tropical invader in different land use types. Environ. Exp. Bot. 2021, 191, 104625. [Google Scholar] [CrossRef]
- Dumlupinar, R.; Demir, F.; Sisman, T.; Budak, G.; Karabulut, A.; Erman, Ö.; Baydas, E. Trace element changes during hibernation of Drosophila melanogaster by WDXRF analyses at chilling temperature. J. Quant. Spectrosc. Radiat. Transf. 2006, 102, 492–498. [Google Scholar] [CrossRef]
- R Core Team. R: A Language and Environment for Statistical Computing; R Foundation for Statistical Computing: Vienna, Austria, 2024. [Google Scholar]
- Kuznetsova, A.; Brockhoff, P.B.; Christensen, R.H.B. lmerTest Package: Tests in Linear Mixed Effects Models. J. Stat. Softw. 2017, 82, 1–26. [Google Scholar] [CrossRef]
- Wickham, H. ggplot2: Elegant Graphics for Data Analysis; Springer: New York, NY, USA, 2016. [Google Scholar]





| Elements | Invasion Intensity | ||||
|---|---|---|---|---|---|
| 0 | 1 | 2 | 3 | 4 | |
| P (mg/kg) | 869.39 ± 93.08 | 990.87 ± 376.58 | 717.77 ± 115.45 | 680.18 ± 127.42 | 496.4 ± 53.84 |
| a | a | a | a | a | |
| S (mg/kg) | 158.17 ± 3.35 | 198.3 ± 15.01 | 185.62 ± 9.72 | 199 ± 15.91 | 237.87 ± 15.14 |
| b | ab | ab | ab | a | |
| Mn (mg/kg) | 638.04 ± 28.15 | 266.33 ± 74.03 | 595.76 ± 82.84 | 425.21 ± 122.44 | 113.8 ± 11.89 |
| a | ab | a | ab | b | |
| Pb (mg/kg) | 25.14 ± 3.02 | 12.73 ± 4.68 | 15.97 ± 1.59 | 15.02 ± 2.7 | 9.97 ± 2.21 |
| a | ab | ab | ab | b | |
| Ca (g/kg) | 2.27 ± 0.09 | 0.88 ± 0.37 | 1.63 ± 0.28 | 1.5 ± 0.43 | 0.47 ± 0.02 |
| a | ab | ab | ab | b | |
| K (g/kg) | 13.57 ± 0.1 | 13.07 ± 1.95 | 13.24 ± 0.46 | 12.07 ± 0.64 | 10.69 ± 0.78 |
| a | a | a | a | a | |
| Al (g/kg) | 68.24 ± 0.58 | 91.26 ± 6.93 | 84.91 ± 3.56 | 78.08 ± 4.48 | 84.87 ± 8.94 |
| b | a | a | ab | ab | |
| Factor | NumDF | p |
|---|---|---|
| Origin | 1 | 0.295 |
| Invasion intensity *** | 4 | <0.001 |
| Sterilization *** | 1 | <0.001 |
| Biochar ** | 3 | 0.002 |
| Origin × Invasion intensity * | 2 | 0.049 |
| Origin × Sterilization ** | 1 | 0.002 |
| Invasion intensity × Sterilization | 4 | 0.460 |
| Origin × Biochar * | 3 | 0.032 |
| Invasion intensity × Biochar | 12 | 0.515 |
| Sterilization × Biochar *** | 3 | <0.001 |
| Origin × Invasion intensity × Sterilization * | 2 | 0.012 |
| Origin × Invasion intensity × Biochar | 6 | 0.489 |
| Origin × Sterilization × Biochar | 3 | 0.926 |
| Invasion intensity × Sterilization × Biochar | 12 | 0.986 |
| Origin × Invasion intensity × Sterilization × Biochar | 6 | 0.920 |
Disclaimer/Publisher’s Note: The statements, opinions and data contained in all publications are solely those of the individual author(s) and contributor(s) and not of MDPI and/or the editor(s). MDPI and/or the editor(s) disclaim responsibility for any injury to people or property resulting from any ideas, methods, instructions or products referred to in the content. |
© 2025 by the authors. Licensee MDPI, Basel, Switzerland. This article is an open access article distributed under the terms and conditions of the Creative Commons Attribution (CC BY) license (https://creativecommons.org/licenses/by/4.0/).
Share and Cite
Li, J.; Zheng, Y.; Chang, S.; Li, Y.; Wang, Y.; Chang, X.; Li, W. Soil Legacy Effects of Chromolaena odorata and Biochar Remediation Depend on Invasion Intensity. Plants 2025, 14, 401. https://doi.org/10.3390/plants14030401
Li J, Zheng Y, Chang S, Li Y, Wang Y, Chang X, Li W. Soil Legacy Effects of Chromolaena odorata and Biochar Remediation Depend on Invasion Intensity. Plants. 2025; 14(3):401. https://doi.org/10.3390/plants14030401
Chicago/Turabian StyleLi, Jiajun, Yulong Zheng, Shukui Chang, Yangping Li, Yi Wang, Xue Chang, and Weitao Li. 2025. "Soil Legacy Effects of Chromolaena odorata and Biochar Remediation Depend on Invasion Intensity" Plants 14, no. 3: 401. https://doi.org/10.3390/plants14030401
APA StyleLi, J., Zheng, Y., Chang, S., Li, Y., Wang, Y., Chang, X., & Li, W. (2025). Soil Legacy Effects of Chromolaena odorata and Biochar Remediation Depend on Invasion Intensity. Plants, 14(3), 401. https://doi.org/10.3390/plants14030401

