Ultrasound and Microwave-Assisted Extraction of Blackberry (Rubus fruticosus L.) Pomace: Analysis of Chemical Properties and Anticancer Activity
Abstract
1. Introduction
2. Results and Discussion
2.1. Total Polyphenol, Anthocyanin, Flavonoid Concentrations, and Antioxidant Activities (DPPH• and ABTS•+) in Blackberry Pomace Extracts
2.2. Phenolic Profile of Blackberry Pomace Extracts
2.3. Organic Acids and Sugars Profile of Blackberry Pomace Extracts
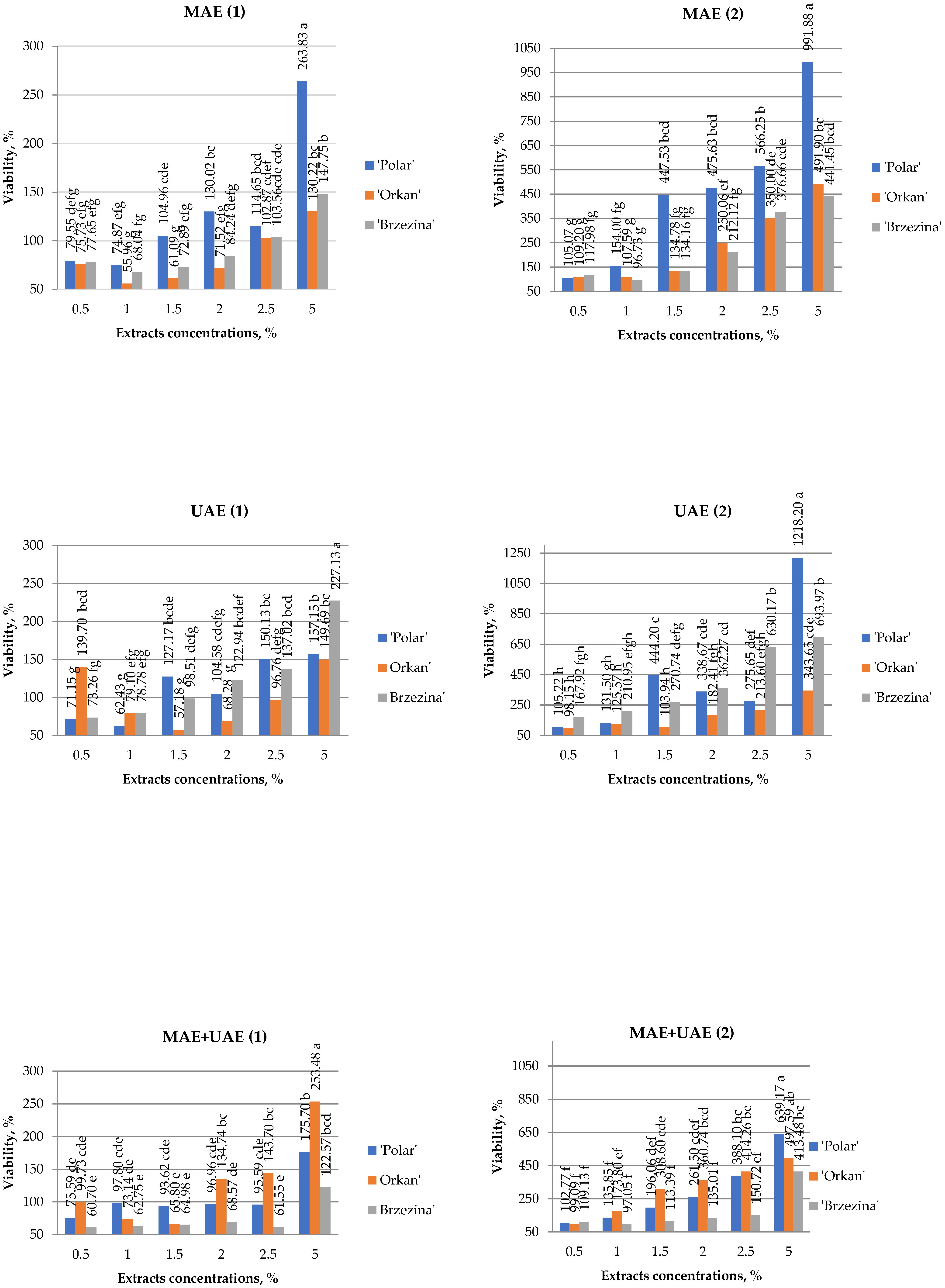
2.4. Effects of Extracts on Cancer Cells
3. Materials and Methods
3.1. Blackberry Pomace Sample Preparation
3.2. Chemicals and Reagents
3.3. Extraction of Blackberry Pomace
3.4. Analysis of Total Polyphenolic Compounds (TPC)
3.5. Analysis of the Total Anthocyanin Content (TAC)
3.6. Analysis of the Total Flavonoid Content (TFC)
3.7. Analysis of Individual Polyphenols
3.8. Analysis of Organic Acids and Sugars
3.9. Assay for Antioxidant Activity ABTS•+ Discoloration Method
3.10. Analysis of DPPH• Radical Scavenging Activity (DPPH•-RSA)
3.11. Human Cell Lines
3.12. Estimation of Tested Extracts Cytotoxicity
3.13. Statistical Analysis
4. Conclusions
Supplementary Materials
Author Contributions
Funding
Data Availability Statement
Conflicts of Interest
Correction Statement
References
- Nogueira, G. Incorporation of spray dried and freeze dried blackberry particles in edible films: Morphology, stability to pH, sterilization and biodegradation. Food Packag. Shelf Life 2019, 20, 100313. [Google Scholar] [CrossRef]
- Sozzi, A.; Zambon, M.; Mazza, G.; Salvatori, D. Fluidized bed drying of blackberry wastes: Drying kinetics, particle characterization and nutritional value of the obtained granular solids. Powder Technol. 2021, 385, 37–49. [Google Scholar] [CrossRef]
- Martins, M.S.; Gonçalves, A.C.; Alves, G.; Silva, L.R. Blackberries and Mulberries: Berries with Significant Health-Promoting Properties. Int. J. Mol. Sci. 2023, 24, 12024. [Google Scholar] [CrossRef]
- Čechovičienė, I.; Viškelis, J.; Viškelis, P.; Hallman, E.; Kruk, M.; Tarasevičienė, Ž. Potentially Bioactive Compounds and Sensory Compounds in By-Products of Several Cultivars of Blackberry (Rubus fruticosus L.). Horticulturae 2024, 10, 862. [Google Scholar] [CrossRef]
- Kryževičiūtė, N.; Kraujalis, P.; Venskutonis, P.R. Optimization of high pressure extraction processes for the separation of raspberry pomace into lipophilic and hydrophilic fractions. J. Supercrit. Fluids. 2016, 108, 61–68. [Google Scholar] [CrossRef]
- Espada-Bellido, E.; Ferreiro-González, M.; Carrera, C.; Palma, M.; Álvarez, J.A.; F. Barbero, G.; Ayuso, J. Extraction of Antioxidants from Blackberry (Rubus ulmifolius L.): Comparison between Ultrasound- and Microwave-Assisted Extraction Techniques. Agronomy 2019, 9, 745. [Google Scholar] [CrossRef]
- Matei, P.L.; Deleanu, I.; Brezoiu, A.M.; Chira, N.A.; Busuioc, C.; Isopencu, G.; Cîlțea-Udrescu, M.; Alexandrescu, E.; Stoica-Guzun, A. Ultrasound-Assisted Extraction of Blackberry Seed Oil: Optimization and Oil Characterization. Molecules 2023, 28, 2486. [Google Scholar] [CrossRef]
- Machado, A.P.F.; Duarte Pereira, A.L.; Barbero, G.F.; Martínez, J. Recovery of anthocyanins from residues of Rubus fruticosus, Vaccinium myrtillus and Eugenia brasiliensis by ultrasound assisted extraction, pressurized liquid extraction and their combination. Food Chem. 2017, 231, 1–10. [Google Scholar] [CrossRef] [PubMed]
- Zafra-Rojas, Q.Y.; Cruz-Cansino, N.S.; Quintero-Lira, A.; Gómez-Aldapa, C.A.; Alanís-García, E.; Cervantes-Elizarrarás, A.; Güemes-Vera, N.; Ramírez-Moreno, E. Application of Ultrasound in a Closed System: Optimum Condition for Antioxidants Extraction of Blackberry (Rubus fructicosus) Residues. Molecules 2016, 21, 950. [Google Scholar] [CrossRef]
- He, B.; Zhang, L.L.; Yue, X.Y.; Liang, J.; Jiang, J.; Gao, X.L.; Yue, P.X. Optimization of ultrasound-assisted extraction of phenolic compounds and anthocyanins from blueberry (Vaccinium ashei) wine pomace. Food Chem. 2016, 204, 70–76. [Google Scholar] [CrossRef] [PubMed]
- Santos, S.S.d.; Paraíso, C.M.; Rodrigues, L.M.; Madrona, G.S. Agro-industrial waste as a source of bioactive compounds: Ultrasound-assisted extraction from blueberry (Vaccinium myrtillus) and raspberry (Rubus idaeus) pomace. Acta Sci. Technol. 2020, 43, e55564. [Google Scholar] [CrossRef]
- Golmohamadi, A.; Möller, G.; Powers, J.; Nindo, C. Effect of ultrasound frequency on antioxidant activity, total phenolic and anthocyanin content of red raspberry puree. Ultrason. Sonochemistry 2013, 20, 1316–1323. [Google Scholar] [CrossRef] [PubMed]
- Nastić, N.; Mutavski, Z.; Živković, J.; Ambrus, R.; Fernández, N.; Menković, N.; Vidović, S. Green Processing of Black Raspberry Pomace: Application of Sonotrode-Based Extraction Technique and Particles from Gas-Saturated Solutions (PGSS) Technology. Foods 2023, 12, 3867. [Google Scholar] [CrossRef] [PubMed]
- Ferrara, D.; Beccaria, M.; Cordero, C.E.; Purcaro, G. Microwave-assisted extraction in closed vessel in food analysis. J. Sep. Sci. 2023, 46, 2300390. [Google Scholar] [CrossRef]
- Carvalho, A.P.; Mendes, M.; Moreira, M.M.; Cruz, D.; Magalhães, J.M.C.S.; Barroso, M.F.; Ramalhosa, M.J.; Duarte, A.; Guido, L.; Gomes, A.M.; et al. Microwave-assisted extraction in goji berries: Effect on composition and bioactivity, evaluated through conventional and nonconventional methodologies. Int. J. Food Sci. Technol. 2016, 51, 1401–1408. [Google Scholar] [CrossRef]
- Belwal, T.; Ezzat, S.M.; Rastrelli, L.; Bhatt, I.D.; Daglia, M.; Baldi, A.; Devkota, H.P.; Orhan, I.E.; Patra, J.K.; Das, G.; et al. A critical analysis of extraction techniques used for botanicals: Trends, priorities, industrial uses and optimization strategies. TrAC Trends Anal. Chem. 2018, 100, 82–102. [Google Scholar] [CrossRef]
- Teng, H.; Lee, W.Y.; Choi, Y.H. Optimization of microwave-assisted extraction for anthocyanins, polyphenols, and antioxidants from raspberry (Rubus Coreanus Miq.) using response surface methodology. J. Sep. Sci. 2013, 36, 3107–3114. [Google Scholar] [CrossRef]
- Feng, T.; Zhang, M.; Sun, Q.; Mujumdar, A.S.; Yu, D. Extraction of functional extracts from berries and their high quality processing: A comprehensive review. Crit. Rev. Food Sci. Nutr. 2022, 63, 7108–7125. [Google Scholar] [CrossRef]
- Wen, L.; Zhang, Z.; Sun, D.W.; Sivagnanam, S.P.; Tiwari, B.K. Combination of emerging technologies for the extraction of bioactive compounds. Crit. Rev. Food Sci. Nutr. 2019, 60, 1826–1841. [Google Scholar] [CrossRef]
- Gil-Martínez, L.; Mut-Salud, N.; Ruiz-García, J.A.; Falcón-Piñeiro, A.; Maijó-Ferré, M.; Baños, A.; De la Torre-Ramírez, J.M.; Guillamón, E.; Verardo, V.; Gómez-Caravaca, A.M. Phytochemicals Determination, and Antioxidant, Antimicrobial, Anti-Inflammatory and Anticancer Activities of Blackberry Fruits. Foods 2023, 12, 1505. [Google Scholar] [CrossRef]
- Četojević-Simin, D.D.; Ranitović, A.S.; Cvetković, D.D.; Markov, S.L.; Vinčić, M.N.; Đilas, S.M. Bioactivity of blackberry (Rubus fruticosus L.) pomace: Polyphenol content, radical scavenging, antimicrobial and antitumor activity. Acta Period. Technol. 2017, 48, 63–76. [Google Scholar] [CrossRef]
- Yu, J.; Lou, Q.; Zheng, X.; Cui, Z.; Fu, J. Sequential Combination of Microwave- and Ultrasound-Assisted Extraction of Total Flavonoids from Osmanthus fragrans Lour. Flowers. Molecules 2017, 22, 2216. [Google Scholar] [CrossRef] [PubMed]
- Mikucka, W.; Zielinska, M.; Bulkowska, K.; Witonska, I. Processing of Distillery Stillage to Recover Phenolic Compounds with Ultrasound-Assisted and Microwave-Assisted Extractions. Int. J. Environ. Res. Public Health 2022, 19, 2709. [Google Scholar] [CrossRef]
- Santos, S.S.d.; Magalhães, F.d.S.; Paraíso, C.M.; Ogawa, C.Y.L.; Sato, F.; Santos Junior, O.d.O.; Visentainer, J.V.; Madrona, G.S.; Reis, M.H.M. Enhanced conditions for anthocyanin extraction from blackberry pomace under ultrasound irradiation. J. Food Process Eng. 2023, 46, e14077. [Google Scholar] [CrossRef]
- Zafra-Rojas, Q.Y.; Cruz-Cansino, N.; Ramírez-Moreno, E.; Delgado-Olivares, L.; Villanueva-Sánchez, J.; Alanís-García, E. Effects of ultrasound treatment in purple cactus pear (Opuntia ficus-indica) juice. Ultrason. Sonochem. 2013, 20, 1283–1288. [Google Scholar] [CrossRef]
- Piasecka, I.; Brzezińska, R.; Kalisz, S.; Wiktor, A.; Górska, A. Response Surface Methodology for Optimization of Ultrasound-Assisted Antioxidants Extraction from Blackberry, Chokeberry and Raspberry Pomaces. Plants 2024, 13, 1120. [Google Scholar] [CrossRef] [PubMed]
- Kim, K.H.; Tsao, R.; Yang, R.; Cui, S.W. Phenolic acid profiles and antioxidant activities of wheat bran extracts and the effect of hydrolysis conditions. Food Chem. 2006, 95, 466–473. [Google Scholar] [CrossRef]
- Sariburun, E.; Şahin, S.; Demir, C.; Türkben, C.; Uylaşer, V. Phenolic Content and Antioxidant Activity of Raspberry and Blackberry Cultivars. J. Food Sci. 2010, 75, C328–C335. [Google Scholar] [CrossRef] [PubMed]
- Szymanowska, U.; Baraniak, B. Antioxidant and Potentially Anti-Inflammatory Activity of Anthocyanin Fractions from Pomace Obtained from Enzymatically Treated Raspberries. Antioxidants 2019, 8, 299. [Google Scholar] [CrossRef]
- Sodeinde, O.A.; Salawu, K.M.; Ogbole, O.O.; Ajaiyeoba, E.O. Phytochemical, antioxidant, brine shrimp lethality and antiproliferative analyses of solanum dasyphyllum schum. thonn. leaf and fruit extracts [solanaceae]. Savannah Vet. J. 2019, 2, 13–17. [Google Scholar] [CrossRef]
- Razola-Díaz, M.d.C.; Aznar-Ramos, M.J.; Guerra-Hernández, E.J.; García-Villanova, B.; Gómez-Caravaca, A.M.; Verardo, V. Establishment of a Sonotrode Ultrasound-Assisted Extraction of Phenolic Compounds from Apple Pomace. Foods 2022, 11, 3809. [Google Scholar] [CrossRef]
- Jazić, M.; Kukrić, Z.; Vulić, J.; Četojević-Simin, D. Polyphenolic composition, antioxidant and antiproliferative effects of wild and cultivated blackberries (Rubus fruticosus L.) pomace. Int. J. Food Sci. Technol. 2019, 54, 194–201. [Google Scholar] [CrossRef]
- Moreno-Medina, B.L.; Casierra-Posada, F.; Medina-Vargas, O.J. Phenolic Profile and Antioxidant Capacity of Blackberry Fruits (Rubus spp) Grown in Colombia. Erwerbs-Obstbau 2023, 65, 1047–1056. [Google Scholar] [CrossRef]
- Xu, D.; Hu, M.-J.; Wang, Y.-Q.; Cui, Y.-L. Antioxidant Activities of Quercetin and Its Complexes for Medicinal Application. Molecules 2019, 24, 1123. [Google Scholar] [CrossRef] [PubMed]
- Duarte de Lima, N.; da Silva Monteiro Wanderley, B.R.; Andrade Ferreira, A.L.; Pereira-Coelho, M.; da Silva Haas, I.C.; Vitali, L.; dos Santos Madureira, L.A.; Müller, J.M.; Fritzen-Freire, C.B.; Dias de Mello Castanho Amboni, R. Green extraction of phenolic compounds from the by-product of purple araçá (Psidium myrtoides) with natural deep eutectic solvents assisted by ultrasound: Optimization, comparison, and bioactivity. Food Res. Int. 2024, 191, 114731. [Google Scholar] [CrossRef] [PubMed]
- Yeong, Y.L.; Pang, S.F.; Gimbun, J. The effect of auxiliary energy on rhein, kaempferol and astragalin extraction from Cassia alata. MATEC Web Conf. 2017, 111, 02009. [Google Scholar] [CrossRef]
- Shakeri, A.; Zirak, M.R.; Sahebkar, A. Ellagic Acid: A Logical Lead for Drug Development? Curr. Pharm. Des. 2018, 24, 106–122. [Google Scholar] [CrossRef] [PubMed]
- Liu, J.; Jiao, Z.; Yang, W.; Zhang, C.; Liu, H.; Lv, Z. Variation in phenolics, flavanoids, antioxidant and tyrosinase inhibitory activity of peach blossoms at different developmental stages. Molecules 2015, 20, 20460–20472. [Google Scholar] [CrossRef]
- Yang, X.; Bin, D.; Fan, M. Free and bound phenolic compound content and antioxidant activity of different cultivated blue highland barley varieties from the Qinghai-Tibet Plateau. Molecules 2018, 23, 879. [Google Scholar] [CrossRef] [PubMed]
- Tsai, J.; Huang, G.; Chiu, T.; Huang, S.; Huang, S.; Huang, T.; Lee, C. Antioxidant activities of phenolic components from various plants of Desmodium species. Afr. J. Pharm. Pharmacol. 2011, 5, 468–476. [Google Scholar] [CrossRef]
- Xu, J.; Hu, Q.; Liu, Y. Antioxidant and DNA-protective activities of chlorogenic acid isomers. J. Agric. Food Chem. 2012, 60, 11625–11630. [Google Scholar] [CrossRef]
- Hernandez-Ruiz, K.; Ruiz-Cruz, S.; Cira-Chavez, L.; Gassos-Ortega, L.; Ornelas-Paz, J.; Del-Toro-Sanchez, C.; Rodiguez-Felix, F. Evaluation of antioxidant capacity, protective effect on human erythrocytes and phenolic compound identification in two varieties of plum fruit (Spondias spp.) by UPLC-MS. Molecules 2018, 23, 3200. [Google Scholar] [CrossRef] [PubMed]
- Bobinaitė, R.; Viškelis, P.; Venskutonis, P.R. Chapter 29—Chemical Composition of Raspberry (Rubus spp.) Cultivars In Nutritional Composition of Fruit Cultivars; Simmonds, M.S.J., Preedy, V.R., Eds.; Academic Press: Cambridge, MA, USA, 2016; pp. 713–731. [Google Scholar] [CrossRef]
- Gong, E.S.; Li, B.; Li, B.; Podio, N.S.; Chen, H.; Li, T.; Sun, X.; Gao, N.; Wu, W.; Yang, T.; et al. Identification of key phenolic compounds responsible for antioxidant activities of free and bound fractions of blackberry varieties’ extracts by boosted regression trees. J. Sci. Food Agric. 2022, 102, 984–994. [Google Scholar] [CrossRef]
- Salah-Eldin, A.A.; Ibrahim, H.H.; Ali, M.R. Antimicrobial and therapeutic potentials of the blackberry extracts against Escherichia coli infection in male albino rats. J. Sci. Food Agric. 2024, 104, 7776–7787. [Google Scholar] [CrossRef] [PubMed]
- Kurek, M.; Garofulić, I.E.; Bakić, M.T.; Ščetar, M.; Uzelac, V.D.; Galić, K. Development and evaluation of a novel antioxidant and pH indicator film based on chitosan and food waste sources of antioxidants. Food Hydrocoll. 2018, 84, 238–246. [Google Scholar] [CrossRef]
- Čanadanović-Brunet, J.; Tumbas Šaponjac, V.; Stajčić, S.; Ćetković, G.; Čanadanović, V.; Ćebović, T.; Vulić, J. Polyphenolic Composition, Antiradical and Hepatoprotective Activities of Bilberry and Blackberry Pomace Extracts. J. Berry Res. 2019, 9, 349–362. [Google Scholar] [CrossRef]
- Ismail Suhaimy, N.W.; Noor Azmi, A.K.; Mohtarrudin, N.; Omar, M.H.; Tohid, S.F.M.; Cheema, M.S.; Teh, L.K.; Salleh, M.Z.; Zakaria, Z.A. Ethyl Acetate Partition of Methanolic Extract of Melastoma malabathricum Leaves Exerts Gastroprotective Activity Partly via Its Antioxidant-Antisecretory-Anti-Inflammatory Action and Synergistic Action of Several Flavonoid-Based Compounds. Oxidative Med. Cell. Longev. 2017, 14, 6542631. [Google Scholar] [CrossRef] [PubMed]
- Zheng, J. Sugars, Acids and Phenolic Compounds in Currants and Sea Buckthorn in Relation to the Effects of Environmental Factors. Ph.D. Thesis, Food Sciences. University of Turku, Turku, Finland, 2013; pp. 4–15. Available online: https://www.semanticscholar.org/paper/Sugars%2C-acids-and-phenolic-compounds-in-currants-in-Zheng/9a88829bf69fcdf5a9c97e084935f5253979b8b7 (accessed on 20 November 2024).
- Ikegaya, A.; Toyoizumi, T.; Ohba, S.; Nakajima, T.; Kawata, T.; Ito, S.; Arai, E. Effects of distribution of sugars and organic acids on the taste of strawberries. Food Sci. Nutr. 2019, 7, 2419–2426. [Google Scholar] [CrossRef]
- Škrovánková, S.; Sumczynski, D.; Mlček, J.; Jurí¬ková, T.; Sochor, J. Bioactive compounds and antioxidant activity in different types of berries. Int. J. Mol. Sci. 2015, 16, 24673–24706. [Google Scholar] [CrossRef]
- Abeysuriya, H.I.; Bulugahapitiya, V.P.; Pulukkuttige, J.L. Total Vitamin C, Ascorbic Acid, Dehydroascorbic Acid, Antioxidant Properties, and Iron Content of Underutilized and Commonly Consumed Fruits in Sri Lanka. Int. J. Food Sci. 2020, 13, 4783029. [Google Scholar] [CrossRef] [PubMed]
- You-Wei, D.; Ling, L.; Nai-Jie, F. Combined Transcriptome and Metabolome Analysis of Alginate Oligosaccharides Alleviating Salt Stress in the Rice Seedling Stage. PREPRINT (Version 1) Available Res. Sq. 2023. [Google Scholar] [CrossRef]
- Ikegaya, A. Composition of free sugars and organic acids in Japanese strawberry cultivars and their influence on the perception of sweetness and sourness. J. Food Sci. 2024, 89, 614–624. [Google Scholar] [CrossRef]
- Mikulic-Petkovsek, M.; Veberic, R.; Hudina, M.; Zorenc, Z.; Koron, D.; Senica, M. Fruit Quality Characteristics and Biochemical Composition of Fully Ripe Blackberries Harvested at Different Times. Foods 2021, 10, 1581. [Google Scholar] [CrossRef] [PubMed]
- Davidson, M.; Louvet, F.; Meudec, E.; Landolt, C.; Grenier, K.; Périno, S.; Ouk, T.-S.; Saad, N. Optimized Single-Step Recovery of Lipophilic and Hydrophilic Compounds from Raspberry, Strawberry and Blackberry Pomaces Using a Simultaneous Ultrasound-Enzyme-Assisted Extraction (UEAE). Antioxidants 2023, 12, 1793. [Google Scholar] [CrossRef]
- Nayak, B.; Dahmoune, F.; Moussi, K.; Remini, H.; Dairi, S.; Aoun, O.; Khodir, M. Comparison of microwave, ultrasound and accelerated-assisted solvent extraction for recovery of polyphenols from Citrus sinensis peels. Food Chem. 2015, 15, 507–516. [Google Scholar] [CrossRef] [PubMed]
- Chaachouay, N.; Zidane, L. Plant-Derived Natural Products: A Source for Drug Discovery and Development. Drugs Drug Candidates 2024, 3, 184–207. [Google Scholar] [CrossRef]
- Chen, H.; Li, Y.; Wang, J.; Zheng, T.; Wu, C.; Cui, M.; Feng, Y.; Ye, H.; Dong, Z.; Dang, Y. Plant Polyphenols Attenuate DSS-induced Ulcerative Colitis in Mice via Antioxidation, Anti-inflammation and Microbiota Regulation. Int. J. Mol. Sci. 2023, 24, 10828. [Google Scholar] [CrossRef] [PubMed]
- Sungmun, L. Influence of pH on the Cytotoxic Activity of Organic Acids against Breast Cancer Cells. preprint 2024. [Google Scholar] [CrossRef]
- Morin, P.; Howard, L.; Tipton, J. Blackberry phenolic and volatile extracts inhibit cytokine secretion in LPS-inflamed RAW264.7 cells. J. Food Bioact. 2021, 16, 34–47. [Google Scholar] [CrossRef]
- Alzaid, F.; Cheung, H.M.; Preedy, V.R.; Sharp, P.A. Regulation of Glucose Transporter Expression in Human Intestinal Caco-2 Cells following Exposure to an Anthocyanin-Rich Berry Extract. Public Libr. Sci. 2013, 8, e78932. [Google Scholar] [CrossRef] [PubMed]
- Çınar, M.A.; Karabağ, D.D.F. Investigation of ellagic acid in human colon cancer cells. Uşak Üniversitesi Fen Ve Doğa Bilim. Derg. 2023, 7, 72–81. [Google Scholar] [CrossRef]
- Wang, H.; Zhang, Y.; Tian, Z.; Ma, J.; Kang, M.; Ding, C.; Ming, D. Preparation of β-CD-Ellagic Acid Microspheres and Their Effects on HepG2 Cell Proliferation. Molecules 2017, 22, 2175. [Google Scholar] [CrossRef] [PubMed]
- Figueiras Abdala, A.; Mendoza, N.; Valadez Bustos, N.; Máximo Escamilla Silva, E. Antioxidant capacity analysis of blackberry extracts with different phytochemical compositions and optimization of their ultrasound assisted extraction. Plant Foods Hum. Nutr. 2017, 72, 258–265. [Google Scholar] [CrossRef] [PubMed]
- Pap, N.; Fidelis, M.; Azevedo, L.; do Carmo, M.A.V.; Wang, D.; Mocan, A.; Pereira, E.P.R.; Xavier-Santos, D.; Sant’Ana, A.S.; Yang, B. Berry polyphenols and human health: Evidence of antioxidant, anti-inflammatory, microbiota modulation, and cell-protecting effects. Curr. Opin. Food Sci. 2021, 42, 167–186. [Google Scholar] [CrossRef]
- Tatar, M.; Bagheri, Z.; Varedi, M.; Naghibalhossaini, F. Blackberry Extract Inhibits Telomerase Activity in Human Colorectal Cancer Cells. Nutr. Cancer 2018, 71, 461–471. [Google Scholar] [CrossRef] [PubMed]
- Yu, J. Application of an Ultrafine Shearing Method for the Extraction of C-Phycocyanin from Spirulina platensis. Molecules 2017, 22, 2023. [Google Scholar] [CrossRef] [PubMed]
- Sabaragamuwa, R.; Perera, C.O. Total Triterpenes, Polyphenols, Flavonoids, and Antioxidant Activity of Bioactive Phytochemicals of Centella asiatica by Different Extraction Techniques. Foods 2023, 12, 3972. [Google Scholar] [CrossRef]
- Ameer, K.; Shahbaz, H.M.; Kwon, J.-H. Green Extraction Methods for Polyphenols from Plant Matrices and Their By products: A Review. Compr. Rev. Food Sci. Food Saf. 2017, 16, 295–315. [Google Scholar] [CrossRef] [PubMed]
- Ivanovic, J.; Tadic, V.; Dimitrijevic, S.; Stamenic, M.; Petrovic, S.; Zizovic, I. Antioxidant properties of the anthocyanin-containing ultrasonic extract from blackberry cultivar “Čačanska Bestrna”. Ind. Crops Prod. 2014, 53, 274–281. [Google Scholar] [CrossRef]
- Lee, J.; Durst, R.W.; Wrolstad, R.E. Determination of Total Monomeric Anthocyanin Pigment Content of Fruit Juices, Beverages, Natural Colorants, and Wines by the pH Differential Method: Collaborative Study. J. AOAC Int. 2005, 88, 1269–1278. [Google Scholar] [CrossRef]
- Albert, C.; Codină, G.G.; Héjja, M.; András, C.D.; Chetrariu, A.; Dabija, A. Study of Antioxidant Activity of Garden Blackberries (Rubus fruticosus L.) Extracts Obtained with Different Extraction Solvents. Appl. Sci. 2022, 12, 4004. [Google Scholar] [CrossRef]
- Głowacka, A.; Rozpara, E.; Hallmann, E. The dynamic of polyphenols concentrations in organic and conventional sour cherry fruits: Results of a 4-year field study. Molecules 2020, 25, 3729. [Google Scholar] [CrossRef] [PubMed]
- Xie, R.; Tu, M.; Wu, Y.; Adhikari, S. Improvement in HPLC separation of acetic acid and levulinic acid in the profiling of biomass hydrolysate. Bioresour. Technol. 2011, 102, 4938–4942. [Google Scholar] [CrossRef]
- Urbonavičienė, D.; Bobinas, Č.; Bobinaitė, R.; Raudonė, L.; Trumbeckaitė, S.; Viškelis, J.; Viškelis, P. Composition and Antioxidant Activity, Supercritical Carbon Dioxide Extraction Extracts, and Residue after Extraction of Biologically Active Compounds from Freeze-Dried Tomato Matrix. Processes 2021, 9, 467. [Google Scholar] [CrossRef]
- Jabłońska-Trypuć, A.; Wydro, U.; Wołejko, E.; Kalinowska, M.; Świderski, G.; Krętowski, R.; Naumowicz, M.; Kondzior, P.; Cechowska-Pasko, M.; Lewandowski, W. The Influence of Mesotrione on Human Colorectal Adenocarcinoma Cells and Possibility of Its Toxicity Mitigation by Cichoric Acid. Int. J. Mol. Sci. 2024, 25, 5655. [Google Scholar] [CrossRef] [PubMed]
- Carmichael, J.; DeGraff, W.G.; Gazdar, A.F.; Minna, J.D.; Mitchell, J.B. Evaluation of a Tetrazolium-based Semiautomated Colorimetric Assay: Assessment of Chemosensitivity Testing. Cancer Res. 1987, 47, 936–942. [Google Scholar] [PubMed]

| Cultivar | ‘Polar’ | ’Orkan’ | ‘Brzezina’ | p Value | ||||||||
|---|---|---|---|---|---|---|---|---|---|---|---|---|
| Name/Extraction Method | MAE | UAE | MAE+UAE | MAE | UAE | MAE+UAE | MAE | UAE | MAE+UAE | Cultivar | Extraction Method | Cultivar x Extraction Method |
| mg 100 g−1 | ||||||||||||
| TPC | 3274.10 ± 400.92 bc | 3535.14 ± 85.82 ab | 3376.97 ± 396.11 abc | 3327.59 ± 192.04 abc | 3694.25 ± 51.23 a | 2242.69 ± 98.27 d | 3438.41 ± 231.89 abc | 2032.75 ± 188.10 d | 3072.96 ± 229.82 c | 0.0001 | 0.0001 | 0.0001 |
| TAC | 78.56 ± 5.69 e | 115.54 ± 4.49 b | 93.15 ± 4.53 cd | 97.22 ± 2.28 c | 111.30 ± 5.64 b | 85.46 ± 2.97 de | 129.91 ± 3.60 a | 91.66 ± 2.0 cd | 88.53 ± 7.16 d | 0.0001 | 0.0001 | 0.0001 |
| TFC | 187.39 ± 3.54 d | 239.88 ± 41.55 a | 185.62 ± 0.75 d | 197.64 ± 3.06 cd | 200.11 ± 0.92 bcd | 226.08 ± 13.47 ab | 187.79 ± 1.55 d | 93.53 ± 3.50 e | 219.14 ± 21.51 abc | 0.0001 | 0.0001 | 0.0001 |
| µmol TE g−1 | ||||||||||||
| DPPH• | 71.46 ± 12.33 a | 66.73 ± 11.26 a | 77.43 ± 15.35 a | 84.86 ± 17.58 a | 85.86 ± 14.37 a | 76.43 ± 10.51 a | 82.00 ± 13.90 a | 74.33 ± 12.70 a | 84.53 ± 15.12 a | 0.2600 | 0.7989 | 0.7068 |
| ABTS•+ | 286.16 ± 36.35 ab | 303.80 ± 17.96 a | 223.70 ± 28.93 de | 195.23 ± 21.45 ef | 171.16 ± 7.14 f | 261.63 ± 29.54 bcd | 236.00 ± 22.90 cde | 270.85 ± 13.63 abc | 197.68 ± 23.66 ef | 0.0001 | 0.2048 | 0.0001 |
| Cultivar | ‘Polar‘ | ‘Orkan’ | ‘Brzezina’ | ||||||
|---|---|---|---|---|---|---|---|---|---|
| Name/Extraction Method | MAE | UAE | MAE+UAE | MAE | UAE | MAE+UAE | MAE | UAE | MAE+UAE |
| Flavonoids | |||||||||
| Epigallocatechin | 0.244 ± 0.008 d | 5.241 ± 0.379 b | 3.715 ± 0.545 c | 0.365 ± 0.053 d | 0.575 ± 0.029 d | 7.834 ± 0.124 a | 0.361 ± 0.008 d | 0.308 ± 0.009 d | 8.183 ± 0.599 a |
| Catechin | 0.560 ± 0.014 c | 1.096 ± 0.040 b | 0.546 ± 0.050 c | 0.192 ± 0.008 e | 0.044 ± 0.001 f | 2.146 ± 0.073 a | 0.469 ± 0.010 d | 0.113 ± 0.006 f | 0.529 ± 0.082 cd |
| Epigallocatechin gallate | 0.005 ± 0.000 de | 0.009 ± 0.000 a | 0.005 ± 0.000 d | 0.005 ± 0.001 de | 0.007 ± 0.000 b | 0.005 ± 0.000 d | 0.007 ± 0.000 c | 0.005 ± 0.000 e | 0.006 ± 0.000 d |
| Quercetin-3-O-rutinoside | 0.155 ± 0.007 cd | 0.219 ± 0.005 a | 0.019 ± 0.003 b | 0.155 ± 0.001 cd | 0.145 ± 0.010 de | 0.134 ± 0.010 e | 0.072 ± 0.007 f | 0.049 ± 0.001 g | 0.168 ± 0.015 c |
| Kaempferol-3-O-glucoside | 0.024 ± 0.001 b | 0.007 ± 0.001 d | 0.013 ± 0.001 c | 0.024 ± 0.000 a | 0.006 ± 0.001 e | 0.006 ± 0.000 e | 0.009 ± 0.001 d | 0.009 ± 0.001 d | 0.006 ± 0.000 e |
| Myricetin | 0.006 ± 0.000 de | 0.007 ± 0.001 cde | 0.006 ± 0.000 e | 0.011 ± 0.000 a | 0.007 ± 0.000 cde | 0.008 ± 0.000 bc | 0.003 ± 0.000 f | 0.008 ± 0.001 b | 0.007 ± 0.001 bcd |
| Quercetin | 0.004 ± 0.000 b | 0.003 ± 0.000 c | 0.003 ± 0.000 c | 0.003 ± 0.000 c | 0.003 ± 0.000 cd | 0.003 ± 0.000 c | 0.005 ± 0.000 a | 0.005 ± 0.001 a | 0.003 ± 0.000 d |
| Kaempferol | 0.005 ± 0.001 e | 0.047 ± 0.004 c | 0.035 ± 0.002 d | 0.004 ± 0.000 e | 0.136 ± 0.003 a | 0.113 ± 0.007 b | 0.005 ± 0.000 e | 0.034 ± 0.001 d | 0.032 ± 0.003 d |
| Quercetin-3-O-glucoside | 0.011 ± 0.000 c | 0.022 ± 0.002 a | 0.011 ± 0.000 c | 0.011 ± 0.000 c | 0.016 ± 0.002 b | 0.015 ± 0.004 b | 0.015 ± 0.000 b | 0.014 ± 0.001 bc | 0.014 ± 0.002 bc |
| Phenolic acids | |||||||||
| Chlorogenic acid | 0.070 ± 0.001 f | 0.197 ± 0.007 b | 0.240 ± 0.006 a | 0.235 ± 0.006 a | 0.083 ± 0.004 e | 0.142 ± 0.003 d | 0.047 ± 0.005 g | 0.201 ± 0.010 b | 0.155 ± 0.004 c |
| Ellagic acid | 0.036 ± 0.001 c | 0.035 ± 0.001 c | 0.045 ± 0.001 a | 0.036 ± 0.002 c | 0.010 ± 0.001 e | 0.041 ± 0.002 b | 0.011 ± 0.001 de | 0.013 ± 0.000 d | 0.044 ± 0.003 ab |
| p-coumaric acid | 0.638 ± 0.046 ab | 0.321 ± 0.011 c | 0.558 ± 0.001 b | 0.505 ± 0.348 bc | 0.339 ± 0.027 c | 0.555 ± 0.013 b | 0.009 ± 0.000 d | 0.776 ± 0.044 a | 0.503 ± 0.005 bc |
| Anthocyanins | |||||||||
| Cyanidin-3-O-glucoside | 2.18 ± 0.02 f | 1.76 ± 0.01 g | 2.52 ± 0.01 d | 2.72 ± 0.05 b | 2.65 ± 0.01 c | 2.54 ± 0.00 d | 2.62 ± 0.01 c | 2.42 ± 0.01 e | 2.99 ± 0.01 a |
| Cyanidin-3-O-rutinoside | 1.81 ± 0.03 d | 1.55 ± 0.06 e | 2.04 ± 0.02 c | 2.13 ± 0.03 bc | 2.06 ± 0.04 bc | 2.23 ± 0.31 b | 2.17 ± 0.04 bc | 2.01 ± 0.01 c | 2.46 ± 0.01 a |
| Cultivar | ‘Polar’ | ‘Orkan’ | ‘Brzezina’ | p Value | ||||||||
|---|---|---|---|---|---|---|---|---|---|---|---|---|
| Name/Extraction Method | MAE | UAE | MAE+ UAE | MAE | UAE | MAE+UAE | MAE | UAE | MAE+UAE | Extraction Method | Cultivar | Extraction Method x Cultivar |
| Organic acids | ||||||||||||
| Dehydroascorbic acid | 2.42 ± 0.04 c | 2.49 ± 0.00 b | 2.77 ± 0.02 a | 2.01 ± 0.01 f | 2.19 ± 0.00 e | 2.31 ± 0.01 d | 2.76 ± 0.11 a | 2.28 ± 0.06 d | 2.16 ± 0.00 e | 0.0000 | 0.0000 | 0.000 |
| L-ascorbic acid | 0.03 ± 0.1 a | 0.03 ± 0.00 a | 0.02 ± 0.00 b | 0.02 ± 0.00 b | 0.04 ± 0.00 a | 0.04 ± 0.00 a | 0.02 ± 0.00 b | 0.03 ± 0.01 a | 0.02 ± 0.00 b | 0.0040 | 0.0486 | 0.0017 |
| Citric acid | 5.92 ± 0.22 a | 4.80 ± 0.04 b | 4.56 ± 0.00 bc | 3.90 ± 0.00 e | 4.43 ± 0.00 cd | 4.56 ± 0.04 bc | 4.25 ± 0.00 d | 4.37 ± 0.49 cd | 4.13 ± 0.00 de | 0.0187 | 0.0000 | 0.0000 |
| Malic acid | 1.47 ± 0.06 i | 1.98 ± 0.03 c | 1.49 ± 0.02 gh | 1.54 0.01 fg | 2.18 ± 0.02 b | 2.23 ± 0.03 ab | 1.66 ± 0.00 d | 2.26 ± 0.06 a | 1.55 ± 0.00 e | 0.0000 | 0.0000 | 0.000 |
| Total organic acids content | 9.84 ± 0.16 a | 9.31 ± 0.08 b | 8.85 ± 0.05 cd | 7.48 ± 0.03 f | 8.85 ± 0.02 cd | 9.14 ± 0.09 bc | 8.69 ± 0.02 d | 8.95 ± 0.51 cd | 7.87 ± 0.01 e | 0.0000 | 0.0002 | 0.0000 |
| Sugars | ||||||||||||
| Glucose | 5.80 ± 0.28 cd | 4.55 ± 0.31 e | 5.33 ± 0.05 de | 6.36 ± 0.65 bc | 7.15 ± 0.98 b | 8.18 ± 0.95 a | 6.83 ± 0.21 b | 6.85 ± 0.11 b | 5.57 ± 0.20 cd | 0.7613 | 0.0000 | 0.0003 |
| Fructose | 1.62 ± 0.26 bc | 0.26 ± 0.11 d | 0.91± 0.09 cd | 1.40 ± 0.96 bcd | 2.33 ± 1.06 b | 3.53 ± 1.34 a | 2.17 ± 0.18 b | 1.98 ± 0.20 bc | 0.88 ± 0.07 cd | 0.7092 | 0.0007 | 0.0015 |
| Total sugar content | 7.42 ± 0.44 cd | 4.81 ± 0.22 e | 6.24 ± 0.08 de | 7.76 ± 1.60 bcd | 9.48 ± 2.03 b | 11.71 ± 2.30 a | 9.00 ± 0.34 bc | 8.84 ± 0.29 bc | 6.45 ± 0.14 de | 0.0000 | 0.7215 | 0.0006 |
Disclaimer/Publisher’s Note: The statements, opinions and data contained in all publications are solely those of the individual author(s) and contributor(s) and not of MDPI and/or the editor(s). MDPI and/or the editor(s) disclaim responsibility for any injury to people or property resulting from any ideas, methods, instructions or products referred to in the content. |
© 2025 by the authors. Licensee MDPI, Basel, Switzerland. This article is an open access article distributed under the terms and conditions of the Creative Commons Attribution (CC BY) license (https://creativecommons.org/licenses/by/4.0/).
Share and Cite
Čechovičienė, I.; Tarasevičienė, Ž.; Hallman, E.; Jabłońska-Trypuć, A.; Česonienė, L.; Šileikienė, D. Ultrasound and Microwave-Assisted Extraction of Blackberry (Rubus fruticosus L.) Pomace: Analysis of Chemical Properties and Anticancer Activity. Plants 2025, 14, 384. https://doi.org/10.3390/plants14030384
Čechovičienė I, Tarasevičienė Ž, Hallman E, Jabłońska-Trypuć A, Česonienė L, Šileikienė D. Ultrasound and Microwave-Assisted Extraction of Blackberry (Rubus fruticosus L.) Pomace: Analysis of Chemical Properties and Anticancer Activity. Plants. 2025; 14(3):384. https://doi.org/10.3390/plants14030384
Chicago/Turabian StyleČechovičienė, Indrė, Živilė Tarasevičienė, Ewelina Hallman, Agata Jabłońska-Trypuć, Laima Česonienė, and Daiva Šileikienė. 2025. "Ultrasound and Microwave-Assisted Extraction of Blackberry (Rubus fruticosus L.) Pomace: Analysis of Chemical Properties and Anticancer Activity" Plants 14, no. 3: 384. https://doi.org/10.3390/plants14030384
APA StyleČechovičienė, I., Tarasevičienė, Ž., Hallman, E., Jabłońska-Trypuć, A., Česonienė, L., & Šileikienė, D. (2025). Ultrasound and Microwave-Assisted Extraction of Blackberry (Rubus fruticosus L.) Pomace: Analysis of Chemical Properties and Anticancer Activity. Plants, 14(3), 384. https://doi.org/10.3390/plants14030384

