Absorptive Roots Prioritize Chemical over Morphological Investment Under Litter Addition in a Qinling Pine–Oak Mixed Forest
Abstract
1. Introduction
2. Results
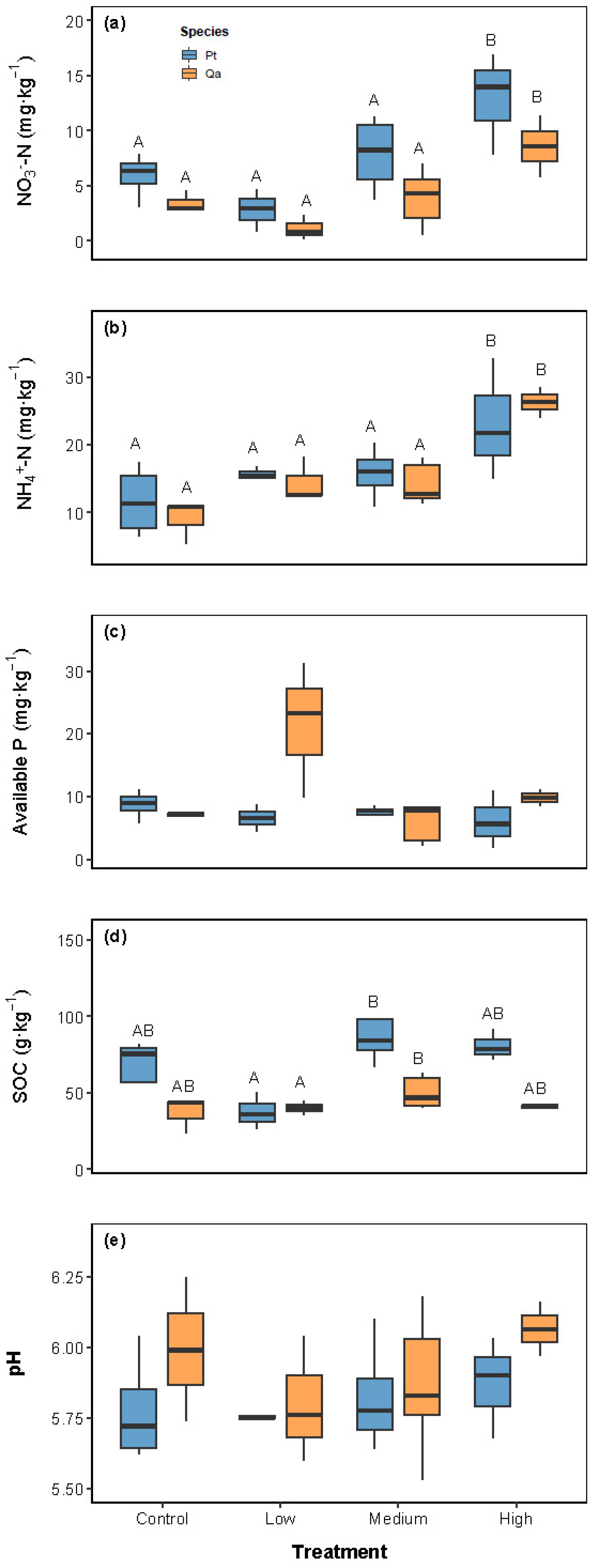
2.1. Soil Nutrient Pool Under Litter Addition
2.2. Response of Root Trait to Litter Addition
2.3. Multivariate Response of Root Trait Syndrome
3. Discussion
3.1. Litter Addition-Induced Shifts in Soil Nutrient Availability
3.2. Asymmetric Trait Response in Absorptive Roots to Soil Nutrients
3.3. Ecological Implications
3.4. Limitations and Future Perspectives
4. Materials and Methods
4.1. Study Area
4.2. Litter Addition Treatments and Experimental Design
4.3. Sampling and Measurements
4.3.1. Fine Root Indicator Determination
4.3.2. Soil Indicator Determination
4.4. Statistical Analyses
5. Conclusions
Supplementary Materials
Author Contributions
Funding
Data Availability Statement
Acknowledgments
Conflicts of Interest
References
- FAO. The State of the World’s Forests 2024: Forest-Sector Innovations Towards a More Sustainable Future; Food and Agriculture Organization of the United Nations: Rome, Italy, 2024. [Google Scholar]
- Warner, E.; Cook-Patton, S.C.; Lewis, O.T.; Brown, N.; Koricheva, J.; Eisenhauer, N.; Ferlian, O.; Gravel, D.; Hall, J.S.; Jactel, H.; et al. Young mixed planted forests store more carbon than monocultures—A meta-analysis. Front. For. Glob. Change 2023, 6, 1226514. [Google Scholar] [CrossRef]
- Yu, Z.; Wang, K.; Li, J.; Shangguan, Z.; Deng, L. Mixed plantations have more soil carbon sequestration benefits than pure plantations in China. For. Ecol. Manag. 2023, 529, 120654. [Google Scholar] [CrossRef]
- Guo, J.; Kneeshaw, D.; Peng, C.; Wu, Y.; Feng, L.; Qu, X.; Wang, W.; Pan, C.; Feng, H. Positive effects of species mixing on biodiversity of understory plant communities and soil health in forest plantations. Proc. Natl. Acad. Sci. USA 2025, 122, e2418090122. [Google Scholar] [CrossRef] [PubMed]
- Zhou, T.; Wang, C.; Zhou, Z. Nitrogen availability regulates tree mixture effects on soil organic carbon in temperate forests: Insights from a meta-analysis and long-term experiment. Glob. Ecol. Biogeogr. 2025, 34, e70073. [Google Scholar] [CrossRef]
- Gholz, H.L.; Wedin, D.A.; Smitherman, S.M.; Harmon, M.E.; Parton, W.J. Long-term dynamics of pine and hardwood litter in contrasting environments: Toward a global model of decomposition. Glob. Change Biol. 2000, 6, 751–765. [Google Scholar] [CrossRef]
- Bonanomi, G.; Incerti, G.; Antignani, V.; Capodilupo, M.; Mazzoleni, S. Decomposition and nutrient dynamics in mixed litter of Mediterranean species. Plant Soil 2010, 331, 481–496. [Google Scholar] [CrossRef]
- Allaire, S.E.; Roulier, S.; Cessna, A.J. Quantifying preferential flow in soils: A review of different techniques. J. Hydrol. 2009, 378, 179–204. [Google Scholar] [CrossRef]
- Norby, R.J.; Jackdon, R. Root dynamics and global change: Seeking an ecosystem perspective. New Phytol. 2000, 147, 3–12. [Google Scholar] [CrossRef]
- Lu, J.; Turkington, R.; Zhou, Z.-k. The effects of litter quantity and quality on soil nutrients and litter invertebrates in the understory of two forests in southern China. Plant Ecol. 2016, 217, 1415–1428. [Google Scholar] [CrossRef]
- Sauvadet, M.; Chauvat, M.; Fanin, N.; Coulibaly, S.; Bertrand, I. Comparing the effects of litter quantity and quality on soil biota structure and functioning: Application to a cultivated soil in Northern France. Appl. Soil Ecol. 2016, 107, 261–271. [Google Scholar] [CrossRef]
- Ge, X.; Wang, C.; Wang, L.; Zhou, B.; Cao, Y.; Xiao, W.; Li, M.-H. Drought changes litter quantity and quality, and soil microbial activities to affect soil nutrients in moso bamboo forest. Sci. Total Environ. 2022, 838, 156351. [Google Scholar] [CrossRef] [PubMed]
- Xiao, R.; Man, X.; Duan, B.; Cai, T. Short-term litter manipulations have strong impact on soil nitrogen dynamics in Larix gmelinii forest of Northeast China. Forests 2020, 11, 1205. [Google Scholar] [CrossRef]
- Yan, W.D.; Farooq, T.H.; Chen, Y.; Wang, W.C.; Shabbir, R.; Kumar, U.; Riaz, M.U.; Alotaibi, S.S.; Peng, Y.Y.; Chen, X.Y. Soil nitrogen transformation process influenced by litterfall manipulation in two subtropical forest types. Front. Plant Sci. 2022, 13, 923410. [Google Scholar] [CrossRef] [PubMed]
- Wang, J.; Cao, M.; Yves, U.; Chen, M.; Cheng, Y.; Lin, Z.; Zheng, R. Changes in soil pH and nutrient stoichiometry alter the effects of litter addition on soil nitrogen transformations and nitrous oxide emissions. Plant Soil 2025, 512, 1349–1366. [Google Scholar] [CrossRef]
- García-Palacios, P.; Maestre, F.T.; Bardgett, R.D.; de Kroon, H. Plant responses to soil heterogeneity and global environmental change. J. Ecol. 2012, 100, 1303–1314. [Google Scholar] [CrossRef]
- Hutchings, M.J.; de Kroon, H. Foraging in plants: The role of morphological plasticity in resource acquisition. In Advances in Ecological Research; Begon, M., Fitter, A.H., Eds.; Academic Press: Cambridge, MA, USA, 1994; Volume 25, pp. 159–238. [Google Scholar]
- Reich, P.B. The world-wide ‘fast–slow’ plant economics spectrum: A traits manifesto. J. Ecol. 2014, 102, 275–301. [Google Scholar] [CrossRef]
- Matthus, E.; Zwetsloot, M.; Delory, B.M.; Hennecke, J.; Andraczek, K.; Henning, T.; Mommer, L.; Weigelt, A.; Bergmann, J. Revisiting the root economics space—Its applications, extensions and nuances advance our understanding of fine-root functioning. Plant Soil 2025, 514, 1–27. [Google Scholar] [CrossRef]
- Ostonen, I.; Truu, M.; Helmisaari, H.-S.; Lukac, M.; Borken, W.; Vanguelova, E.; Godbold, D.L.; Lõhmus, K.; Zang, U.; Tedersoo, L.; et al. Adaptive root foraging strategies along a boreal–temperate forest gradient. New Phytol. 2017, 215, 977–991. [Google Scholar] [CrossRef]
- Weemstra, M.; Mommer, L.; Visser, E.J.W.; van Ruijven, J.; Kuyper, T.W.; Mohren, G.M.J.; Sterck, F.J. Towards a multidimensional root trait framework: A tree root review. New Phytol. 2016, 211, 1159–1169. [Google Scholar] [CrossRef]
- Defrenne, C.E.; McCormack, M.L.; Roach, W.J.; Addo-Danso, S.D.; Simard, S.W. Intraspecific fine-root trait-environment relationships across interior Douglas-fir forests of Western Canada. Plants 2019, 8, 199. [Google Scholar] [CrossRef]
- Wang, D.N.; Freschet, G.T.; McCormack, M.L.; Lambers, H.; Gu, J.C. Nutrient resorption of leaves and roots coordinates with root nutrient-acquisition strategies in a temperate forest. New Phytol. 2025, 246, 515–527. [Google Scholar] [CrossRef]
- Ma, Z.Q.; Guo, D.L.; Xu, X.L.; Lu, M.Z.; Bardgett, R.D.; Eissenstat, D.M.; McCormack, M.L.; Hedin, L.O. Evolutionary history resolves global organization of root functional traits. Nature 2018, 555, 94–97. [Google Scholar] [CrossRef] [PubMed]
- Liao, Y.C.; Fan, H.B.; Wei, X.H.; Wang, H.M.; Shen, F.F.; Hu, L.; Li, Y.Y.; Fang, H.Y.; Huang, R.Z. Shifting of the first-order root foraging strategies of Chinese fir (Cunninghamia lanceolata) under varied environmental conditions. Trees-Struct. Funct. 2023, 37, 921–932. [Google Scholar] [CrossRef]
- Cahill, J.F.; McNickle, G.G. The behavioral ecology of nutrient foraging by plants. Annu. Rev. Ecol. Evol. Syst. 2011, 42, 289–311. [Google Scholar] [CrossRef]
- Reichert, T.; Rammig, A.; Fuchslueger, L.; Lugli, L.F.; Quesada, C.A.; Fleischer, K. Plant phosphorus-use and -acquisition strategies in Amazonia. New Phytol. 2022, 234, 1126–1143. [Google Scholar] [CrossRef]
- Huang, Y.Z.; Ji, Z.; Tao, Y.J.; Wei, S.X.; Jiao, W.; Fang, Y.Z.; Jian, P.; Shen, C.B.; Qin, Y.J.; Zhang, S.Y.; et al. Improving rice nitrogen-use efficiency by modulating a novel monouniquitination machinery for optimal root plasticity response to nitrogen. Nat. Plants 2023, 9, 1902–1914. [Google Scholar] [CrossRef]
- Deng, M.; Li, B.J.; Pan, Y.M.; Chen, W.C.; He, T.Y.; Rong, J.D.; Chen, L.G.; Zheng, Y.S. Effects of different heterogeneous nutrient environments on the growth and activities of enzymes in the roots of Fokienia hodginsii families. Plants 2023, 12, 4152. [Google Scholar] [CrossRef]
- Freschet, G.T.; Cornwell, W.K.; Wardle, D.A.; Elumeeva, T.G.; Liu, W.D.; Jackson, B.G.; Onipchenko, V.G.; Soudzilovskaia, N.A.; Tao, J.P.; Cornelissen, J.H.C. Linking litter decomposition of above- and below-ground organs to plant-soil feedbacks worldwide. J. Ecol. 2013, 101, 943–952. [Google Scholar] [CrossRef]
- Murúa, J.M.; Gaxiola, A. Variability in terrestrial litter decomposition can be explained by nutrient allocation strategies among soil decomposer communities. Funct. Ecol. 2023, 37, 1642–1652. [Google Scholar] [CrossRef]
- Wu, X.; Li, H.; Rengel, Z.; Whalley, W.R.; Li, H.; Zhang, F.; Shen, J.; Jin, K. Localized nutrient supply can facilitate root proliferation and increase nitrogen-use efficiency in compacted soil. Soil Till. Res. 2022, 215, 105198. [Google Scholar] [CrossRef]
- Ferrieri, A.P.; Machado, R.A.R.; Arce, C.C.M.; Kessler, D.; Baldwin, I.T.; Erb, M. Localized micronutrient patches induce lateral root foraging and chemotropism in Nicotiana attenuata. J. Integr. Plant Biol. 2017, 59, 759–771. [Google Scholar] [CrossRef] [PubMed]
- Giehl, R.F.H.; von Wirén, N. Root Nutrient Foraging. Plant Physiol. 2014, 166, 509–517. [Google Scholar] [CrossRef] [PubMed]
- Delpiano, C.A.; Prieto, I.; Loayza, A.P.; Carvajal, D.E.; Squeo, F.A. Different responses of leaf and root traits to changes in soil nutrient availability do not converge into a community-level plant economics spectrum. Plant Soil 2020, 450, 463–478. [Google Scholar] [CrossRef]
- Liu, R.; Huang, Z.; McCormack, M.L.; Zhou, X.; Wan, X.; Yu, Z.; Wang, M.; Zheng, L. Plasticity of fine-root functional traits in the litter layer in response to nitrogen addition in a subtropical forest plantation. Plant Soil 2017, 415, 317–330. [Google Scholar] [CrossRef]
- Yang, Z.; Zhou, B.; Ge, X.; Cao, Y.; Brunner, I.; Shi, J.; Li, M.-H. Species-specific responses of root morphology of three co-existing tree species to nutrient patches reflect their root foraging strategies. Front. Plant Sci. 2021, 11, 618222. [Google Scholar] [CrossRef] [PubMed]
- Pan, F.J.; Liang, Y.M.; Wang, K.L.; Zhang, W. Responses of Fine Root Functional Traits to Soil Nutrient Limitations in a Karst Ecosystem of Southwest China. Forests 2018, 9, 743. [Google Scholar] [CrossRef]
- Zhu, L.Q.; Sun, J.; Yao, X.D.; Wang, X.H.; Huang, J.X.; Xiong, D.C.; Chen, G.S. Fine root nutrient foraging ability in relation to carbon availability along a chronosequence of Chinese fir plantations. For. Ecol. Manag. 2022, 507, 120003. [Google Scholar] [CrossRef]
- Wang, P.; Mou, P.; Hu, L.Y.; Hu, S.J. Effects of nutrient heterogeneity on root foraging and plant growth at the individual and community level. J. Exp. Bot. 2022, 73, 7503–7515. [Google Scholar] [CrossRef]
- Kong, D.L.; Wang, J.J.; Wu, H.F.; Valverde-Barrantes, O.J.; Wang, R.L.; Zeng, H.; Kardol, P.; Zhang, H.Y.; Feng, Y.L. Nonlinearity of root trait relationships and the root economics spectrum. Nat. Commun. 2019, 10, 2203. [Google Scholar] [CrossRef]
- Berkelhammer, M.; Drewniak, B.; Ahlswede, B.; Gonzalez-Meler, M.A. Root Foraging Alters Global Patterns of Ecosystem Legacy from Climate Perturbations. J. Geophys. Res.-Biogeosciences 2022, 127, e2021JG006612. [Google Scholar] [CrossRef]
- Jiang, Q.; Jia, L.Q.; Chen, W.L.; Zheng, Z.Y.; Lin, C.F.; Zhu, L.Q.; Wang, X.H.; Yao, X.D.; Tissue, D.; Robinson, D.; et al. Complementary foraging of roots and mycorrhizal fungi among nutrient patch types in four subtropical monospecific broadleaved tree plantations. New Phytol. 2025, 247, 1401–1414. [Google Scholar] [CrossRef]
- Cantó, C.D.; Simonin, M.; King, E.; Moulin, L.; Bennett, M.J.; Castrillo, G.; Laplaze, L. An extended root phenotype: The rhizosphere, its formation and impacts on plant fitness. Plant J. 2020, 103, 951–964. [Google Scholar] [CrossRef]
- Han, M.G.; Chen, Y.; Sun, L.J.; Yu, M.; Li, R.; Li, S.F.; Su, J.R.; Zhu, B. Linking rhizosphere soil microbial activity and plant resource acquisition strategy. J. Ecol. 2023, 111, 875–888. [Google Scholar] [CrossRef]
- Pregitzer, K.S. Fine roots of trees—A new perspective. New Phytol. 2002, 154, 267–270. [Google Scholar] [CrossRef] [PubMed]
- Bates, D.; Mächler, M.; Bolker, B.; Walker, S. Fitting linear mixed-effects models using lme4. J. Stat. Softw. 2015, 67, 1–48. [Google Scholar] [CrossRef]
- Oksanen, J.; Simpson, G.; Blanchet, F.; Kindt, R.; Legendre, P.; Minchin, P.; O’Hara, R.; Solymos, P.; Stevens, M.; Szoecs, E.; et al. Vegan: Community Ecology Package. 2025. Available online: https://cran.r-project.org/web/packages/vegan/index.html (accessed on 4 December 2025).




| Soil Variable | Sample Size (n) | Litter Addition | Tree Species | Litter × Species Interaction |
|---|---|---|---|---|
| NO3−-N | 27 | F3, 8.67 = 17.313 *** | F1, 9.22 = 1.490 | F3, 9.22 = 1.581 |
| NH4+-N | 27 | F3, 16.67 = 9.998 *** | F1, 10.62 = 0.094 | F3, 16.67 = 0.443 |
| AP | 27 | F3, 19 = 0.555 | F1, 19 = 0.213 | F3, 19 = 2.448 |
| SOC | 27 | F3, 19 = 5.212 ** | F1, 19 = 2.701 | F3, 19 = 1.830 |
| pH | 27 | F3, 11.73 = 0.214 | F1, 8.57 = 0.767 | F3, 11.73 = 0.105 |
| Trait Type | Trait | Sample Size (n) | Litter Addition | Tree Species | Litter × Species Interaction |
|---|---|---|---|---|---|
| Biomass | Biomass | 139 | F3, 88.34 = 4.307 ** | F1, 10.12 = 0.047 | F3, 88.34 = 1.479 |
| Morphological | Average root diameter | 139 | F3, 89.25 = 1.282 | F1, 10.19 = 0.261 | F3, 89.25 = 0.343 |
| traits | Root tissue density | 139 | F3, 89.05 = 2.430 | F1, 9.49 = 0.242 | F3, 89.05 = 3.279 * |
| Specific root area | 139 | F3, 131 = 0.603 | F1, 131 = 0.030 | F3, 131 = 0.022 | |
| Specific root length | 139 | F3, 131 = 0.770 | F1, 131 = 0.008 | F3, 131 = 0.038 | |
| Chemical traits | Root carbon | 32 | F3, 15.65 = 3.316 * | F1, 10.96 = 0.062 | F3, 15.65 = 4.447 * |
| Root nitrogen | 32 | F3, 17.11 = 4.148 * | F1, 12.03 = 0.021 | F3, 17.11 = 0.0474 |
Disclaimer/Publisher’s Note: The statements, opinions and data contained in all publications are solely those of the individual author(s) and contributor(s) and not of MDPI and/or the editor(s). MDPI and/or the editor(s) disclaim responsibility for any injury to people or property resulting from any ideas, methods, instructions or products referred to in the content. |
© 2025 by the authors. Licensee MDPI, Basel, Switzerland. This article is an open access article distributed under the terms and conditions of the Creative Commons Attribution (CC BY) license (https://creativecommons.org/licenses/by/4.0/).
Share and Cite
Ma, X.; Gong, C.; Yu, S.; Xue, J.; Wang, Q.; Zhou, J.; Wang, W. Absorptive Roots Prioritize Chemical over Morphological Investment Under Litter Addition in a Qinling Pine–Oak Mixed Forest. Plants 2025, 14, 3768. https://doi.org/10.3390/plants14243768
Ma X, Gong C, Yu S, Xue J, Wang Q, Zhou J, Wang W. Absorptive Roots Prioritize Chemical over Morphological Investment Under Litter Addition in a Qinling Pine–Oak Mixed Forest. Plants. 2025; 14(24):3768. https://doi.org/10.3390/plants14243768
Chicago/Turabian StyleMa, Xuehong, Chengling Gong, Shuiqiang Yu, Jianhui Xue, Qian Wang, Jian Zhou, and Weifeng Wang. 2025. "Absorptive Roots Prioritize Chemical over Morphological Investment Under Litter Addition in a Qinling Pine–Oak Mixed Forest" Plants 14, no. 24: 3768. https://doi.org/10.3390/plants14243768
APA StyleMa, X., Gong, C., Yu, S., Xue, J., Wang, Q., Zhou, J., & Wang, W. (2025). Absorptive Roots Prioritize Chemical over Morphological Investment Under Litter Addition in a Qinling Pine–Oak Mixed Forest. Plants, 14(24), 3768. https://doi.org/10.3390/plants14243768

