Meta-Topolin as an Aromatic Cytokinin for In Vitro Propagation of Thymus vulgaris L.
Abstract
1. Introduction
2. Results and Discussion
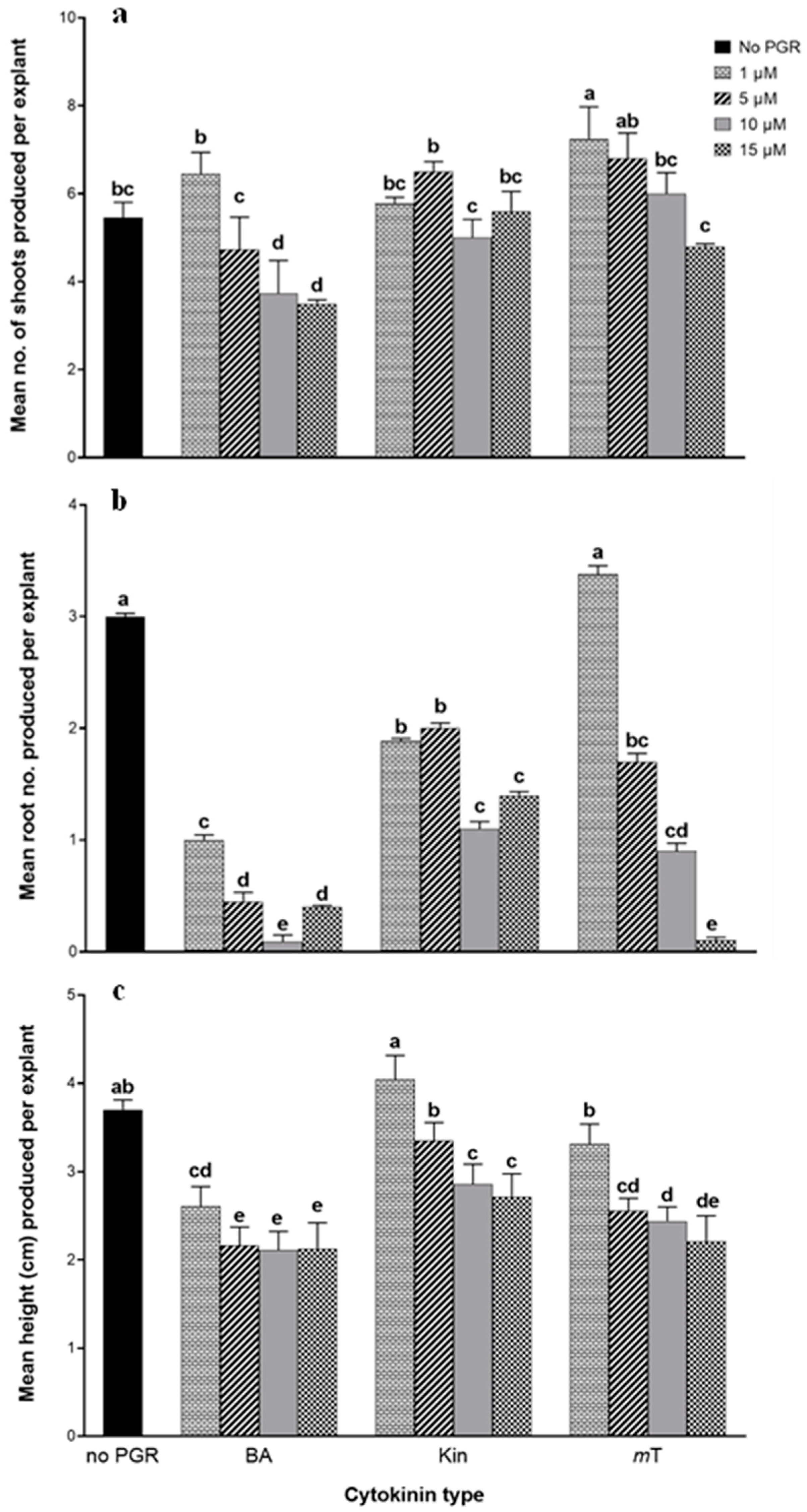
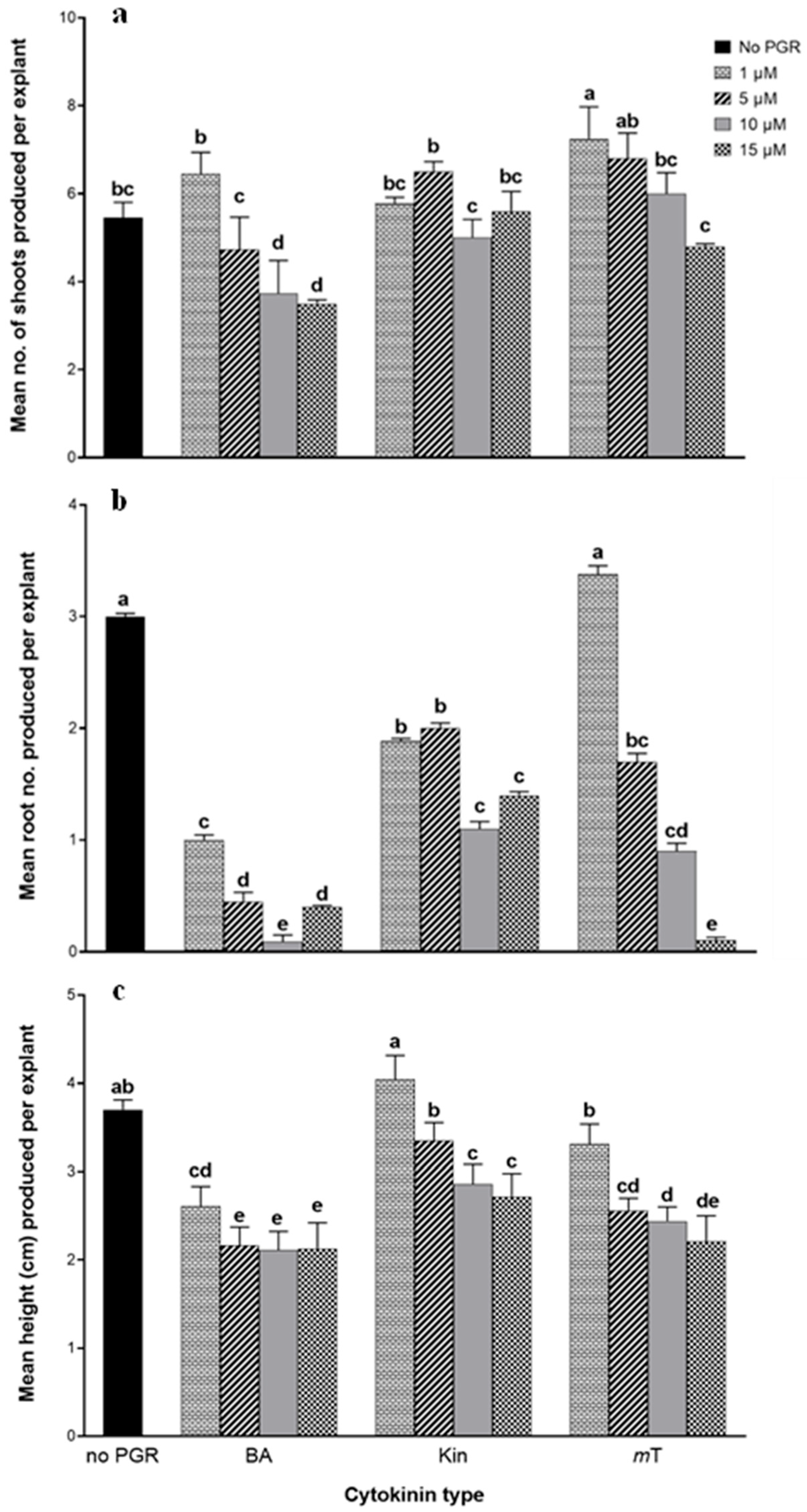
2.1. Influence of Cytokinin Type and Concentration on Shoot Proliferation
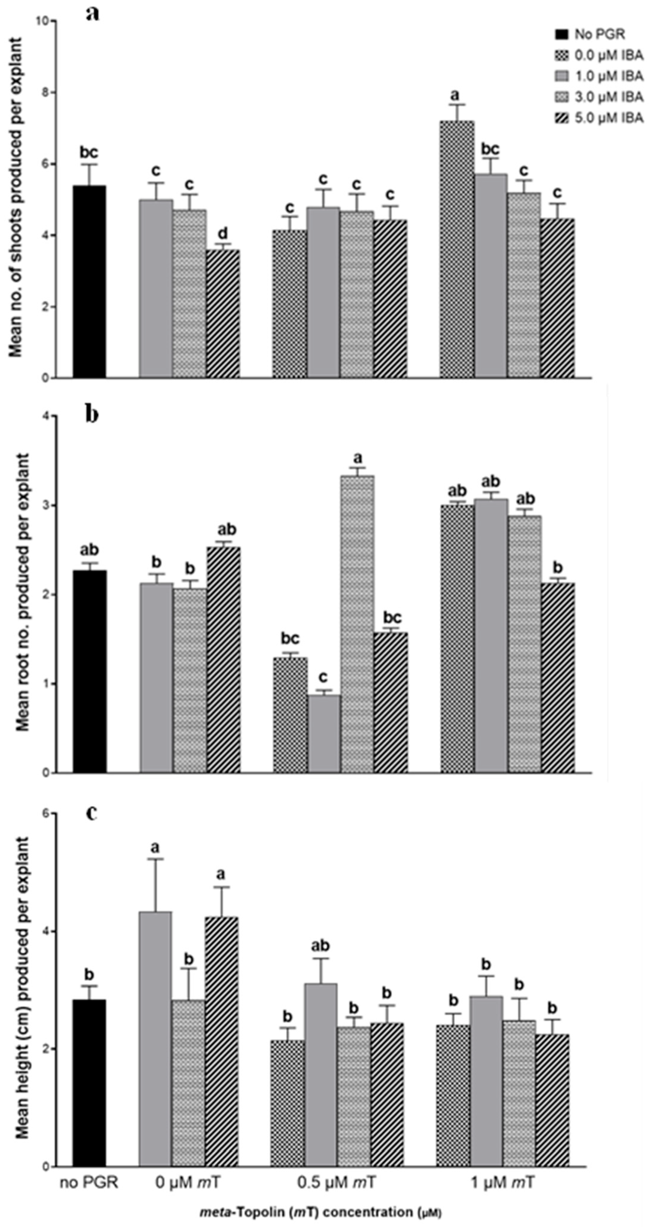
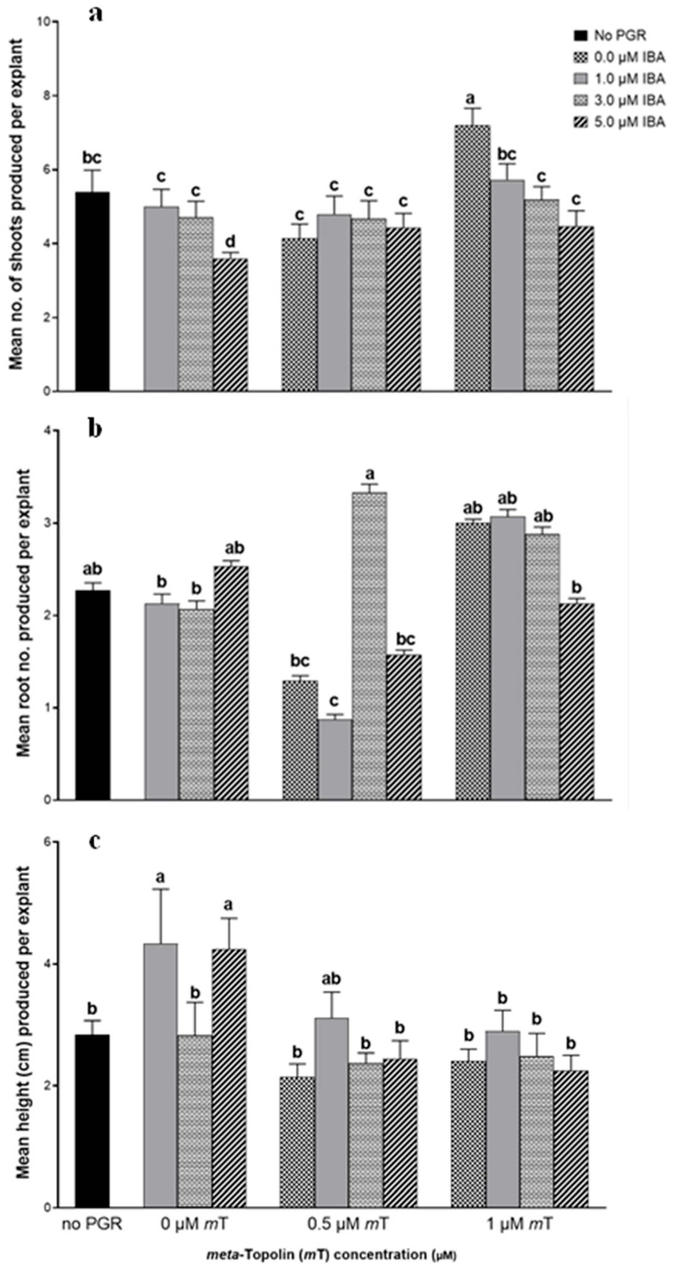
2.2. Influence of the Combination of mT and Indole-Butyric Acid on Shoot Proliferation
2.3. In Vitro Root Induction and Acclimatization
3. Materials and Methods
3.1. Explant Source, Decontamination, and Bulking
3.2. Influence of Cytokinins on Shoot Proliferation
3.3. Influence of the Interaction of mT and Indole-3-Butyric Acid on Shoot Proliferation
3.4. In Vitro Root Induction and Subsequent Acclimatization
3.5. Statistical Analysis
4. Conclusions
Supplementary Materials
Author Contributions
Funding
Data Availability Statement
Acknowledgments
Conflicts of Interest
Abbreviations
| 2iP | 6-(γ,γ-Dimethylallylamino)purine |
| BA | 6-Benzyladenine |
| CK | Cytokinin |
| DMRT | Duncan’s multiple range test |
| IBA | Indole-3-butyric acid |
| Kin | Kinetin |
| MS | Murashige and Skoog |
| mT | Meta-topolin |
| PGR | Plant growth regulator |
| PTC | Plant tissue culture |
| TDZ | Thidiazuron |
References
- George, E.F.; Hall, M.A.; De Klerk, G.J. Plant growth regulators II: Cytokinins, their analogues and antagonists. In Plant Propagation by Tissue Culture; George, E.F., Hall, M.A., De Klerk, G.J., Eds.; Springer: Dordrecht, The Netherlands, 2008; pp. 205–226. [Google Scholar] [CrossRef]
- Amoo, S.O.; Van Staden, J. Influence of plant growth regulators on shoot proliferation and secondary metabolite production in micropropagated Huernia hystrix. Plant Cell Tissue Organ Cult. 2013, 112, 249–256. [Google Scholar] [CrossRef]
- Dauqan, E.M.; Abdullah, A. Medicinal and functional values of thyme (Thymus vulgaris L.) herb. J. Appl. Biol. Biotechnol. 2017, 5, 17–22. [Google Scholar] [CrossRef]
- Jarić, S.; Mitrović, M.; Pavlović, P. Review of ethnobotanical, phytochemical, and pharmacological study of Thymus serpyllum L. Evid. Based Complement. Altern. Med. 2015, 2015, 101978. [Google Scholar] [CrossRef]
- Walasek-Janusz, M.; Papliński, R.; Mysiak, B.; Nurzyńska-Wierdak, R. Phenolic profile and antioxidant activity of extracts from aerial parts of Thymus vulgaris L. and Sideritis scardica Griseb. Appl. Sci. 2025, 15, 3842. [Google Scholar] [CrossRef]
- Nordine, A. Trends in plant tissue culture, production, and secondary metabolites enhancement of medicinal plants: A case study of thyme. Planta 2025, 261, 84. [Google Scholar] [CrossRef]
- Patil, S.M.; Ramu, R.; Shirahatti, P.S.; Shivamallu, C.; Amachawadi, R.G. A systematic review on ethnopharmacology, phytochemistry and pharmacological aspects of Thymus vulgaris Linn. Heliyon 2021, 7, e07054. [Google Scholar] [CrossRef] [PubMed]
- Taher, M.S.; Salloom, Y.F.; Al-Asadi, R.A.U.H.; Al-Mousswi, Z.J.; Alamrani, H.A. The medicinal importance of thyme plant (Thymus vulgaris). Biomedicine 2021, 41, 531–534. [Google Scholar] [CrossRef]
- Singletary, K. Thyme: History, applications, and overview of potential health benefits. Nutr. Today 2016, 51, 40–49. [Google Scholar] [CrossRef]
- Arida, I.A.; Ali, I.H.; Nasr, M.; El-Sherbiny, I.M. Electrospun polymer-based nanofiber scaffolds for skin regeneration. J. Drug Deliv. Sci. Technol. 2021, 64, 102623. [Google Scholar] [CrossRef]
- Gonçalves, N.D.; de Lima Pena, F.; Sartoratto, A.; Derlamelina, C.; Duarte, M.C.T.; Antunes, A.E.C.; Prata, A.S. Encapsulated thyme (Thymus vulgaris) essential oil used as a natural preservative in bakery product. Food Res. Int. 2017, 96, 154–160. [Google Scholar] [CrossRef]
- Karabagias, I.; Badeka, A.; Kontominas, M. Shelf life extension of lamb meat using thyme or oregano essential oils and modified atmosphere packaging. Meat Sci. 2011, 88, 109–116. [Google Scholar] [CrossRef]
- Nieto, G. A review on applications and uses of Thymus in the food industry. Plants 2020, 9, 961. [Google Scholar] [CrossRef]
- Mandal, S.; DebMandal, M. Thyme (Thymus vulgaris L.) oils. In Essential Oils in Food Preservation, Flavor and Safety; Preedy, V.R., Ed.; Academic Press: London, UK, 2016; pp. 825–834. [Google Scholar] [CrossRef]
- Jamiołkowska, A.; Kopacki, M. Natural compounds against plant pests and pathogens. In Natural Remedies for Pest, Disease and Weed Control; Egbuna, C., Sawicka, B., Eds.; Academic Press: London, UK, 2020; pp. 55–63. [Google Scholar] [CrossRef]
- Ana-Maria, R.; Ramona, S. Micropropagation of Thymus vulgaris L., an important medicinal and aromatic plant. J. Hortic. For. Biotechnol. 2020, 24, 6–12. [Google Scholar]
- Murashige, T.; Skoog, F. A revised medium for rapid growth and bio assays with tobacco tissue cultures. Physiol. Plant. 1962, 15, 473–497. [Google Scholar] [CrossRef]
- Furmanowa, M.; Olszowska, O. Micropropagation of thyme (Thymus vulgaris L.). In High-Tech and Micropropagation III. Biotechnology in Agriculture and Forestry; Bajaj, Y.P.S., Ed.; Springer: Berlin/Heidelberg, Germany, 1992; Volume 19, pp. 230–243. [Google Scholar] [CrossRef]
- Nitsch, J.; Nitsch, C. Haploid plants from pollen grains. Science 1969, 163, 85–87. [Google Scholar] [CrossRef] [PubMed]
- Karalija, E.; Paric, A. The effect of BA and IBA on the secondary metabolite production by shoot culture of Thymus vulgaris L. Biol. Nyssana 2011, 2, 29–35. [Google Scholar]
- El-Banna, H. Micropropagation of thyme plant (Thymus vulgaris). J. Plant Prod. 2017, 8, 1221–1227. [Google Scholar] [CrossRef]
- Kulpa, D.; Wesołowska, A.; Jadczak, P. Micropropagation and composition of essentials oils in garden thyme (Thymus vulgaris L.). Not. Bot. Horti Agrobot. Cluj-Napoca 2018, 46, 525–532. [Google Scholar] [CrossRef]
- Tevfik, A.S.; Yegorova, N. Clonal micropropagation of Thymus vulgaris L. in vitro. E3S Web Conf. 2020, 224, 9. [Google Scholar] [CrossRef]
- Aremu, A.O.; Bairu, M.W.; Doležal, K.; Finnie, J.F.; Van Staden, J. Topolins: A panacea to plant tissue culture challenges? Plant Cell Tissue Organ Cult. 2012, 108, 1–16. [Google Scholar] [CrossRef]
- Zaytseva, Y.G.; Ambros, E.V.; Novikova, T.I. Meta-Topolin: Advantages and disadvantages for in vitro propagation. In Meta-Topolin: A Growth Regulator for Plant Biotechnology and Agriculture; Naseem, A., Miroslav, S., Eds.; Springer Nature: Singapore, 2021; pp. 119–141. [Google Scholar] [CrossRef]
- Mabotja, M.B.; Aremu, A.O.; Doležal, K.; Ruzvidzo, O.; Amoo, S.O. Enhancing in vitro propagation of Melissa officinalis L.: Assessing the role of plant growth regulators as a pathway to sustainable production. Ind. Crop. Prod. 2025, 233, 121377. [Google Scholar] [CrossRef]
- Affonso, V.R.; Bizzo, H.R.; Lage, C.L.S.; Sato, A. Influence of growth regulators in biomass production and volatile profile of in vitro plantlets of Thymus vulgaris L. J. Agric. Food Chem. 2009, 57, 6392–6395. [Google Scholar] [CrossRef]
- Spíchal, L.; Rakova, N.Y.; Riefler, M.; Mizuno, T.; Romanov, G.A.; Strnad, M.; Schmülling, T. Two cytokinin receptors of Arabidopsis thaliana, CRE1/AHK4 and AHK3, differ in their ligand specificity in a bacterial assay. Plant Cell Physiol. 2004, 45, 1299–1305. [Google Scholar] [CrossRef]
- Krishna Vrundha, C.P.; Aswathi, N.V.; Thomas, T.D. The role of meta-topolin in Plant morphogenesis in vitro. In Meta-Topolin: A Growth Regulator for Plant Biotechnology and Agriculture; Ahmad, N., Strnad, M., Eds.; Springer: Singapore, 2021; pp. 93–118. [Google Scholar] [CrossRef]
- Ozudogru, E.A.; Kaya, E.; Kirdok, E.; Issever-Ozturk, S. In vitro propagation from young and mature explants of thyme (Thymus vulgaris and T. longicaulis) resulting in genetically stable shoots. Vitr. Cell. Dev. Biol. Plant 2011, 47, 309–320. [Google Scholar] [CrossRef]
- Petrović, M.; Krstić-Milošević, D.; Stanišić, M.; Trajković, M.; Banjac, N. The effect of different cytokinins on in vitro shoot culture of an endemic and endangered Gentianella lutescens subsp. carpatica (Beck) Holub. Plant Cell Tissue Organ Cult. (PCTOC) 2025, 160, 72. [Google Scholar] [CrossRef]
- Shah, S.; Cai, L.; Li, X.; Fahad, S.; Wang, D. Influence of cultivation practices on the metabolism of cytokinin and its correlation in rice production. Food Energy Secur. 2023, 12, e488. [Google Scholar] [CrossRef]
- Erişen, S.; Kurt-Gür, G.; Servi, H. In vitro propagation of Salvia sclarea L. by meta-Topolin, and assessment of genetic stability and secondary metabolite profiling of micropropagated plants. Ind. Crop. Prod. 2020, 157, 112892. [Google Scholar] [CrossRef]
- Howell, S.H.; Lall, S.; Che, P. Cytokinins and shoot development. Trends Plant Sci. 2003, 8, 453–459. [Google Scholar] [CrossRef]
- Azizi, P.; Rafii, M.; Maziah, M.; Abdullah, S.; Hanafi, M.; Latif, M.; Rashid, A.; Sahebi, M. Understanding the shoot apical meristem regulation: A study of the phytohormones, auxin and cytokinin, in rice. Mech. Dev. 2015, 135, 1–15. [Google Scholar] [CrossRef]
- Hnatuszko-Konka, K.; Gerszberg, A.; Weremczuk-Jeżyna, I.; Grzegorczyk-Karolak, I. Cytokinin signaling and de novo shoot organogenesis. Genes 2021, 12, 265. [Google Scholar] [CrossRef] [PubMed]
- Werbrouck, S.P.; Strnad, M.; Van Onckelen, H.A.; Debergh, P.C. Meta-Topolin, an alternative to benzyladenine in tissue culture? Physiol. Plant. 1996, 98, 291–297. [Google Scholar] [CrossRef]
- Bairu, M.W.; Novák, O.; Doležal, K.; Van Staden, J. Changes in endogenous cytokinin profiles in micropropagated Harpagophytum procumbens in relation to shoot-tip necrosis and cytokinin treatments. Plant Growth Regul. 2011, 63, 105–114. [Google Scholar] [CrossRef]
- Escalona, M.; Cejas, I.; Gonzalez-Olmedo, J.; Capote, I.; Roels, S.; Canal, M.; Rodríguez, R.; Sandoval, J.; Debergh, P. The effect of meta-topolin on plantain propagation using a temporary immersion bioreactor. InfoMusa 2003, 12, 28–30. [Google Scholar]
- Valero-Aracama, C.; Kane, M.E.; Wilson, S.B.; Philman, N.L. Substitution of benzyladenine with meta-topolin during shoot multiplication increases acclimatization of difficult-and easy-to-acclimatize sea oats (Uniola paniculata L.) genotypes. Plant Growth Regu. 2010, 60, 43–49. [Google Scholar] [CrossRef]
- Bairu, M.W.; Stirk, W.A.; Dolezal, K.; Van Staden, J. Optimizing the micropropagation protocol for the endangered Aloe polyphylla: Can meta-topolin and its derivatives serve as replacement for benzyladenine and zeatin? Plant Cell Tissue Organ Cult. (PCTOC) 2007, 90, 15–23. [Google Scholar] [CrossRef]
- Holub, J.; Hanuš, J.; Hanke, D.E.; Strnad, M. Biological activity of cytokinins derived from ortho-and meta-hydroxybenzyladenine. Plant Growth Regul. 1998, 26, 109–115. [Google Scholar] [CrossRef]
- Bairu, M.W.; Aremu, A.O.; Van Staden, J. Somaclonal variation in plants: Causes and detection methods. Plant Growth Regul. 2011, 63, 147–173. [Google Scholar] [CrossRef]
- Aremu, A.O.; Plačková, L.; Masondo, N.A.; Amoo, S.O.; Moyo, M.; Novák, O.; Doležal, K.; Van Staden, J. Regulating the regulators: Responses of four plant growth regulators during clonal propagation of Lachenalia montana. Plant Growth Regul. 2017, 82, 305–315. [Google Scholar] [CrossRef]
- Doležal, K.; Bryksová, M. Topolin metabolism and its implications for in vitro plant micropropagation. In Meta-Topolin: A Growth Regulator for Plant Biotechnology and Agriculture; Ahmad, N., Strnad, M., Eds.; Springer: Singapore, 2021; pp. 49–58. [Google Scholar] [CrossRef]
- Coenen, C.; Lomax, T.L. Auxin-cytokinin interactions in higher plants: Old problems and new tools. Trends Plant Sci. 1997, 2, 351–356. [Google Scholar] [CrossRef]
- Nordström, A.; Tarkowski, P.; Tarkowska, D.; Norbaek, R.; Ǻstot, C.; Doležal, K.; Sandberg, G. Auxin regulation of cytokinin biosynthesis in Arabidopsis thaliana: A factor of potential importance for auxin-cytokinin-regulated development. Proc. Natl. Acad. Sci. USA 2004, 101, 8039–8044. [Google Scholar] [CrossRef]
- Fajinmi, O.O.; Amoo, S.O.; Finnie, J.F.; Van Staden, J. Optimization of in vitro propagation of Coleonema album, a highly utilized medicinal and ornamental plant. S. Afr. J. Bot. 2014, 94, 9–13. [Google Scholar] [CrossRef]
- Bhattacharyya, P.; Kumar, V.; Van Staden, J. In vitro encapsulation based short term storage and assessment of genetic homogeneity in regenerated Ansellia africana (Leopard orchid) using gene targeted molecular markers. Plant Cell Tissue Organ Cult. (PCTOC) 2018, 133, 299–310. [Google Scholar] [CrossRef]
- Wu, W.; Du, K.; Kang, X.; Wei, H. The diverse roles of cytokinins in regulating leaf development. Hortic. Res. 2021, 8, 118. [Google Scholar] [CrossRef]
- Arya, A.; Sharma, V.; Tyagi, P.K.; Gola, D.; Husen, A. Role of cytokinins in adventitious root formation. In Environmental, Physiological and Chemical Controls of Adventitious Rooting in Cuttings; Husen, A., Ed.; Academic Press: London, UK, 2022; pp. 239–249. [Google Scholar] [CrossRef]
- Strader, L.C.; Culler, A.H.; Cohen, J.D.; Bartel, B. Conversion of endogenous indole-3-butyric acid to indole-3-acetic acid drives cell expansion in Arabidopsis seedlings. Plant Physiol. 2010, 153, 1577–1586. [Google Scholar] [CrossRef]
- Romanov, G.A. Perception, transduction and crosstalk of auxin and cytokinin signals. Int. J. Mol. Sci. 2022, 23, 13150. [Google Scholar] [CrossRef]
- Zolman, B.K.; Martinez, N.; Millius, A.; Adham, A.R.; Bartel, B. Identification and characterization of Arabidopsis indole-3-butyric acid response mutants defective in novel peroxisomal enzymes. Genetics 2008, 180, 237–251. [Google Scholar] [CrossRef]
- Rademacher, W. Plant growth regulators: Backgrounds and uses in plant production. J. Plant Growth Regul. 2015, 34, 845–872. [Google Scholar] [CrossRef]
- Farman, S.; Mushtaq, A.; Azeem, M.W. Plant growth regulators (PGRs) and their applications: A review. Int. J. Chem. Biochem. Sci. 2019, 15, 94–103. [Google Scholar]
- El Ansari, Z.N.; El Mihyaoui, A.; Boussaoudi, I.; Benkaddour, R.; Hamdoun, O.; Tahiri, H.; Badoc, A.; El Oualkadi, A.; Lamarti, A. Effect of macronutrients, cytokinins and auxins, on in vitro organogenesis of Thymus vulgaris L. Am. J. Plant Sci. 2019, 10, 1482–1502. [Google Scholar] [CrossRef]
- Ubalua, A.O.; Nsofor, G.C. The role of supporting substrates in ex vitro acclimatization and growth of tissue cultured cassava plantlets. Plant Knowl. J. 2017, 6, 1–6. Available online: https://search.informit.org/doi/10.3316/informit.041786512567605 (accessed on 17 September 2025).
- Nilson, S.E.; Assmann, S.M. The control of transpiration. Insights from Arabidopsis. Plant Physiol. 2007, 143, 19–27. [Google Scholar] [CrossRef] [PubMed]
- Abdalla, N.; Dobránszki, J. Meta-Topolin as an effective benzyladenine derivative to improve the multiplication rate and quality of in vitro axillary shoots of Húsvéti Rozmaring Apple Scion. Plants 2024, 13, 1568. [Google Scholar] [CrossRef] [PubMed]
- Reshi, Z.A.; Husain, F.M.; Khanam, M.N.; Javed, S.B. Effect of meta-Topolin on morphological, physiochemical, and molecular dynamics during in vitro regeneration of Salix tetrasperma Roxb. BMC Plant Biol. 2025, 25, 121. [Google Scholar] [CrossRef] [PubMed]





| Medium | Mean Root Number | Mean Shoot Number |
|---|---|---|
| Full-strength MS | 7.14 ± 0.39 | 6.00 ± 0.37 |
| Half-strength MS | 10.75 ± 0.44 * | 8.43 ± 0.54 * |
| Medium | No of Plants Potted | Survival Rate (%) | Mean Plant Height (cm) |
|---|---|---|---|
| Full-strength MS | 28 | 100 | 13.39 ± 0.53 |
| Half-strength MS | 28 | 100 | 14.93 ± 0.91 |
Disclaimer/Publisher’s Note: The statements, opinions and data contained in all publications are solely those of the individual author(s) and contributor(s) and not of MDPI and/or the editor(s). MDPI and/or the editor(s) disclaim responsibility for any injury to people or property resulting from any ideas, methods, instructions or products referred to in the content. |
© 2025 by the authors. Licensee MDPI, Basel, Switzerland. This article is an open access article distributed under the terms and conditions of the Creative Commons Attribution (CC BY) license (https://creativecommons.org/licenses/by/4.0/).
Share and Cite
Mabotja, M.B.; Aremu, A.O.; Doležal, K.; Ruzvidzo, O.; Amoo, S.O. Meta-Topolin as an Aromatic Cytokinin for In Vitro Propagation of Thymus vulgaris L. Plants 2025, 14, 3567. https://doi.org/10.3390/plants14233567
Mabotja MB, Aremu AO, Doležal K, Ruzvidzo O, Amoo SO. Meta-Topolin as an Aromatic Cytokinin for In Vitro Propagation of Thymus vulgaris L. Plants. 2025; 14(23):3567. https://doi.org/10.3390/plants14233567
Chicago/Turabian StyleMabotja, Mologadi B., Adeyemi O. Aremu, Karel Doležal, Oziniel Ruzvidzo, and Stephen O. Amoo. 2025. "Meta-Topolin as an Aromatic Cytokinin for In Vitro Propagation of Thymus vulgaris L." Plants 14, no. 23: 3567. https://doi.org/10.3390/plants14233567
APA StyleMabotja, M. B., Aremu, A. O., Doležal, K., Ruzvidzo, O., & Amoo, S. O. (2025). Meta-Topolin as an Aromatic Cytokinin for In Vitro Propagation of Thymus vulgaris L. Plants, 14(23), 3567. https://doi.org/10.3390/plants14233567

