Dynamic Changes in Carbon and Nitrogen Storage and Sequestration of Alfalfa Pastureland in Different Planting Years Under Temperate Continental Arid Climate Conditions
Abstract
1. Introduction
2. Results
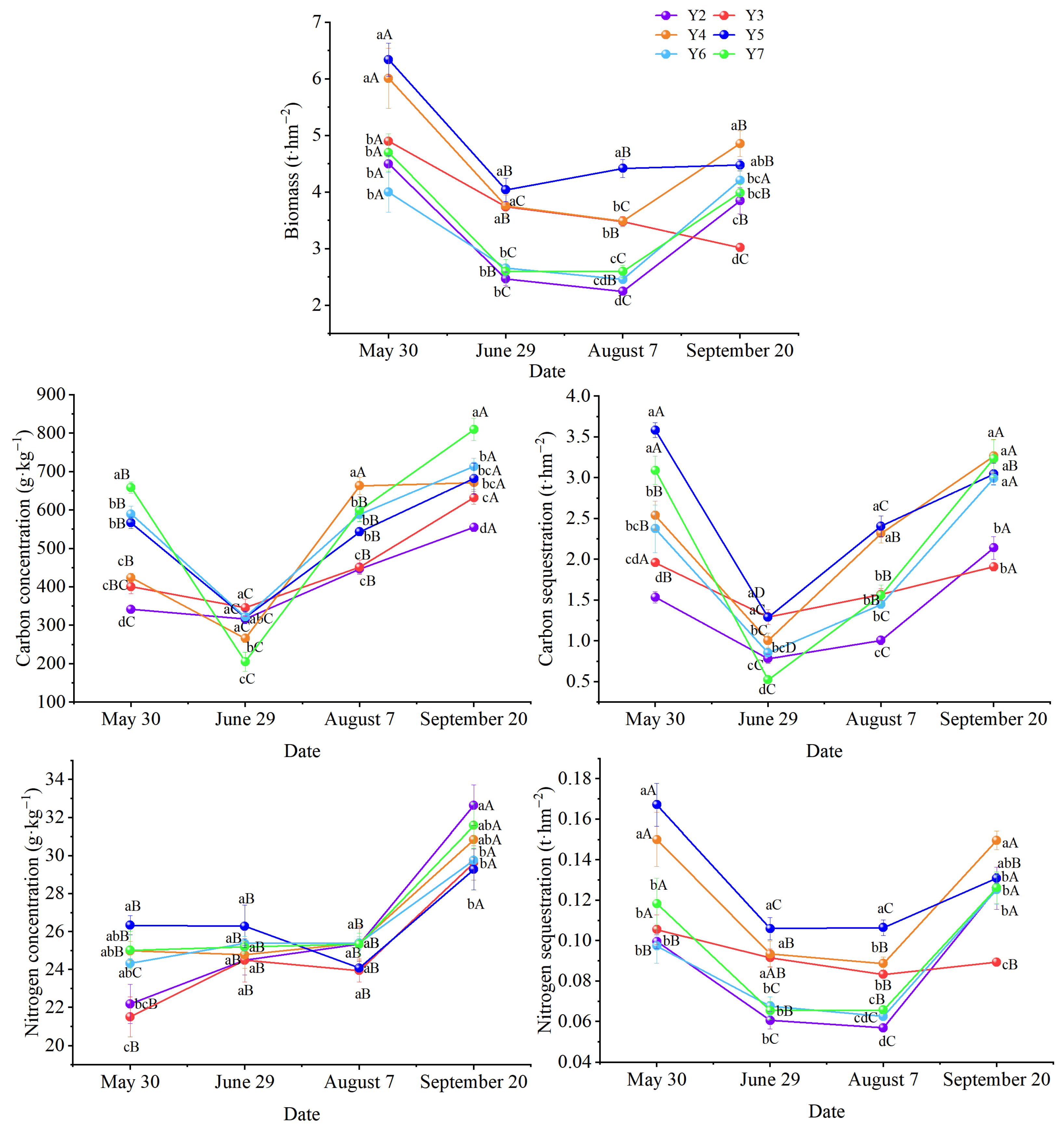
2.1. Above-Ground and Below-Ground Biomasses and Annual Carbon and Nitrogen Sequestration of Alfalfa Pasture
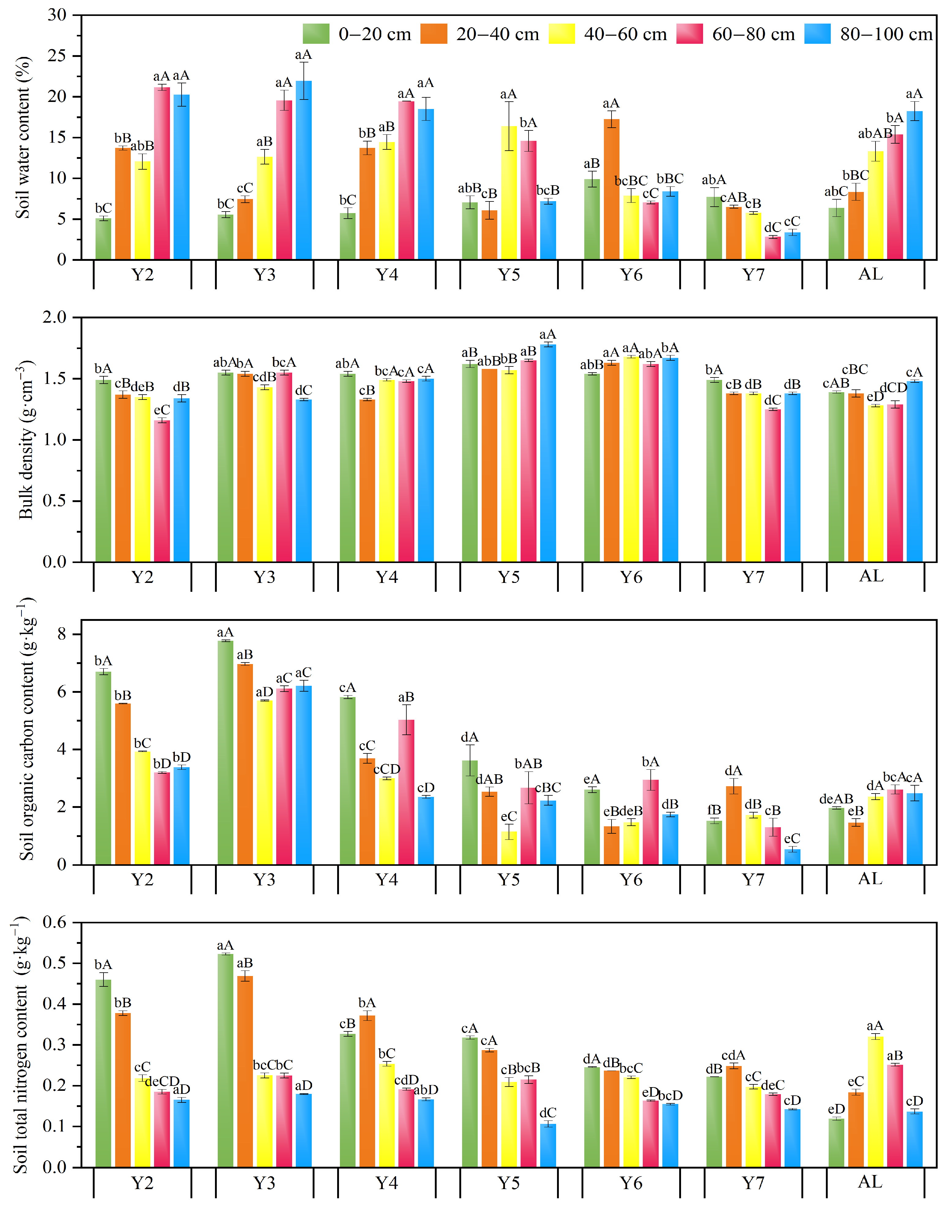
2.2. Soil Moisture, Bulk Density, Carbon Concentration, and Nitrogen Concentration
2.3. Soil Carbon and Nitrogen Storage
2.4. Soil Carbon and Nitrogen Sequestration Capacity
2.5. Total Fixed Carbon Amount and Total Fixed Nitrogen Amount in Alfalfa Pastureland
2.6. Correlation Analysis Between Vegetation and Soil Characteristics
3. Discussion
3.1. Above- and Below-Ground Biomass and Their Annual Carbon and Nitrogen Sequestration with Different Planting Ages
3.2. Soil Water Content, Bulk Density, Carbon Contents and Sequestration in Alfalfa Pastureland in Different Planting Years
3.3. Soil Nitrogen Contents and Sequestration in Alfalfa Pastureland in Different Planting Years
3.4. Total Fixed Carbon and Nitrogen in Alfalfa Pastureland
4. Materials and Methods
4.1. Study Site
4.2. Experimental Design
4.3. Plant Collection and Analysis
4.4. Soil Sampling and Analysis
4.5. Data Calculation and Statistical Analysis
4.5.1. Carbon and Nitrogen Storage
4.5.2. Soil Carbon and Nitrogen Sequestration Capacity of Alfalfa Pastureland
4.5.3. Total Fixed Carbon Amount and Total Fixed Nitrogen Amount of Alfalfa Pastureland
4.6. Statistical Analysis
5. Conclusions
Supplementary Materials
Author Contributions
Funding
Data Availability Statement
Acknowledgments
Conflicts of Interest
References
- IPCC. IPCC Sixth Assessment Report: Mitigation of Climate Change. Downloads: Drafts and Review Materials. 2023. Available online: https://www.ipcc.ch/report/ar6/wg3/downloads/drafts-and-reviews/ (accessed on 23 February 2025).
- Deng, B.L.; Zheng, L.Y.; Ma, Y.C.; Zhang, L.; Liu, X.J.; Zhang, X.L.; Zhang, W.Y.; Huang, W.; Hu, X.F.; Guo, X.M.; et al. Effects of mixing biochar on soil N2O, CO2, and CH4 emissions after prescribed fire in alpine meadows of Wugong Mountain, China. J. Soils Sediments 2020, 20, 3062–3072. [Google Scholar] [CrossRef]
- Harindintwali, J.D.; Zhou, J.; Muhoza, B.; Wang, F.; Herzberger, A.; Yu, X. Integrated eco-strategies towards sustainable carbon and nitrogen cycling in agriculture. J. Environ. Manag. 2021, 293, 112856. [Google Scholar] [CrossRef]
- Li, W.J.; Wang, Z.; Han, Q.F.; Ren, C.H.; Yan, M.K.; Zhang, P.; Jia, Z.K.; Yang, B.P. Evaluation on carbon sequestration effects of artificial alfalfa pastures in the Loess Plateau area. Acta Ecol. Sin. 2013, 33, 7467–7477. [Google Scholar] [CrossRef][Green Version]
- Li, X.; Fan, R.X.; Liu, X.D. Advance in studies on carbon storage and carbon process in grassland ecosystem of China. Ecol. Environ. Sci. 2014, 23, 1845–1851. [Google Scholar] [CrossRef]
- Chen, J.; Lærke, P.E.; Jørgensen, U. Land conversion from annual to perennial crops: A win-win strategy for biomass yield and soil organic carbon and total nitrogen sequestration. Agric. Ecosyst. Environ. 2022, 330, 107907. [Google Scholar] [CrossRef]
- Yan, R.R.; Xin, X.P.; Wang, X.; Yan, Y.C.; Deng, Y.; Yang, G.X. The change of soil carbon and nitrogen under different grazing gradients in Hulunber meadows steppe. Acta Ecol. Sin. 2014, 34, 1587–1595. [Google Scholar] [CrossRef]
- Li, J.P.; Xie, Y.Z. Effects of natural grassland enclosure on carbon and nitrogen storage in deep soil in the Loess Plateau of China. Pratacul. Sci. 2016, 33, 1981–1988. [Google Scholar] [CrossRef]
- Wang, L.; Ali, G.; Wang, Z.K. Deep soil water depletion and soil organic carbon and total nitrogen accumulation in a long-term alfalfa pasture. Land Degrad. Dev. 2023, 34, 2164–2176. [Google Scholar] [CrossRef]
- Niu, S.L.; Song, L.; Wang, J.S.; Luo, Y.Q.; Yu, G.R. Dynamic carbon-nitrogen coupling under global change. Sci. China Life Sci. 2023, 66, 771–782. [Google Scholar] [CrossRef]
- Gao, C.P.; Han, G.D.; Wang, Z.W.; Li, Z.G.; Ren, H.Y. Carbon sequestration effect of different artificial grasslands in Inner Mongolia Desert Grassland Area. Chin. J. Grassl. 2017, 39, 81–85. [Google Scholar] [CrossRef]
- Wang, C.J.; Wang, Y.X.; Hu, Y.B.; Weng, B.Q. Issues on low-carbon agriculture: From theory to practices. Fujian J. Agric. Sci. 2011, 26, 470–474. [Google Scholar] [CrossRef]
- Zhang, J.Y. The restoration of the Inner Mongolia Chilechuan Grassland: Maximizing the carbon sequestration potential of every blade of grass. Science and Technology Daily, 29 March 2022; 006. [Google Scholar] [CrossRef]
- Hegde, R.S.; Miller, D.A. Allelopathy and autotoxicity in Alfalfa: Characterization and effects of preceding crops and residue incorporation. Crop Sci. 1990, 30, 1255–1259. [Google Scholar] [CrossRef]
- Li, Y.S.; Huang, M.B. Pasture yield and soil water depletion of continuous growing alfalfa in the Loess Plateau of China. Agric. Ecosyst. Environ. 2008, 124, 24–32. [Google Scholar] [CrossRef]
- Basbuga, S.; Basbuga, S.; Yayla, F.; Mahmoud, A.M.; Can, C. Diversity of rhizobial and non-rhizobial bacteria nodulating wild ancestors of grain legume crop plants. Int. Microbiol. 2021, 24, 207–218. [Google Scholar] [CrossRef] [PubMed]
- Li, Z.Y.; Xu, Z.M.; Li, Y.; Li, Y. Effects of short-term continuous cropping of alfalfa on the growth and soil microenvironment of subsequent sorghum-sudan grass hybrid crops in the Jianghuai area. Acta Pratacul. Sin. 2024, 33, 155–168. [Google Scholar] [CrossRef]
- Chen, X.J.; Hou, F.J.; Matthew, C.; He, X.Z. Soil C, N, and P stocks evaluation under major land uses on China’s Loess Plateau. Rangel. Ecol. Manag. 2017, 70, 341–347. [Google Scholar] [CrossRef]
- Song, D.C.; Wu, H.; Wang, L.D.; He, F.L.; Zhao, H.R.; Han, S.H.; Xu, B.Y. Characteristics of soil microbe and soil enzymatic activity on secondary grassland of abandoned land with different restoration years in Minqin. Chin. J. Grassl. 2021, 43, 85–93. [Google Scholar] [CrossRef]
- Wu, X.D.; Zhang, X.J.; Xie, Y.Z.; Xu, K.; Yang, J. Vertical distribution characteristics of soil organic carbon and soil enzyme activity in alfalfa field with different growing years. Acta Pratacul. Sin. 2013, 22, 245–251. [Google Scholar]
- Xu, L.J.; Wang, B.; Xin, X.P. Soil nutrient and microbial characteristics associated with alfalfa cultivated grassland. Acta Agrestia Sin. 2011, 19, 406–411. [Google Scholar]
- Cheng, S. Study on Soil Water and Nutrient Distribution Law of Alfalfa Artificial Grassland in Different Planting Areas; Northwest A&F University: Xi’an, China, 2018. [Google Scholar]
- Heichel, G.H.; Barnes, D.K.; Vance, C.P. Nitrogen-Fixation of Alfa in The Seeding Year. Crop Sci. 1981, 21, 330–335. [Google Scholar] [CrossRef]
- Zhou, Z.B.; Zhang, Y.J.; Zhang, F.G. Community assembly correlates with alfalfa production by mediating rhizosphere soil microbial community composition in different planting years and regimes. Plant Soil 2022, 479, 355–370. [Google Scholar] [CrossRef]
- Cai, L.; Wang, L.L.; Luo, Z.Z.; Li, L.L.; Niu, Y.N.; Cai, L.Q.; Xie, J.H. Meta-analysis of alfalfa yield and WUE response to growing ages in China. Acta Pratacul. Sin. 2020, 29, 27–38. [Google Scholar] [CrossRef]
- Jiang, J.P.; Xiong, Y.C.; Jia, Y.; Li, F.M.; Xu, J.Z.; Jiang, H.M. Soil quality dynamics under successional alfalfa field in the semi-arid Loess Plateau of northwestern China. Arid Land Res. Manag. 2007, 21, 287–303. [Google Scholar] [CrossRef]
- Deng, L. Responding Mechanism of Ecosystem Carbon Sequestration Benefits to Vegetation Restoration on the Loess Plateau of China; Northwest A&F University: Xi’an, China, 2014. [Google Scholar]
- Zheng, M.N.; Liang, X.Z.; Han, Z.S.; Kang, J.H.; Chen, Y.N. Productivity and nutritional value of 28 alfalfa varieties in the Yanmengguan area of Shanxi province. Acta Pratacul. Sin. 2018, 27, 97–108. [Google Scholar] [CrossRef]
- Cao, H.; Li, Q.; Yang, H.W.; Ma, S.F.; Cao, Y.J. The comparison of production performance of six alfalfa varieties in the Longdong area. Chin. J. Grassl. 2022, 44, 47–55. [Google Scholar] [CrossRef]
- Liang, W.W.; Zhang, H.H.; Zhang, X.Z.; Zhang, Y.Y.; Li, X.S.; Li, Y.Z. A study on the production performance of 32 alfalfa varieties in the northern region of Xinjiang. Chin. J. Grassl. 2023, 45, 68–77. [Google Scholar] [CrossRef]
- Ni, J. Forage yield-based carbon storage in grassland of China. Clim. Change 2004, 67, 237–246. [Google Scholar] [CrossRef]
- Tian, F.P. Study on Carbon Storage and Soil Available Nutrient Characteristics of Monoculture Artificial Grassland in Loess Plateau; Gansu Agriculture University: Lanzhou, China, 2015. [Google Scholar]
- Li, Y.; Sun, H.R.; Ding, N.; Liu, Z.B.; Shao, G.W.; Shen, Y. Root biomass of alfalfa (Medicago sativa). In Proceedings of the 5th China Alfalfa Development Conference, Otog Banner, Inner Mongolia, China, 5 June 2011; Editorial Office of Grassland Journal of the Chinese Grassland Society, Grassland Research Institute, China Agricultural University: Beijing, China, 2011; pp. 245–251. [Google Scholar]
- Li, J.; Chen, B.; Li, X.F. Effects of deep soil desiccation on alfalfa grasslands in different rainfall areas of the Loess Plateau of China. Acta Ecol. Sin. 2007, 27, 75–89. [Google Scholar]
- Ridley, A.M.; Christy, B.; Dunin, F.X.; Haines, P.J.; Wilson, K.F.; Ellington, A. Lucerne in crop rotations on the Riverine Plains. 1. The soil water balance. Aust. J. Agric. Res. 2001, 52, 263–277. [Google Scholar] [CrossRef]
- Chang, S.J.; Zhang, Y.J. Effects of the period of alfalfa grassland on the character of soil carbon and total nitrogen contents. In Proceedings of the 8th Doctoral Student Academic Annual Conference Abstract Collection, Hohhot, Inner Mongolia, China, 16 September 2010; p. 137. [Google Scholar]
- Tai, J.C.; Yang, H.S.; Zhang, Q.G.; Song, C.L. Influence of planting years on nitrogen-fixing capacity of rhizosphere and contents of carbon and nitrogen in artificial pastures of alfalfa. Chin. J. Soil Sci. 2010, 41, 603–607. [Google Scholar] [CrossRef]
- Xiao, K.C.; Li, D.J.; Wen, L.; Yang, L.Q.; Luo, P.; Chen, H.; Wang, K.L. Dynamics of soil nitrogen availability during post-agricultural succession in a karst region, southwest China. Geoderma 2018, 314, 184–189. [Google Scholar] [CrossRef]
- Wieder, W.R.; Cleveland, C.C.; Smith, W.K.; Todd-Brown, K. Future productivity and carbon storage limited by terrestrial nutrient availability. Nat. Geosci. 2015, 8, 441–444. [Google Scholar] [CrossRef]
- Luo, W.; Zhang, Z.H.; Wu, J.; Lai, X.; Meng, X.X.; Huang, B.H. Effects of biogas slurry on soil nitrogen, phosphorus, and potassium contents and balance in Chengdu Plain. J. Soil Water Conser. 2019, 33, 185–191. [Google Scholar] [CrossRef]
- Deng, L.; Wang, G.L.; Liu, G.B.; Shangguan, Z.P. Effects of age and land-use changes on soil carbon and nitrogen sequestrations following cropland abandonment on the Loess Plateau, China. Ecol. Eng. 2016, 90, 105–112. [Google Scholar] [CrossRef]
- Zhou, Z.C.; Zhang, X.Y.; Gan, Z.T. Changes in soil organic carbon and nitrogen after 26 years of farmland management on the Loess Plateau of China. J. Arid Land. 2015, 7, 806–813. [Google Scholar] [CrossRef]
- Wang, W.; Cheng, Z.G.; Li, M.Y. Increasing periods after seeding under twice-annually harvested alfalfa reduces soil carbon and nitrogen stocks in a semiarid environment. Land Degrad. Dev. 2020, 31, 2872–2882. [Google Scholar] [CrossRef]
- Wang, Y.L.; Zi, H.B.; Cheng, R.X.; Tang, L.T.; Suoer, A.; Luo, X.P.; Li, J.; Wang, C.T. Forest soil organic carbon and nitrogen storage and characteristics of vertical distribution in Qinghai Province. Acta Ecol. Sin. 2019, 39, 4096–4105. [Google Scholar]
- Lopez, B.R.; Bacilio, M. Weathering and soil formation in hot, dry environments mediated by plant-microbe interactions. Biol. Fertil. Soils 2020, 56, 447–459. [Google Scholar] [CrossRef]
- Kang, J.H.; Zou, C.Y.; Zheng, M.N.; Liang, X.Z. Effects of growth years of alfalfa on root exudates and soil microecology. Chin. J. Grassl. 2024, 46, 65–75. [Google Scholar] [CrossRef]
- Cotrufo, M.F.; Wallenstein, M.D.; Boot, C.M.; Denef, K.; Paul, E. The Microbial Efficiency-Matrix Stabilization (MEMS) framework integrates plant litter decomposition with soil organic matter stabilization: Do labile plant inputs form stable soil organic matter? Glob. Change Biol. 2013, 19, 988–995. [Google Scholar] [CrossRef] [PubMed]
- Zhang, J.Y.; Han, H.B.; Yin, Q.; Xu, L.B.; Zhang, Y.; Wang, L.D.; Lin, K.J. Advanced in continuous cropping obstacles of alfalfa. Chin. J. Grassl. 2024, 46, 135–143. [Google Scholar] [CrossRef]
- Wu, W.P. Effect of Mixing Ratio on Soil Organic Carbon Pool of Alfalfa/Smooth Bromegrass Mixture in Longdong Loess Plateau; Lanzhou University: Lanzhou, China, 2023. [Google Scholar]
- Zhang, Y.J.; Guo, F.M.; Jiang, G.Y.; Sun, G.Q.; Wang, S.; Li, N. Effects of different Chinese rose growth years on labile organic matter and carbon management index in different soil depths. Soil Fertil. Sci. China 2020, 3, 120–125. [Google Scholar] [CrossRef]
- Song, X.; Fang, C.; Yuan, Z.Q.; Li, F.M. Long-term growth of alfalfa increased soil organic matter accumulation and nutrient mineralization in a semi-arid environment. Front. Environ. Sci. 2021, 9, 649346. [Google Scholar] [CrossRef]
- Walker, L.R.; Wardle, D.A.; Bardgett, R.D.; Clarkson, B.D. The use of chronosequences in studies of ecological succession and soil development. J. Ecol. 2010, 98, 725–736. [Google Scholar] [CrossRef]
- Zhou, X.R.; Liu, X.G. Key technical aspects of alfalfa cultivation: Practical insights into management and processing. Seed World. 2025, 05, 48–50. [Google Scholar]
- Bao, S.D. Soil Agricultural Chemistry Analysis; China Agricultural Press: Beijing, China, 2000. [Google Scholar]
- Wang, Z.P. Effects of Phosphorus Addition on Production Performance, Carbon, Nitrogen and Phosphorus Storage and Soil Stoichiometric Characteristics of Alfalfa in Horqin Sandy Land; Inner Mongolia Minzu University: Hohhot, China, 2024. [Google Scholar]
- Zhang, C.; Yan, R.R.; Liang, Q.W.; Na, R.S.; Li, T.; Yang, X.F.; Bao, Y.H.; Xin, X.P. Study on soil physical and chemical properties and carbon and nitrogen sequestration of grassland under different utilization modes. Acta Pratacul. Sin. 2021, 30, 90–98. [Google Scholar] [CrossRef]








| Planting Years | Biomass (t·hm−2) | Carbon Concentration (g·kg−1) | Nitrogen Concentration (g·kg−1) | Carbon Sequestration (t·hm−2) | Nitrogen Sequestration (t·hm−2) |
|---|---|---|---|---|---|
| Above-ground vegetation | |||||
| Y2 | 13.07 ± 0.20 c | 415.0 ± 13.85 e | 26.17 ± 2.64 a | 5.42 ± 0.09 e | 0.343 ± 0.01 b |
| Y3 | 15.15 ± 0.05 b | 457.5 ± 24.28 d | 24.90 ± 0.63 b | 6.93 ± 0.18 d | 0.370 ± 0.00 b |
| Y4 | 18.13 ± 0.94 a | 506.1 ± 6.48 c | 26.50 ± 1.96 a | 9.20 ± 0.44 b | 0.482 ± 0.03 a |
| Y5 | 19.28 ± 0.20 a | 528.2 ± 23.06 bc | 26.50 ± 1.76 a | 10.18 ± 0.27 a | 0.511 ± 0.01 a |
| Y6 | 13.33 ± 0.36 c | 553.4 ± 23.11 ab | 26.22 ± 0.17 a | 7.36 ± 0.28 c | 0.353 ± 0.01 b |
| Y7 | 13.89 ± 0.44 c | 568.3 ± 48.29 a | 26.79 ± 0.98 a | 7.89 ± 0.15 bc | 0.376 ± 0.01 b |
| SEM | 0.2318 | 5.2038 | 0.1996 | 0.1304 | 0.00 |
| p value | <0.001 | <0.001 | 0.068 | <0.001 | <0.001 |
| Below-ground vegetation | |||||
| Y2 | 9.56 ± 0.27 B | 608.5 ± 41.6 B | 17.92 ± 0.13 AB | 5.80 ± 0.29 B | 0.171 ± 0.00 B |
| Y3 | 16.68 ± 0.46 A | 533.9 ± 46.9 B | 18.11 ± 0.10 AB | 8.86 ± 0.95 A | 0.302 ± 0.01 A |
| Y4 | 16.37 ± 1.61 A | 727.0 ± 58.5 A | 18.81 ± 0.21 A | 11.94 ± 1.78 A | 0.307 ± 0.03 A |
| Y5 | 18.22 ± 0.82 A | 564.0 ± 27.4 B | 16.69 ± 0.62 B | 10.26 ± 0.59 A | 0.304 ± 0.02 A |
| Y6 | 16.27 ± 2.32 A | 636.0 ± 75.6 AB | 16.15 ± 0.42 B | 10.06 ± 0.93 A | 0.263 ± 0.03 A |
| Y7 | 16.89 ± 0.16 A | 535.8 ± 20.4 B | 17.17 ± 0.46 B | 9.04 ± 0.28 A | 0.290 ± 0.01 A |
| SEM | 0.6116 | 17.3581 | 0.1871 | 0.4763 | 0.0026 |
| p value | 0.004 | 0.015 | 0.003 | 0.014 | 0.003 |
| Planting Years | Fixed Carbon Amount (t·hm−2) | Fixed Nitrogen Amount (t·hm−2) | ||||||
|---|---|---|---|---|---|---|---|---|
| Above-Ground Vegetation | Below-Ground Vegetation | Soil | Total | Above-Ground Vegetation | Below-Ground Vegetation | Soil | Total | |
| Y2 | 5.42 | 5.80 | 62.5 | 73.72 | 0.343 | 0.171 | 3.868 | 4.314 |
| Y3 | 6.73 | 8.86 | 97.4 | 112.99 | 0.370 | 0.302 | 4.886 | 5.472 |
| Y4 | 9.13 | 11.94 | 58.5 | 79.57 | 0.482 | 0.307 | 3.820 | 4.689 |
| Y5 | 10.33 | 10.26 | 40.0 | 60.59 | 0.511 | 0.304 | 3.682 | 4.515 |
| Y6 | 7.67 | 10.06 | 32.6 | 50.33 | 0.353 | 0.261 | 3.314 | 3.914 |
| Y7 | 8.41 | 9.04 | 21.6 | 39.05 | 0.376 | 0.290 | 2.732 | 3.366 |
Disclaimer/Publisher’s Note: The statements, opinions and data contained in all publications are solely those of the individual author(s) and contributor(s) and not of MDPI and/or the editor(s). MDPI and/or the editor(s) disclaim responsibility for any injury to people or property resulting from any ideas, methods, instructions or products referred to in the content. |
© 2025 by the authors. Licensee MDPI, Basel, Switzerland. This article is an open access article distributed under the terms and conditions of the Creative Commons Attribution (CC BY) license (https://creativecommons.org/licenses/by/4.0/).
Share and Cite
Lu, X.; Qi, J.; Meng, X.; Su, J.; Qi, X.; Shen, L. Dynamic Changes in Carbon and Nitrogen Storage and Sequestration of Alfalfa Pastureland in Different Planting Years Under Temperate Continental Arid Climate Conditions. Plants 2025, 14, 3432. https://doi.org/10.3390/plants14223432
Lu X, Qi J, Meng X, Su J, Qi X, Shen L. Dynamic Changes in Carbon and Nitrogen Storage and Sequestration of Alfalfa Pastureland in Different Planting Years Under Temperate Continental Arid Climate Conditions. Plants. 2025; 14(22):3432. https://doi.org/10.3390/plants14223432
Chicago/Turabian StyleLu, Xin, Juan Qi, Xiangjun Meng, Junhu Su, Ximing Qi, and Liyu Shen. 2025. "Dynamic Changes in Carbon and Nitrogen Storage and Sequestration of Alfalfa Pastureland in Different Planting Years Under Temperate Continental Arid Climate Conditions" Plants 14, no. 22: 3432. https://doi.org/10.3390/plants14223432
APA StyleLu, X., Qi, J., Meng, X., Su, J., Qi, X., & Shen, L. (2025). Dynamic Changes in Carbon and Nitrogen Storage and Sequestration of Alfalfa Pastureland in Different Planting Years Under Temperate Continental Arid Climate Conditions. Plants, 14(22), 3432. https://doi.org/10.3390/plants14223432

