Impact of the Nitrogen on Nutrient Dynamics in Soybean–Grass Intercropping in a Degraded Pasture Area
Abstract
1. Introduction
2. Results
2.1. Macronutrient Accumulations in Soybean
2.2. Macronutrient Accumulations in the Grass
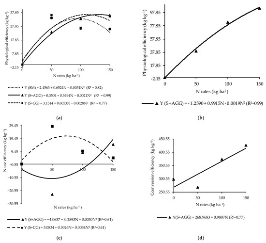
2.3. Soybean Efficiency in Cropping Systems
2.4. Grasses Efficiency in Cropping Systems
3. Discussion
4. Materials and Methods
4.1. Characterization of the Experimental Site
4.2. Experimental Design
4.3. Field Management and Details
4.4. Macronutrient Accumulations in the Plants
4.5. Efficiency Indexes in the Cropping Systems
4.6. Statistical Analysis
5. Conclusions
Author Contributions
Funding
Data Availability Statement
Acknowledgments
Conflicts of Interest
References
- Santos, C.O.D.; Mesquita, V.V.; Parente, L.L.; Pinto, A.d.S.; Ferreira, L.G. Assessing the wall-to-wall spatial and qualitative dynamics of the brazilian pasturelands 2010–2018, based on the analysis of the landsat data archive. Remote Sens. 2022, 14, 1024. [Google Scholar] [CrossRef]
- Glaze-Corcoran, S.; Hashemi, M.; Sadeghpour, A.; Jahanzad, E.; Afshar, R.K.; Liu, X.; Herbert, S.J. Understanding intercropping to improve agricultural resiliency and environmental sustainability. Adv. Agron. 2020, 162, 199–256. [Google Scholar]
- Nascimento, V.; Ferrari, S.; Lima, R.C.; Bonini, C.S.B.; Prado, E.P.; Galindo, F.S.; Delfim, J.J.; Arf, O.; Souza, L.F.R.; Molina-Roco, M.; et al. Nutritional aspects and yield of corn intercropped with cover crops and inoculated with diazotrophic bacteria. Front. Sustain. Food Syst. 2025, 9, 1562977. [Google Scholar] [CrossRef]
- Souza, V.S.; Ferreira, J.B.G.; Santos, D.C.; Greschuk, L.T.; Schiebelbein, B.E.; Bortolo, L.S.; Gonçalo, T.P.; Fialho, A.R.; Souza, S.O.; Paim, T.P.; et al. Maize-Urochloa grass intercropping: An option for improving sustainable agriculture in the Brazilian Savannah. Exp. Agric. 2025, 61, e17. [Google Scholar] [CrossRef]
- Akchaya, K.; Parasuraman, P.; Pandian, K.; Vijayakumar, S.; Thirukumaran, K.; Mustaffa, M.R.A.F.; Rajpoot, S.K.; Choudhary, A.K. Boosting resource use efficiency, soil fertility, food security, ecosystem services, and climate resilience with legume intercropping: A review. Front. Sustain. Food Syst. 2025, 9, 1527256. [Google Scholar] [CrossRef]
- Maitra, S.; Hossain, A.; Brestic, M.; Skalicky, M.; Ondrisik, P.; Gitari, H.; Brahmachari, K.; Shankar, T.; Bhadra, P.; Palai, J.B.; et al. Intercropping—A Low Input Agricultural Strategy for Food and Environmental Security. Agronomy 2021, 11, 343. [Google Scholar] [CrossRef]
- Cheng, Z.; Meng, L.; Yin, T.; Li, Y.; Zhang, Y.; Li, S. Changes in soil rhizobia diversity and their effects on the symbiotic efficiency of soybean intercropped with maize. Agronomy 2023, 13, 997. [Google Scholar] [CrossRef]
- Chamkhi, I.; Cheto, S.; Geistlinger, J.; Zeroual, Y.; Kouisni, L.; Bargaz, A.; Ghoulam, C. Legume-based intercropping systems promote beneficial rhizobacterial community and crop yield under stressing conditions. Ind. Crop. Prod. 2022, 183, 114958. [Google Scholar] [CrossRef]
- Tanaka, K.S.; Crusciol, C.A.C.; Soratto, R.P.; Momesso, L.; Costa, C.H.M.; Franzluebbers, A.J.; Oliveira Junior, A.; Calonego, J.C. Nutrients released by Urochloa cover crops prior to soybean. Nutr. Cycl. Agroecosyst 2019, 113, 267–281. [Google Scholar] [CrossRef]
- Tang, X.; Zhang, C.; Yu, Y.; Shen, J.; van der Werf, W.; Zhang, F. Intercropping legumes and cereals increases phosphorus use efficiency; a meta-analysis. Plant Soil. 2021, 460, 89–104. [Google Scholar] [CrossRef]
- Congreves, K.A.; Otchere, O.; Ferland, D.; Farzadfar, S.; Williams, S.; Arcand, M.M. Nitrogen use efficiency definitions of today and tomorrow. Front. Plant Sci. 2021, 12, 637108. [Google Scholar] [CrossRef]
- Govindasamy, P.; Muthusamy, S.K.; Bagavathiannan, M.; Mowrer, J.; Jagannadham, P.T.K.; Maity, A.; Prasad, S.V.S.; Kumar, D.; Ramesha, K.P.; Shivaraj, N.; et al. Nitrogen use efficiency—A key to enhance crop productivity under a changing climate. Front. Plant Sci. 2023, 14, 1121073. [Google Scholar] [CrossRef] [PubMed]
- Ullah, H.; Santiago-Arenas, R.; Ferdous, Z.; Attia, A.; Datta, A. Improving water use efficiency, nitrogen use efficiency, and radiation use efficiency in field crops under drought stress: A review. Adv. Agron. 2019, 156, 109–157. [Google Scholar]
- Chen, P.; Du, Q.; Liu, X.; Zhou, L.; Hussain, S.; Lei, L.; Song, S.; Wang, X.; Liu, W.; Yang, F.; et al. Effects of reduced nitrogen inputs on crop yield and nitrogen use efficiency in a long-term maize-soybean relay strip intercropping system. PLoS ONE 2017, 12, e0184503. [Google Scholar] [CrossRef] [PubMed]
- Zhang, L.; Feng, Y.; Zhao, Z.; Cui, Z.; Baoyin, B.; Wang, H.; Li, Q.; Cui, J. Maize/soybean intercropping with nitrogen supply levels increases maize yield and nitrogen uptake by influencing the rhizosphere bacterial diversity of soil. Front. Plant Sci. 2024, 15, 1437631. [Google Scholar] [CrossRef]
- Wang, Z.; Ma, B.L.; Yu, X.; Gao, J.; Sun, J.; Su, Z.; Yu, S. Physiological basis of heterosis for nitrogen use efficiency of maize. Sci. Rep. 2019, 9, 18708. [Google Scholar] [CrossRef]
- Raza, M.A.; Feng, L.Y.; van der Werf, W.; Iqbal, N.; Khan, I.; Khan, A.; Din, A.M.U.; Naeem, M.; Meraj, T.A.; Hassan, M.J.; et al. Optimum strip width increases dry matter, nutrient accumulation, and seed yield of intercrops under the relay intercropping system. Food Energy Secur. 2020, 9, e199. [Google Scholar] [CrossRef]
- Yong, T.W.; Chen, P.; Dong, Q.; Du, Q.; Yang, F.; Wang, X.C.; Liu, W.G.; Yang, W.Y. Optimized nitrogen application methods to improve nitrogen use efficiency and nodule nitrogen fixation in a maize-soybean relay intercropping system. J. Integr. Agric. 2018, 17, 645–657. [Google Scholar] [CrossRef]
- You, L.; Ros, G.H.; Chen, Y.; Shao, Q.; Young, M.D.; Zhang, F.; Vries, W. Global mean nitrogen recovery efficiency in croplands can be enhanced by optimal nutrient, crop and soil management practices. Nat. Commun. 2023, 14, 5747. [Google Scholar] [CrossRef]
- Correndo, A.A.; Adee, E.; Rosso, L.H.M.; Tremblay, N.; Prasad, P.V.V.; Du, J.; Ciampitti, I.A. Footprints of corn nitrogen management on the following soybean crop. Agron. J. 2022, 114, 1475–1488. [Google Scholar] [CrossRef]
- Nasar, J.; Zhao, C.J.; Khan, R.; Gul, H.; Gitari, H.; Shao, Z.; Abbas, G.; Haider, I.; Iqbal, Z.; Ahmed, W.; et al. Maize-soybean intercropping at optimal N fertilization increases the N uptake, N yield and N use efficiency of maize crop by regulating the N assimilatory enzymes. Front. Plant Sci. 2023, 13, 1077948. [Google Scholar] [CrossRef]
- Hauggaard-Nielsen, H.; Jensen, E.S. Facilitative root interactions in intercrops. Plant Soil. 2005, 274, 237–250. [Google Scholar] [CrossRef]
- Setubal, I.S.; Andrade Júnior, A.S.; Silva, S.P.; Rodrigues, A.C.; Bonifácio, A.; Silva, E.H.F.M.; Vieira, P.F.M.J.; Miranda, R.S.; La Menza, N.C.; Souza, H.A. Macro and micro-nutrient accumulation and partitioning in soybean affected by water and nitrogen supply. Plants 2023, 12, 1898. [Google Scholar] [CrossRef]
- Gazola, B.; Mariano, E.; Andrade, M.G.O.; Costa, V.E.; Rosolem, C.A. Fate of fertilizer N applied to maize intercropped with forage grass and recovery of residual N by soybean in a double cropping system. Plant Soil. 2024, 496, 205–219. [Google Scholar] [CrossRef]
- Yahaya, S.M.; Mahmud, A.A.; Abdullahi, M.; Haruna, A. Recent advances in the chemistry of nitrogen, phosphorus and potassium as fertilizers in soil: A review. Pedosphere 2023, 33, 385–406. [Google Scholar] [CrossRef]
- Miguel, A.S.D.C.S.; Pacheco, L.P.; de Carvalho, Í.C.; de Souza, E.D.; Feitosa, P.B.; Petter, F.A. Phytomass and nutrient release in soybean cultivation systems under no-tillage. Pesq. Agropec bras. 2018, 53, 1119–1131. [Google Scholar] [CrossRef]
- Calonego, J.C.; Gil, F.C.; Rocco, V.F.; Santos, E.A. Persistência e liberação de nutrientes da palha de milho, braquiária e labe-labe. Biosci. J. 2012, 28, 770–781. [Google Scholar]
- Xia, H.Y.; Wang, Z.G.; Zhao, J.H.; Sun, J.H.; Bao, X.G.; Christie, P.; Zhang, F.S.; Li, L. Contribution of interspecific interactions and phosphorus application to sustainable and productive intercropping systems. Field Crop. Res. 2013, 154, 53–64. [Google Scholar] [CrossRef]
- Zhu, S.G.; Tao, H.Y.; Li, W.B.; Zhou, R.; Gui, Y.W.; Zhu, L.; Zhang, X.L.; Wang, W.; Wang, B.Z.; Mei, F.J.; et al. Phosphorus availability mediates plant–plant interaction and field productivity in maize-grass pea intercropping system: Field experiment and its global validation. Agric. Syst. 2023, 205, 103584. [Google Scholar] [CrossRef]
- Bais, H.P.; Weir, T.L.; Perry, L.G.; Gilroy, S.; Vivanco, J.M. The role of root exudates in rhizosphere interactions with plants and other organisms. Annu. Rev. Plant Biol. 2006, 57, 233–266. [Google Scholar] [CrossRef]
- Bublitz, L.R.; Gurgel, A.L.C.; Mauri, A.C.; Queiroz, V.C.; Lima, K.S.; Campelo, I.B.R.; Araújo, M.J.; Dias-Silva, T.P.; Barros, J.S.; Aguiar, I.O.M.; et al. Panicum maximum cultivars for use in integrated agricultural production systems in Cerrado biome soils. Grassl. Sci. 2024, 70, 121–129. [Google Scholar] [CrossRef]
- Ahmed, A.; Aftab, S.; Hussain, S.; Nazir, C.H.; Liu, W.; Yang, F.; Yang, W. Nutrient accumulation and distribution assessment in response to potassium application under maize–soybean intercropping system. Agronomy 2020, 10, 725. [Google Scholar] [CrossRef]
- Brooker, R.W.; Bennett, A.E.; Cong, W.F.; Daniell, T.J.; George, T.S.; Hallett, P.D.; Hawes, C.; Iannetta, P.P.M.; Jones, H.G.; Karley, A.J.; et al. Improving intercropping: A synthesis of research in agronomy, plant physiology and ecology. New Phytol. 2015, 206, 107–117. [Google Scholar] [CrossRef]
- Santos, H.G.; Jacomine, P.K.T.; Anjos, L.H.C.; Oliveira, V.A.; Lumbreras, J.F.; Coelho, M.R.; Almeida, J.A.; Araújo Filho, J.C.; Oliveira, J.B.; Cunha, T.J.F. Sistema Brasileiro de Classificação de Solos, 5th ed.; Embrapa: Brasília, Brazil, 2018; 356p. [Google Scholar]
- United States Department of Agriculture. Keys to Soil Taxonomy, 12th ed.; United States Department of Agriculture: Washington, DC, USA; Natural Resources Conservation Service: Washington, DC, USA, 2014; 359p. [Google Scholar]
- Alvares, C.A.; Stape, J.L.; Sentelhas, P.C.; Gonçalves, J.L.M.; Sparovek, G. Köppen’s climate classification map for Brazil. Meteorol. Z. 2013, 22, 11–728. [Google Scholar] [CrossRef] [PubMed]
- Nelson, D.W.; Sommers, L.E. Total Carbon, Organic Carbon, and Organic Matter. In Methods of Soil Analysis: Part 3 Chemical Methods, SSSA Book Series 5.3; Sparks, D.L., Page, A.L., Helmke, P.A., Loeppert, R.H., Soltanpour, P.N., Tabatabai, M.A., Johnston, C.T., Summer, M.E., Eds.; Soil Science Society of America; American Society of Agronomy: Madison, WI, USA, 1996; Chapter 34. [Google Scholar]
- van Raij, B.; Quaggio, J.A.; Silva, N.M. Extraction of phosphorus, potassium, calcium, and magnesium from soils by an ion-exchange resin procedure. Commun. Soil. Sci. Plant. Anal. 1986, 17, 547–566. [Google Scholar] [CrossRef]
- Quaggio, J.A.; Raij, B.; Malavolta, E. Alternative use of the SMP–buffer solution to determine lime requirement of soils. Commun. Soil Sci. Plant Anal. 1985, 16, 245–260. [Google Scholar] [CrossRef]
- Tabatabai, M.A.; Bremner, J.M. A simple turbidimetric method of determining total sulfur in plant materials. Agron. J. 1970, 62, 805–806. [Google Scholar] [CrossRef]
- Fox, R.L.; Hue, N.V.; Parra, A.J. A turbidimetric method for determining phosphate-extractable sulfates in tropical soils. Commun. Soil. Sci. Plant Anal. 1987, 18, 343–357. [Google Scholar] [CrossRef]
- Batista, K.; Giacomini, A.A.; Gerdes, L.; Mattos, W.T.; Otsuk, I.P. Nitrogen fertilisation improves the grain production efficiency and sustainability of out-of-season corn and Congo grass intercropping. Soil. Res. 2019, 57, 397–407. [Google Scholar] [CrossRef]
- van Raij, B.; Cantarela, H.; Quaggio, J.A.; Furlani, A.M.C. Recomendações de Adubação e Calagem Para o Estado de São Paulo, 2nd ed.; Instituto Agronômico e Fundação IAC: Campinas, Brazil, 1997; 285p. [Google Scholar]
- SAS Institute Inc. SAS/STAT® 9.2 User’s Guide 2009, 2nd ed.; SAS Institute Inc.: Cary, NC, USA, 2009; 176p. [Google Scholar]




| Cropping Systems | N Rates (kg ha−1) | Means | F Test for Regression | ||||
|---|---|---|---|---|---|---|---|
| 0 | 50 | 100 | 150 | Linear | Quadratic | ||
| N accumulation | |||||||
| SM | 4.36 ± 0.78 a | 2.82 ± 0.78 a | 3.96 ± 0.78 a | 0.72 ± 0.78 a | 2.96 ± 0.39 a | 0.0686 | 0.1532 |
| S + AGG | 1.44 ± 0.78 a | 1.95 ± 0.78 a | 2.03 ± 0.78 a | 2.49 ± 0.78 a | 1.98 ± 0.39 a | 0.2739 | 0.5620 |
| S + CG | 1.74 ± 0.78 a | 4.81 ± 0.78 a | 2.20 ± 0.78 a | 2.67 ± 0.78 a | 2.86 ± 0.39 a | 0.9721 | 0.4703 |
| Means | 2.51 ± 0.45 | 3.20 ± 0.45 | 2.73 ± 0.45 | 1.96 ± 0.45 | 0.4110 | 0.3223 | |
| P accumulation | |||||||
| SM | 0.40 ± 0.07 a | 0.28 ± 0.07 a | 0.36 ± 0.07 a | 0.07 ± 0.07 a | 0.28 ± 0.04 a | 0.0541 | 0.1175 |
| S + AGG | 0.13 ± 0.07 a | 0.16 ± 0.07 a | 0.18 ± 0.07 a | 0.26 ± 0.07 a | 0.18 ± 0.04 a | 0.1536 | 0.3476 |
| S + CG | 0.15 ± 0.07 a | 0.51 ± 0.07 a | 0.21 ± 0.07 a | 0.26 ± 0.07 a | 0.28 ± 0.04 a | 0.9599 | 0.3454 |
| Means | 0.23 ± 0.0 4 | 0.32 ± 0.04 | 0.25 ± 0.04 | 0.20 ± 0.04 | 0.5298 | 0.3600 | |
| K accumulation | |||||||
| SM | 2.76 ± 0.47 a | 1.58 ± 0.47 a | 2.13 ± 0.47 a | 0.39 ± 0.47 a | 1.71 ± 0.23 a | 0.0510 | 0.1478 |
| S + AGG | 0.86 ± 0.47 a | 0.99 ± 0.47 a | 1.09 ± 0.47 a | 1.40 ± 0.47 a | 1.08 ± 0.23 a | 0.3030 | 0.5826 |
| S + CG | 1.05 ± 0.47 a | 3.15 ± 0.47 a | 1.09 ± 0.47 a | 1.87 ± 0.47 a | 1.79 ± 0.23 a | 0.8894 | 0.8099 |
| Means | 1.55 ± 0.27 | 1.91 ± 0.27 | 1.44 ± 0.27 | 1.22 ± 0.27 | 0.3565 | 0.4771 | |
| Ca accumulation | |||||||
| SM | 0.88 ± 0.19 a | 0.64 ± 0.19 ab | 0.99 ± 0.19 a | 0.27 ± 0.19 a | 0.70 ± 0.09 a | 0.1889 | 0.2681 |
| S + AGG | 0.40 ± 0.19 a | 0.36 ± 0.19 b | 0.38 ± 0.19 a | 0.61 ± 0.19 a | 0.44 ± 0.09 a | 0.3291 | 0.4257 |
| S + CG | 0.32 ± 0.19 a | 1.49 ± 0.19 a | 0.48 ± 0.19 a | 0.55 ± 0.19 a | 0.71 ± 0.09 a | 0.8350 | 0.2569 |
| Means | 0.54 ± 0.11 | 0.83 ± 0.11 | 0.62 ± 0.11 | 0.48 ± 0.11 | 0.5667 | 0.2850 | |
| Mg accumulation | |||||||
| SM | 0.70 ± 0.12 a | 0.42 ± 0.12 ab | 0.69 ± 0.12 a | 0.12 ± 0.12 a | 0.48 ± 0.06 a | 0.0776 | 0.1603 |
| S + AGG | 0.27 ± 0.12 a | 0.30 ± 0.12 b | 0.30 ± 0.12 a | 0.43 ± 0.12 a | 0.33 ± 0.06 a | 0.3271 | 0.4650 |
| S + CG | 0.28 ± 0.12 a | 0.90 ± 0.12 a | 0.36 ± 0.12 a | 0.47 ± 0.12 a | 0.50 ± 0.06 a | 0.9889 | 0.3974 |
| Means | 0.4179 | 0.5421 | 0.4471 | 0.3383 | 0.4345 | 0.3483 | |
| S accumulation | |||||||
| SM | 0.24 ± 0.04 a | 0.16 ± 0.04 ab | 0.19 ± 0.04 a | 0.03 ± 0.04 a | 0.16 ± 0.02 a | 0.0191 | 0.0506 |
| S + AGG | 0.07 ± 0.04 a | 0.10 ± 0.04 b | 0.10 ± 0.04 a | 0.13 ± 0.04 a | 0.10 ± 0.02 a | 0.2308 | 0.5010 |
| S + CG | 0.09 ± 0.04 a | 0.28 ± 0.04 a | 0.11 ± 0.04 a | 0.16 ± 0.04 a | 0.16 ± 0.02 a | 0.8795 | 0.3868 |
| Means | 0.13 ± 0.02 | 0.18 ± 0.02 | 0.14 ± 0.02 | 0.11 ± 0.02 | 0.3522 | 0.2619 | |
| Cropping Systems | N Rates (kg ha−1) | Means | F Test for Regression | ||||
|---|---|---|---|---|---|---|---|
| 0 | 50 | 100 | 150 | Linear | Quadratic | ||
| N accumulation | |||||||
| AGG | 87.98 ± 10.86 a | 56.30 ± 10.86 a | 96.71 ± 10.86 a | 130.71 ± 10.86 a | 92.92 ± 5.43 a | 0.0265 | 0.0067 |
| CG | 71.99 ± 10.86 a | 105.47 ± 10.86 a | 83.20 ± 10.86 a | 93.30 ± 10.86 a | 88.49 ± 5.43 a | 0.4924 | 0.5484 |
| Means | 79.98 ± 7.68 | 80.89 ± 7.68 | 89.95 ± 7.68 | 112.00 ± 7.68 | 0.0269 | 0.3032 | |
| P accumulation | |||||||
| AGG | 8.06 ± 0.90 a | 5.20 ± 0.90 b | 8.81 ± 0.90 a | 10.73 ± 0.90 a | 8.20 ± 0.45 b | 0.0403 | 0.0120 |
| CG | 7.67 ± 0.90 a | 12.26 ± 0.90 a | 9.99 ± 0.90 a | 9.19 ± 0.90 a | 9.78 ± 0.45 a | 0.7209 | 0.0487 |
| Means | 7.87 ± 0.64 | 8.73 ± 0.64 | 9.40 ± 0.64 | 9.96 ± 0.64 | 0.1085 | 0.2785 | |
| K accumulation | |||||||
| AGG | 83.31 ± 8.16 a | 61.58 ± 8.16 b | 93.42 ± 8.16 a | 108.04 ± 8.16 a | 86.59 ± 4.08 a | 0.0843 | 0.0862 |
| CG | 92.94 ± 8.16 a | 113.74 ± 8.16 a | 89.95 ± 8.16 a | 95.95 ± 8.16 a | 98.14 ± 4.08 a | 0.6621 | 0.5633 |
| Means | 88.13 ± 5.77 | 87.66 ± 5.77 | 91.68 ± 5.77 | 101.99 ± 5.77 | 0.2023 | 0.3571 | |
| Ca accumulation | |||||||
| AGG | 21.66 ± 2.80 a | 15.89 ± 2.80 b | 22.50 ± 2.80a | 28.45 ± 2.80 a | 22.13 ± 1.40 a | 0.0742 | 0.0332 |
| CG | 16.81 ± 2.80 a | 33.35 ± 2.80 a | 25.07 ± 2.80a | 21.86 ± 2.80 a | 24.27 ± 1.40 a | 0.7439 | 0.0263 |
| Means | 19.23 ± 1.98 | 24.62 ± 1.98 | 23.79 ± 1.98 | 25.16 ± 1.98 | 0.1793 | 0.3183 | |
| Mg accumulation | |||||||
| AGG | 28.18 ± 3.51 a | 20.26 ± 3.51 b | 28.38 ± 3.51 a | 38.00 ± 3.51 a | 28.70 ± 1.75 a | 0.0862 | 0.0328 |
| CG | 23.94 ± 3.51 a | 37.41 ± 3.51 a | 31.47 ± 3.51 a | 28.34 ± 3.51 a | 30.29 ± 1.75 a | 0.7239 | 0.1553 |
| Means | 26.06 ± 2.48 | 28.84 ± 2.48 | 29.92 ± 2.48 | 33.17 ± 2.48 | 0.1241 | 0.3120 | |
| S accumulation | |||||||
| AGG | 8.93 ± 1.33 a | 4.89 ± 1.33 b | 7.25 ± 1.33 a | 7.72 ± 1.33 a | 7.20 ± 0.66 a | 0.7907 | 0.0281 |
| CG | 6.12 ± 1.33 a | 12.27 ± 1.33 a | 8.33 ± 1.33 a | 8.27 ± 1.33 a | 8.75 ± 0.66 a | 0.8023 | 0.3631 |
| Means | 7.53 ± 0.94 a | 8.58 ± 0.94 a | 7.79 ± 0.94 a | 7.99 ± 0.94 a | 0.9108 | 0.9377 | |
| Cropping System | N Rates (kg ha−1) | F-Test for Regression | |||||
|---|---|---|---|---|---|---|---|
| 0 | 50 | 100 | 150 | Means | Linear | Quadratic | |
| Physiological efficiency (kg kg−1) | |||||||
| SM | - | 33.90 ± 5.08 a | 26.15 ± 5.08 a | 25.86 ± 5.08 a | 21.48 ± 2.54 a | 0.0399 | 0.0031 |
| S + AGG | - | 23.64 ± 5.08 a | 33.29 ± 5.08 a | 35.98 ± 5.08 a | 23.23 ± 2.54 a | 0.0026 | 0.0045 |
| S + CG | - | 35.98 ± 5.08 a | 26.67 ± 5.08 a | 35.09 ± 5.08 a | 24.44 ± 2.54 a | 0.0113 | 0.0070 |
| Means | - | 31.17 ± 2.93 | 28.70 ± 2.93 | 32.31 ± 2.93 | 0.0001 | 0.0001 | |
| N use efficiency (kg kg−1) | |||||||
| SM | - | −0.76 ± 0.43 b | 0.01 ± 0.43 a | −0.61 ± 0.43 a | −0.34 ± 0.22 b | 0.7064 | 0.9283 |
| S + AGG | - | 0.13 ± 0.43 a | 0.13 ± 0.43 a | 0.23 ± 0.43 a | 0.12 ± 0.22 ab | 0.4719 | 0.7784 |
| S + CG | - | 2.37 ± 0.43 a | 0.13 ± 0.43 a | 0.21 ± 0.43 a | 0.68 ± 0.22 a | 0.6297 | 0.2492 |
| Means | - | 0.58 ± 0.25 | 0.09 ± 0.25 | −0.06 a ± 0.25 | 0.6644 | 0.5107 | |
| Efficiency of conversion of N to biomass (kg kg−1) | |||||||
| SM | 3.12 ± 0.6 a | 2.20 ± 0.66 b | 3.57 ± 0.66 a | 0.83 ± 0.66 a | 2.43 ± 0.33 a | 0.1794 | 0.2469 |
| S + AGG | 1.13 ± 0.66 a | 1.13 ± 0.66 b | 1.40 ± 0.66 a | 2.33 ± 0.66 a | 1.50 ± 0.33 a | 0.1629 | 0.2887 |
| S + CG | 1.30 ± 0.66 a | 5.82 ± 0.66 a | 1.71 ± 0.66 a | 2.40 ± 0.66 a | 2.80 ± 0.33 a | 0.8783 | 0.2918 |
| means | 1.85 ± 0.38 | 3.05 ± 0.38 | 2.22 ± 0.38 | 1.85 ± 0.38 | 0.7403 | 0.3481 | |
| Cropping System | N Rates (kg ha−1) | F-Test for Regression | |||||
|---|---|---|---|---|---|---|---|
| 0 | 50 | 100 | 150 | Means | Linear | Quadratic | |
| Physiological efficiency (kg kg−1) | |||||||
| AGG | - | 39.88 ± 46.03 a | 83.04 ± 46.03 a | 104.29 ± 46.03 a | 56.80 ± 23.02 a | 0.0091 | 0.0359 |
| CG | - | 54.58 ± 46.03 a | 189.81 ± 46.03 a | 55.84 ± 46.03 a | 75.06 ± 23.02 a | 0.3651 | 0.2907 |
| Means | - | 47.23 ± 32.55 | 136.42 ± 32.55 | 80.07 ± 32.55 | 0.0579 | 0.0653 | |
| N use efficiency (kg kg−1) | |||||||
| AGG | - | −23.32 ± 5.67 b | 8.79 ± 5.67 a | 15.06 ± 5.67 a | 0.13 ± 2.83 b | 0.0637 | 0.0406 |
| CG | - | 28.93 ± 5.67 a | 9.95 ± 5.67 a | 4.75 ± 5.67 a | 10.91 ± 2.83 a | 0.9033 | 0.0409 |
| Means | - | 2.80 ± 4.00 | 9.37 ± 4.00 | 9.90 ± 4.00 | 0.2148 | 0.8626 | |
| Efficiency of conversion of N to biomass (kg kg−1) | |||||||
| AGG | 299.16 ± 42.26 a | 268.99 ± 42.26 a | 374.51 ± 42.26 a | 427.43 ± 42.26 a | 342.52 ± 21.13 a | 0.0442 | 0.1023 |
| CG | 270.02 ± 42.26 a | 328.56 ± 42.26 a | 351.12 ± 42.26 a | 286.20 ± 42.26 a | 308.97 ± 21.13 a | 0.7370 | 0.3935 |
| Means | 284.59 ± 29.89 | 298.77 ± 29.89 | 362.81 ± 29.89 | 356.81 ± 29.89 | 0.0785 | 0.2096 | |
Disclaimer/Publisher’s Note: The statements, opinions and data contained in all publications are solely those of the individual author(s) and contributor(s) and not of MDPI and/or the editor(s). MDPI and/or the editor(s) disclaim responsibility for any injury to people or property resulting from any ideas, methods, instructions or products referred to in the content. |
© 2025 by the authors. Licensee MDPI, Basel, Switzerland. This article is an open access article distributed under the terms and conditions of the Creative Commons Attribution (CC BY) license (https://creativecommons.org/licenses/by/4.0/).
Share and Cite
Batista, K.; Sarti, M.B.; Vilela, L.A.F.; Venegas, R.A.P.; Ojeda, G. Impact of the Nitrogen on Nutrient Dynamics in Soybean–Grass Intercropping in a Degraded Pasture Area. Plants 2025, 14, 3372. https://doi.org/10.3390/plants14213372
Batista K, Sarti MB, Vilela LAF, Venegas RAP, Ojeda G. Impact of the Nitrogen on Nutrient Dynamics in Soybean–Grass Intercropping in a Degraded Pasture Area. Plants. 2025; 14(21):3372. https://doi.org/10.3390/plants14213372
Chicago/Turabian StyleBatista, Karina, Mayne Barboza Sarti, Laíze Aparecida Ferreira Vilela, Ricardo Alexander Peña Venegas, and Gerardo Ojeda. 2025. "Impact of the Nitrogen on Nutrient Dynamics in Soybean–Grass Intercropping in a Degraded Pasture Area" Plants 14, no. 21: 3372. https://doi.org/10.3390/plants14213372
APA StyleBatista, K., Sarti, M. B., Vilela, L. A. F., Venegas, R. A. P., & Ojeda, G. (2025). Impact of the Nitrogen on Nutrient Dynamics in Soybean–Grass Intercropping in a Degraded Pasture Area. Plants, 14(21), 3372. https://doi.org/10.3390/plants14213372

