The Impact of Varieties and Growth Stages on the Production Performance and Nutritional Quality of Forage Triticale in the Qaidam Basin
Abstract
1. Introduction
2. Results
2.1. Phenological Stages of Different Triticale Varieties
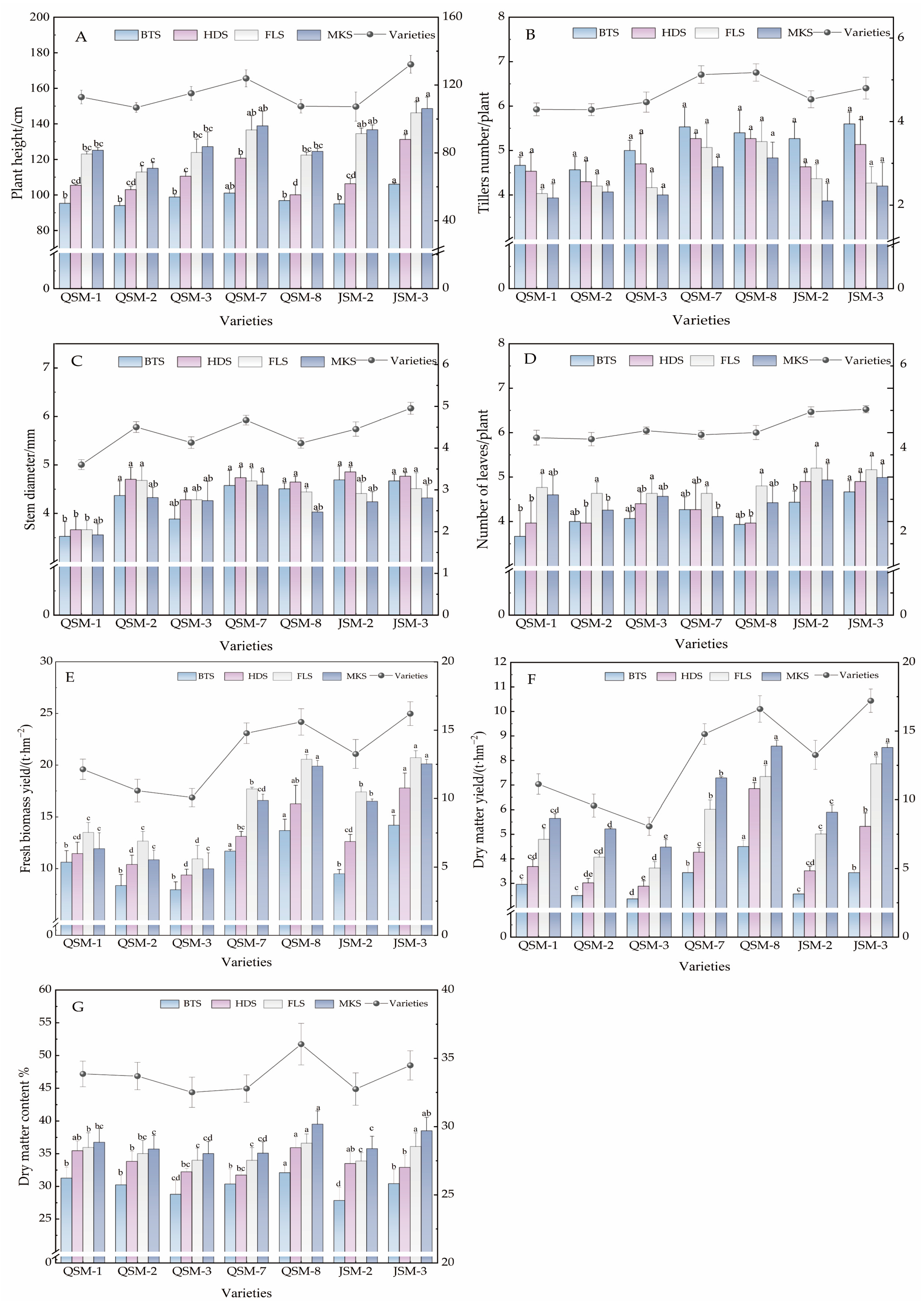
2.2. The Effects of Different Varieties and Growth Stages on the Agronomic Traits and Yield of Feeding Triticale
2.3. Effects of Different Varieties and Growth Stages on the Nutritional Quality of Triticale
2.4. Comprehensive Evaluation of Triticale Varieties at Different Growth Stages
2.4.1. Pearson Correlation Analysis
2.4.2. Principal Component Analysis (PCA)
2.4.3. TOPSIS Model Comprehensive Evaluation
3. Discussion
3.1. Influence of Period of Fertility and Variety on the Production Performance of Triticale
3.2. The Influence of Growth Period and Breed on the Nutritional Quality of Triticale
3.3. Comprehensive Evaluation of the Triticale Varieties
4. Materials and Methods
4.1. General Conditions of Experimental Site
4.2. Plant Materials
4.3. Experimental Design
4.4. Determination of Indicators and Methods
4.5. Data Statistics and Analysis
5. Conclusions
Supplementary Materials
Author Contributions
Funding
Data Availability Statement
Conflicts of Interest
Abbreviations
| BTS | Booting stage |
| HDS | Heading stage |
| FLS | Flowering stage |
| MKS | Milking stage |
| CA | Crude ash |
| CP | Crude protein |
| EE | Ether extract |
| SS | Soluble sugar |
| NDF | Neutral detergent fiber |
| ADF | Acid detergent fiber |
| PFV | Relative feeding value |
References
- Li, L.; Ni, W.; Cheng, Y.; Wang, H.; Yuan, K.; Zhou, B. Evaluation of the Eco-Geo-Environment in the Qaidam Basin, China. Environ. Earth Sci. 2021, 80, 27. [Google Scholar] [CrossRef]
- Bibi, S.; Wang, L.; Li, X.; Zhang, X.; Chen, D. Response of Groundwater Storage and Recharge in the Qaidam Basin (Tibetan Plateau) to Climate Variations from 2002 to 2016. J. Geophys. Res. Atmos. 2019, 124, 9918–9934. [Google Scholar] [CrossRef]
- Feng, Y.; Du, S.; Fraedrich, K.; Zhang, X. Fine-Grained Climate Classification for the Qaidam Basin. Atmosphere 2022, 13, 913. [Google Scholar] [CrossRef]
- Wang, X.; Yang, M.; Liang, X.; Pang, G.; Wan, G.; Chen, X.; Luo, X. The Dramatic Climate Warming in the Qaidam Basin, Northeastern Tibetan Plateau, during 1961–2010. Int. J. Climatol. 2014, 34, 1524–1537. [Google Scholar] [CrossRef]
- Wang, X.; Kong, F.; Kong, W.; Xu, W. Edaphic Characterization and Plant Zonation in the Qaidam Basin, Tibetan Plateau. Sci. Rep. 2018, 8, 1822. [Google Scholar] [CrossRef]
- González, J.M.; Muñiz, L.M.; Jouve, N. Mapping of QTLs for Androgenetic Response Based on a Molecular Genetic Map of × Triticosecale Wittmack. Genome 2005, 48, 999–1009. [Google Scholar] [CrossRef] [PubMed]
- Shaban, A.S.; Safhi, F.A.; Fakhr, M.A.; Pruthi, R.; Abozahra, M.S.; El-Tahan, A.M.; Subudhi, P.K. Comparison of the Morpho-Physiological and Molecular Responses to Salinity and Alkalinity Stresses in Rice. Plants 2024, 13, 60. [Google Scholar] [CrossRef]
- Lauriault, L.M.; Schmitz, L.H.; Cox, S.H.; Duff, G.C.; Scholljegerdes, E.J. A Comparison of Native Grass and Triticale Pastures during Late Winter for Growing Cattle in Semiarid, Subtropical Regions. Agronomy 2022, 12, 545. [Google Scholar] [CrossRef]
- Deng, C.; Zhang, Z.; Yan, G.; Wang, F.; Zhao, L.; Liu, N.; Abudurezike, A.; Li, Y.; Wang, W.; Shi, S. Salt-Responsive Transcriptome Analysis of Triticale Reveals Candidate Genes Involved in the Key Metabolic Pathway in Response to Salt Stress. Sci. Rep. 2020, 10, 20669. [Google Scholar] [CrossRef] [PubMed]
- Ayalew, H.; Kumssa, T.T.; Butler, T.J.; Ma, X.-F. Triticale Improvement for Forage and Cover Crop Uses in the Southern Great Plains of the United States. Front. Plant Sci. 2018, 9, 1130. [Google Scholar] [CrossRef]
- Buxton, D.R. Quality-Related Characteristics of Forages as Influenced by Plant Environment and Agronomic Factors. Anim. Feed Sci. Technol. 1996, 59, 37–49. [Google Scholar] [CrossRef]
- Prášil, I.T.; Musilová, J.; Prášilová, P.; Janáček, J.; Coufová, M.; Kosová, K.; Klíma, M.; Hermuth, J.; Holubec, V.; Vítámvás, P. Effect of Geographical Origin, Regional Adaptation, Genotype, and Release Year on Winter Hardiness of Wheat and Triticale Accessions Evaluated for Six Decades in Trials. Sci. Rep. 2025, 15, 5961. [Google Scholar] [CrossRef] [PubMed]
- Rapacz, M.; Sasal, M.; Kalaji, H.M.; Kościelniak, J. Is the OJIP Test a Reliable Indicator of Winter Hardiness and Freezing Tolerance of Common Wheat and Triticale under Variable Winter Environments? PLoS ONE 2015, 10, e0134820. [Google Scholar] [CrossRef]
- Dodig, D.; Zorić, M.; Mitić, N.; Nikolić, R.; Šurlan-Momirović, G. Tissue Culture and Agronomic Traits Relationship in Wheat. Plant Cell Tissue Organ Cult. 2008, 95, 107–114. [Google Scholar] [CrossRef]
- Carvajal-Tapia, J.I.; Vivas-Quila, N.J.; Barahona, R.; Sandoval Burbano, K.M.; Castiblanco, V. Multivariate and Multiharvesting Trial for Agronomic Traits in the Genetic Resources of Guineagrass. Agron. J. 2022, 114, 3055–3067. [Google Scholar] [CrossRef]
- Xia, T.; Chen, H.; Dong, S.; Ma, Z.; Ren, H.; Zhu, X.; Fang, X.; Chen, F. OsWUS Promotes Tiller Bud Growth by Establishing Weak Apical Dominance in Rice. Plant J. 2020, 104, 1635–1647. [Google Scholar] [CrossRef]
- González, F.G.; Slafer, G.A.; Miralles, D.J. Floret Development and Spike Growth as Affected by Photoperiod during Stem Elongation in Wheat. Field Crops Res. 2003, 81, 29–38. [Google Scholar] [CrossRef]
- Zhang, T.; Wang, X.; Wang, Y.; Han, J.; Mao, P.; Majerus, M. Plant Growth Regulator Effects on Balancing Vegetative and Reproductive Phases in Alfalfa Seed Yield. Agron. J. 2009, 101, 1139–1145. [Google Scholar] [CrossRef]
- Ullmann, I.; Herrmann, A.; Hasler, M.; Taube, F. Influence of the Critical Phase of Stem Elongation on Yield and Forage Quality of Perennial Ryegrass Genotypes in the First Reproductive Growth. Field Crops Res. 2017, 205, 23–33. [Google Scholar] [CrossRef]
- Zhang, Y.; Yin, H.; Wang, R.; He, F.; Jiang, G. Effects of Deficit Irrigation on Spring Wheat Lignification Process, Yield Productivity and Stalk Strength. Agronomy 2024, 14, 2647. [Google Scholar] [CrossRef]
- Tang, Y.; Zhang, Z.; Lei, Y.; Hu, G.; Liu, J.; Hao, M.; Chen, A.; Peng, Q.; Wu, J. Cotton WATs Modulate SA Biosynthesis and Local Lignin Deposition Participating in Plant Resistance against Verticillium Dahliae. Front. Plant Sci. 2019, 10, 526. [Google Scholar] [CrossRef] [PubMed]
- Capstaff, N.M.; Miller, A.J. Improving the Yield and Nutritional Quality of Forage Crops. Front. Plant Sci. 2018, 9, 535. [Google Scholar] [CrossRef]
- Zhao, Y.J.; Tian, X.H. The best cutting period of Du Wenhua forage triticale in Dingxi. Pratacultural Sci. 2015, 32, 1143–1149. [Google Scholar]
- Sun, L.; Long, Z.; Zhang, Y.; Gao, B. Study on the suitable cutting times and cutting period of Lijuan Qiansi No. 1 triticale. Guizhou Anim. Husb. Vet. Med. 2016, 40, 57–62. [Google Scholar]
- Zhu, X.; Sun, J.; Guo, W.; Feng, C.; Peng, Y. Study on forage yield and quality characteristics of different types of triticale in super New Year. Barley Cereal Sci. 2010, 03, 1–7. [Google Scholar]
- Pinto, P.; Cartoni-Casamitjana, S.; Cureton, C.; Stevens, A.W.; Stoltenberg, D.E.; Zimbric, J.; Picasso, V.D. Intercropping Legumes and Intermediate Wheatgrass Increases Forage Yield, Nutritive Value, and Profitability without Reducing Grain Yields. Front. Sustain. Food Syst. 2022, 6, 977841. [Google Scholar] [CrossRef]
- Brink, G.E.; Sanderson, M.A.; Casler, M.D. Grass and Legume Effects on Nutritive Value of Complex Forage Mixtures. Crop Sci. 2015, 55, 1329–1337. [Google Scholar] [CrossRef]
- Grzesiak, S.; Grzesiak, M.T.; Filek, W.; Stabryła, J. Evaluation of Physiological Screening Tests for Breeding Drought Resistant Triticale (x Triticosecale wittmack). Acta Physiol. Plant 2003, 25, 29–37. [Google Scholar] [CrossRef]
- Angeletti, F.G.S.; Pampana, S.; Arduini, I.; Saia, S.; Mariotti, M. Can Nitrogen Fertilization and Intercropping Modify the Quality and Nutrient Yield of Barley–Field Bean Forage? Agronomy 2024, 14, 1166. [Google Scholar] [CrossRef]
- Quirino, D.F.; Palma, M.N.N.; Franco, M.O.; Detmann, E. Variations in Methods for Quantification of Crude Ash in Animal Feeds. J. AOAC Int. 2022, 106, 6–13. [Google Scholar] [CrossRef] [PubMed]
- Liang, C.; Yu, S.; Zhang, H.; Wang, Z.; Li, F. Economic Evaluation of Drought Resistance Measures for Maize Seed Production Based on TOPSIS Model and Combination Weighting Optimization. Water 2022, 14, 3262. [Google Scholar] [CrossRef]
- Guo, C.; Xu, C.; Pu, X.; Zhao, Y.; Wang, J.; Fu, Y.; Wang, W. Oat and Forage Pea Mixed Sowing Improves Soil Chemical Fertility and Fresh and Dry Mass Yield in Light Saline–Alkali Land: Preliminary Results. Agronomy 2025, 15, 297. [Google Scholar] [CrossRef]
- Bo, P.T.; Bai, Y.; Dong, Y.; Shi, H.; Soe Htet, M.N.; Samoon, H.A.; Zhang, R.; Tanveer, S.K.; Hai, J. Influence of Different Harvesting Stages and Cereals–Legume Mixture on Forage Biomass Yield, Nutritional Compositions, and Quality under Loess Plateau Region. Plants 2022, 11, 2801. [Google Scholar] [CrossRef] [PubMed]
- Tlahig, S.; Neji, M.; Atoui, A.; Seddik, M.; Dbara, M.; Yahia, H.; Nagaz, K.; Najari, S.; Khorchani, T.; Loumerem, M. Genetic and Seasonal Variation in Forage Quality of Lucerne (Medicago sativa L.) for Resilience to Climate Change in Arid Environments. J. Agric. Food Res. 2024, 15, 100986. [Google Scholar] [CrossRef]
- Duan, N.N.; Wang, W.; Xu, C.T.; Wei, X.L.; Wei, X.J. Comparative Study on Production Performance of 8 Triticale Varieties in Alpine Regions. Qinghai J. Anim. Sci. Vet. Med. 2021, 51, 24–28+33. [Google Scholar]
- Wang, W.Q.; Liu, J.; Tian, X.H.; Du, W.H. Evaluation of Adaptability of ‘Gannong No. 4’ Triticale Variety in Different Regions of Qinghai Province. Acta Agrestia Sin. 2020, 28, 1626–1634. [Google Scholar]
- Bo, P.T.; Dong, Y.; Zhang, R.; Soe Htet, M.N.; Hai, J. Optimization of Alfalfa-Based Mixed Cropping with Winter Wheat and Ryegrass in Terms of Forage Yield and Quality Traits. Plants 2022, 11, 1752. [Google Scholar] [CrossRef]







| Item | Factor | Sum of Squares | Degree of Freedom | Mean Square | F | p |
|---|---|---|---|---|---|---|
| Plant height | Variety | 6760.33 | 6.00 | 1126.72 | 28.09 | 0.00 |
| Growth periods | 18,527.92 | 3.00 | 6175.97 | 154.00 | 0.00 | |
| Variety × Growth periods | 3443.49 | 18.00 | 191.31 | 4.77 | 0.00 | |
| Tiller number | Variety | 9.98 | 6.00 | 1.66 | 3.45 | 0.01 |
| Growth periods | 10.45 | 3.00 | 3.48 | 7.23 | 0.00 | |
| Variety × Growth periods | 2.15 | 18.00 | 0.12 | 0.25 | 1.00 | |
| Stem diameter | Variety | 13.90 | 6.00 | 2.32 | 11.41 | 0.00 |
| Growth periods | 0.40 | 3.00 | 0.13 | 0.65 | 0.59 | |
| Variety × Growth periods | 5.17 | 18.00 | 0.29 | 1.42 | 0.16 | |
| Number of leaves | Variety | 6.21 | 6.00 | 1.04 | 7.21 | 0.00 |
| Growth periods | 6.32 | 3.00 | 2.11 | 14.66 | 0.00 | |
| Variety × Growth periods | 2.26 | 18.00 | 0.13 | 0.88 | 0.61 | |
| Fresh biomass yield | Variety | 1088.12 | 6.00 | 181.35 | 68.71 | 0.00 |
| Growth periods | 503.47 | 3.00 | 167.82 | 63.58 | 0.00 | |
| Variety × Growth periods | 47.65 | 18.00 | 2.65 | 1.00 | 0.47 | |
| Dry matter yield | Variety | 154.95 | 6.00 | 25.82 | 129.16 | 0.00 |
| Growth periods | 166.11 | 3.00 | 55.37 | 276.93 | 0.00 | |
| Variety × Growth periods | 12.75 | 18.00 | 0.71 | 3.54 | 0.00 | |
| Dry matter content | Variety | 550.98 | 6.00 | 91.83 | 2.40 | 0.04 |
| Growth periods | 2849.56 | 3.00 | 949.86 | 24.84 | 0.00 | |
| Variety × Growth periods | 786.81 | 18.00 | 43.71 | 1.14 | 0.34 |
| Item | Factor | Sum of Squares | Degree of Freedom | Mean Square | F | p |
|---|---|---|---|---|---|---|
| Plant height | Variety | 4848.26 | 6.00 | 808.04 | 14.84 | 0.00 |
| Growth periods | 13,299.67 | 3.00 | 4433.22 | 81.41 | 0.00 | |
| Variety × Growth periods | 2721.66 | 18.00 | 151.20 | 2.78 | 0.00 | |
| Tiller number | Variety | 9.58 | 6.00 | 1.60 | 1.48 | 0.20 |
| Growth periods | 3.86 | 3.00 | 1.29 | 1.19 | 0.32 | |
| Variety × Growth periods | 22.01 | 18.00 | 1.22 | 1.129 | 0.35 | |
| Stem diameter | Variety | 9.77 | 6.00 | 1.63 | 3.33 | 0.00 |
| Growth periods | 3.29 | 3.00 | 1.10 | 2.24 | 0.09 | |
| Variety × Growth periods | 8.36 | 18.00 | 0.47 | 0.95 | 0.53 | |
| Number of leaves | Variety | 11.63 | 6.00 | 1.94 | 5.14 | 0.00 |
| Growth periods | 3.25 | 3.00 | 1.08 | 2.87 | 0.04 | |
| Variety × Growth periods | 7.00 | 18.00 | 0.39 | 1.03 | 0.44 | |
| Fresh biomass yield | Variety | 892.27 | 6.00 | 148.71 | 122.18 | 0.00 |
| Growth periods | 468.68 | 3.00 | 156.23 | 128.36 | 0.00 | |
| Variety × Growth periods | 39.18 | 18.00 | 2.18 | 1.79 | 0.05 | |
| Dry matter yield | Variety | 120.14 | 6.00 | 20.02 | 99.08 | 0.00 |
| Growth periods | 159.18 | 3.00 | 53.06 | 262.55 | 0.00 | |
| Variety × Growth periods | 13.26 | 18.00 | 0.74 | 3.64 | 0.00 | |
| Dry matter content | Variety | 443.27 | 6.00 | 73.88 | 3.075 | 0.01 |
| Growth periods | 2554.24 | 3.00 | 851.41 | 35.44 | 0.00 | |
| Variety × Growth periods | 601.99 | 18.00 | 33.44 | 1.39 | 0.17 |
| Item | Factor | Sum of Squares | Degree of Freedom | Mean Square | F | p |
|---|---|---|---|---|---|---|
| Crude ash | Variety | 18.38 | 6.00 | 3.06 | 4.55 | 0.00 |
| Growth periods | 113.71 | 3.00 | 37.90 | 56.35 | 0.00 | |
| Variety × Growth periods | 14.82 | 18.00 | 0.82 | 1.22 | 0.28 | |
| Crude protein | Variety | 79.06 | 6.00 | 13.18 | 6.65 | 0.00 |
| Growth periods | 502.09 | 3.00 | 167.36 | 84.43 | 0.00 | |
| Variety × Growth periods | 65.29 | 18.00 | 3.63 | 1.83 | 0.04 | |
| Ether extract | Variety | 1.03 | 6.00 | 0.17 | 5.67 | 0.00 |
| Growth periods | 0.12 | 3.00 | 0.04 | 1.38 | 0.26 | |
| Variety × Growth periods | 0.52 | 18.00 | 0.03 | 0.95 | 0.52 | |
| Soluble sugar | Variety | 1195.85 | 6.00 | 199.31 | 9.41 | 0.00 |
| Growth periods | 13,693.24 | 3.00 | 4564.41 | 215.41 | 0.00 | |
| Variety × Growth periods | 1777.14 | 18.00 | 98.73 | 4.66 | 0.00 | |
| Neutral detergent fiber | Variety | 284.80 | 6.00 | 47.47 | 4.29 | 0.00 |
| Growth periods | 1054.76 | 3.00 | 351.59 | 31.74 | 0.00 | |
| Variety × Growth periods | 595.83 | 18.00 | 33.10 | 2.99 | 0.00 | |
| Acid detergent fiber | Variety | 100.81 | 6.00 | 16.80 | 3.09 | 0.01 |
| Growth periods | 229.27 | 3.00 | 76.42 | 14.07 | 0.00 | |
| Variety × Growth periods | 177.52 | 18.00 | 9.86 | 1.82 | 0.00 | |
| Relative feeding value | Variety | 1794.33 | 6.00 | 299.06 | 3.70 | 0.00 |
| Growth periods | 6829.97 | 3.00 | 2276.66 | 28.19 | 0.00 | |
| Variety × Growth periods | 3920.52 | 18.00 | 217.81 | 2.70 | 0.00 | |
| Relative forage quality | Variety | 786.52 | 6.00 | 131.08 | 1.98 | 0.08 |
| Growth periods | 6439.66 | 3.00 | 2146.55 | 32.50 | 0.00 | |
| Variety × Growth periods | 2985.15 | 18.00 | 165.84 | 2.51 | 0.00 |
| Item | Factor | Sum of Squares | Degree of Freedom | Mean Square | F | p |
|---|---|---|---|---|---|---|
| Crude ash | Variety | 61.86 | 3.00 | 20.62 | 43.33 | 0.00 |
| Growth periods | 18.11 | 6.00 | 3.02 | 6.34 | 0.00 | |
| Variety × Growth periods | 8.18 | 18.00 | 0.46 | 0.96 | 0.52 | |
| Crude protein | Variety | 54.57 | 6.00 | 9.10 | 9.56 | 0.00 |
| Growth periods | 359.91 | 3.00 | 119.97 | 126.04 | 0.00 | |
| Variety × Growth periods | 50.40 | 18.00 | 2.80 | 2.94 | 0.00 | |
| Ether extract | Variety | 1.01 | 6.00 | 0.17 | 7.00 | 0.00 |
| Growth periods | 0.07 | 3.00 | 0.02 | 0.98 | 0.41 | |
| Variety × Growth periods | 0.52 | 18.00 | 0.03 | 1.21 | 0.29 | |
| Soluble sugar | Variety | 903.76 | 6.00 | 150.63 | 18.58 | 0.00 |
| Growth periods | 9084.80 | 3.00 | 3028.27 | 373.54 | 0.00 | |
| Variety × Growth periods | 939.94 | 18.00 | 52.22 | 6.44 | 0.00 | |
| Neutral detergent fiber | Variety | 218.93 | 6.00 | 36.49 | 5.20 | 0.00 |
| Growth periods | 385.24 | 3.00 | 128.41 | 18.31 | 0.00 | |
| Variety × Growth periods | 359.92 | 18.00 | 20.00 | 2.85 | 0.00 | |
| Acid detergent fiber | Variety | 58.33 | 6.00 | 9.72 | 3.69 | 0.00 |
| Growth periods | 111.10 | 3.00 | 37.03 | 14.06 | 0.00 | |
| Variety × Growth periods | 135.35 | 18.00 | 7.52 | 2.86 | 0.00 | |
| Relative feeding value | Variety | 1013.86 | 6.00 | 168.98 | 3.97 | 0.00 |
| Growth periods | 2510.19 | 3.00 | 836.73 | 19.66 | 0.00 | |
| Variety × Growth periods | 1986.33 | 18.00 | 110.35 | 2.59 | 0.00 | |
| Relative forage quality | Variety | 3528.66 | 6.00 | 588.11 | 4.17 | 0.00 |
| Growth periods | 7626.90 | 3.00 | 2542.30 | 18.00 | 0.00 | |
| Variety × Growth periods | 5542.23 | 18.00 | 307.90 | 2.18 | 0.01 |
| Variety | Growth Periods | Record of 2024 | Record of 2025 | ||
|---|---|---|---|---|---|
| Crude Ash % | Crude Protein % | Crude Ash % | Crude Protein % | ||
| QSM-1 | BTS | 7.00 ± 0.75 Ca | 10.63 ± 1.03 Ca | 6.04 ± 0.15 Ca | 10.09 ± 0.20 Ca |
| HDS | 5.53 ± 0.15 Ab | 6.81 ± 0.47 Cb | 5.53 ± 0.145 Ba | 7.18 ± 0.29 Cb | |
| FLS | 4.43 ± 0.23 Ac | 5.49 ± 0.28 Ac | 4.44 ± 0.29 Bb | 5.87 ± 0.23 Bc | |
| MKS | 3.37 ± 0.78 Bd | 4.37 ± 0.10 Bd | 3.87 ± 0.21 Bb | 4.97 ± 0.20 Bd | |
| QSM-2 | BTS | 7.37 ± 0.97 BCa | 10.14 ± 2.48 Ca | 7.37 ± 0.57 ABa | 9.52 ± 1.13 Ca |
| HDS | 6.47 ± 0.93 Aab | 8.87 ± 0.79 ABab | 6.47 ± 0.56 ABab | 9.07 ± 0.28 ABa | |
| FLS | 5.17 ± 0.86 Ab | 8.16 ± 0.34 Aab | 5.25 ± 0.59 ABc | 7.94 ± 0.21 ABab | |
| MKS | 4.97 ± 0.35 ABb | 6.58 ± 0.49 Ab | 5.23 ± 0.14 ABc | 6.57 ± 0.23 Ab | |
| QSM-3 | BTS | 7.57 ± 0.42 BCa | 10.91 ± 0.61 BCa | 6.81 ± 0.26 BCa | 10.73 ± 0.30 Ca |
| HDS | 6.13 ± 0.15 Ab | 8.06 ± 1.08 BCb | 5.98 ± 0.26 ABb | 8.67 ± 0.42 ABCb | |
| FLS | 5.33 ± 0.64 Aab | 7.68 ± 2.17 Abc | 5.45 ± 0.38 ABbc | 7.93 ± 0.79 ABb | |
| MKS | 4.73 ± 0.68 ABc | 5.42 ± 0.60 ABc | 4.97 ± 0.15 ABc | 5.87 ± 0.29 ABc | |
| QSM-7 | BTS | 8.20 ± 0.20 ABa | 15.09 ± 0.70 Aa | 7.68 ± 0.248 ABa | 14.52 ± 0.34 Aa |
| HDS | 6.43 ± 0.61 Ab | 8.08 ± 1.86 BCb | 6.54 ± 0.24 ABab | 8.11 ± 0.58 BCb | |
| FLS | 6.67 ± 1.33 Ab | 7.77 ± 3.01 Ab | 6.20 ± 0.55 Ab | 7.88 ± 1.07 ABb | |
| MKS | 4.87 ± 0.51 ABc | 6.59 ± 1.44 Ab | 4.87 ± 0.29 ABc | 6.72 ± 0.78 Ab | |
| QSM-8 | BTS | 8.23 ± 0.23 ABa | 14.89 ± 0.39 Aa | 7.77 ± 0.14 ABa | 13.55 ± 0.44 ABa |
| HDS | 6.53 ± 0.61 Aab | 10.84 ± 1.67 Ab | 6.64 ± 0.14 ABab | 10.36 ± 0.70 Ab | |
| FLS | 5.07 ± 0.15 Ab | 7.75 ± 0.90 Ac | 5.25 ± 0.28 ABc | 7.97 ± 0.32 ABc | |
| MKS | 5.83 ± 2.50 Aab | 5.55 ± 0.26 ABd | 5.73 ± 0.99 Ac | 5.84 ± 0.10 ABd | |
| JSM-2 | BTS | 7.43 ± 0.25 BCa | 13.86 ± 0.92 Aa | 7.04 ± 0.25 ABCa | 12.50 ± 0.41 Ba |
| HDS | 7.23 ± 1.86 Aa | 8.18 ± 1.93 BCb | 7.24 ± 0.25 Aa | 7.99 ± 0.82 BCb | |
| FLS | 5.67 ± 0.38 ABab | 7.77 ± 3.13 Ab | 5.96 ± 0.22 Aab | 7.92 ± 1.18 ABb | |
| MKS | 5.13 ± 0.68 ABb | 6.75 ± 1.34 Ab | 5.36 ± 0.25 Ab | 6.56 ± 0.84 Ab | |
| JSM-3 | BTS | 9.13 ± 0.21 Aa | 12.92 ± 0.61 ABa | 8.08 ± 0.54 Aa | 12.42 ± 0.31 Ba |
| HDS | 6.43 ± 0.51 Ab | 9.56 ± 1.10 ABb | 5.88 ± 0.54 ABa | 9.37 ± 0.39 ABb | |
| FLS | 5.77 ± 0.49 ABb | 9.26 ± 1.85 Ab | 5.41 ± 0.35 ABab | 8.61 ± 0.09 Ab | |
| MKS | 4.30 ± 0.10 ABc | 6.59 ± 0.58 Ac | 5.20 ± 0.23 ABb | 7.31 ± 0.28 Ab | |
| Variety | Growth Periods | Record of 2024 | Record of 2025 | ||
|---|---|---|---|---|---|
| Ether Extract % | Soluble Sugar % | Ether Extract % | Soluble Sugar % | ||
| QSM-1 | BTS | 1.25 ± 0.04 ABa | 11.61 ± 3.54 ABd | 1.54 ± 0.17 ABa | 14.40 ± 0.59 ABd |
| HDS | 1.44 ± 0.20 ABa | 21.00 ± 2.74 Ac | 1.48 ± 0.13 ABa | 19.73 ± 0.71 Bc | |
| FLS | 1.26 ± 0.06 Aa | 42.19 ± 1.57 Ab | 1.41 ± 0.02 BCa | 41.01 ± 0.50 Ab | |
| MKS | 1.43 ± 0.20 ABa | 52.41 ± 5.51 Aa | 1.38 ± 0.03 Ba | 49.22 ± 0.50 Aa | |
| QSM-2 | BTS | 1.41 ± 0.27 ABa | 13.55 ± 6.28 Ab | 1.7 ± 0.14 Aa | 16.61 ± 0.24 Ac |
| HDS | 1.44 ± 0.21 ABa | 18.04 ± 7.6 Ab | 1.64 ± 0.05 Aa | 16.06 ± 1.97 Bc | |
| FLS | 1.41 ± 0.28 Aa | 33.70 ± 3.76 Ba | 1.73 ± 0.12 Aa | 33.70 ± 2.17 BCb | |
| MKS | 1.49 ± 0.02 Aa | 42.98 ± 3.14 ABa | 1.53 ± 0.01 Aa | 40.96 ± 1.08 Ba | |
| QSM-3 | BTS | 1.41 ± 0.10 ABa | 6.64 ± 4.34 ABCb | 1.57 ± 0.09 ABab | 9.82 ± 0.94 Cc |
| HDS | 1.24 ± 0.08 Ba | 26.96 ± 2.81 Aa | 1.42 ± 0.05 ABb | 26.71 ± 1.49 Ab | |
| FLS | 1.40 ± 0.15 Aa | 36.22 ± 7.18 Ba | 1.67 ± 0.08 ABa | 34.96 ± 2.79 Ba | |
| MKS | 1.29 ± 0.16 ABa | 37.21 ± 7.12 Ba | 1.44 ± 0.05 ABab | 36.11 ± 3.38 BCa | |
| QSM-7 | BTS | 1.03 ± 0.13 Bc | 2.24 ± 1.23 Cd | 1.36 ± 0.16 ABa | 12.09 ± 0.78 BCc |
| HDS | 1.32 ± 0.10 ABab | 17.00 ± 5.58 Ac | 1.42 ± 0.09 ABa | 16.08 ± 2.42 Bc | |
| FLS | 1.13 ± 0.07 Abc | 28.53 ± 4.92 Bb | 1.13 ± 0.04 Ca | 29.56 ± 0.77 CDb | |
| MKS | 1.42 ± 0.11 ABa | 45.62 ± 0.66 ABa | 1.45 ± 0.055 ABa | 40.17 ± 0.03 Ba | |
| QSM-8 | BTS | 1.57 ± 0.08 Aa | 5.03 ± 3.32 BCd | 1.57 ± 0.05 ABa | 9.25 ± 1.19 Cd |
| HDS | 1.56 ± 0.13 Aa | 20.09 ± 3.00 Ac | 1.56 ± 0.08 ABa | 19.16 ± 1.23 Bc | |
| FLS | 1.44 ± 0.09 Aa | 37.29 ± 2.78 Ba | 1.42 ± 0.10 BCa | 32.48 ± 1.25 BCa | |
| MKS | 1.37 ± 0.14 ABa | 25.32 ± 0.21 Cb | 1.46 ± 0.06 ABa | 25.24 ± 0.09 Db | |
| JSM-2 | BTS | 1.14 ± 0.46 Ba | 6.13 ± 6.22 ABCc | 1.25 ± 0.17 Ba | 9.24 ± 2.14 Cd |
| HDS | 1.35 ± 0.12 ABa | 16.14 ± 6.33 Abc | 1.46 ± 0.04 ABa | 15.03 ± 2.54 Bc | |
| FLS | 1.14 ± 0.33 Aa | 21.70 ± 3.38 Ab | 1.25 ± 0.167 Ca | 26.03 ± 0.29 Db | |
| MKS | 1.20 ± 0.16 Ba | 36.30 ± 4.80 Ba | 1.36 ± 0.01 Ba | 32.58 ± 1.16 Ca | |
| JSM-3 | BTS | 1.17 ± 0.07 ABa | 2.28 ± 1.65 Cc | 1.42 ± 0.01 ABa | 10.49 ± 1.149 Cd |
| HDS | 1.18 ± 0.16 ABa | 17.23 ± 6.13 Ab | 1.32 ± 0.04 Ba | 17.47 ± 3.64 Bc | |
| FLS | 1.12 ± 0.08 Aa | 23.30 ± 6.62 Ab | 1.33 ± 0.05 Ca | 29.90 ± 1.35 BCDb | |
| MKS | 1.20 ± 0.06 Aa | 44.38 ± 2.78 ABa | 1.34 ± 0.04 Ba | 38.82 ± 1.30 Ba | |
| Variety | Growth Periods | Record of 2024 | Record of 2025 | ||
|---|---|---|---|---|---|
| Neutral Detergent Fiber % | Acid Detergent Fiber % | Neutral Detergent Fiber % | Acid Detergent Fiber % | ||
| QSM-1 | BTS | 59.53 ± 2.84 ABab | 31.10 ± 1.47 Dab | 58.06 ± 1.58 ABb | 30.94 ± 0.81 Ba |
| HDS | 62.93 ± 1.50 ABCa | 34.50 ± 1.13 ABCa | 61.23 ± 0.67 ABa | 32.16 ± 1.26 Ba | |
| FLS | 55.97 ± 1.50 ABb | 31.50 ± 0.75 ABab | 51.67 ± 0.32 Cc | 33.76 ± 1.01 Aa | |
| MKS | 48.17 ± 2.04 Bc | 29.17 ± 3.19 Ab | 49.05 ± 0.85 BCd | 30.45 ± 1.16 Aa | |
| QSM-2 | BTS | 58.30 ± 5.67 ABab | 32.47 ± 2.73 CDa | 54.40 ± 2.82 Bb | 31.81 ± 0.86 Bb |
| HDS | 65.00 ± 3.98 ABa | 35.70 ± 2.09 ABCa | 62.20 ± 1.13 Aa | 35.67 ± 1.35 ABa | |
| FLS | 56.93 ± 5.42 ABab | 33.50 ± 5.83 ABa | 57.25 ± 2.43 ABab | 30.80 ± 1.45 BCb | |
| MKS | 53.00 ± 1.48 ABb | 29.03 ± 1.81 Aa | 55.90 ± 0.40 Aab | 30.26 ± 0.47 Ab | |
| QSM-3 | BTS | 58.80 ± 3.16 ABab | 33.00 ± 1.49 BCDa | 57.70 ± 1.79 ABa | 32.42 ± 0.65 Ba |
| HDS | 60.87 ± 0.84 BCa | 33.97 ± 0.31 ABCa | 58.18 ± 1.93 ABa | 33.54 ± 0.12 ABa | |
| FLS | 50.27 ± 5.61 Bb | 30.47 ± 2.68 Ba | 53.37 ± 1.33 Ca | 29.68 ± 1.19 Ca | |
| MKS | 57.37 ± 5.84 Aab | 31.63 ± 3.44 Aa | 54.71 ± 2.75 ABa | 31.50 ± 2.04 Aa | |
| QSM-7 | BTS | 62.60 ± 0.35 Aab | 36.17 ± 0.67 Aa | 60.51 ± 0.41 Aa | 35.67 ± 0.36 Aa |
| HDS | 64.23 ± 0.23 ABa | 36.30 ± 1.25 ABa | 60.04 ± 0.47 ABa | 35.83 ± 0.37 Aa | |
| FLS | 61.50 ± 1.48 Ab | 34.83 ± 2.8 ABa | 60.77 ± 0.78 Aa | 32.85 ± 0.64 ABb | |
| MKS | 51.07 ± 2.20 ABc | 30.60 ± 1.35 Ab | 52.63 ± 1.71 ABCb | 31.10 ± 0.516 Ac | |
| QSM-8 | BTS | 57.00 ± 0.89 Ba | 35.30 ± 0.36 ABCa | 55.49 ± 1.14 ABa | 34.79 ± 0.32 Aa |
| HDS | 57.73 ± 4.10 Ca | 33.53 ± 4.09 BCab | 56.81 ± 1.74 Ba | 32.97 ± 1.52 ABab | |
| FLS | 55.63 ± 5.35 ABab | 32.57 ± 1.78 ABab | 57.26 ± 1.74 ABa | 31.64 ± 0.29 ABCb | |
| MKS | 47.20 ± 6.06 Bb | 29.17 ± 2.89 Ab | 48.54 ± 2.62 Cb | 30.57 ± 0.87 Ab | |
| JSM-2 | BTS | 58.33 ± 0.78 ABa | 30.80 ± 2.00 Da | 56.83 ± 0.89 ABa | 31.17 ± 0.83 Ba |
| HDS | 57.97 ± 4.11 Ca | 31.87 ± 2.40 Ca | 57.58 ± 2.32 ABa | 32.15 ± 1.26 Ba | |
| FLS | 59.37 ± 2.48 Aa | 34.03 ± 1.99 ABa | 60.49 ± 0.88 Aa | 32.08 ± 0.36 ABCa | |
| MKS | 58.17 ± 3.30 Aa | 33.30 ± 1.83 Aa | 57.89 ± 1.85 Aa | 33.21 ± 1.05 Aa | |
| JSM-3 | BTS | 59.13 ± 0.90 ABb | 35.80 ± 1.22 ABa | 57.68 ± 0.79 ABa | 35.22 ± 0.47 Aa |
| HDS | 67.07 ± 2.55 Aa | 37.83 ± 1.87 Aa | 61.99 ± 0.73 Aa | 36.44 ± 0.88 Aa | |
| FLS | 61.60 ± 1.51 Ab | 36.23 ± 1.72 Aa | 60.27 ± 0.09 Aa | 33.59 ± 0.31 ABa | |
| MKS | 52.30 ± 1.84 ABc | 29.23 ± 1.55 Ab | 57.69 ± 0.74 Aa | 30.15 ± 0.61 Aa | |
| Variety | Growth Periods | Record of 2024 | Record of 2025 | ||
|---|---|---|---|---|---|
| Relative Feeding Value | Relative Forage Quality | Relative Feeding Value | Relative Forage Quality | ||
| QSM-1 | BTS | 101.15 ± 3.54 ABb | 69.91 ± 4.11 ABbc | 104.01 ± 3.60 Ad | 138.05 ± 6.76 ABbc |
| HDS | 90.79 ± 4.35 ABc | 79.04 ± 2.37 Ab | 97.06 ± 2.48 ABc | 125.47 ± 6.16 ABc | |
| FLS | 106.91 ± 3.47 ABb | 99.28 ± 1.81 Aa | 106.53 ± 1.76 ABb | 134.09 ± 4.38 ABb | |
| MKS | 128.11 ± 7.08 Aa | 61.87 ± 1.93 ABbc | 123.64 ± 0.43 Aa | 162.71 ± 3.95 Aa | |
| QSM-2 | BTS | 102.21 ± 13.21 Aab | 73.69 ± 8.23 ABbc | 110.30 ± 6.40 Aa | 143.19 ± 10.10 Aa |
| HDS | 86.82 ± 8.95 Bb | 77.28 ± 8.56 Ab | 91.60 ± 3.17 Bb | 111.31 ± 6.34 Bb | |
| FLS | 103.41 ± 17.41 ABab | 87.73 ± 2.68 ABCa | 106.01 ± 6.51 ABab | 141.50 ± 12.83 ABa | |
| MKS | 116.50 ± 2.38 ABa | 57.76 ± 4.57 Cc | 108.71 ± 0.64 ABa | 146.28 ± 1.86 ABa | |
| QSM-3 | BTS | 100.14 ± 6.73 ABb | 71.79 ± 4.56 Bb | 102.80 ± 3.61 ABa | 132.53 ± 6.82 Aa |
| HDS | 95.31 ± 1.72 ABb | 88.67 ± 4.67 Aa | 101.16 ± 3.37 ABa | 126.73 ± 4.02 ABa | |
| FLS | 121.75 ± 14.54 Aa | 76.21 ± 8.72 BCab | 116.06 ± 5.13 Aa | 156.33 ± 9.74 Aa | |
| MKS | 105.29 ± 14.34 Bab | 66.51 ± 1.14 ABc | 111.05 ± 8.70 ABa | 145.30 ± 15.00 ABa | |
| QSM-7 | BTS | 89.98 ± 0.78 Bb | 62.55 ± 0.44 Ac | 92.82 ± 0.40 Bb | 114.24 ± 0.74 Cb |
| HDS | 87.23 ± 0.82 Bb | 70.08 ± 1.36 Ab | 93.29 ± 0.63 Bb | 114.72 ± 1.20 ABb | |
| FLS | 93.66 ± 5.46 Bb | 97.39 ± 2.41 Aa | 97.71 ± 1.45 Bb | 123.56 ± 3.66 Bb | |
| MKS | 118.80 ± 6.57 ABa | 62.36 ± 3.48 ABCc | 114.99 ± 4.96 ABa | 150.48 ± 6.72 ABa | |
| QSM-8 | BTS | 100.19 ± 1.19 ABb | 76.19 ± 1.38 Aab | 103.99 ± 2.45 Ab | 128.14 ± 3.59 ABCb |
| HDS | 101.88 ± 12.50 Ab | 80.91 ± 9.07 Aab | 106.43 ± 5.03 Ab | 133.01 ± 9.87 Ab | |
| FLS | 107.68 ± 13.73 ABab | 98.06 ± 6.48 Aa | 106.80 ± 3.06 ABb | 136.64 ± 4.80 ABb | |
| MKS | 131.98 ± 20.77 Aa | 74.74 ± 6.21 Ab | 124.13 ± 5.64 Aa | 163.67 ± 10.79 Aa | |
| JSM-2 | BTS | 103.65 ± 3.50 Aa | 72.70 ± 1.14 ABa | 109.94 ± 0.94 Aa | 139.80 ± 2.00 ABa |
| HDS | 103.38 ± 10.10 Aa | 74.60 ± 2.38 Aa | 107.65 ± 5.23 Aa | 134.30 ± 9.25 Aa | |
| FLS | 97.81 ± 5.65 Ba | 73.44 ± 5.01 Ca | 103.12 ± 1.80 Ba | 127.13 ± 3.31 Ba | |
| MKS | 100.90 ± 7.85 Ba | 74.14 ± 6.29 ABa | 104.33 ± 3.93 Ba | 129.16 ± 8.21 Ba | |
| JSM-3 | BTS | 95.73 ± 1.56 ABb | 70.69 ± 1.29 ABab | 101.45 ± 0.42 ABa | 121.79 ± 0.71 BCa |
| HDS | 81.69 ± 4.95 Bc | 74.85 ± 4.56 Aab | 94.33 ± 2.22 Ba | 108.93 ± 4.04 Ba | |
| FLS | 91.65 ± 4.22 Bb | 89.97 ± 3.30 ABa | 100.31 ± 0.59 Ba | 121.86 ± 0.93 Ba | |
| MKS | 117.87 ± 5.88 ABa | 60.12 ± 2.87 BCb | 110.57 ± 1.68 ABa | 142.36 ± 3.34 ABa | |
| Indicator | Comprehensive Indicators | ||||
|---|---|---|---|---|---|
| 2024 | 2025 | Ranking | |||
| Principal Component CI1 | Principal Component CI2 | Principal Component CI1 | Principal Component CI2 | ||
| Plant height | 0.108 | 0.173 | 0.093 | 0.20 | 5 |
| Tiller number | −0.104 | 0.065 | −0.065 | 0.113 | 10 |
| Stem diameter | −0.051 | 0.162 | −0.06 | 0.037 | 13 |
| Number of leaves | 0.065 | 0.205 | 0.039 | 0.18 | 8 |
| Fresh biomass yield | 0.07 | 0.228 | 0.062 | 0.234 | 7 |
| Dry matter yield | 0.106 | 0.146 | 0.103 | 0.17 | 4 |
| Dry matter content | 0.129 | 0.087 | 0.129 | −0.008 | 2 |
| CA | −0.136 | 0.010 | −0.128 | −0.042 | 14 |
| CP | −0.129 | 0.007 | −0.128 | −0.027 | 15 |
| EE | 0.027 | −0.166 | −0.006 | −0.227 | 12 |
| SS | 0.139 | −0.012 | 0.138 | 0.044 | 1 |
| NDF | −0.106 | 0.143 | −0.105 | 0.143 | 11 |
| ADF | −0.096 | 0.195 | −0.11 | 0.135 | 9 |
| RFV | 0.109 | −0.153 | 0.121 | −0.121 | 3 |
| RFQ | −0.003 | 0.136 | 0.121 | −0.157 | 6 |
| Eigen values | 6.71 | 3.22 | 6.51 | 3.29 | |
| Contributive rate/% | 44.66 | 21.44 | 0.43 | 0.22 | |
| Cumulative contributive rate/% | 44.66 | 66.10 | 43.44 | 65.34 | |
| Variety | Growth Periods | Euclidean Distance to Positive Ideal Solution (D+) | Euclidean Distance to Negative Ideal Solution (D−) | Closeness Coefficient (Ci) | ||
|---|---|---|---|---|---|---|
| QSM-1 | BTS | 0.72 | 0.61 | 0.41 | 0.57 | 0.421 |
| HDS | 0.61 | 0.64 | 0.6 | 0.50 | 0.465 | |
| FLS | 0.62 | 0.58 | 0.57 | 0.64 | 0.503 | |
| MKS | 0.62 | 0.58 | 0.59 | 0.70 | 0.514 | |
| QSM-2 | BTS | 0.79 | 0.60 | 0.34 | 0.70 | 0.420 |
| HDS | 0.67 | 0.80 | 0.49 | 0.36 | 0.365 | |
| FLS | 0.70 | 0.55 | 0.50 | 0.55 | 0.460 | |
| MKS | 0.6 | 0.66 | 0.62 | 0.55 | 0.480 | |
| QSM-3 | BTS | 0.77 | 0.73 | 0.33 | 0.41 | 0.335 |
| HDS | 0.65 | 0.61 | 0.48 | 0.57 | 0.455 | |
| FLS | 0.63 | 0.56 | 0.56 | 0.71 | 0.515 | |
| MKS | 0.70 | 0.77 | 0.59 | 0.34 | 0.385 | |
| QSM-7 | BTS | 0.76 | 0.66 | 0.50 | 0.53 | 0.420 |
| HDS | 0.68 | 0.72 | 0.59 | 0.36 | 0.400 | |
| FLS | 0.55 | 0.76 | 0.62 | 0.47 | 0.465 | |
| MKS | 0.64 | 0.48 | 0.48 | 0.59 | 0.490 | |
| QSM-8 | BTS | 0.55 | 0.59 | 0.74 | 0.60 | 0.540 |
| HDS | 0.44 | 0.40 | 0.77 | 0.77 | 0.650 | |
| FLS | 0.44 | 0.46 | 0.82 | 0.63 | 0.615 | |
| MKS | 0.29 | 0.56 | 0.84 | 0.71 | 0.650 | |
| JSM-2 | BTS | 0.72 | 0.65 | 0.49 | 0.61 | 0.445 |
| HDS | 0.63 | 0.59 | 0.62 | 0.66 | 0.515 | |
| FLS | 0.55 | 0.74 | 0.65 | 0.43 | 0.455 | |
| MKS | 0.73 | 0.73 | 0.52 | 0.44 | 0.400 | |
| JSM-3 | BTS | 0.59 | 0.63 | 0.67 | 0.64 | 0.515 |
| HDS | 0.66 | 0.68 | 0.65 | 0.63 | 0.490 | |
| FLS | 0.48 | 0.67 | 0.72 | 0.56 | 0.525 | |
| MKS | 0.62 | 0.56 | 0.67 | 0.71 | 0.540 | |
| Nutrients Parameters | Value |
|---|---|
| PH value | 8.70 |
| Electrical conductivity | 2.61 ms·cm−1 |
| Total nitrogen | 0.83 g·kg−1 |
| Total phosphorus | 0.71 g·kg−1 |
| Available potassium | 135.00 mg·kg−1 |
| Available phosphorus | 29.08 mg·kg−1 |
| Nitrate nitrogen | 21.87 mg·kg−1 |
| Organic matter | 10.76 g·kg−1 |
| Total dissolved solids | 11.00 g·kg−1 |
| Sample Number | Variety Name | Variety Type | Variety Source | Breeding Sites |
|---|---|---|---|---|
| QSM-1 | Qingsimai No. 1 | Spring-type medium-maturing forage variety | Academy of Animal Science and Veterinary Medicine, Qinghai University | Qinghai Province |
| QSM-2 | Qingsimai No. 2 | Spring-type medium maturing forage variety | Academy of Animal Science and Veterinary Medicine, Qinghai University | Qinghai Province |
| QSM-3 | Qingsimai No. 3 | Spring-type medium maturing forage variety | Academy of Animal Science and Veterinary Medicine, Qinghai University | Qinghai Province |
| QSM-7 | Qingsimai No. 7 | Spring-type medium-late maturing forage variety | Academy of Animal Science and Veterinary Medicine, Qinghai University | Qinghai Province |
| QSM-8 | Qingsimai No. 8 | Spring-type medium-late maturing forage variety | Academy of Animal Science and Veterinary Medicine, Qinghai University | Qinghai Province |
| JSM-2 | Jisimai No. 2 | Spring-type late-maturing forage variety | Ningxia Xibei Agriculture, Forestry and Animal Husbandry Ecological Technology Co., Ltd. | Hebei Province |
| JSM-3 | Jisimai No. 3 | Spring-type late-maturing forage variety | Ningxia Xibei Agriculture, Forestry and Animal Husbandry Ecological Technology Co., Ltd. | Hebei Province |
Disclaimer/Publisher’s Note: The statements, opinions and data contained in all publications are solely those of the individual author(s) and contributor(s) and not of MDPI and/or the editor(s). MDPI and/or the editor(s) disclaim responsibility for any injury to people or property resulting from any ideas, methods, instructions or products referred to in the content. |
© 2025 by the authors. Licensee MDPI, Basel, Switzerland. This article is an open access article distributed under the terms and conditions of the Creative Commons Attribution (CC BY) license (https://creativecommons.org/licenses/by/4.0/).
Share and Cite
Xue, F.; Xu, C.; Zhao, Y.; Pu, X.; Wang, J.; Wei, X.; Wang, W. The Impact of Varieties and Growth Stages on the Production Performance and Nutritional Quality of Forage Triticale in the Qaidam Basin. Plants 2025, 14, 2942. https://doi.org/10.3390/plants14192942
Xue F, Xu C, Zhao Y, Pu X, Wang J, Wei X, Wang W. The Impact of Varieties and Growth Stages on the Production Performance and Nutritional Quality of Forage Triticale in the Qaidam Basin. Plants. 2025; 14(19):2942. https://doi.org/10.3390/plants14192942
Chicago/Turabian StyleXue, Fengjuan, Chengti Xu, Yuanyuan Zhao, Xiaojian Pu, Jie Wang, Xiaoli Wei, and Wei Wang. 2025. "The Impact of Varieties and Growth Stages on the Production Performance and Nutritional Quality of Forage Triticale in the Qaidam Basin" Plants 14, no. 19: 2942. https://doi.org/10.3390/plants14192942
APA StyleXue, F., Xu, C., Zhao, Y., Pu, X., Wang, J., Wei, X., & Wang, W. (2025). The Impact of Varieties and Growth Stages on the Production Performance and Nutritional Quality of Forage Triticale in the Qaidam Basin. Plants, 14(19), 2942. https://doi.org/10.3390/plants14192942

