Improved Multi-Stage Rice Above-Ground Biomass Estimation Using Wavelet-Texture-Fused Vegetation Indices from UAV Remote Sensing
Abstract
1. Introduction
2. Materials and Methods
2.1. Experiment Location and Design
2.2. Rice AGB Data Collection
2.3. UAV Image Acquisition and Processing
2.4. Texture Analysis
2.4.1. Texture Extraction Based on Discrete Wavelet Transform (DWT)
2.4.2. Definition of Normalized Difference Wavelet Texture Index (NDWTI)
2.5. Methods for Analyzing the Correlation Between Remote Sensing Variables and Rice AGB
2.6. Construction and Evaluation of Rice AGB Prediction Models
2.7. Model Visualization and Explanation Based on Shapley Additive Explanations (SHAP)
3. Results
3.1. Analysis of the Relationship Between VIs and AGB at Different Growth Stages of Rice
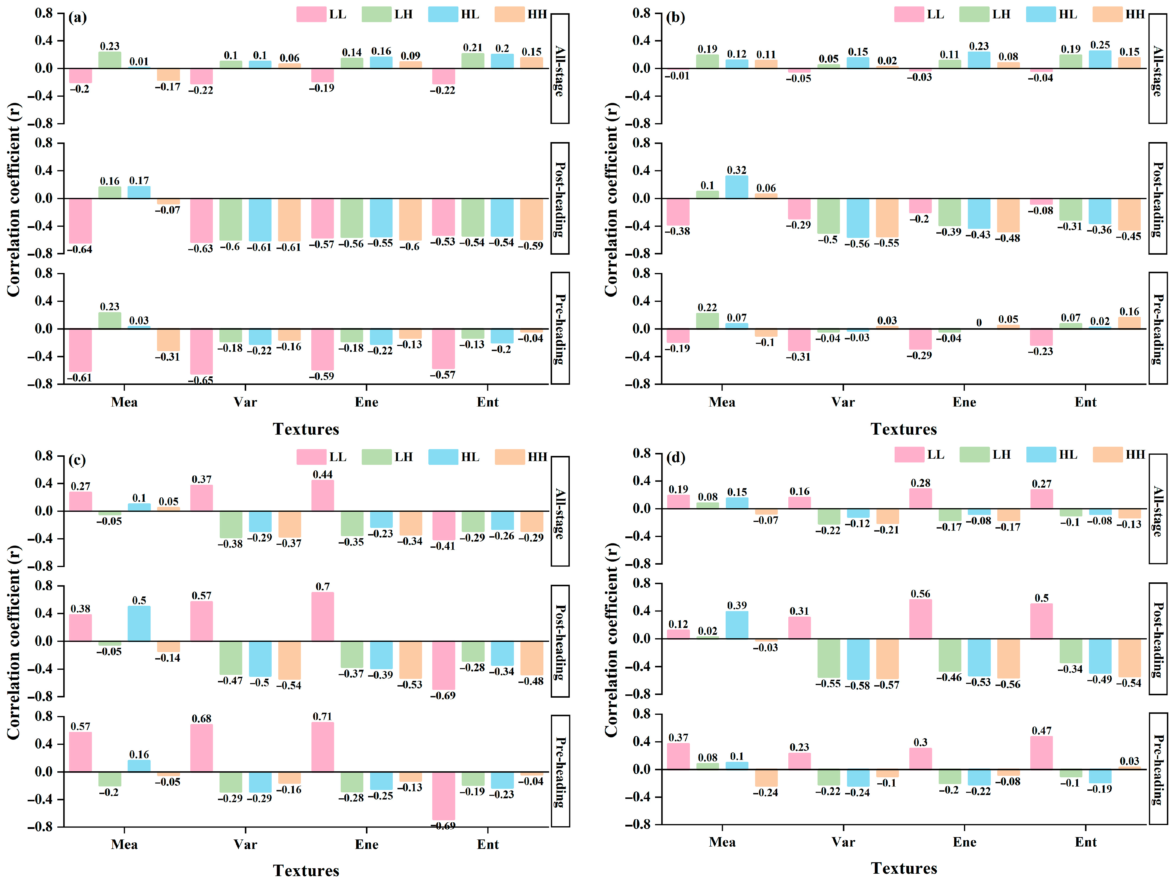
3.2. Analysis of the Relationship Between WTs and AGB at Different Stages of Rice Growth
3.3. Construction and Validation of the Model for Estimating AGB in Rice
3.4. Contribution of Spectral and Textural Features to AGB Estimation for Rice
4. Discussion
4.1. Limitations of VIs in Estimating AGB
4.2. Advantages of DWT
4.3. Complementary Analysis of VIs and NDWTIs
4.4. Comparison of MLR and RF Performance in Estimating AGB
4.5. Application Potential and Limitations
5. Conclusions
Supplementary Materials
Author Contributions
Funding
Data Availability Statement
Conflicts of Interest
References
- Yuan, L.-P. Development of Hybrid Rice to Ensure Food Security. Rice Sci. 2014, 21, 1–2. [Google Scholar] [CrossRef]
- Yang, H.W.; Zhang, L.Y.; Gao, X.Q.; Han, S.; Ma, Z.B.; Wang, L.L. Multi-Dimensional Analysis of Quality-Related Traits Affecting the Taste of Main Cultivated Japonica Rice Varieties in Northern China. Agronomy 2025, 15, 1757. [Google Scholar] [CrossRef]
- Shu, M.Y.; Zuo, J.Y.; Shen, M.Y.; Yin, P.F.; Wang, M.; Yang, X.H.; Tang, J.H.; Li, B.G.; Ma, Y.T. Improving the estimation accuracy of SPAD values for maize leaves by removing UAV hyperspectral image backgrounds. Int. J. Remote Sens. 2021, 42, 5864–5883. [Google Scholar] [CrossRef]
- Jin, X.L.; Madec, S.; Dutartre, D.; de Solan, B.; Comar, A.; Baret, F. High-Throughput Measurements of Stem Characteristics to Estimate Ear Density and Above-Ground Biomass. Plant Phenomics 2019, 2019, 4820305. [Google Scholar] [CrossRef]
- Li, Z.H.; Zhao, Y.; Taylor, J.; Gaulton, R.; Jin, X.L.; Song, X.Y.; Li, Z.H.; Meng, Y.; Chen, P.F.; Feng, H.K.; et al. Comparison and transferability of thermal, temporal and phenological-based in-season predictions of above-ground biomass in wheat crops from proximal crop reflectance data. Remote Sens. Environ. 2022, 273, 112967. [Google Scholar] [CrossRef]
- Kumar, A.; Tewari, S.; Singh, H.; Kumar, P.; Kumar, N.; Bisht, S.; Devi, S.; Nidhi; Kaushal, R. Biomass accumulation and carbon stock in different agroforestry systems prevalent in the Himalayan foothills, India. Curr. Sci. 2021, 120, 1083–1088. [Google Scholar] [CrossRef]
- Liu, Y.; Feng, H.K.; Yue, J.B.; Li, Z.H.; Yang, G.J.; Song, X.Y.; Yang, X.D.; Zhao, Y. Remote-sensing estimation of potato above-ground biomass based on spectral and spatial features extracted from high-definition digital camera images. Comput. Electron. Agric. 2022, 198, 107089. [Google Scholar] [CrossRef]
- Zhou, C.Q.; Ye, H.B.; Hu, J.; Shi, X.Y.; Hua, S.; Yue, J.B.; Xu, Z.F.; Yang, G.J. Automated Counting of Rice Panicle by Applying Deep Learning Model to Images from Unmanned Aerial Vehicle Platform. Sensors 2019, 19, 3106. [Google Scholar] [CrossRef]
- Zhang, J.Y.; Liu, X.; Liang, Y.; Cao, Q.; Tian, Y.C.; Zhu, Y.; Cao, W.X.; Liu, X.J. Using a Portable Active Sensor to Monitor Growth Parameters and Predict Grain Yield of Winter Wheat. Sensors 2019, 19, 1108. [Google Scholar] [CrossRef]
- Weiss, M.; Jacob, F.; Duveiller, G. Remote sensing for agricultural applications: A meta-review. Remote Sens. Environ. 2020, 236, 111402. [Google Scholar] [CrossRef]
- Meng, L.; Yin, D.M.; Cheng, M.H.; Liu, S.B.; Bai, Y.; Liu, Y.; Liu, Y.D.; Jia, X.; Nan, F.; Song, Y.; et al. Improved Crop Biomass Algorithm with Piecewise Function (iCBA-PF) for Maize Using Multi-Source UAV Data. Drones 2023, 7, 254. [Google Scholar] [CrossRef]
- Hassan, M.A.; Yang, M.J.; Rasheed, A.; Yang, G.J.; Reynolds, M.; Xia, X.C.; Xiao, Y.G.; He, Z.H. A rapid monitoring of NDVI across the wheat growth cycle for grain yield prediction using a multi-spectral UAV platform. Plant Sci. 2019, 282, 95–103. [Google Scholar] [CrossRef]
- Shu, M.Y.; Shen, M.Y.; Dong, Q.Z.; Yang, X.H.; Li, B.G.; Ma, Y.T. Estimating the maize above-ground biomass by constructing the tridimensional concept model based on UAV-based digital and multi-spectral images. Field Crops Res. 2022, 282, 108491. [Google Scholar]
- Skobalski, J.; Sagan, V.; Alifu, H.; Al Akkad, O.; Lopes, F.A.; Grignola, F. Bridging the gap between crop breeding and GeoAI: Soybean yield prediction from multispectral UAV images with transfer learning. Isprs J. Photogramm. Remote Sens. 2024, 210, 260–281. [Google Scholar] [CrossRef]
- Derraz, R.; Muharam, F.M.; Nurulhuda, K.; Jaafar, N.A.; Yap, N.K. Ensemble and single algorithm models to handle multicollinearity of UAV vegetation indices for predicting rice biomass. Comput. Electron. Agric. 2023, 205, 107621. [Google Scholar] [CrossRef]
- Zhao, D.; Yang, H.; Yang, G.J.; Yu, F.H.; Zhang, C.J.; Chen, R.Q.; Tang, A.H.; Zhang, W.J.; Yang, C.; Xu, T.Y. Estimation of Maize Biomass at Multi-Growing Stage Using Stem and Leaf Separation Strategies with 3D Radiative Transfer Model and CNN Transfer Learning. Remote Sens. 2024, 16, 3000. [Google Scholar] [CrossRef]
- Yu, F.H.; Xiang, S.; Xu, C.Y.; Jin, Z.Y. PIOSL-PRO: Construction of the PIOSL Model Considering the Distribution of Multiple Elements. IEEE Trans. Geosci. Remote Sens. 2024, 62, 3433019. [Google Scholar] [CrossRef]
- Zhou, C.; Gong, Y.; Fang, S.H.; Yang, K.L.; Peng, Y.; Wu, X.T.; Zhu, R.S. Combining spectral and wavelet texture features for unmanned aerial vehicles remote estimation of rice leaf area index. Front. Plant Sci. 2022, 13, 957870. [Google Scholar] [CrossRef] [PubMed]
- Jin, Z.Y.; Liu, H.Z.; Cao, H.N.; Li, S.L.; Yu, F.H.; Xu, T.Y. Hyperspectral Remote Sensing Estimation of Rice Canopy LAI and LCC by UAV Coupled RTM and Machine Learning. Agriculture 2025, 15, 11. [Google Scholar] [CrossRef]
- Zheng, H.B.; Cheng, T.; Li, D.; Zhou, X.; Yao, X.; Tian, Y.C.; Cao, W.X.; Zhu, Y. Evaluation of RGB, Color-Infrared and Multispectral Images Acquired from Unmanned Aerial Systems for the Estimation of Nitrogen Accumulation in Rice. Remote Sens. 2018, 10, 824. [Google Scholar] [CrossRef]
- Zhang, J.Y.; Qiu, X.L.; Wu, Y.T.; Zhu, Y.; Cao, Q.; Liu, X.J.; Cao, W.X. Combining texture, color, and vegetation indices from fixed-wing UAS imagery to estimate wheat growth parameters using multivariate regression methods. Comput. Electron. Agric. 2021, 185, 106138. [Google Scholar] [CrossRef]
- Yu, F.H.; Bai, J.C.; Jin, Z.Y.; Zhang, H.G.; Yang, J.X.; Xu, T.Y. Estimating the rice nitrogen nutrition index based on hyperspectral transform technology. Front. Plant Sci. 2023, 14, 1118098. [Google Scholar] [CrossRef]
- Song, E.Z.; Shao, G.C.; Zhu, X.Y.; Zhang, W.; Dai, Y.; Lu, J. Estimation of Plant Height and Biomass of Rice Using Unmanned Aerial Vehicle. Agronomy 2024, 14, 145. [Google Scholar] [CrossRef]
- Che, Y.P.; Wang, Q.; Xie, Z.W.; Zhou, L.; Li, S.W.; Hui, F.; Wang, X.Q.; Li, B.G.; Ma, Y.T. Estimation of maize plant height and leaf area index dynamics using an unmanned aerial vehicle with oblique and nadir photography. Ann. Bot. 2020, 126, 765–773. [Google Scholar] [CrossRef]
- Nguy-Robertson, A.; Gitelson, A.; Peng, Y.; Viña, A.; Arkebauer, T.; Rundquist, D. Green Leaf Area Index Estimation in Maize and Soybean: Combining Vegetation Indices to Achieve Maximal Sensitivity. Agron. J. 2012, 104, 1336–1347. [Google Scholar] [CrossRef]
- He, J.Y.; Zhang, N.; Su, X.; Lu, J.S.; Yao, X.; Cheng, T.; Zhu, Y.; Cao, W.X.; Tian, Y.C. Estimating Leaf Area Index with a New Vegetation Index Considering the Influence of Rice Panicles. Remote Sens. 2019, 11, 1809. [Google Scholar] [CrossRef]
- Zha, H.N.; Miao, Y.X.; Wang, T.T.; Li, Y.; Zhang, J.; Sun, W.C.; Feng, Z.Q.; Kusnierek, K. Improving Unmanned Aerial Vehicle Remote Sensing-Based Rice Nitrogen Nutrition Index Prediction with Machine Learning. Remote Sens. 2020, 12, 215. [Google Scholar] [CrossRef]
- Yang, Q.; Shi, L.S.; Han, J.Y.; Chen, Z.W.; Yu, J. A VI-based phenology adaptation approach for rice crop monitoring using UAV multispectral images. Field Crops Res. 2022, 277, 108419. [Google Scholar] [CrossRef]
- Li, J.P.; Li, J.X.; Zhao, D.X.; Cao, Q.; Yu, F.H.; Cao, Y.L.; Feng, S.; Xu, T.Y. High-throughput method for improving rice AGB estimation based on UAV multi-source remote sensing image feature fusion and ensemble learning. Front. Plant Sci. 2025, 16, 1576212. [Google Scholar] [CrossRef] [PubMed]
- Zhou, X.; Zheng, H.B.; Xu, X.Q.; He, J.Y.; Ge, X.K.; Yao, X.; Cheng, T.; Zhu, Y.; Cao, W.X.; Tian, Y.C. Predicting grain yield in rice using multi-temporal vegetation indices from UAV-based multispectral and digital imagery. ISPRS J. Photogramm. Remote Sens. 2017, 130, 246–255. [Google Scholar] [CrossRef]
- Liu, Y.; Fan, K.J.; Meng, L.; Nie, C.W.; Liu, Y.D.; Cheng, M.H.; Song, Y.; Jin, X.L. Synergistic use of stay-green traits and UAV multispectral information in improving maize yield estimation with the random forest regression algorithm. Comput. Electron. Agric. 2025, 229, 109724. [Google Scholar] [CrossRef]
- Kelsey, K.C.; Neff, J.C. Estimates of Aboveground Biomass from Texture Analysis of Landsat Imagery. Remote Sens. 2014, 6, 6407–6422. [Google Scholar] [CrossRef]
- Adeluyi, O.; Harris, A.; Foster, T.; Clay, G.D. Exploiting centimetre resolution of drone-mounted sensors for estimating mid-late season above ground biomass in rice. Eur. J. Agron. 2022, 132, 126411. [Google Scholar] [CrossRef]
- Wang, Z.L.; Ma, Y.M.; Chen, P.; Yang, Y.G.; Fu, H.; Yang, F.; Raza, M.A.; Guo, C.C.; Shu, C.H.; Sun, Y.J.; et al. Estimation of Rice Aboveground Biomass by Combining Canopy Spectral Reflectance and Unmanned Aerial Vehicle-Based Red Green Blue Imagery Data. Front. Plant Sci. 2022, 13, 903643. [Google Scholar] [CrossRef]
- Li, H.; Yan, X.B.; Su, P.Y.; Su, Y.M.; Li, J.F.; Xu, Z.X.; Gao, C.R.; Zhao, Y.; Feng, M.C.; Shafiq, F.; et al. Estimation of winter wheat LAI based on color indices and texture features of RGB images taken by UAV. J. Sci. Food Agric. 2025, 105, 189–200. [Google Scholar] [CrossRef]
- Bruce, L.M. Dimensionality reduction of hyperspectral data using discrete wavelet transform feature extraction. IEEE Trans. Geosci. Remote Sens. 2002, 40, 2331–2338. [Google Scholar] [CrossRef]
- Yue, J.B.; Zhou, C.Q.; Guo, W.; Feng, H.K.; Xu, K.J. Estimation of winter-wheat above-ground biomass using the wavelet analysis of unmanned aerial vehicle-based digital images and hyperspectral crop canopy images. Int. J. Remote Sens. 2021, 42, 1602–1622. [Google Scholar] [CrossRef]
- Liu, Y.; Feng, H.K.; Yue, J.B.; Jin, X.L.; Fan, Y.G.; Chen, R.Q.; Bian, M.B.; Ma, Y.P.; Song, X.Y.; Yang, G.J. Improved potato AGB estimates based on UAV RGB and hyperspectral images. Comput. Electron. Agric. 2023, 214, 108260. [Google Scholar] [CrossRef]
- Stefenon, S.F.; Seman, L.O.; da Silva, E.C.; Finardi, E.C.; Coelho, L.D.; Mariani, V.C. Hypertuned wavelet convolutional neural network with long short-term memory for time series forecasting in hydroelectric power plants. Energy 2024, 313, 133918. [Google Scholar] [CrossRef]
- Yang, B.H.; Wang, M.X.; Sha, Z.X.; Wang, B.; Chen, J.L.; Yao, X.; Cheng, T.; Cao, W.X.; Zhu, Y. Evaluation of Aboveground Nitrogen Content of Winter Wheat Using Digital Imagery of Unmanned Aerial Vehicles. Sensors 2019, 19, 4416. [Google Scholar] [CrossRef] [PubMed]
- Han, W.Q.; Guan, J.Y.; Zheng, J.H.; Liu, Y.J.; Ju, X.F.; Liu, L.; Li, J.H.; Mao, X.R.; Li, C.R. Probabilistic assessment of drought stress vulnerability in grasslands of Xinjiang, China. Front. Plant Sci. 2023, 14, 1143863. [Google Scholar] [CrossRef] [PubMed]
- Hussain, M.H.; Abuhani, D.A.; Khan, J.; ElMohandes, M.; Zualkernan, I.; Ali, T. A Light-Weight Cropland Mapping Model Using Satellite Imagery. Sensors 2023, 23, 6729. [Google Scholar] [CrossRef]
- Sandonís-Pozo, L.; Oger, B.; Tisseyre, B.; Llorens, J.; Escolà, A.; Pascual, M.; Martínez-Casasnovas, J.A. Leafiness-LiDAR index and NDVI for identification of temporal patterns in super-intensive almond orchards as response to different management strategies. Eur. J. Agron. 2024, 159, 127278. [Google Scholar] [CrossRef]
- Mutanga, O.; Adam, E.; Cho, M.A. High density biomass estimation for wetland vegetation using WorldView-2 imagery and random forest regression algorithm. Int. J. Appl. Earth Obs. Geoinf. 2012, 18, 399–406. [Google Scholar] [CrossRef]
- Li, Y.F.; Li, C.C.; Cheng, Q.; Duan, F.Y.; Zhai, W.G.; Li, Z.P.; Mao, B.H.; Ding, F.; Kuang, X.H.; Chen, Z. Estimating Maize Crop Height and Aboveground Biomass Using Multi-Source Unmanned Aerial Vehicle Remote Sensing and Optuna-Optimized Ensemble Learning Algorithms. Remote Sens. 2024, 16, 3176. [Google Scholar] [CrossRef]
- da Silva, E.C.; Finardi, E.C.; Stefenon, S.F. Enhancing hydroelectric inflow prediction in the Brazilian power system: Comparative analysis of machine learning models and hyperparameter optimization for decision support. Electr. Power Syst. Res. 2024, 230, 110275. [Google Scholar] [CrossRef]
- Hlatshwayo, S.T.; Mutanga, O.; Lottering, R.T.; Kiala, Z.; Ismail, R. Mapping forest aboveground biomass in the reforested Buffelsdraai landfill site using texture combinations computed from SPOT-6 pan-sharpened imagery. Int. J. Appl. Earth Obs. Geoinf. 2019, 74, 65–77. [Google Scholar] [CrossRef]
- Miller, T. Explanation in artificial intelligence: Insights from the social sciences. Artif. Intell. 2019, 267, 1–38. [Google Scholar] [CrossRef]
- Li, Z.Q. Extracting spatial effects from machine learning model using local interpretation method: An example of SHAP and XGBoost. Comput. Environ. Urban Syst. 2022, 96, 101845. [Google Scholar] [CrossRef]
- Zhang, S.H.; He, L.; Duan, J.Z.; Zang, S.L.; Yang, T.C.; Schulthess, U.R.S.; Guo, T.C.; Wang, C.Y.; Feng, W. Aboveground wheat biomass estimation from a low-altitude UAV platform based on multimodal remote sensing data fusion with the introduction of terrain factors. Precis. Agric. 2024, 25, 119–145. [Google Scholar] [CrossRef]
- Liu, Y.; Feng, H.K.; Yue, J.B.; Fan, Y.G.; Bian, M.B.; Ma, Y.P.; Jin, X.L.; Song, X.Y.; Yang, G.J. Estimating potato above-ground biomass by using integrated unmanned aerial system-based optical, structural, and textural canopy measurements. Comput. Electron. Agric. 2023, 213, 108229. [Google Scholar] [CrossRef]
- Liang, Y.Y.; Kou, W.L.; Lai, H.Y.; Wang, J.; Wang, Q.H.; Xu, W.H.; Wang, H.; Lu, N. Improved estimation of aboveground biomass in rubber plantations by fusing spectral and textural information from UAV-based RGB imagery. Ecol. Indic. 2022, 142, 109286. [Google Scholar] [CrossRef]
- Cheng, T.; Song, R.Z.; Li, D.; Zhou, K.; Zheng, H.B.; Yao, X.; Tian, Y.C.; Cao, W.X.; Zhu, Y. Spectroscopic Estimation of Biomass in Canopy Components of Paddy Rice Using Dry Matter and Chlorophyll Indices. Remote Sens. 2017, 9, 319. [Google Scholar] [CrossRef]
- Wang, X.K.; Xu, G.L.; Feng, Y.H.; Peng, J.F.; Gao, Y.Q.; Li, J.; Han, Z.L.; Luo, Q.X.; Ren, H.J.; You, X.X.; et al. Estimation Model of Rice Aboveground Dry Biomass Based on the Machine Learning and Hyperspectral Characteristic Parameters of the Canopy. Agronomy 2023, 13, 1940. [Google Scholar] [CrossRef]
- Fan, Y.G.; Feng, H.K.; Yue, J.B.; Jin, X.L.; Liu, Y.; Chen, R.Q.; Bian, M.B.; Ma, Y.P.; Song, X.Y.; Yang, G.J. Using an optimized texture index to monitor the nitrogen content of potato plants over multiple growth stages. Comput. Electron. Agric. 2023, 212, 108147. [Google Scholar] [CrossRef]
- Zheng, H.B.; Cheng, T.; Zhou, M.; Li, D.; Yao, X.; Tian, Y.C.; Cao, W.X.; Zhu, Y. Improved estimation of rice aboveground biomass combining textural and spectral analysis of UAV imagery. Precis. Agric. 2019, 20, 611–629. [Google Scholar] [CrossRef]
- Dhakal, R.; Maimaitijiang, M.; Chang, J.; Caffe, M. Utilizing Spectral, Structural and Textural Features for Estimating Oat Above-Ground Biomass Using UAV-Based Multispectral Data and Machine Learning. Sensors 2023, 23, 9708. [Google Scholar] [CrossRef]
- Shu, M.Y.; Fei, S.P.; Zhang, B.Y.; Yang, X.H.; Guo, Y.; Li, B.G.; Ma, Y.T. Application of UAV Multisensor Data and Ensemble Approach for High-Throughput Estimation of Maize Phenotyping Traits. Plant Phenomics 2022, 2022, 9802585. [Google Scholar] [CrossRef]
- Yue, J.B.; Yang, G.J.; Tian, Q.J.; Feng, H.K.; Xu, K.J.; Zhou, C.Q. Estimate of winter-wheat above-ground biomass based on UAV ultrahigh-ground-resolution image textures and vegetation indices. ISPRS J. Photogramm. Remote Sens. 2019, 150, 226–244. [Google Scholar] [CrossRef]
- Xu, T.Y.; Wang, F.M.; Shi, Z.; Miao, Y.X. Multi-scale monitoring of rice aboveground biomass by combining spectral and textural information from UAV hyperspectral images. Int. J. Appl. Earth Obs. Geoinf. 2024, 127, 103655. [Google Scholar] [CrossRef]
- Wu, B.; Fan, L.Q.; Xu, B.W.; Yang, J.J.; Zhao, R.M.; Wang, Q.; Ai, X.T.; Zhao, H.X.; Yang, Z.R. UAV-based LiDAR and multispectral sensors fusion for cotton yield estimation: Plant height and leaf chlorophyll content as a bridge linking remote sensing data to yield. Ind. Crops Prod. 2025, 230, 121110. [Google Scholar]
- Li, S.Y.; Yuan, F.; Ata-UI-Karim, S.T.; Zheng, H.B.; Cheng, T.; Liu, X.J.; Tian, Y.C.; Zhu, Y.; Cao, W.X.; Cao, Q. Combining Color Indices and Textures of UAV-Based Digital Imagery for Rice LAI Estimation. Remote Sens. 2019, 11, 1763. [Google Scholar] [CrossRef]
- Randelovic, P.; Dordevic, V.; Miladinovic, J.; Prodanovic, S.; Ceran, M.; Vollmann, J. High-throughput phenotyping for non-destructive estimation of soybean fresh biomass using a machine learning model and temporal UAV data. Plant Methods 2023, 19, 89. [Google Scholar] [CrossRef]
- Niu, C.; Tan, K.; Jia, X.P.; Wang, X. Deep learning based regression for optically inactive inland water quality parameter estimation using airborne hyperspectral imagery. Environ. Pollut. 2021, 286, 117534. [Google Scholar] [CrossRef]
- Huete, A.; Didan, K.; Miura, T.; Rodriguez, E.P.; Gao, X.; Ferreira, L.G. Overview of the radiometric and biophysical performance of the MODIS vegetation indices. Remote Sens. Environ. 2002, 83, 195–213. [Google Scholar] [CrossRef]
- Candiago, S.; Remondino, F.; De Giglio, M.; Dubbini, M.; Gattelli, M. Evaluating Multispectral Images and Vegetation Indices for Precision Farming Applications from UAV Images. Remote Sens. 2015, 7, 4026–4047. [Google Scholar] [CrossRef]
- Tian, Y.C.; Yao, X.; Yang, J.; Cao, W.X.; Hannaway, D.B.; Zhu, Y. Assessing newly developed and published vegetation indices for estimating rice leaf nitrogen concentration with ground- and space-based hyperspectral reflectance. Field Crops Res. 2011, 120, 299–310. [Google Scholar] [CrossRef]
- Xiao, Y.F.; Zhao, W.J.; Zhou, D.M.; Gong, H.L. Sensitivity Analysis of Vegetation Reflectance to Biochemical and Biophysical Variables at Leaf, Canopy, and Regional Scales. IEEE Trans. Geosci. Remote Sens. 2014, 52, 4014–4024. [Google Scholar] [CrossRef]
- Daughtry, C.S.T.; Walthall, C.L.; Kim, M.S.; Colstoun, E.B.d.; McMurtrey, J.E. Estimating Corn Leaf Chlorophyll Concentration from Leaf and Canopy Reflectance. Remote Sens. Environ. 2000, 74, 229–239. [Google Scholar] [CrossRef]
- Sandham, L.A.; Zietsman, H.L. Surface Temperature Measurement from Space: A Case Study in the South Western Cape of South Africa. S. Afr. J. Enol. Vitic. 2017, 18, 25–30. [Google Scholar] [CrossRef][Green Version]
- Haboudane, D.; Miller, J.R.; Pattey, E.; Zarco-Tejada, P.J.; Strachan, I.B. Hyperspectral vegetation indices and novel algorithms for predicting green LAI of crop canopies: Modeling and validation in the context of precision agriculture. Remote Sens. Environ. 2003, 90, 337–352. [Google Scholar] [CrossRef]
- Zhu, Y.; Yao, X.; Tian, Y.; Liu, X.; Cao, W. Analysis of common canopy vegetation indices for indicating leaf nitrogen accumulations in wheat and rice. Int. J. Appl. Earth Obs. Geoinf. 2008, 10, 1–10. [Google Scholar]
- Broge, N.H.; Mortensen, J.V. Deriving green crop area index and canopy chlorophyll density of winter wheat from spectral reflectance data. Remote Sens. Environ. 2002, 81, 45–57. [Google Scholar] [CrossRef]
- Gitelson, A.A. Wide Dynamic Range Vegetation Index for Remote Quantification of Biophysical Characteristics of Vegetation. J. Plant Physiol. 2004, 161, 165–173. [Google Scholar] [CrossRef]
- Motohka, T.; Nasahara, K.N.; Oguma, H.; Tsuchida, S. Applicability of Green-Red Vegetation Index for Remote Sensing of Vegetation Phenology. Remote Sens. 2010, 2, 2369–2387. [Google Scholar] [CrossRef]
- Xue, J.R.; Su, B.F. Significant Remote Sensing Vegetation Indices: A Review of Developments and Applications. J. Sens. 2017, 2017, 1353691. [Google Scholar] [CrossRef]
- Jimenez, R.B.; Lane, K.J.; Hutyra, L.R.; Fabian, M.P. Spatial resolution of Normalized Difference Vegetation Index and greenness exposure misclassification in an urban cohort. J. Expo. Sci. Environ. Epidemiol. 2022, 32, 213–222. [Google Scholar] [CrossRef] [PubMed]
- Schneider, P.; Roberts, D.A.; Kyriakidis, P.C. A VARI-based relative greenness from MODIS data for computing the Fire Potential Index. Remote Sens. Environ. 2007, 112, 1151–1167. [Google Scholar] [CrossRef]
- Cao, Q.; Miao, Y.X.; Wang, H.Y.; Huang, S.Y.; Cheng, S.S.; Khosla, R.; Jiang, R.F. Non-destructive estimation of rice plant nitrogen status with Crop Circle multispectral active canopy sensor. Field Crops Res. 2013, 154, 133–144. [Google Scholar] [CrossRef]
- Dash, J.; Curran, P.J.; Tallis, M.J.; Llewellyn, G.M.; Taylor, G.; Snoeij, P. Validating the MERIS Terrestrial Chlorophyll Index (MTCI) with ground chlorophyll content data at MERIS spatial resolution. Int. J. Remote Sens. 2010, 31, 5513–5532. [Google Scholar] [CrossRef]
- Lu, J.J.; Miao, Y.X.; Shi, W.; Li, J.X.; Yuan, F. Evaluating different approaches to non-destructive nitrogen status diagnosis of rice using portable RapidSCAN active canopy sensor. Sci. Rep. 2017, 7, 14073. [Google Scholar] [CrossRef] [PubMed]
- Haboudane, D.; Tremblay, N.; Miller, J.R.; Vigneault, P. Remote Estimation of Crop Chlorophyll Content Using Spectral Indices Derived From Hyperspectral Data. IEEE Trans. Geosci. Remote Sens. 2008, 46, 423–437. [Google Scholar] [CrossRef]
- Broge, N.H.; Leblanc, E. Comparing prediction power and stability of broadband and hyperspectral vegetation indices for estimation of green leaf area index and canopy chlorophyll density. Remote Sens. Environ. 2001, 76, 156–172. [Google Scholar] [CrossRef]










| Experiment | Transplanting | Sampling/UAV Test Date | Stage | Altitude |
|---|---|---|---|---|
| Exp. 2023 | 28 May. | 27 June. | Late-tillering | 30 m |
| 22 July. | Jointing | 30 m | ||
| 19 August. | Heading | 30 m | ||
| Exp. 2024 | 27 May. | 19 July. | Jointing | 30 m |
| 3 August. | Booting | 30 m | ||
| 21 August. | Heading | 30 m |
| Stages | AGB (g/m2) | |||||
|---|---|---|---|---|---|---|
| Number | Min | Max | Average | SD | CV (%) | |
| Calibration dataset | ||||||
| Pre-Heading | 351 | 184.560 | 1613.664 | 663.026 | 249.474 | 37.6 |
| Post-Heading | 176 | 633.120 | 1947.120 | 1269.291 | 329.153 | 25.9 |
| All-Stage | 527 | 184.560 | 1947.120 | 863.578 | 398.538 | 46.2 |
| Validation dataset | ||||||
| Pre-Heading | 117 | 197.520 | 1620.240 | 670.769 | 246.056 | 36.7 |
| Post-Heading | 58 | 768.600 | 1868.160 | 1354.337 | 327.127 | 24.2 |
| All-Stage | 175 | 197.520 | 1868.160 | 898.625 | 424.193 | 47.2 |
| Pre-Heading | Post-Heading | All-Stages | ||||||
|---|---|---|---|---|---|---|---|---|
| WT1 | WT2 | |r| | WT1 | WT2 | |r| | WT1 | WT2 | |r| |
| LL_NIR_Var | LL_Red_Mea | 0.81 | LL_NIR_Ene | HH_NIR_Ene | 0.79 | LL_Red_Mea | LH_Red_Ent | 0.60 |
| LL_NIR_Ene | LL_Red_Var | 0.80 | LL_NIR_Var | HH_NIR_Var | 0.78 | LL_Red_Mea | HL_Red_Ent | 0.58 |
| LL_NIR_Mea | LL_Red_Mea | 0.80 | LL_NIR_Ene | HH_NIR_Var | 0.78 | LL_Red_Mea | HL_Red_Var | 0.57 |
| LL_NIR_Ene | LL_Red_Ent | 0.79 | LL_NIR_Var | HH_NIR_Ene | 0.78 | LL_Red_Var | HL_Red_Ent | 0.56 |
| LL_NIR_Var | LL_Red_Var | 0.79 | LL_NIR_Ene | HH_Red-edge_Ent | 0.78 | LL_Red_Var | LH_Red_Ent | 0.55 |
| LL_Red-edge_Mea | LL_Red_Mea | 0.79 | LL_NIR_Ene | HH_NIR_Ent | 0.77 | LL_Red_Mea | HH_Red_Ent | 0.50 |
| LL_NIR_Mea | LL_Green_Mea | 0.78 | LL_NIR_Mea | HH_NIR_Var | 0.77 | LL_Red_Ent | HL_Red_Ent | 0.48 |
| LL_Red-edge_Var | LL_Red_Var | 0.78 | LL_NIR_Var | HH_NIR_Ent | 0.77 | LL_Red_Mea | LH_Red_Var | 0.48 |
| LL_NIR_Var | LL_Green_Mea | 0.78 | LL_NIR_Ene | HH_Red-edge_Var | 0.77 | LL_Red_Var | HL_Red_Var | 0.47 |
| LL_NIR_Ene | LL_Green_Var | 0.78 | LL_NIR_Ene | LH_Red-edge_Var | 0.77 | LH_NIR_Ene | LH_Red-edge_Ent | 0.47 |
| Stages | AGB(g/m2) | ||
|---|---|---|---|
| Variable | R2 | RMSE | |
| VIs | |||
| Pre-heading | NDVI | 0.544 | 165.536 |
| Post-heading | RVI | 0.509 | 223.557 |
| All-heading | OSAVI | 0.261 | 367.433 |
| NDWTIs | |||
| Pre-heading | NDWTI(LL_NIR_Var-LL_Red_Mea) | 0.491 | 174.801 |
| Post-heading | NDWTI(LL_NIR_Ene-HH_NIR_Ene) | 0.562 | 214.580 |
| All-heading | NDWTI(LL_Red_Mea-LH_Red_Ent) | 0.359 | 352.853 |
Disclaimer/Publisher’s Note: The statements, opinions and data contained in all publications are solely those of the individual author(s) and contributor(s) and not of MDPI and/or the editor(s). MDPI and/or the editor(s) disclaim responsibility for any injury to people or property resulting from any ideas, methods, instructions or products referred to in the content. |
© 2025 by the authors. Licensee MDPI, Basel, Switzerland. This article is an open access article distributed under the terms and conditions of the Creative Commons Attribution (CC BY) license (https://creativecommons.org/licenses/by/4.0/).
Share and Cite
Li, J.; Cao, Q.; Wang, S.; Li, J.; Zhao, D.; Feng, S.; Cao, Y.; Xu, T. Improved Multi-Stage Rice Above-Ground Biomass Estimation Using Wavelet-Texture-Fused Vegetation Indices from UAV Remote Sensing. Plants 2025, 14, 2903. https://doi.org/10.3390/plants14182903
Li J, Cao Q, Wang S, Li J, Zhao D, Feng S, Cao Y, Xu T. Improved Multi-Stage Rice Above-Ground Biomass Estimation Using Wavelet-Texture-Fused Vegetation Indices from UAV Remote Sensing. Plants. 2025; 14(18):2903. https://doi.org/10.3390/plants14182903
Chicago/Turabian StyleLi, Jinpeng, Qiang Cao, Shuaipeng Wang, Jiayi Li, Dongxue Zhao, Shuai Feng, Yingli Cao, and Tongyu Xu. 2025. "Improved Multi-Stage Rice Above-Ground Biomass Estimation Using Wavelet-Texture-Fused Vegetation Indices from UAV Remote Sensing" Plants 14, no. 18: 2903. https://doi.org/10.3390/plants14182903
APA StyleLi, J., Cao, Q., Wang, S., Li, J., Zhao, D., Feng, S., Cao, Y., & Xu, T. (2025). Improved Multi-Stage Rice Above-Ground Biomass Estimation Using Wavelet-Texture-Fused Vegetation Indices from UAV Remote Sensing. Plants, 14(18), 2903. https://doi.org/10.3390/plants14182903
