The Effect of Transparent/Black Film and Straw Mulching on Canopy Conductance in Maize
Abstract
1. Introduction
2. Materials and Methods
2.1. Research Site and Experimental Design
2.2. Environmental Data Measurement
2.3. Transpiration Measurement
2.4. Canopy Conductance Measurement
2.5. Data Analysis
3. Results
3.1. Environmental Parameters
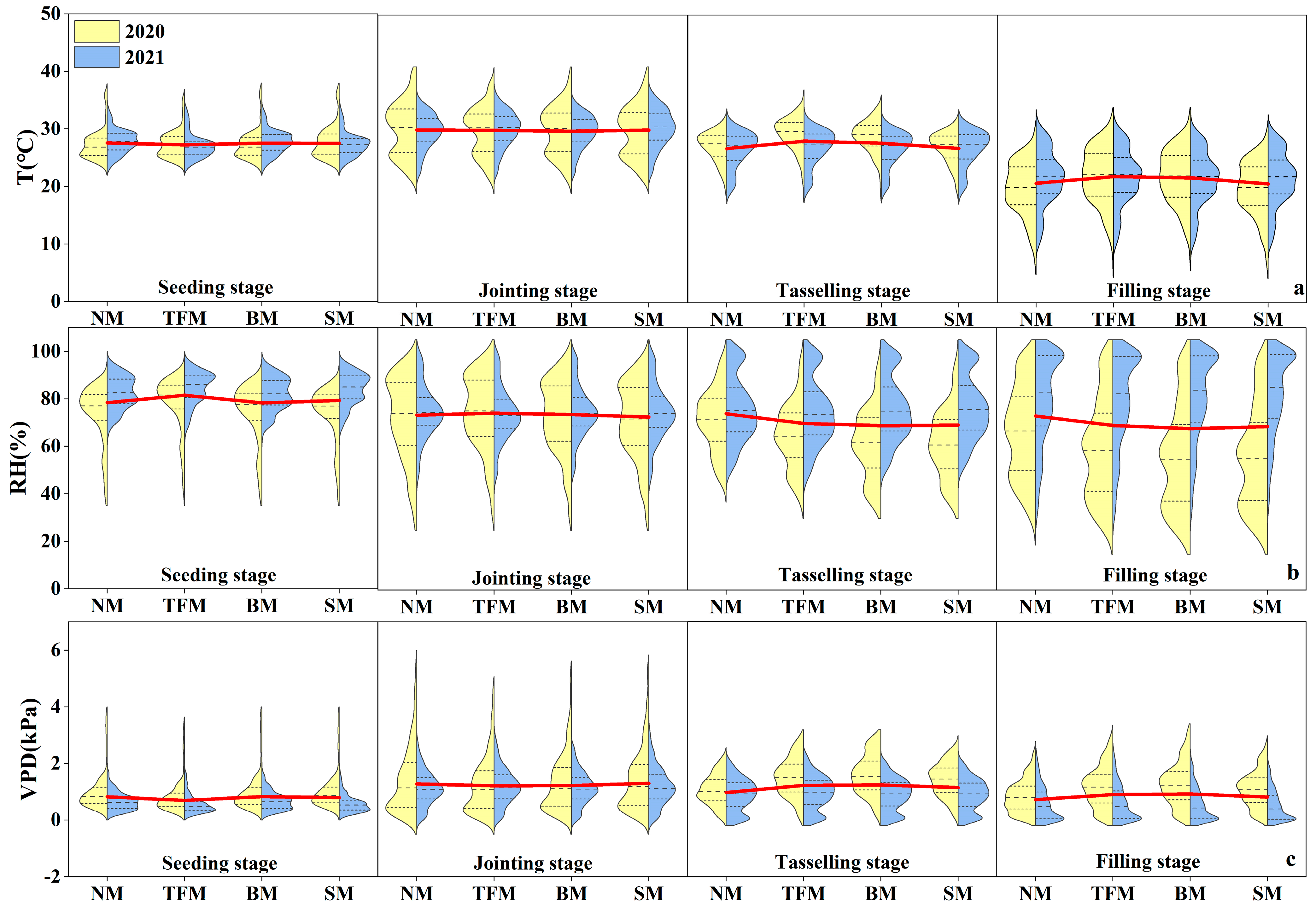
3.1.1. The Near-Surface Microenvironment
3.1.2. Soil Water Content
3.2. Changes in Canopy Conductance Under Different Mulching Treatments
3.3. Response of Canopy Conductance to Environmental Factors
4. Discussion
4.1. Differences in Environmental Parameters Under Different Mulching Treatments
4.2. Effects of Different Mulching Treatments on Gc
5. Conclusions
Author Contributions
Funding
Data Availability Statement
Conflicts of Interest
References
- Zhang, B.Z.; Liu, Y.; Xu, D.; Cai, J.B.; Wei, Z. Water carbon coupling simulation at the leaf and canopy scales of summer maize. Sci. Bull. 2013, 58, 1121–1130. [Google Scholar]
- He, K.N.; Tian, Y.; Zhang, G.C. Penman Monteith equation simulation of daily transpiration process of Robinia pseudoacacia. Chin. J. Ecol. 2003, 23, 251–258. [Google Scholar]
- Chen, S.; Chen, Z.; Kong, Z.; Zhang, Z. The increase of leaf water potential and whole-tree hydraulic conductance promotes canopy conductance and transpiration of Pinus tabulaeformis during soil droughts. Trees 2023, 37, 41–52. [Google Scholar] [CrossRef]
- Sun, J.S. Research on Estimation Models of stomatal and canopy resistance in Summer Corn Leaves. Irrig. Drain. 1996, 3, 16–20. [Google Scholar]
- Mielke, M.S.; Oliva, M.A.; de Barros, N.F.; Penchel, R.M.; Martinez, C.A.; de Almeida, A.C. Stomatal control of transpiration in the canopy of a clonal Eucalyptus grandis plantation. Trees-Struct. Funct. 1999, 13, 152–160. [Google Scholar] [CrossRef]
- Wright, I.R.; Manzi, A.O.; Da Rocha, H.R. Surface conductance of Amazonian pasture: Model application and calibration for canopy climate. Agric. For. Meteorol. 1995, 75, 51–70. [Google Scholar] [CrossRef]
- Nakano, S.; Tacarindua, C.R.P.; Nakashima, K.; Homma, K.; Shiraiwa, T. Evaluation of the effects of increasing temperature on the transpiration rate and canopy conductance of soybean by using the sap flow method. J. Agric. Meteorol. 2015, 71, 98–105. [Google Scholar] [CrossRef]
- Garca-Santos, G.; Bruijnzeel, L.A.; Dolman, A.J. Modelling canopy conductance under wet and dry conditions in a subtropical cloud forest. Agric. For. Meteorol. 2009, 149, 1565–1572. [Google Scholar] [CrossRef]
- Guo, J.J.; Fan, J.L.; Xiang, Y.Z.; Zhang, F.C.; Zhang, X.Y.; Yan, S.C.; Zhang, C.Y.; Zhang, J.M.; Zheng, J.; Yan, F.L. Synchronizing nitrogen supply and uptake by rainfed maize using mixed urea and slow-release nitrogen fertilizer. Nutr. Cycl. Agroecosystems 2022, 122, 157–171. [Google Scholar] [CrossRef]
- Zhang, B.Z.; Liu, Y.; Xu, D.; Cai, J.; Zhao, N. A canopy conductance estimation model based on the improvement of stomatal conductance in summer maize leaves. J. Agric. Eng. 2011, 27, 80–86. [Google Scholar]
- Qin, S.S.; Zhang, Y.Q.; Wang, J.D.; Mo, Y.; Gong, S.H.; Wang, S.J. Effect of straw mulching on water consumption components and crop coefficients in a maize field. Arch. Agron. Soil Sci. 2023, 69, 835–846. [Google Scholar] [CrossRef]
- Qin, S.S.; Zhang, Y.Q.; Wang, J.D.; Wang, C.J.; Mo, Y.; Gong, S.H. Transparent and Black Film Mulching Improve Photosynthesis and Yield of Summer Maize in North China Plain. Agriculture 2022, 12, 719. [Google Scholar] [CrossRef]
- Brenner, A.J.; Incoll, L.D. The effect of clumping and stomatal response on evaporation from sparsely vegetated shrublands. Agric. For. Meteorol. 1997, 84, 187–205. [Google Scholar] [CrossRef]
- Van Bavel, C.H.M.; Hillel, D.I. Calculating potential and actual evaporation from a bare soil surface by simulation of concurrent flow of water and heat. Agric. For. Meteorol. 1976, 17, 453–476. [Google Scholar] [CrossRef]
- Dong, Z.G. Research methods for ecological factors of crop layers in farmland. Ecol. Agric. Res. 1995, 3, 54–56. [Google Scholar]
- An, W.Z. Analysis of the Microclimate Effect of Plastic Film on Increasing Wheat Production in Farmland. Gansu Agriculture 2004, 10, 123–126. [Google Scholar]
- Zhang, S.W.; Liu, S.M. Agroforestry Meteorology; Northwest A&F University Press: Yangling, China, 2007. [Google Scholar]
- Li, Q.Q.; Chen, Y.H.; Yu, S.Z.; Wu, W.; Zhou, X.; Dong, Q.; Yu, S. Microclimate characteristics of winter wheat fields under irrigation and straw mulching conditions. J. Crop Sci. 2006, 32, 306–309. [Google Scholar]
- Liu, Y. The Effect of Coverage Cultivation on Canopy Characteristics and Yield of Dryland Rice. Master’s Thesis, Hunan Agricultural University, Changsha, China, 2010. [Google Scholar]
- Zhu, Z.X.; Zhao, G.Q.; Deng, T.H.; Fang, W.; Fu, X. Microclimate characteristics covering wheat fields. J. Appl. Meteorol. 2000, 11 (Suppl. S6), 112–118. [Google Scholar]
- Wankmüller, F.J.P.; Delval, L.; Lehmann, P.; Baur, M.J.; Cecere, A.; Wolf, S.; Or, D.; Javaux, M.; Carminati, A. Global influence of soil texture on ecosystem water limitation. Nature 2024, 635, 631–638. [Google Scholar] [CrossRef]
- Jiao, X.C.; Son, X.M.; Zhang, D.L.; Du, Q.J. Coordination between vapor pressure deficit and CO2 on the regulation of photosynthesis and productivity in greenhouse tomato production. Sci. Rep. 2019, 9, 8700. [Google Scholar] [CrossRef]
- Chen, S.; Zhang, Z.Q.; Chen, Z.; Xu, H.; Li, J. Responses of canopy transpiration and conductance to different drought levels in Mongolian pine plantations in a semiarid urban environment of China. Agric. For. Meteorol. 2024, 347, 109897. [Google Scholar] [CrossRef]
- Ballinas, M.; Barradas, V.L. Transpiration and stomatal conductance as potential mechanisms to mitigate the heat load in Mexico city. Urban For. Urban Green. 2016, 20, 152–159. [Google Scholar] [CrossRef]
- McCarthy, H.R.; Pataki, D.E. Drivers of variability in water use of native and nonnative urban trees in the greater Los Angeles area. Urban Ecosyst. 2010, 13, 393–414. [Google Scholar] [CrossRef]
- Granier, A.; Biron, P.; Bréda, N.; Pontailler, J.; Saugier, B. Transpiration of trees and forest stands: Short and long-term monitoring using sapflow methods. Glob. Change Biol. 2010, 2, 265–274. [Google Scholar]
- Cao, Q.P.; Zhao, P.; Ni, G.Y.; Zhu, L.; Niu, J.; Zeng, X. Response of canopy stomatal conductance to water vapor pressure deficit in South China Schisandra chinensis forest. Ecol. J. 2013, 32, 1770–1779. [Google Scholar]
- Liu, W.N.; Jia, J.B.; Yu, X.X.; Jia, G.; Hou, G. Characteristics of stomatal conductance in the canopy of Platycodon grandiflorus in mountainous areas of North China and its response to environmental factors. Chin. J. Appl. Ecol. 2017, 28, 3217–3226. [Google Scholar]
- Tian, F.Q.; Yang, P.J.; Hu, H.; Liu, H. Energy balance and canopy conductance for a cotton field under film mulched drip irrigation in an arid region of northwestern China. Agric. Water Manag. 2017, 179, 110–121. [Google Scholar] [CrossRef]
- Zhu, L.W.; Zhao, P.; Cai, Z.; Zeng, X.; Zou, L.; Wang, Q. Transpiration and canopy stomatal conductance characteristics of lotus plantation and their response to environmental factors. J. Trop. Subtrop. Bot. 2010, 18, 599–606. [Google Scholar]
- Zhao, P.; Rao, X.Q.; Ma, L.; Cai, X.; Zeng, X. Response of stomatal conductance in the canopy layer of Acacia mangroves to environmental driving factors. Chin. J. Appl. Ecol. 2006, 7, 1149–1156. [Google Scholar]
- Chen, S.; Wei, W.; Tong, B.; Chen, L. Effects of soil moisture and vapor pressure deficit on canopy transpiration for two coniferous forests in the Loess Plateau of China. Agric. For. Meteorol. 2023, 339, 109581. [Google Scholar] [CrossRef]
- Chen, S.; Chen, Z.; Xu, H.; Kong, Z.; Xu, Z.; Liu, Q.; Liu, P.; Zhang, Z. Biophysical regulations of transpiration and water use strategy in a mature Chinese pine (Pinus tabulaeformis) forest in a semiarid urban environment. Hydrol. Process. 2022, 36, e14485. [Google Scholar] [CrossRef]
- Lagergren, F.; Lindroth, A. Transpiration response to soil moisture in pine and spruce trees in Sweden. Agric. For. Meteorol. 2002, 112, 67–85. [Google Scholar] [CrossRef]
- Yuan, W.; Zheng, Y.; Piao, S.; Ciais, P.; Lombardozzi, D.; Wang, Y.; Ryu, Y.; Chen, G.; Dong, W.; Hu, Z.; et al. Increased atmospheric vapor pressure deficit reduces global vegetation growth. Sci. Adv. 2019, 5, eaax1396. [Google Scholar] [CrossRef]
- Kimm, H.; Guan, K.Y.; Gentine, P.; Wu, J.; Bernacchi, C.J.; Sulman, B.N.; Griffis, T.; Lin, C. Redefining droughts for the U.S. Corn Belt: The dominant role of atmospheric vapor pressure deficit over soil moisture in regulating stomatal behavior of Maize and Soybean. Agric. For. Meteorol. 2020, 287, 107930. [Google Scholar] [CrossRef]
- Kropp, H.; Loranty, M.; Alexander, H.D.; Berner, L.T.; Natali, S.M.; Spawn, S.A. Environmental constraints on transpiration and stomatal conductance in a Siberian Arctic boreal forest. J. Geophys. Res. Biogeosciences 2017, 122, 487–497. [Google Scholar] [CrossRef]
- Wang, S.; Cha, T.S.; Jia, X.; Wu, Y.; Bai, Y.; Feng, W. Canopy conductance and influencing factors of Artemisia annua community in the Maowusu Desert. J. Beijing For. Univ. 2017, 39, 65–73. [Google Scholar]
- Man, X.L. The Influencing Mechanism of Mulching Patterns on the Growth and Development of Root Systems and Water Use Efficiency of Spring Maize in Dryland. Ph.D. Thesis, Chinese Academey of Agricultural Sciences, Beijing, China, 2024. [Google Scholar]
- Sun, S.J.; Jiang, H.; Chen, Z.J.; Zhu, Z.C.; Zhang, X.D.; Chi, D.C. Effects of surface-layer accumulated temperature on major growth traits of spring maize when un-mulched or under clear or black plastic film mulches. Acta Prataculturae Sin. 2019, 28, 61–72. [Google Scholar]
- Hu, Y.; Ju, H.G.; Zhao, X.; Cao, T.H.; Liang, X.H. Effects of different mulching conditions on the yield of middle-late mature maize in the cool area of Eastern Jilin Province. J. Northeast. Agric. Sci. 2019, 44, 20–25+42. [Google Scholar]







| Year | Reproductive Period | Date | Irrigation Amount (mm) | Fertilization Amount (kg ha−1) | |||
|---|---|---|---|---|---|---|---|
| N | P2O5 | K2O | |||||
| 2020 | 1 | Jointing stage | 8/1 | 5 | 156 | 108 | 135 |
| 2 | Heading stage | 8/16 | 5 | 48 | 27 | ||
| 3 | Filling stage | 9/13 | 5 | 36 | |||
| Total | 15 | 240 | 135 | 135 | |||
| 2021 | 1 | Seedling stage | 6/27 | 50 | 156 | 108 | 135 |
| 2 | Jointing stage | 8/2 | 5 | 156 | 108 | 135 | |
| 3 | Heading stage | 8/22 | 5 | 84 | 27 | ||
| Total | 60 | 240 | 135 | 135 | |||
| Treatments | Rs ≤ 0.2 kW m−2 | 0.2 < Rs ≤ 0.4 kW m−2 | 0.4 < Rs ≤ 0.6 kW m−2 | Rs > 0.6 kW m−2 |
|---|---|---|---|---|
| NM | Gc = 203.4 − 25.0 × ln(VPD) | Gc = 257.4 − 38.7 × ln(VPD) | Gc = 365.8 − 123.3 × ln(VPD) | Gc = 449.4 − 187.6 × ln(VPD) |
| TFM | Gc = 391.1 − 12.6 × ln(VPD) | Gc = 424.0 − 17.4 × ln(VPD) | Gc = 512.9 − 67.6 × ln(VPD) | Gc = 662.9 − 230.4 × ln(VPD) |
| BM | Gc = 389.1 − 68.8 × ln(VPD) | Gc = 480.0 − 47.7 × ln(VPD) | Gc = 566.9 − 137.9 × ln(VPD) | Gc = 721.5 − 332.4 × ln(VPD) |
| SM | Gc = 262.2 − 20.1 × ln(VPD) | Gc = 338.2 − 24.8 × ln(VPD) | Gc = 475 − 132.2 × ln(VPD) | Gc = 635.8 − 248.9 × ln(VPD) |
Disclaimer/Publisher’s Note: The statements, opinions and data contained in all publications are solely those of the individual author(s) and contributor(s) and not of MDPI and/or the editor(s). MDPI and/or the editor(s) disclaim responsibility for any injury to people or property resulting from any ideas, methods, instructions or products referred to in the content. |
© 2025 by the authors. Licensee MDPI, Basel, Switzerland. This article is an open access article distributed under the terms and conditions of the Creative Commons Attribution (CC BY) license (https://creativecommons.org/licenses/by/4.0/).
Share and Cite
Qin, S.; Zhang, Y.; Jiao, X.; Mo, Y.; Gong, S.; Gu, Z.; Zhang, B. The Effect of Transparent/Black Film and Straw Mulching on Canopy Conductance in Maize. Plants 2025, 14, 2877. https://doi.org/10.3390/plants14182877
Qin S, Zhang Y, Jiao X, Mo Y, Gong S, Gu Z, Zhang B. The Effect of Transparent/Black Film and Straw Mulching on Canopy Conductance in Maize. Plants. 2025; 14(18):2877. https://doi.org/10.3390/plants14182877
Chicago/Turabian StyleQin, Shanshan, Yanqun Zhang, Xiyun Jiao, Yan Mo, Shihong Gong, Zhe Gu, and Baozhong Zhang. 2025. "The Effect of Transparent/Black Film and Straw Mulching on Canopy Conductance in Maize" Plants 14, no. 18: 2877. https://doi.org/10.3390/plants14182877
APA StyleQin, S., Zhang, Y., Jiao, X., Mo, Y., Gong, S., Gu, Z., & Zhang, B. (2025). The Effect of Transparent/Black Film and Straw Mulching on Canopy Conductance in Maize. Plants, 14(18), 2877. https://doi.org/10.3390/plants14182877

