Plant Stress Detection via Molecular Communication: Modeling BVOC-Based Inter-Plant Signaling for Agricultural Monitoring
Abstract
1. Introduction
- 1.
- We established an MC model for plant stress detection that provides a comprehensive theoretical framework characterizing BVOC dynamics, including release mechanisms, transmission pathways, and absorption processes. Furthermore, we have derived mathematical formulations for the demodulation processes and developed quantitative performance metrics, notably multi-molecular detection error rates (DERs), to evaluate system performance.
- 2.
- We simulated the MC model to quantify how transmission distance, wind speed, and BVOC release quantity impact its performance.
- 3.
- We developed an MC testbed that leverages two distinct pigment dyes as proxies for authentic BVOCs to experimentally detect and differentiate between pest stress and heat stress, thereby providing empirical validation of the proposed model’s accuracy and effectiveness.
2. Materials and Methods
2.1. System Description
2.2. Transmitter
2.3. Channel
2.4. Receiver
3. Results
3.1. Impact of Factors on Leaf Absorption
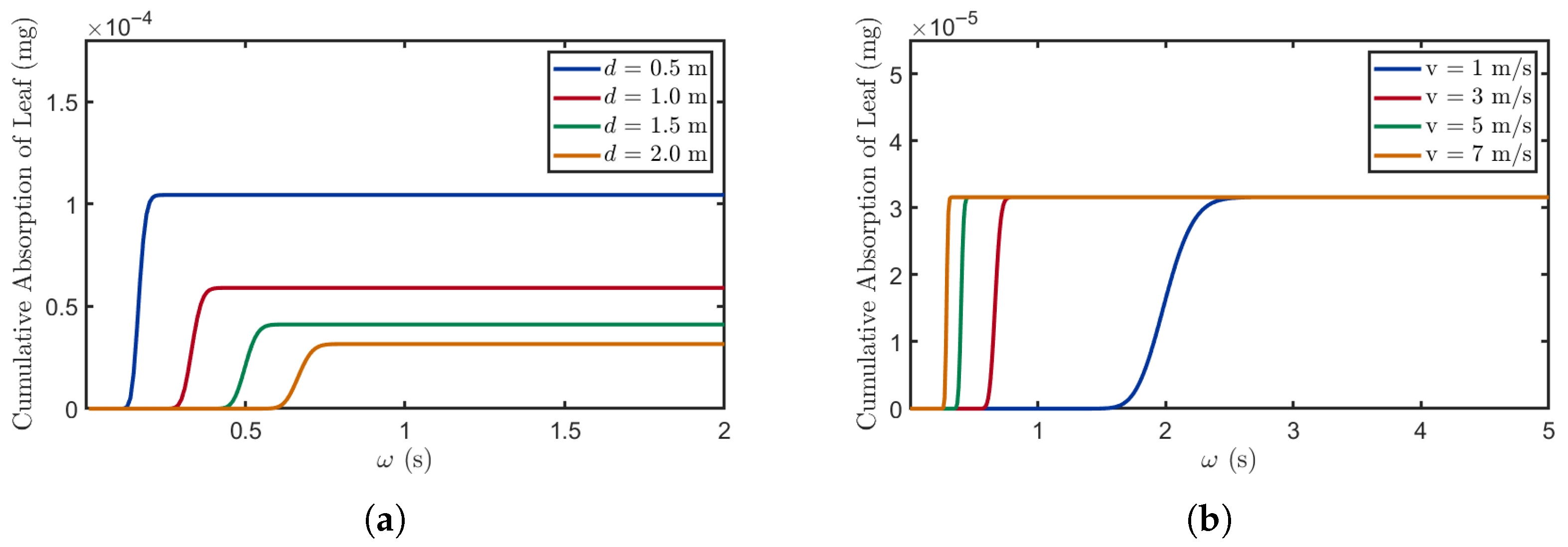
3.1.1. Distance Analysis
3.1.2. Propagation Time Analysis
3.2. Impact of Factors on Demodulation Performance
3.2.1. Impact of Threshold
3.2.2. Impact of SNR
3.2.3. Impact of Transmitted Quality
3.3. An MC Testbed
3.3.1. Basic Parts of the Testbed
3.3.2. Experimental Results
4. Discussion
Author Contributions
Funding
Data Availability Statement
Conflicts of Interest
References
- Ranieri, P.; Sponsel, N.; Kizer, J.; Rojas-Pierce, M.; Hernández, R.; Gatiboni, L.; Grunden, A.; Stapelmann, K. Plasma agriculture: Review from the perspective of the plant and its ecosystem. Plasma Processes Polym. 2021, 18, 2000162. [Google Scholar] [CrossRef]
- Viswanath, K.K.; Varakumar, P.; Pamuru, R.R.; Basha, S.J.; Mehta, S.; Rao, A.D. Plant lipoxygenases and their role in plant physiology. J. Plant Biol. 2020, 63, 83–95. [Google Scholar] [CrossRef]
- Takahashi, F.; Kuromori, T.; Urano, K.; Yamaguchi-Shinozaki, K.; Shinozaki, K. Drought stress responses and resistance in plants: From cellular responses to long-distance intercellular communication. Front. Plant Sci. 2020, 11, 556972. [Google Scholar] [CrossRef] [PubMed]
- Midzi, J.; Jeffery, D.W.; Baumann, U.; Rogiers, S.; Tyerman, S.D.; Pagay, V. Stress-induced volatile emissions and signalling in inter-plant communication. Plants 2022, 11, 2566. [Google Scholar] [CrossRef] [PubMed]
- Mareri, L.; Parrotta, L.; Cai, G. Environmental stress and plants. Int. J. Mol. Sci. 2022, 23, 5416. [Google Scholar] [CrossRef]
- Verma, K.K.; Song, X.P.; Kumari, A.; Jagadesh, M.; Singh, S.K.; Bhatt, R.; Singh, M.; Seth, C.S.; Li, Y.-R. Climate change adaptation: Challenges for agricultural sustainability. Plant Cell Environ. 2025, 48, 2522–2533. [Google Scholar] [CrossRef]
- Umar, O.B.; Ranti, L.A.; Abdulbaki, A.S.; Bola, A.U.L.; Abdulhamid, A.K.; Biola, M.R.; Victor, K.O. Stresses in plants: Biotic and abiotic. In Current Trends in Wheat Research; IntechOpen: London, UK, 2021. [Google Scholar]
- Ninkovic, V.; Markovic, D.; Rensing, M. Plant volatiles as cues and signals in plant communication. Plant Cell Environ. 2021, 44, 1030–1043. [Google Scholar] [CrossRef]
- Paul, N.; Sunil, G.C.; Horvath, D.; Sun, X. Deep learning for plant stress detection: A comprehensive review of technologies, challenges, and future directions. Comput. Electron. Agric. 2025, 229, 109734. [Google Scholar] [CrossRef]
- Li, Z.; Zhou, J.; Dong, T.; Xu, Y.; Shang, Y. Application of electrochemical methods for the detection of abiotic stress biomarkers in plants. Biosens. Bioelectron. 2021, 182, 113105. [Google Scholar] [CrossRef]
- Praprotnik, E.; Vončina, A.; Žigon, P.; Knapič, M.; Susič, N.; Širca, S.; Vodnik, D.; Lenarčič, D.; Lapajne, J.; Žibrat, U.; et al. Early Detection of Wireworm (Coleoptera: Elateridae) Infestation and Drought Stress in Maize Using Hyperspectral Imaging. Agronomy 2023, 13, 178. [Google Scholar] [CrossRef]
- Zhao, X.; Zhang, J.; Tang, A.; Yu, Y.; Yan, L.; Chen, D.; Yuan, L. The stress detection and segmentation strategy in tea plant at canopy level. Front. Plant Sci. 2022, 13, 949054. [Google Scholar] [CrossRef]
- Moustaka, J.; Moustakas, M. Early-stage detection of biotic and abiotic stress on plants by chlorophyll fluorescence imaging analysis. Biosensors 2023, 13, 796. [Google Scholar] [CrossRef]
- Tian, S.; Huang, W.; Hu, J.; Wang, H.; Zhang, Z.; Xu, L.; Li, J.; Sun, Y. Exploring the frontiers of plant health: Harnessing NIR fluorescence and surface-enhanced Raman scattering modalities for innovative detection. Chin. Chem. Lett. 2025, 36, 110336. [Google Scholar] [CrossRef]
- Oletic, D.; Rosner, S.; Bilas, V. Verifying sensitivity of a sensor system for logging xylem’s acoustic emissions related to drought stress. In Proceedings of the 2021 IEEE International Workshop on Metrology for Agriculture and Forestry (MetroAgriFor), Trento-Bolzano, Italy, 3–5 November 2021; pp. 125–129. [Google Scholar]
- Jamali, V.; Ahmadzadeh, A.; Wicke, W.; Noel, A.; Schober, R. Channel modeling for diffusive molecular communication—A tutorial review. Proc. IEEE 2019, 107, 1256–1301. [Google Scholar] [CrossRef]
- Kuran, M.Ş.; Yilmaz, H.B.; Demirkol, I.; Farsad, N.; Goldsmith, A. A survey on modulation techniques in molecular communication via diffusion. IEEE Commun. Surv. Tutor. 2020, 23, 7–28. [Google Scholar] [CrossRef]
- Bi, D.; Almpanis, A.; Noel, A.; Deng, Y.; Schober, R. A survey of molecular communication in cell biology: Establishing a new hierarchy for interdisciplinary applications. IEEE Commun. Surv. Tutor. 2021, 23, 1494–1545. [Google Scholar] [CrossRef]
- Kim, N.R.; Farsad, N.; Lee, C.; Eckford, A.W.; Chae, C.B. An experimentally validated channel model for molecular communication systems. IEEE Access 2019, 7, 81849–81858. [Google Scholar] [CrossRef]
- Ahmed, S.; Hu, J.; Naqvi, S.M.Z.A.; Zhang, Y.; Linze, L.; Iderawumi, A.M. Molecular communication network and its applications in crop sciences. Planta 2022, 255, 128. [Google Scholar] [CrossRef]
- Ullah, A.; Bano, A.; Khan, N. Climate change and salinity effects on crops and chemical communication between plants and plant growth-promoting microorganisms under stress. Front. Sustain. Food Syst. 2021, 5, 618092. [Google Scholar] [CrossRef]
- Zhang, G.; Kong, G.; Li, Y. Long-distance communication through systemic macromolecular signaling mediates stress defense responses in plants. Physiol. Plant. 2021, 173, 1926–1934. [Google Scholar] [CrossRef]
- Duan, C.; Wu, Z.; Liao, H.; Ren, Y. Interaction processes of environment and plant ecophysiology with emissions from dominant greening trees. Forests 2023, 14, 523. [Google Scholar] [CrossRef]
- Lu, M.Z.; Snyder, R.; Grant, J.; Tegeder, M. Manipulation of sucrose phloem and embryo loading affects pea leaf metabolism, carbon and nitrogen partitioning to sinks as well as seed storage pools. Plant J. 2020, 101, 217–236. [Google Scholar] [CrossRef] [PubMed]
- Hartmann, H.; Link, R.M.; Schuldt, B. A whole-plant perspective of isohydry: Stem-level support for leaf-level plant water regulation. Tree Physiol. 2021, 41, 901–905. [Google Scholar] [CrossRef]
- Blumstein, M.; Sala, A.; Weston, D.J.; Holbrook, N.M.; Hopkins, R. Plant carbohydrate storage: Intra- and inter-specific trade-offs reveal a major life history trait. New Phytol. 2022, 235, 2211–2222. [Google Scholar] [CrossRef] [PubMed]
- Wang, Y.; Chen, Y.F.; Wu, W.H. Potassium and phosphorus transport and signaling in plants. J. Integr. Plant Biol. 2021, 63, 34–52. [Google Scholar] [CrossRef]
- Meihana, M.; Lakitan, B.; Harun, M.U.; Widuri, L.I.; Kartika, K.; Siaga, E.; Kriswantoro, H. Steady shallow water table did not decrease leaf expansion rate, specific leaf weight, and specific leaf water content in tomato plants. Aust. J. Crop Sci. 2017, 11, 1635–1641. [Google Scholar] [CrossRef]
- Trapp, S.; Shi, J.; Zeng, L. Generic model for plant uptake of ionizable pharmaceuticals and personal care products. Environ. Toxicol. Chem. 2023, 42, 793–804. [Google Scholar] [CrossRef]
- Moya, T.A.; van den Dobbelsteen, A.; Ottele, M.; Bluyssen, P.M. A review of green systems within the indoor environment. Indoor Built Environ. 2019, 28, 298–309. [Google Scholar] [CrossRef]
- Bao, X.; Zhou, W.; Xu, L.; Zheng, Z. A meta-analysis on plant volatile organic compound emissions of different plant species and responses to environmental stress. Environ. Pollut. 2023, 318, 120886. [Google Scholar] [CrossRef] [PubMed]
- Langenberg, S.; Carstens, T.; Hupperich, D.; Schweighoefer, S.; Schurath, U. Determination of binary gas-phase diffusion coefficients of unstable and adsorbing atmospheric trace gases at low temperature–arrested flow and twin tube method. Atmos. Chem. Phys. 2020, 20, 3669–3682. [Google Scholar] [CrossRef]
- Gely, C.; Laurance, S.G.W.; Stork, N.E. How do herbivorous insects respond to drought stress in trees? Biol. Rev. 2020, 95, 434–448. [Google Scholar] [CrossRef] [PubMed]
- Kan, Y.; Mu, X.R.; Gao, J.; Lin, H.X.; Lin, Y. The molecular basis of heat stress responses in plants. Mol. Plant 2023, 16, 1612–1634. [Google Scholar] [CrossRef] [PubMed]
- Brand, L.; Garkisch, M.; Lotter, S.; Schäfer, M.; Burkovski, A.; Sticht, H.; Castiglione, K.; Schober, R. Media modulation based molecular communication. IEEE Trans. Commun. 2022, 70, 7207–7223. [Google Scholar] [CrossRef]
- Lu, P.; Wu, Z.; Liu, B. A vertical channel model of molecular communication and its test-bed. EAI Endorsed Trans. Pervasive Health Technol. 2017, 3, 1–8. [Google Scholar] [CrossRef]
- Fan, Z.; Huang, Y.; Chen, X.; Wen, M. Listening to plant signals through an experimental molecular communication system. In Proceedings of the 2024 IEEE/CIC International Conference on Communications in China (ICCC), Hangzhou, China, 7–9 August 2024; pp. 299–300. [Google Scholar]
- Tuccitto, N.; Cacciola, S.O.; Pappalardo, F.; Cavallaro, A. A synthetic molecular communication testbed for agrotechnology application. In Proceedings of the 11th Annual ACM International Conference on Nanoscale Computing and Communication, Milan, Italy, 28–30 October 2024; pp. 122–123. [Google Scholar]











| Parameter | Value |
|---|---|
| Leaf area () | |
| Leaf electric conductance (g) | |
| Leaf density () | |
| Leaf quality () | |
| Leaf–air partition coefficient () | 20 |
| Sphere radius (R) |
Disclaimer/Publisher’s Note: The statements, opinions and data contained in all publications are solely those of the individual author(s) and contributor(s) and not of MDPI and/or the editor(s). MDPI and/or the editor(s) disclaim responsibility for any injury to people or property resulting from any ideas, methods, instructions or products referred to in the content. |
© 2025 by the authors. Licensee MDPI, Basel, Switzerland. This article is an open access article distributed under the terms and conditions of the Creative Commons Attribution (CC BY) license (https://creativecommons.org/licenses/by/4.0/).
Share and Cite
Sun, Y.; Zhang, P.; Lu, P. Plant Stress Detection via Molecular Communication: Modeling BVOC-Based Inter-Plant Signaling for Agricultural Monitoring. Plants 2025, 14, 2874. https://doi.org/10.3390/plants14182874
Sun Y, Zhang P, Lu P. Plant Stress Detection via Molecular Communication: Modeling BVOC-Based Inter-Plant Signaling for Agricultural Monitoring. Plants. 2025; 14(18):2874. https://doi.org/10.3390/plants14182874
Chicago/Turabian StyleSun, Yusheng, Pengfei Zhang, and Pengfei Lu. 2025. "Plant Stress Detection via Molecular Communication: Modeling BVOC-Based Inter-Plant Signaling for Agricultural Monitoring" Plants 14, no. 18: 2874. https://doi.org/10.3390/plants14182874
APA StyleSun, Y., Zhang, P., & Lu, P. (2025). Plant Stress Detection via Molecular Communication: Modeling BVOC-Based Inter-Plant Signaling for Agricultural Monitoring. Plants, 14(18), 2874. https://doi.org/10.3390/plants14182874

