Effects of LED Applications on Dahlia (Dahlia sp.) Seedling Quality
Abstract
1. Introduction
2. Materials and Methods
2.1. Materials
2.2. Methods
2.3. Statistical Analysis
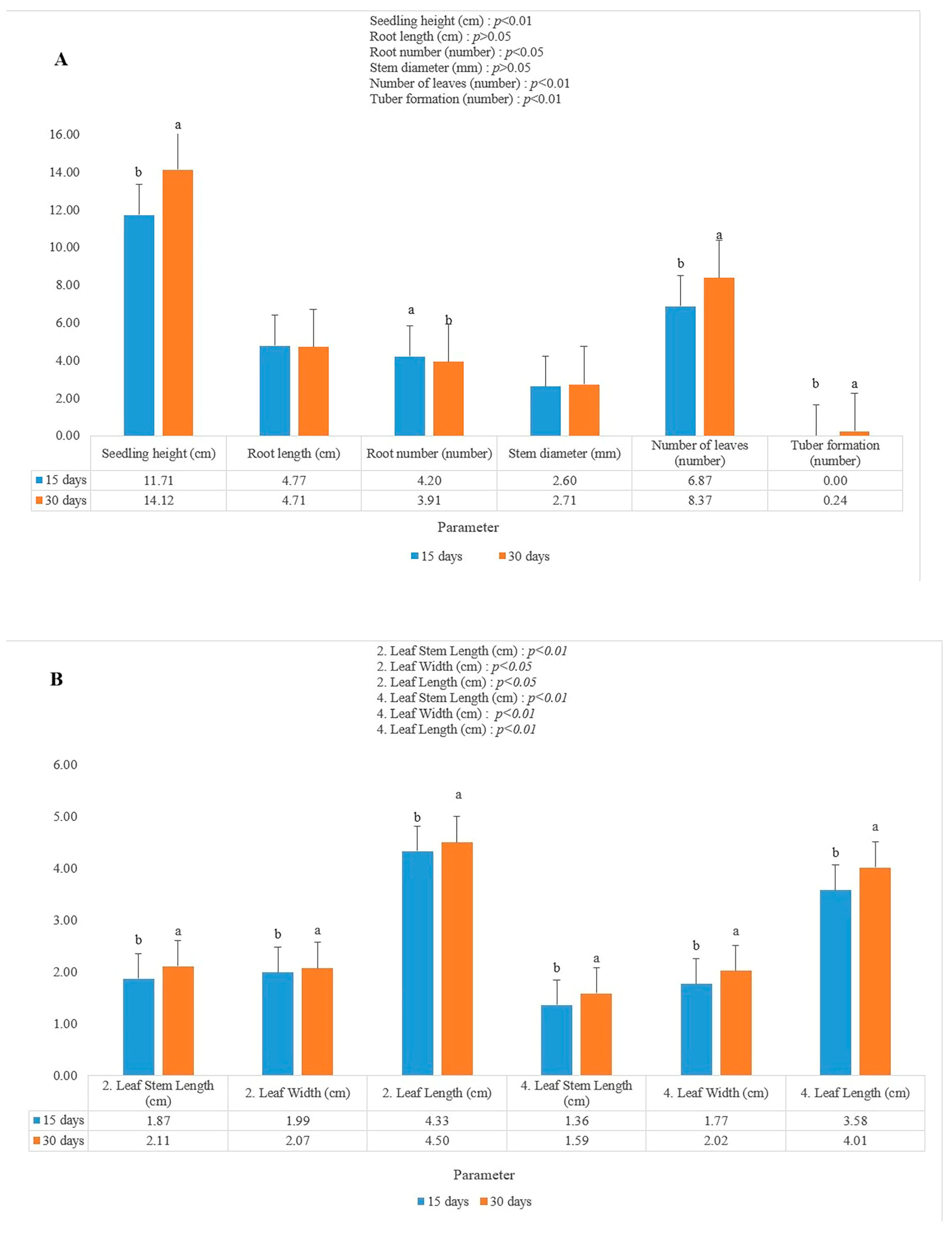
3. Results
4. Discussion
5. Conclusions
Author Contributions
Funding
Data Availability Statement
Conflicts of Interest
References
- Kozai, T. Resource use efficiency of closed plant production system with artificial light: Concept, estimation and application to plant factory. Proc. Jpn. Acad. Ser. B 2013, 89, 447–461. [Google Scholar] [CrossRef]
- Shao, M.A.; Liu, W.; Zha, L.; Zhou, C.; Zhang, Y.; Li, B. Effects of constant and fluctuating red-blue LED radiation on yield and quality of hydroponic purple leaf lettuce. Hortic. Environ. Biotechnol. 2020, 61, 989–997. [Google Scholar] [CrossRef]
- Paradiso, R.; Proietti, S. Light-Quality Manipulation to Control Plant Growth and Photomorphogenesis in Greenhouse Horticulture: The State of the Art and the Opportunities of Modern LED Systems. J. Plant Growth Regul. 2022, 41, 742–780. [Google Scholar] [CrossRef]
- Stamford, J.D.; Stevens, J.; Mullineaux, P.M.; Lawson, T. LED lighting: A grower’s guide to light spectra. HortScience 2023, 58, 180–196. [Google Scholar] [CrossRef]
- Kozai, T. Why LED Lighting for Urban Agriculture? In LED Lighting for Urban Agriculture; Kozai, T., Fujiwara, K., Runkle, E., Eds.; Springer: Singapore, 2016. [Google Scholar] [CrossRef]
- Kozai, T.; Niu, G.; Takagaki, M. (Eds.) Plant Factory: An Indoor Vertical Farming System for Efficient Quality Food Production; Academic: London, UK, 2015; p. 423. [Google Scholar]
- Lazzarin, M.; Meisenburg, M.; Meijer, D.; Van Ieperen, W.; Marcelis, L.F.M.; Keppers, I.F.; Dicke, M. LEDs Make It Resilient: Effects on Plant Growth and Defense. Trends Plant Sci. 2021, 26, 496–508. [Google Scholar] [CrossRef]
- Zhang, T.; Shi, Y.; Piao, F.; Sun, Z. Effects of different LED sources on the growth and nitrogen metabolism of lettuce. Plant Cell Tissue Organ Cult. 2018, 134, 231–240. [Google Scholar] [CrossRef]
- Zhang, Y.; Hu, W.; Peng, X. Characterization of anthocyanin and proanthocyanidin biosynthesis in two strawberry genotypes during fruit development in response to different light qualities. J. Photochem. Photobiol. B 2018, 186, 225–231. [Google Scholar] [CrossRef]
- Zhang, Y.; Jiang, L.; Li, Y.; Chen, Q.; Ye, Y.; Zhang, Y.; Luo, Y.; Sun, B.; Wang, X.; Tang, H. Effect of Red and Blue Light on Anthocyanin Accumulation and Differential Gene Expression in Strawberry (Fragaria × ananassa). Molecules 2018, 23, 820. [Google Scholar] [CrossRef]
- Li, H.; Tang, C.; Xu, Z.; Liu, X.; Han, X. Effects of different light sources on the growth of non-heading chinese cabbage (Brassica campestris L.). J. Agric. Sci. 2012, 4, 262. [Google Scholar] [CrossRef]
- Ruamrungsri, S.; Utrapen, Y.; Tateing, S.; Panjama, K.; Inkham, C. Impact of LED Combinations and Light Intensity on Growth and Yields of Wasabi. Horticulturae 2025, 11, 3. [Google Scholar] [CrossRef]
- Singh, D.; Basu, C.; Meinhardt-Wollweber, M.; Roth, B. LEDs for energy efficient greenhouse lighting. Renew. Sustain. Energy Rev. 2015, 49, 139–147. [Google Scholar] [CrossRef]
- Rosales, M.; Ramirez, A.; Sosa, E.; Flores, C.; De Luna, I.; Mejia-Munoz, J.; Martinez, L. Dahlia parvibracteata for agriculture and floriculture in Mexico. Acta Hortic. 2023, 1383, 349–353. [Google Scholar] [CrossRef]
- Zheng, L.; He, H.; Song, W. Application of light-emitting diodes and the effect of light quality on horticultural crops: A review. HortScience 2019, 54, 1656–1661. [Google Scholar] [CrossRef]
- Trivellini, A.; Toscano, S.; Romano, D.; Ferrante, A. LED lighting to produce high quality ornamental plants. Plants 2023, 12, 1667. [Google Scholar] [CrossRef]
- Kharshiing, E.V.; Mawphlang, O.I.L.; Lama, V.; Bhattacharjee, R.; Sahoo, L. Manipulation of light environment for optimising photoreceptor activity towards enhancing plant traits of agronomic and horticultural importance in crops. J. Hortic. Sci. Biotechnol. 2022, 97, 535–551. [Google Scholar] [CrossRef]
- Roeber, V.M.; Schmülling, T.; Cortleven, A. The photoperiod: Handling and causing stress in plants. Front. Plant Sci. 2022, 12, 781988. [Google Scholar] [CrossRef]
- Raut, D.; Rai, S.; Beese, S.; Singh, B.V.; Agnihotri, N. Artificial light spectra and its impact on plant physiological processes and secondary metabolism. Int. J. Plant Soil. Sci. 2023, 35, 2060–2070. [Google Scholar] [CrossRef]
- Karimi, M.; Ahmadi, N.; Ebrahimi, M. Photoreceptor regulation of Hypericum perforatum L. (cv. Topas) flowering under different light spectrums in the controlled environment system. Environ. Exp. Bot. 2022, 196, 104797. [Google Scholar] [CrossRef]
- Tanaka, M.; Takamura, T.; Watanabe, H.; Endo, M.; Yanagi, T.; Okamoto, K. In vitro growth of Cymbidium plantlets cultured under superbright red and blue light-emitting diodes (LEDs). J. Hortic. Sci. Biotechnol. 1998, 73, 39–44. [Google Scholar] [CrossRef]
- Snowden, M.C.; Cope, K.R.; Bugbee, B. Sensitivity of seven diverse species to blue and green light: Interactions with photon flux. PLoS ONE 2016, 11, e0163121. [Google Scholar] [CrossRef]
- Jin, D.; Su, X.; Li, Y.; Shi, M.; Yang, B.; Wan, W.; Zou, J. Effect of red and blue light on cucumber seedlings grown in a plant factory. Horticulturae 2023, 9, 124. [Google Scholar] [CrossRef]
- Havan, A.; Köklü-Ardiç, Ş.; Havan, R.; Korkmaz, A. Effects of Different Wavelength-Led Lighting Applications on Seedling Quality in Tomato. J. Agric. Nat. 2024, 27, 372–384. [Google Scholar] [CrossRef]
- Matsuo, S.; Nanya, K.; Imanishi, S.; Honda, I.; Goto, E. Effects of Blue and Red Lights on Gibberellin Metabolism in Tomato Seedlings. Hortic. J. 2019, 88, 76–82. [Google Scholar] [CrossRef]
- Claypool, N.B.; Lieth, J.H. Physiological responses of pepper seedlings to various ratios of blue, green, and red light using LED lamps. Sci. Hortic. 2020, 268, 109371. [Google Scholar] [CrossRef]
- Wollaeger, H.M.; Runkle, E.S. Growth of impatiens, petunia, salvia, and tomato seedlings under blue, green, and red light-emitting diodes. HortScience 2014, 49, 734–740. [Google Scholar] [CrossRef]
- Demers, D.A.; Dorais, M.; Wien, C.H.; Gosselin, A. Effects of supplemental light duration on greenhouse tomato (Lycopersicon esculentum Mill.) plants and fruit yields. Sci. Hortic. 1998, 74, 295–306. [Google Scholar] [CrossRef]
- Bal, Y.A.; Tütüncü, A.Ç.; Özer, H.; Pekşen, A. Effect of Supplementary White LED Lighting Applications on Quality Characteristics of Pepper Seedlings. Int. J. Agric. Wildl. Sci. 2024, 10, 322–332. [Google Scholar] [CrossRef]
- Lin, K.H.; Huang, M.Y.; Huang, W.D.; Hsu, M.H.; Yang, Z.W.; Yang, C.M. The effects of red, blue, and white light-emitting diodes on the growth, development, and edible quality of hydroponically grown lettuce (Lactuca sativa L. var. capitata). Sci. Hortic. 2013, 150, 86–91. [Google Scholar] [CrossRef]
- Paponov, M.; Kechasov, D.; Lacek, J.; Verheul, M.J.; Paponov, I.A. Supplemental light-emitting diode interlighting increases tomato fruit growth through enhanced photosynthetic light use efficiency and modulated root activity. Front. Plant Sci. 2020, 10, 1656. [Google Scholar] [CrossRef]
- Rakutko, S.; Rakutko, E.; Tranchuk, A. Comparative evaluation of tomato transplant growth parameters under led, fluorescent and high-pressure sodium lamps. Eng. Rural. Dev. 2015, 14, 222–229. [Google Scholar]
- Hernández, R.; Eguchi, T.; Deveci, M.; Kubota, C. Tomato seedling physiological responses under different percentages of blue and red photon flux ratios using LEDs and cool white fluorescent lamps. Sci. Hortic. 2016, 213, 270–280. [Google Scholar] [CrossRef]
- Kim, H.M.; Hwang, S.J. The growth and development of ‘mini chal’tomato plug seedlings grown under various wavelengths using light emitting diodes. Agronomy 2019, 9, 157. [Google Scholar] [CrossRef]
- Soltani, S.; Arouiee, H.; Salehi, R.; Nemati, S.H.; Moosavi-Nezhad, M.; Gruda, N.S.; Aliniaeifard, S. Morphological, phytochemical, and photosynthetic performance of grafted tomato seedlings in response to different LED light qualities under protected cultivation. Horticulturae 2023, 9, 471. [Google Scholar] [CrossRef]
- Li, H.; Lu, X.; Chen, J.; Jiang, R. Variation in growth, physiological characteristics of tomato seedlings exposed to different LEDs light quality. Pak. J. Bot. 2023, 55, 1347–1352. [Google Scholar] [CrossRef]
- Taiz, L.; Zeiger, E. Plant Physiology; The Benjamin/Cummins Publishing Company Inc.: San Francisco, CA, USA, 1998. [Google Scholar]
- Yousef, A.F.; Ali, M.M.; Rizwan, H.M.; Tadda, S.A.; Kalaji, H.M.; Yang, H.; Ahmed, M.A.A.; Wrobel, J.; Xu, Y.; Chen, F. Photosynthetic apparatus performance of tomato seedlings grown under various combinations of LED illumination. PLoS ONE 2021, 16, e0249373. [Google Scholar] [CrossRef]
- Bayhan, Y.; Avci, Z. Determining the Effects of Led Lighting Systems in Greenhouse Vegetable Growing on the Growth and Yield of Plants. Eur. J. Sci. Technol. 2019, 17, 86–95. [Google Scholar] [CrossRef]
- Shivayogeppa, G.; Dinakar Adiga, J.; Prabhuling, G.; Red¬dy, B.S.; Sathyanarayana, B.N. Strategies for in vitro conservation of Dahlia (Dahlia variabilis L.). Acta Hortic. 2008, 865, 393–396. [Google Scholar] [CrossRef]
- Jiménez Mariña, L. El cultivo de la Dalia. Cultiv. Trop. 2015, 36, 107–115. [Google Scholar]
- Brondum, J.J.; Heins, R.D. Modeling Temperature and Photoperiod Effects on Growth and Development of Dahlia. J. Am. Soc. Hortic. Sci. 1993, 118, 36–42. [Google Scholar] [CrossRef]
- Landi, M.; Tattini, M.; Gould, K.S. Multiple functional roles of anthocyanins in plant-environment interactions. Environ. Exp. Bot. 2015, 119, 4–17. [Google Scholar] [CrossRef]
- Lee, J.H.; Kwon, Y.B.; Roh, Y.H.; Choi, I.-L.; Kim, J.; Kim, Y.; Yoon, H.S.; Kang, H.-M. Effect of Various LED Light Qualities, Including Wide Red Spectrum-LED, on the Growth and Quality of Mini Red Romaine Lettuce (cv. Breen). Plants 2023, 12, 2056. [Google Scholar] [CrossRef]
- Nhut, D.T.; Takamura, N.T.; Watanabe, H.; Tanaka, M. Light emitting diodes (LEDs) as a radiation source for micropropagation of strawberry. In Transplant Production in the 21st Century; Kubota, C., Chun, C., Eds.; Kluwer Academic Publishers: Dordrecht, The Netherlands, 2000; pp. 114–118. [Google Scholar]
- Kim, S.J.; Hahn, E.J.; Heo, J.W.; Paek, K. Effects of LEDs on net photosynthetic rate, growth and leaf stomata of chrysanthemum plantlets in vitro. Sci. Hortic. 2004, 101, 143–151. [Google Scholar] [CrossRef]
- Chen, X.L.; Li, Y.L.; Wang, L.C.; Guo, W.Z. Red and blue wavelengths affect the morphology, energy use efficiency and nutritional content of lettuce (Lactuca sativa L.). Sci. Rep. 2021, 11, 8374. [Google Scholar] [CrossRef]
- Cookson, S.J.; Van Lijsebettens, M.; Granier, C. Correlation between leaf growth variables suggest intrinsic and early controls of leaf size in Arabidopsis thaliana. Plant Cell Environ. 2005, 28, 1355–1366. [Google Scholar] [CrossRef]
- Zhang, G.; Li, Z.; Cheng, J.; Cai, X.; Cheng, F.; Yang, Y.; Yan, Z. Morphological and physiological traits of greenhouse-grown tomato seedlings as influenced by supplemental white plus red versus red plus blue LEDs. Agronomy 2022, 12, 2450. [Google Scholar] [CrossRef]
- Cavallaro, V.; Avola, G.; Fascella, G.; Pellegrino, A.; Ierna, A. Effects of Spectral Quality and Light Quantity of LEDs on In Vitro Shoot Development and Proliferation of Ananas comosus L. Merr. Agronomy 2023, 13, 1072. [Google Scholar] [CrossRef]






| Variety | ||||||
|---|---|---|---|---|---|---|
| Parameter | Violet | Orange | White | Red | LSD | f-Value |
| Seedling height (cm) | 12.59 ± 0.12 c | 13.80 ± 0.12 a | 13.10 ± 0.12 b | 12.17 ± 0.12 c | 0.99 | 25.10 ** |
| Root length (cm) | 4.72 ± 0.59 ab | 4.55 ± 0.59 b | 4.78 ± 0.59 a | 4.90 ± 0.59 a | 2.74 | 4.62 * |
| Root number (number) | 3.89 ± 0.07 b | 3.92 ± 0.59 b | 4.14 ± 0.59 ab | 4.28 ± 0.59 a | 0.3 | 4.12 * |
| Stem diameter (mm) | 2.78 ± 0.07 | 2.61 ± 0.07 | 2.65 ± 0.07 | 2.59 ± 0.07 | - | ns |
| Number of leaves (number) | 7.37 ± 0.07 b | 7.40 ± 0.07 b | 7.75 ± 0.07 a | 7.97 ± 0.07 a | 5.64 | 10.21 ** |
| Tuber formation (number) | 0.14 ± 0.01 a | 0.14 ± 0.01 a | 0.13 ± 0.01 a | 0.06 ± 0.01 b | 0.11 | 5.21 ** |
| LED Applications | ||||||
|---|---|---|---|---|---|---|
| Parameter | Full-Spectrum | Red | Green | Blue | LSD | f-Value |
| Seedling height (cm) | 14.82 ± 0.12 b | 15.50 ± 0.12 a | 10.82 ± 0.12 c | 10.52 ± 0.12 c | 0.99 | 348.18 ** |
| Root length (cm) | 4.98 ± 0.59 a | 5.20 ± 0.59 a | 3.70 ± 0.59 b | 5.07 ± 0.59 a | 3.77 | 102.52 ** |
| Root number (number) | 4.43 ± 0.07 a | 4.13 ± 0.07 ab | 3.58 ± 0.07 c | 4.08 ± 0.07 b | 0.41 | 15.05 ** |
| Stem diameter (mm) | 2.80 ± 0.07 a | 2.67 ± 0.07 ab | 2.43 ± 0.07 b | 2.73 ± 0.07 ab | 0.25 | 3.84 * |
| Number of leaves (number) | 8.22 ± 0.07 b | 8.67 ± 0.07 a | 6.43 ± 0.07 d | 7.16 ± 0.07 c | 5.64 | 128.71 ** |
| Tuber formation (number) | 0.19 ± 0.01 a | 0.22 ± 0.01 a | 0.00 ± 0.01 c | 0.06 ± 0.01 b | 0.11 | 30.43 ** |
| Variety | ||||||
|---|---|---|---|---|---|---|
| Parameter | Violet | Orange | White | Red | LSD | f-Value |
| Second Leaf stem length (cm) | 1.94 ± 0.36 b | 1.99 ± 0.36 ab | 2.09 ± 0.36 a | 1.92 ± 0.36 b | 1.64 | 3.34 * |
| Second Leaf width (cm) | 2.09 ± 0.24 ab | 1.87 ± 0.24 c | 2.16 ± 0.24 a | 2.01 ± 0.24 b | 1.86 | 19.43 ** |
| Second Leaf length (cm) | 4.4 ± 0.73 | 4.33 ± 0.24 | 4.58 ± 0.24 | 4.36 ± 0.24 | - | ns |
| Fourth Leaf stem length (cm) | 1.32 ± 0.34 c | 1.44 ± 0.34 bc | 1.52 ± 0.34 ab | 1.60 ± 0.34 a | 2.09 | 9.54 ** |
| Fourth Leaf width (cm) | 1.88 ± 0.32 ab | 1.84 ± 0.32 b | 1.85 ± 0.32 b | 1.99 ± 0.32 a | 1.52 | 3.24 * |
| Fourth Leaf length (cm) | 3.72 ± 0.46 b | 3.93 ± 0.46 a | 4.02 ± 0.46 a | 3.52 ± 0.46 c | 4.95 | 17.30 ** |
| LED Applications | ||||||
|---|---|---|---|---|---|---|
| Parameter | Full-Spectrum | Red | Green | Blue | LSD | f-Value |
| Second Leaf Stem Length (cm) | 2.03 ± 0.36 b | 2.46 ± 0.36 a | 1.60 ± 0.36 d | 1.86 ± 0.36 c | 2.24 | 73.80 ** |
| Second Leaf Width (cm) | 2.37 ± 0.24 a | 2.19 ± 0.24 b | 1.64 ± 0.24 c | 2.11 ± 0.24 b | 1.86 | 200.73 ** |
| Second Leaf Length (cm) | 4.81 ± 0.73 a | 5.03 ± 0.73 a | 3.32 ± 0.73 c | 4.51 ± 0.73 b | 4.07 | 80.24 ** |
| Fourth Leaf Stem Length (cm) | 1.80 ± 0.34 b | 1.95 ± 0.34 a | 0.82 ± 0.34 d | 1.34 ± 0.34 c | 2.09 | 167.28 ** |
| Fourth Leaf Width (cm) | 2.28 ± 0.32 a | 2.26 ± 0.32 a | 1.16 ± 0.32 c | 1.87 ± 0.32 b | 2.09 | 192.85 ** |
| Fourth Leaf Length (cm) | 4.34 ± 0.46 a | 4.5 ± 0.46 a | 2.64 ± 0.46 c | 3.72 ± 0.46 b | 4.95 | 242.14 ** |
Disclaimer/Publisher’s Note: The statements, opinions and data contained in all publications are solely those of the individual author(s) and contributor(s) and not of MDPI and/or the editor(s). MDPI and/or the editor(s) disclaim responsibility for any injury to people or property resulting from any ideas, methods, instructions or products referred to in the content. |
© 2025 by the authors. Licensee MDPI, Basel, Switzerland. This article is an open access article distributed under the terms and conditions of the Creative Commons Attribution (CC BY) license (https://creativecommons.org/licenses/by/4.0/).
Share and Cite
Gündoğdu, G.; Zencirkıran, M.; Ertürk, Ü. Effects of LED Applications on Dahlia (Dahlia sp.) Seedling Quality. Plants 2025, 14, 2319. https://doi.org/10.3390/plants14152319
Gündoğdu G, Zencirkıran M, Ertürk Ü. Effects of LED Applications on Dahlia (Dahlia sp.) Seedling Quality. Plants. 2025; 14(15):2319. https://doi.org/10.3390/plants14152319
Chicago/Turabian StyleGündoğdu, Gamze, Murat Zencirkıran, and Ümran Ertürk. 2025. "Effects of LED Applications on Dahlia (Dahlia sp.) Seedling Quality" Plants 14, no. 15: 2319. https://doi.org/10.3390/plants14152319
APA StyleGündoğdu, G., Zencirkıran, M., & Ertürk, Ü. (2025). Effects of LED Applications on Dahlia (Dahlia sp.) Seedling Quality. Plants, 14(15), 2319. https://doi.org/10.3390/plants14152319

