Impact of Snow on Vegetation Green-Up on the Mongolian Plateau
Abstract
1. Introduction
2. Materials and Methods
2.1. Study Area
2.2. Data Sources
2.3. Methods
2.3.1. Snow Accumulation Variation Parameters
2.3.2. Vegetation Index
2.3.3. Calculation of Vegetation SOS
2.3.4. Accuracy Assessment
2.3.5. Survival Analysis Model
3. Results
3.1. Variation of Snow Parameters
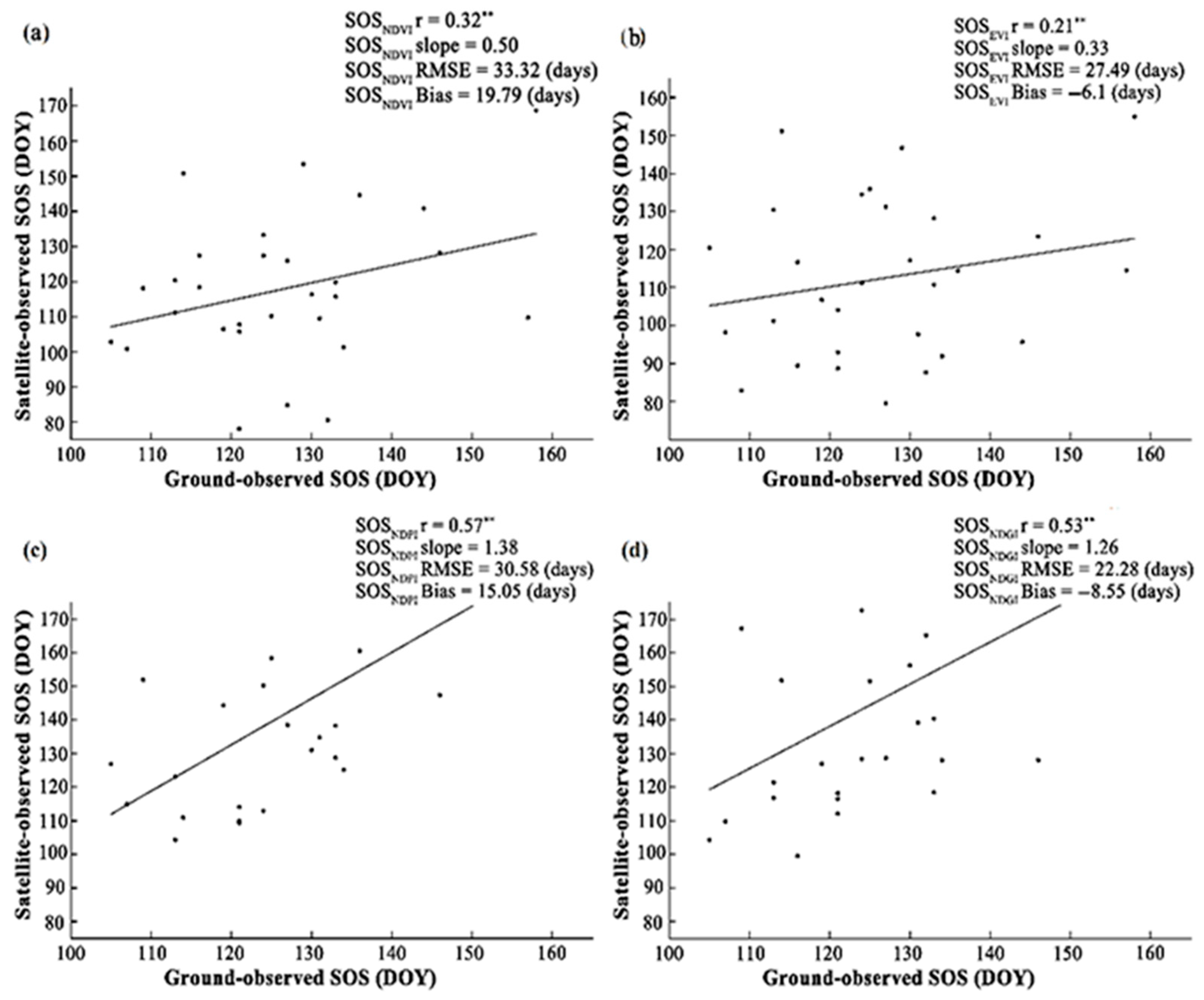
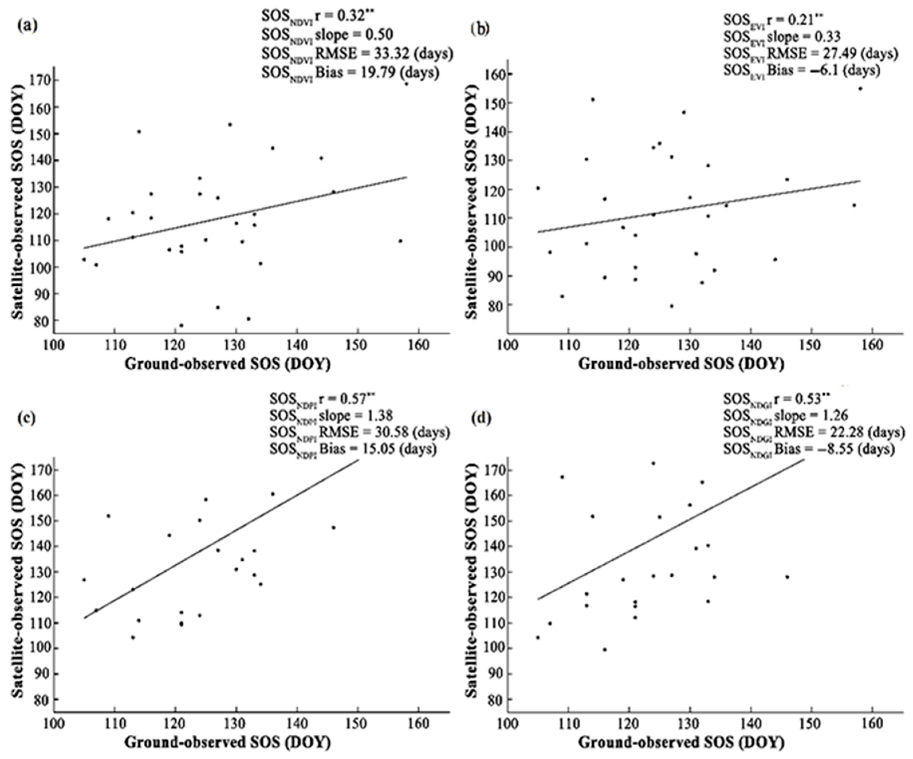
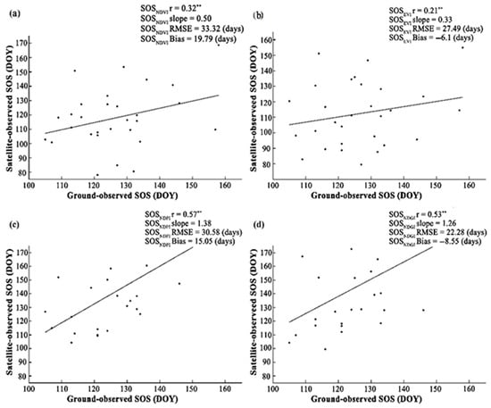
3.2. Comparison of Spatial Different Vegetation Green-Up Methods
3.3. Mechanism of Snow on Vegetation Green-Up
4. Discussion
4.1. Impact of Snow on Vegetation Green-Up
4.2. Analysis of the Mechanism of Snow Parameters on the Vegetation SOS
4.3. Advantages and Limitations
5. Conclusions
Author Contributions
Funding
Data Availability Statement
Acknowledgments
Conflicts of Interest
Abbreviations
| SOS | Start of growing season |
| SCF | Snow cover fraction |
| SMD | Snow melt date |
| DEM | Digital elevation model |
| IGBP | International geosphere-biosphere programme |
| NDSI | Normalized difference snow index |
| NDVI | Normalized difference vegetation index |
| EVI | Enhanced vegetation index |
| NDPI | Normalized difference phenology index |
| NDGI | Normalized difference greenness index |
| CREN | Chinese ecosystem research network |
| RMSE | Root mean square error |
| DOY | Day of the year |
References
- Qi, Y.; Wang, H.; Ma, X.; Zhang, J.; Yang, R. Relationship between vegetation phenology and snow cover changes during 2001–2018 in the Qilian Mountains. Ecol. Indic. 2021, 133, 108351. [Google Scholar] [CrossRef]
- Mitterwallner, V.; Steinbauer, M.; Mathes, G.; Walentowitz, A. Global reduction of snow cover in ski areas under climate change. PLoS ONE 2024, 19, e0299735. [Google Scholar] [CrossRef]
- Xu, J.; Tang, Y.; Xu, J.; Chen, J.; Bai, K.; Shu, S.; Yu, B.; Wu, J.; Huang, Y. Evaluation of Vegetation Indexes and Green-Up Date Extraction Methods on the Tibetan Plateau. Remote. Sens. 2022, 14, 3160. [Google Scholar] [CrossRef]
- Henderson, G.R.; Peings, Y.; Furtado, J.C.; Kushner, P.J. Snow–atmosphere coupling in the Northern Hemisphere. Nat. Clim. Change 2018, 8, 954–963. [Google Scholar] [CrossRef]
- Bao, G.; Chen, J.; Chopping, M.; Bao, Y.; Bayarsaikhan, S.; Dorjsuren, A.; Tuya, A.; Jirigala, B.; Qin, Z. Dynamics of net primary productivity on the Mongolian Plateau: Joint regulations of phenology and drought. Int. J. Appl. Earth Obs. 2019, 81, 85–97. [Google Scholar] [CrossRef]
- Liu, H.; Xiao, P.; Zhang, X.; Chen, S.; Wang, Y.; Wang, W. Winter snow cover influences growing-season vegetation productivity non-uniformly in the Northern Hemisphere. Commun. Earth Environ. 2023, 4, 487. [Google Scholar] [CrossRef]
- Wang, X.; Xiao, J.; Li, X.; Chen, G.; Ma, M.; Che, T.; Dai, L.; Wang, S.; Wu, J. No consistent evidence for advancing or delaying trends in spring phenology on the Tibetan Plateau. J. Geophys. Res. Biogeosci. 2017, 122, 3288–3305. [Google Scholar] [CrossRef]
- Wang, X.; Xiao, J.; Li, X.; Cheng, G.; Ma, M.; Zhu, G.; Arain, M.A.; Black, A.; Jassal, R.S. No trends in spring and autumn phenology during the global warming hiatus. Nat. Commun. 2019, 10, 2389. [Google Scholar] [CrossRef]
- Gu, H.; Qiao, Y.; Xi, Z.; Rossi, S.; Smith, N.G.; Liu, J.; Chen, L. Warming-induced increase in carbon uptake is linked to earlier spring phenology in temperate and boreal forests. Nat. Commun. 2022, 13, 3698. [Google Scholar] [CrossRef]
- Li, Y.; Zhang, W.; Schwalm, C.R.; Gentine, P.; Smith, W.K.; Ciais, P.; Kimball, J.S.; Gazol, A.; Kannenberg, S.A.; Chen, A.; et al. Widespread spring phenology effects on drought recovery of Northern Hemisphere ecosystems. Nat. Clim. Change 2023, 13, 182–188. [Google Scholar] [CrossRef]
- Wang, X.; Wu, C.; Peng, D.; Gonsamo, A.; Liu, Z. Snow cover phenology affects alpine vegetation growth dynamics on the Tibetan Plateau: Satellite observed evidence, impacts of different biomes, and climate drivers. Agr. Forest. Meteorol. 2018, 256, 61–74. [Google Scholar] [CrossRef]
- Zhao, X.; Hu, H.; Shen, H.; Zhou, D.; Zhou, L.; Myneni, R.B.; Fang, J. Satellite-indicated long-term vegetation changes and their drivers on the Mongolian Plateau. Landsc. Ecol. 2015, 30, 1599–1611. [Google Scholar] [CrossRef]
- Nandintsetseg, B.; Shinoda, M. Seasonal change of soil moisture in Mongolia: Its climatology and modelling. Int. J. Climatol. 2011, 31, 1143–1152. [Google Scholar] [CrossRef]
- Zhang, X.; Sa, C.; Hai, Q.; Meng, F.; Luo, M.; Gao, H.; Zhang, H.; Yin, C.; Zhang, Y.; Sun, H. Quantifying the Effects of Snow on the Beginning of Vegetation Growth in the Mongolian Plateau. Remote. Sens. 2023, 15, 1245. [Google Scholar] [CrossRef]
- Sa, C.; Meng, F.; Luo, M.; Li, C.; Wang, M.; Adiya, S.; Bao, Y. Spatiotemporal variation in snow cover and its effects on grassland phenology on the Mongolian Plateau. J. Arid. Land 2021, 13, 332–349. [Google Scholar] [CrossRef]
- Miao, L.; Müller, D.; Cui, X.; Ma, M. Changes in vegetation phenology on the Mongolian Plateau and their climatic determinants. PLoS ONE 2017, 12, e0190313. [Google Scholar] [CrossRef]
- Tang, Y.; Chen, J.; Xu, J.; Xu, J.; Ni, J.; Zheng, Z.; Yu, B.; Wu, J.; Huang, Y. The Impact of Autumn Snowfall on Vegetation Indices and Autumn Phenology Estimation. Remote. Sens. 2024, 16, 4783. [Google Scholar] [CrossRef]
- Rihan, W.; Zhao, J.; Zhang, H.; Guo, X.; Ying, H.; Deng, G.; Li, H. Wildfires on the Mongolian Plateau: Identifying Drivers and Spatial Distributions to Predict Wildfire Probability. Remote. Sens. 2019, 11, 2361. [Google Scholar] [CrossRef]
- Fang, J.; Bai, Y.; Wu, J. Towards a better understanding of landscape patterns and ecosystem processes of the Mongolian Plateau. Landsc. Ecol. 2015, 30, 1573–1578. [Google Scholar] [CrossRef]
- Sun, Y.; Zhang, T.; Liu, Y.; Zhao, W.; Huang, X. Assessing Snow Phenology over the Large Part of Eurasia Using Satellite Observations from 2000 to 2016. Remote. Sens. 2020, 12, 2060. [Google Scholar] [CrossRef]
- Zhang, H.B.; Zhang, F.; Zhang, G.Q.; Che, T.; Yan, W.; Ye, M.; Ma, N. Ground-based evaluation of MODIS snow cover product V6 across China: Implications for the selection of NDSI threshold. Sci. Total. Environ. 2019, 651, 2712–2726. [Google Scholar] [CrossRef]
- Zhang, Y.H.; Ye, A.Z. Spatial and temporal variations in vegetation coverage observed using AVHRR GIMMS and Terra MODIS data in the mainland of China. Int. J. Remote. Sens. 2020, 41, 4238–4268. [Google Scholar] [CrossRef]
- Huete, A.; Didan, K.; Miura, T.; Rodriguez, E.P.; Gao, X.; Ferreira, L.G. Overview of the radiometric and biophysical performance of the MODIS vegetation indices. Remote. Sens. Environ. 2022, 83, 195–213. [Google Scholar] [CrossRef]
- Xu, D.; Wang, C.; Chen, J.; Shen, M.; Shen, B.; Yan, R.; Li, Z.; Karnieli, A.; Chen, J.; Yan, Y.; et al. The superiority of the normalized difference phenology index (NDPI) for estimating grassland aboveground fresh biomass. Remote. Sens. Environ. 2021, 264, 112578. [Google Scholar] [CrossRef]
- Wang, C.; Chen, J.; Wu, J.; Tang, Y.; Shi, P.; Black, T.A.; Zhu, K. A snow-free vegetation index for improved monitoring of vegetation spring green-up date in deciduous ecosystems. Remote. Sens. Environ. 2017, 196, 1–12. [Google Scholar] [CrossRef]
- Yang, W.; Kobayashi, H.; Wang, C.; Shen, M.; Chen, J.; Matsushita, B.; Tang, Y.; Kim, Y.; Bret-Harte, M.S.; Zona, D.; et al. A semi-analytical snow-free vegetation index for improving estimation of plant phenology in tundra and grassland ecosystems. Remote. Sens. Environ. 2019, 228, 31–44. [Google Scholar] [CrossRef]
- Gan, L.; Cao, X.; Chen, X.; Dong, Q.; Cui, X.; Chen, J. Comparison of MODIS-based vegetation indices and methods for winter wheat green-up date detection in Huanghuai region of China. Agr. Forest. Meteorol. 2020, 288, 108019. [Google Scholar] [CrossRef]
- Ayiomamitis, A. Logistic Curve Fitting and Parameter-Estimation Using Nonlinear Noniterative Least-Squares Regression-Analysis. Comput. Biomed. Res. 1986, 19, 142–150. [Google Scholar] [CrossRef]
- Lu, L.; Wang, C.; Guo, H.; Li, Q. Detecting winter wheat phenology with SPOT-VEGETATION data in the North China Plain. Geocarto Int. 2014, 29, 244–255. [Google Scholar] [CrossRef]
- White, M.A.; Thornton, P.E.; Running, S.W. A continental phenology model for monitoring vegetation responses to interannual climatic variability. Glob. Biogeochem. Cycles 1997, 11, 217–234. [Google Scholar] [CrossRef]
- Zhang, X.; Friedl, M.A.; Schaaf, C.B.; Strahler, A.H.; Hodges, J.C.F.; Gao, F.; Reed, B.C.; Huete, A. Monitoring vegetation phenology using MODIS. Remote. Sens. Environ. 2003, 84, 471–475. [Google Scholar] [CrossRef]
- Kleinbaum, D.G.; Klein, M. Survival Analysis, 3rd ed.; Springer: New York, NY, USA, 2012. [Google Scholar]
- Zhou, T.; Cao, R.Y.; Wang, S.P.; Chen, J.; Tang, Y.H. Responses of green-up dates of grasslands in China and woody plants in Europe to air temperature and precipitation: Empirical evidences based on survival analysis. Chin. J. Plant Ecol. 2018, 42, 526–538. [Google Scholar] [CrossRef]
- Cox, D.R. Regression Models and Life-Tables. J. R. Stat. Soc. Ser. B 1972, 34, 187–202. [Google Scholar] [CrossRef]
- Breslow, N. Covariance analysis of censored survival data. Biometrics 1974, 30, 89–99. [Google Scholar] [CrossRef]
- White, M.A.; de Beurs, K.M.; Didan, K.; Inouye, D.W.; Richardson, A.D.; Jensen, O.P.; O’Keefe, J.; Zhang, G.; Nemani, R.R.; van Leeuwen, W.J.; et al. Intercomparison, interpretation, and assessment of spring phenology in North America estimated from remote sensing for 1982–2006. Glob. Change Biol. 2009, 15, 2335–2359. [Google Scholar] [CrossRef]
- Shang, R.; Liu, R.; Xu, M.; Liu, Y.; Zuo, L.; Ge, Q. The relationship between threshold-based and inflexion-based approaches for ex-traction of land surface phenology. Remote. Sens. Environ. 2017, 199, 167–170. [Google Scholar] [CrossRef]
- Li, N.; Zhan, P.; Pan, Y.; Zhu, X.; Li, M.; Zhang, D. Comparison of Remote Sensing Time-Series Smoothing Methods for Grassland Spring Phenology Extraction on the Qinghai–Tibetan Plateau. Remote. Sens. 2020, 12, 3383. [Google Scholar] [CrossRef]
- Wu, Y.; Xiao, P.; Zhang, X.; Liu, H.; Dong, Y.; Feng, L. Effects of Snow Cover on Spring Vegetation Phenology Vary With Temperature Gradient Across the Pan-Arctic. Biojeoscience 2023, 128, e2022JG007183. [Google Scholar] [CrossRef]
- Guan, X.; Guo, S.; Huang, J.; Shen, X.; Fu, L.; Zhang, G. Effect of seasonal snow on the start of growing season of typical vegetation in Northern Hemisphere. Geogr. Sustain. 2022, 3, 268–276. [Google Scholar] [CrossRef]
- Shen, M.G.; Zhang, G.X.; Cong, N.; Wang, S.; Kong, W.; Piao, S. Increasing altitudinal gradient of spring vegetation phenology during the last decade on the Qinghai-Tibetan Plateau. Agr. Forest. Meteorol. 2014, 189, 71–80. [Google Scholar] [CrossRef]
- Shen, M.; Piao, S.; Cong, N.; Zhang, G.; Jassens, I.A. Precipitation impacts on vegetation spring phenology on the Tibetan Plateau. Global. Change Biol. 2015, 21, 3647–3656. [Google Scholar] [CrossRef]
- Zhang, J.; Sun, C.; Song, Q.; Zhang, Y.; Bibi, S.; Lu, Z.; Yu, H.; Sha, L.; Zhou, W.; Gnanamoorthy, P. The effect of snow damage on self-organization in a primary subtropical evergreen broadleaved forest in Southwest China. Ecol. Infom. 2022, 67, 101482. [Google Scholar] [CrossRef]
- Li, Y.; Sun, F.; Chen, Y.; Fang, G.; Li, Z.; Duan, W.; Qin, J.; Zhang, X.; Li, B. Unraveling the complexities of rain-on-snow events in High Mountain Asia. npj Clim. Atmos. Sci. 2025, 8, 118. [Google Scholar] [CrossRef]
- Ma, Q.; Keyimu, M.; Li, X.; Wu, S.; Zeng, F.; Lin, L. Climate and elevation control snow depth and snow phenology on the Tibetan Plateau. J. Hydrol. 2023, 617, 128938. [Google Scholar] [CrossRef]
- Liu, Y.; Hansen, B.U.; Elberling, B.; Westergaard-Nielsen, A. Snow depth and the associated offset in ground temperatures in a landscape manipulated with snow-fences. Geoderma 2023, 438, 116632. [Google Scholar] [CrossRef]
- Delbart, N.; Taan, T.L.; Kergoat, L.; Fedotova, V. Remote sensing of spring phenology in boreal regions: A free of snow-effect method using NOAA-AVHRR and SPOT-VGT data (1982–2004). Remote. Sens. Environ. 2006, 101, 52–62. [Google Scholar] [CrossRef]
- Ma, Y.; Huang, X.; Feng, Q.; Liang, T. Alpine Grassland Reviving Response to Seasonal Snow Cover on the Tibetan Plateau. Remote. Sens. 2022, 14, 2499. [Google Scholar] [CrossRef]
- Ge, X.; Zhu, J.; Lu, D.; Wu, D.; Yu, F.; Wei, X. Effects of canopy composition on snow depth and below-the-snow temperature regimes in the temperate secondary forest ecosystem, Northeast China. Agr. Forest. Meteorol. 2022, 313, 108744. [Google Scholar] [CrossRef]
- Ren, C.; Zhang, L.; Fu, B. Unraveling Effect of Snow Cover on Spring Vegetation Phenology across Different Vegetation Types in Northeast China. Remote. Sens. 2023, 15, 4783. [Google Scholar] [CrossRef]
- Diez, J.M.; Ibanez, I.; Silander, J.A.; Primack, R.; Higuchi, H.; Kobori, H.; Sen, A.; James, T.Y. Beyond seasonal climate: Statistical estimation of phenological responses to weather. Ecol. Appl. 2014, 24, 1793–1802. [Google Scholar] [CrossRef]
- Thornton, J.M.; Brauchli, T.; Mariethoz, G.; Brunner, P. Efficient multi-objective calibration and uncertainty analysis of distributed snow simulations in rugged alpine terrain. J. Hydrol. 2021, 598, 126241. [Google Scholar] [CrossRef]
- Revuelto, J.; Alonso-Gonzalez, E.; Vidaller-Gayan, I.; Lacroix, E.; Izagirre, E.; Rodríguez-López, G.; López-Moreno, J.I. Intercomparison of UAV platforms for mapping snow depth distribution in complex alpine terrain. Cold Reg. Sci. Technol. 2021, 190, 103344. [Google Scholar] [CrossRef]
- Elmendorf, S.C.; Crimmins, T.M.; Gerst, K.L.; Weltzin, J.F. Time to branch out? Application of hierarchical survival models in plant phenology. Agr. Forest. Meteorol. 2019, 279, 107694. [Google Scholar] [CrossRef]
- Zhang, S.; Wang, J.; Feng, Z.; Wang, T.; Li, J.; Liu, N. Verification of the accuracy of Sentinel-1 for DEM extraction error analysis under complex terrain conditions. Int. J. Appl. Earth Obs. 2024, 133, 104157. [Google Scholar] [CrossRef]
- Wang, Z.; Huang, N. Numerical simulation of the falling snow deposition over complex terrain. J. Geophys. Res. Atmos. 2017, 122, 980–1000. [Google Scholar] [CrossRef]
- Yang, K.; Chen, J.; Zhao, T.; Lu, C.; Xu, X.; Luo, Y.; Yang, Q.; Tan, C.; Fu, W.; Wang, Z. Effects of fine terrain complexity on cloud and precipitation changes over the Tibetan Plateau: A modeling study. npj Clim. Atmos. Sci. 2025, 8, 22. [Google Scholar] [CrossRef]
- Zhang, T.; Zhou, X. Numerical simulations of snow saltation over flat terrain: Development of snow transport. J. Wind. Eng. Ind. Aerod. 2023, 240, 105472. [Google Scholar] [CrossRef]






| Number | Vegetation Type | Area (km2) |
|---|---|---|
| 1 | Meadow steppe | 424,664.25 |
| 2 | Typical steppe | 1,640,985.75 |
| 3 | Desert steppe | 750,569.75 |
| Influencing Variables | Coefficient | Standard Error | Z Statistic | p-Value |
|---|---|---|---|---|
| SCF | 0.060 | 1.10 | 2.9 | 0.09 |
| SCF × In(t) | 0.008 | 1.00 | 2.8 | 0.09 |
| SMD | 0.020 | 1.00 | 1.9 | 0.17 |
| SMD × In(t) | 0.003 | 1.00 | 1.9 | 0.17 |
| SOSNDVI | −0.150 | 0.86 | 7.6 | <0.01 |
| SOSNDVI × In(t) | −0.020 | 0.98 | 7.7 | <0.01 |
| SOSEVI | −0.014 | 0.96 | 1.6 | 0.20 |
| SOSEVI × In(t) | −0.006 | 0.99 | 1.7 | 0.19 |
| SOSNDPI | −0.020 | 0.98 | 0.62 | 0.43 |
| SOSNDPI × In(t) | −0.003 | 1.00 | 0.65 | 0.42 |
| SOSNDGI | −0.096 | 0.91 | 8.2 | <0.01 |
| SOSNDGI × In(t) | −0.013 | 0.99 | 8.3 | <0.01 |
Disclaimer/Publisher’s Note: The statements, opinions and data contained in all publications are solely those of the individual author(s) and contributor(s) and not of MDPI and/or the editor(s). MDPI and/or the editor(s) disclaim responsibility for any injury to people or property resulting from any ideas, methods, instructions or products referred to in the content. |
© 2025 by the authors. Licensee MDPI, Basel, Switzerland. This article is an open access article distributed under the terms and conditions of the Creative Commons Attribution (CC BY) license (https://creativecommons.org/licenses/by/4.0/).
Share and Cite
Zhang, X.; Sa, C.; Meng, F.; Luo, M.; Wang, X.; Tian, X.; Garmaev, E. Impact of Snow on Vegetation Green-Up on the Mongolian Plateau. Plants 2025, 14, 2310. https://doi.org/10.3390/plants14152310
Zhang X, Sa C, Meng F, Luo M, Wang X, Tian X, Garmaev E. Impact of Snow on Vegetation Green-Up on the Mongolian Plateau. Plants. 2025; 14(15):2310. https://doi.org/10.3390/plants14152310
Chicago/Turabian StyleZhang, Xiang, Chula Sa, Fanhao Meng, Min Luo, Xulei Wang, Xin Tian, and Endon Garmaev. 2025. "Impact of Snow on Vegetation Green-Up on the Mongolian Plateau" Plants 14, no. 15: 2310. https://doi.org/10.3390/plants14152310
APA StyleZhang, X., Sa, C., Meng, F., Luo, M., Wang, X., Tian, X., & Garmaev, E. (2025). Impact of Snow on Vegetation Green-Up on the Mongolian Plateau. Plants, 14(15), 2310. https://doi.org/10.3390/plants14152310

