Toxic and Hallucinogenic Plants of Southern Chile of Forensic Interest: A Review
Abstract
1. Introduction
2. Methodology
2.1. Information Search and Selection Strategy
2.2. Selection of Plants and Inclusion Criteria
- Occurrence in southern Chile (36°00′–51°00′ S).
- Presence of documented toxic properties and known bioactive compounds.
- Forensic relevance, including the following: Voluntary or involuntary poisoning, Suicide cases, Chemical submission or criminal use.
- Availability of scientific information on at least one of the following: toxic compounds, clinical effects, forensic reports, or ethnomedicinal usage.
2.3. Analysis and Synthesis of Information
- Botanical information: scientific and common names, morphological traits, habitat.
- Toxicological profile: toxic compounds, mechanisms of action, dose-response data.
- Clinical manifestations: symptoms, affected systems, time of onset.
- Forensic cases: description of real cases, intoxication context, outcomes.
- Ethnobotanical relevance (when applicable).
3. Botanical Species Involved in Cases of Forensic Interest
3.1. Datura Stramonium
3.2. Latua Pubiflora (Griseb)
3.3. Atropa Belladonna
3.4. Brugmansia spp.
3.5. Conium Maculatum
3.6. Colchicinum Autumnale
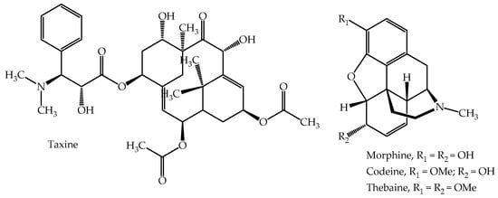
3.7. Taxus Baccata
3.8. Papaver Somniferum
4. Interaction with Other Substances
5. Difficulties for Forensic Science or Medical Diagnosis
6. Toxicovigilance and Forensic Botany
7. Conclusions
Author Contributions
Funding
Data Availability Statement
Acknowledgments
Conflicts of Interest
References
- Diagnóstico de las Investigación de Homicidios de Niños, Niñas y Adolescentes en Chile; 2024, Fundación Amparo y Justicia. Available online: https://amparoyjusticia.cl/wp-content/uploads/2024/10/Diagnostico-Investigacion-de-Homicidios-de-NNA-Fundacion-Amparo-y-Justicia.pdf (accessed on 20 January 2025).
- Acosta-Fuentes, A.; González, S.; Álvarez-Lister, M.S.; Pavez-Carrillo, C. Child and adolescent victims of sexual homicide in Chile between 1998 and 2021: A review of 27 cases and their autopsy reports. Behav. Sci. Law 2024, 42, 543–559. [Google Scholar] [CrossRef] [PubMed]
- Guitart, R.; Giménez, N. ¿Qué es un «tóxico»? Una propuesta de definición. Med. Clin. 2012, 138, 127–132. [Google Scholar] [CrossRef] [PubMed]
- Piasecka, A.; Jedrzejczak-Rey, N.; Bednarek, P. Secondary metabolites in plant innate immunity: Conserved function of divergent chemicals. New Phytol. 2015, 206, 948–964. [Google Scholar] [CrossRef] [PubMed]
- Flesch, F. Intoxications d’origine végétale. EMC-Médecine 2005, 2, 532–546. [Google Scholar] [CrossRef]
- Ríos, J.L.; Recio, M.C. Medicinal plants and antimicrobial activity. J. Ethnopharmacol. 2005, 100, 80–84. [Google Scholar] [CrossRef]
- Olivos Herreros, C.G. Plantas psicoactivas de eficacia simbólica: Indagaciones en la herbolaria Mapuche. Chungará (Arica) 2004, 36, 997–1014. [Google Scholar] [CrossRef]
- Cunningham, N. Hallucinogenic plants of abuse. Emerg. Med. Australas. 2008, 20, 167–174. [Google Scholar] [CrossRef]
- Blacksell, L.; Byard, R.W.; Musgrave, I.F. Forensic problems with the composition and content of herbal medicines. J. Forensic Leg. Med. 2014, 23, 19–21. [Google Scholar] [CrossRef]
- Byard, R.W. A review of the potential forensic significance of traditional herbal medicines. J. Forensic Sci. 2010, 55, 89–92. [Google Scholar] [CrossRef]
- Hall, J.A.; Moore, C.B.T. Drug facilitated sexual assault—A review. J. Forensic Leg. Med. 2008, 15, 291–297. [Google Scholar] [CrossRef]
- Fernández-Alonso, J.L.; Bonilla, A.G.; Idrobo, J.M. Las plantas como evidencia legal. Desarrollo de la botánica forense en Colombia. Rev. Acad. Colomb. Cienc. 2007, 119, 181–198. [Google Scholar] [CrossRef]
- Romero-Mieres, M.; Vivallo, G.; Donoso, G.; Esse, C.; Díaz, R.; Francois, A.; Solano, J.; Ortloff, A.; Albornoz, S.; Betancourt, O.; et al. Botánica forense en Chile: El caso de Aristotelia chilensis (Molina) Stuntz y su potencial utilidad como especie bioindicadora forense. Gayana. Botánica 2016, 73, 156–160. [Google Scholar] [CrossRef]
- Yahaya, T.O.; Salisu, T.F.; Obaroh, I.O.; Adelabu, M.A.; Danjuma, J.B.; Sheu, H.; Abdulgafar, I.B. Toxicological evaluation of phytochemicals and heavy metals in Ficus exasperata Vahl (Sandpaper) leaves obtained in Birnin Kebbi, Nigeria. Plant Biotechnol. Persa 2022, 4, 1–7. [Google Scholar]
- Gonçalves, J.; Luís, Â.; Gallardo, E.; Duarte, A.P. A systematic review on the therapeutic effects of ayahuasca. Plants 2023, 12, 2573. [Google Scholar] [CrossRef]
- Azzalini, E.; Bernini, M.; Vezzoli, S.; Antonietti, A.; Verzeletti, A. A fatal case of self-poisoning through the ingestion of oleander leaves. J. Forensic Leg. Med. 2019, 65, 133–136. [Google Scholar] [CrossRef]
- Kunchhal, H.; Kaur, I. Plant forensics: Solving crimes with botany. Resonance 2023, 28, 1569–1584. [Google Scholar] [CrossRef]
- Fuchs, J.; Rauber-Lüthy, C.; Kupferschmidt, H.; Kupper, J.; Kullak-Ublick, G.-A.; Ceschi, A. Acute plant poisoning: Analysis of clinical features and circumstances of exposure. Clin. Toxicol. 2011, 49, 671–680. [Google Scholar] [CrossRef]
- Fatur, K.; Kreft, S. Common anticholinergic solanaceaous plants of temperate Europe—A review of intoxications from the literature (1966–2018). Toxicon 2020, 177, 52–88. [Google Scholar] [CrossRef]
- Diaz, J.H. Poisoning by herbs and plants: Rapid toxidromic classification and diagnosis. Wilderness Environ. Med. 2016, 27, 136–152. [Google Scholar] [CrossRef]
- Wendt, S.; Lübbert, C.; Begemann, K.; Prasa, D.; Franke, H. Poisoning by plants. Dtsch. Arztebl. Int. 2022, 119, 317–324. [Google Scholar] [CrossRef]
- Botha, C.J.; Penrith, M.-L. Poisonous plants of veterinary and human importance in southern Africa. J. Ethnopharmacol. 2008, 119, 549–558. [Google Scholar] [CrossRef] [PubMed]
- Veit, F.; Gürler, M.; Nebel, A.; Birngruber, C.G.; Dettmeyer, R.B.; Martz, W. Intentional ingestion of aconite: Two cases of suicide. Forensic Sci. Int. Reports 2020, 2, 100158. [Google Scholar] [CrossRef]
- Qu, D.; Qiao, D.F.; Chen, X.C.; Feng, C.Q.; Luo, Q.Z.; Tan, X.H. Fatal poisoning by accidental ingestion of the “heartbreak grass” (Gelsemium elegans) verified by toxicological and medico-legal analyses. Forensic Sci. Int. 2021, 321, 110745. [Google Scholar] [CrossRef]
- Gomila Muñiz, I.; Puiguriguer Ferrando, J.; Quesada Redondo, L. Primera confirmación en España del uso de la burundanga en una sumisión química atendida en urgencias. Med. Clin. 2016, 147, 421. [Google Scholar] [CrossRef]
- Núñez Gaviño, P. Burundanga y otras sustancias de abuso. FMC—Form. Médica Contin. en Atención Primaria 2018, 25, 449–453. [Google Scholar] [CrossRef]
- Xifró, A.; Barbería, E.; Pujol, A. Sumisión química con finalidad sexual en el laboratorio forense: Datos de España. Rev. Española Med. Leg. 2014, 40, 1–3. [Google Scholar] [CrossRef]
- Moraga, M.F.; Ballesteros, B.N. Intoxicación por anís estrellado: A propósito de un caso en un recién nacido. Rev. Chil. pediatría 2003, 74, 411–414. [Google Scholar] [CrossRef]
- Instituto de Salud Pública de Chile. Listado de Plantas Tóxicas para Chile. Available online: https://www.ispch.gob.cl/anamed/regimen-de-control-sanitario/listado-de-plantas-toxicas-para-chile/ (accessed on 20 January 2025).
- Molares, S.; Ladio, A. Ethnobotanical review of the Mapuche medicinal flora: Use patterns on a regional scale. J. Ethnopharmacol. 2009, 122, 251–260. [Google Scholar] [CrossRef]
- Mora, Z. El Arte de Sanar de la Medicina Mapuche Antiguos Secretos y Rituales Sagrados; Primera, Ed.; Uqbar Editores: Santiago, Chile, 2012; ISBN 9789569171086. [Google Scholar]
- Carod Artal, F.J. Adverse neurological effects caused by the ingestion of plants, seeds, and fruits. Bioact. Nutraceuticals Diet. Suppl. Neurol. Brain Dis. 2015, 36, 215–219. [Google Scholar] [CrossRef]
- Benítez, G.; March-Salas, M.; Villa-Kamel, A.; Cháves-Jiménez, U.; Hernández, J.; Montes-Osuna, N.; Moreno-Chocano, J.; Cariñanos, P. The genus Datura L. (Solanaceae) in Mexico and Spain—Ethnobotanical perspective at the interface of medical and illicit uses. J. Ethnopharmacol. 2018, 219, 133–151. [Google Scholar] [CrossRef]
- Céspedes-Méndez, C.; Iturriaga-Vásquez, P.; Hormazábal, E. Secondary metabolites and biological profiles of Datura genus. J. Chil. Chem. Soc. 2021, 66, 5183–5189. [Google Scholar] [CrossRef]
- Lian, W.; Wang, Y.; Zhang, J.; Yan, Y.; Xia, C.; Gan, H.; Wang, X.; Yang, T.; Xu, J.; He, J.; et al. The genus Datura L. (Solanaceae): A systematic review of botany, traditional use, phytochemistry, pharmacology, and toxicology. Phytochemistry 2022, 204, 113446. [Google Scholar] [CrossRef]
- Sharma, M.; Dhaliwal, I.; Rana, K.; Delta, A.K.; Kaushik, P. Phytochemistry, pharmacology, and toxicology of Datura species—A review. Antioxidants 2021, 10, 1291. [Google Scholar] [CrossRef] [PubMed]
- Aldossary, S.A. Review on pharmacology of atropine, clinical use and toxicity. Biomed. Pharmacol. J. 2022, 15, 691–697. [Google Scholar] [CrossRef]
- Alexander, J.; Benford, D.; Cockburn, A. Tropane alkaloids (from Datura sp.) as undesirable substances in animal feed—Scientific opinion of the panel on contaminants in the food Chain. EFSA J. 2008, 6, 691. [Google Scholar] [CrossRef]
- Harper-Leatherman, A.S.; Miecznikowski, J.R. O true apothecary: How forensic science helps solve a classic crime. J. Chem. Educ. 2012, 89, 629–635. [Google Scholar] [CrossRef]
- Shim, K.H.; Kang, M.J.; Sharma, N.; An, S.S.A. Beauty of the beast: Anticholinergic tropane alkaloids in therapeutics. Nat. Products Bioprospect. 2022, 12, 33. [Google Scholar] [CrossRef]
- Ma, L.; Gu, R.; Tang, L.; Chen, Z.-E.; Di, R.; Long, C. Important poisonous plants in Tibetan ethnomedicine. Toxins 2015, 7, 138–155. [Google Scholar] [CrossRef]
- Jakabová, S.; Vincze, L.; Farkas, Á.; Kilár, F.; Boros, B.; Felinger, A. Determination of tropane alkaloids atropine and scopolamine by liquid chromatography–mass spectrometry in plant organs of Datura species. J. Chromatogr. A 2012, 1232, 295–301. [Google Scholar] [CrossRef]
- Fowler, C.J. Plant sources of antimuscarinics. BJU Int. 2015, 115, 4–7. [Google Scholar] [CrossRef]
- Gutiérrez Macías, A.; López Legarra, G.; Lizarralde Palacios, E.; Sanz Prieto, J.C.; Corredera Rodríguez, C.; Martínez Ortíz de Zárate, M. Intoxicación por Datura stramonium. Emergencias 1999, 11, 240–242. [Google Scholar]
- Soni, P.; Siddiqui, A.A.; Dwivedi, J.; Soni, V. Pharmacological properties of Datura stramonium L. as a potential medicinal tree: An overview. Asian Pac. J. Trop. Biomed. 2012, 2, 1002–1008. [Google Scholar] [CrossRef] [PubMed]
- Byard, R.W.; James, R.A.; Felgate, P. Detecting organic toxins in possible fatal poisonings—A diagnostic problem. J. Clin. Forensic Med. 2002, 9, 85–88. [Google Scholar] [CrossRef] [PubMed]
- Krenzelok, E.P.; Mrvos, R. Friends and foes in the plant world: A profile of plant ingestions and fatalities. Clin. Toxicol. 2011, 49, 142–149. [Google Scholar] [CrossRef]
- Adegoke, S.; Alo, L. Datura stramonium poisoning in children. Niger. J. Clin. Pract. 2013, 16, 116. [Google Scholar] [CrossRef]
- Shifa, D.M.; Leyew, A.Y.; Jufar, M.T. Datura stramonium seed ingestion leading to unintentional poisoning in a 3-year-old Ethiopian toddler: Case report. Int. J. Emerg. Med. 2024, 17, 165. [Google Scholar] [CrossRef]
- Rachid, A.; Bouhdadi, S.; Salimi, S.; Dehbi, F. Intoxication au Datura stramonium chez l’enfant Datura stramonium poisoning in children. Ann. Toxicol. Anal. 2013, 25, 191–193. [Google Scholar] [CrossRef]
- Dişel, N.R.; Yılmaz, M.; Kekec, Z.; Karanlık, M. Poisoned after dinner: Dolma with Datura stramonium. Turkish J. Emerg. Med. 2015, 15, 51–55. [Google Scholar] [CrossRef]
- Rakotomavo, F.; Andriamasy, C.; Rasamoelina, N.; Raveloson, N. Datura stramonium intoxication in two children. Pediatr. Int. 2014, 56, e14–e16. [Google Scholar] [CrossRef]
- Bofill, F.; Bofill, J.; Such, G.; Piqué, E.; Guitart, R. Dos casos de intoxicación por contaminación de maíz con Datura stramonium en ganado vacuno. Rev. Toxicol. 2007, 24, 56–58. [Google Scholar]
- Stafford, G.I.; Jäger, A.K.; Van Staden, J. African psychoactive plant. In African Natural Plant Products: New Discoveries and Challenges in Chemistry and Quality; Juliani, H.R., Simon, J.E., Ho, C.-T., Eds.; ACS Symposium Series; American Chemical Society: Washington, DC, USA, 2010; Volume 1021, pp. 323–346. ISBN 9780841269873. [Google Scholar]
- Uribe, G.M.; Moreno, C.L.; Zamora, S.A.; Acosta, P.J. Perfil epidemiológico de la intoxicación con burundanga en la clínica Uribe Cualla S. A. de Bogotá, D. C. Acta Neurol Colomb 2005, 21, 197–201. [Google Scholar]
- Ellis, J.S.; Zarate, C.A.; Luckenbaugh, D.A.; Furey, M.L. Antidepressant treatment history as a predictor of response to scopolamine: Clinical implications. J. Affect. Disord. 2014, 162, 39–42. [Google Scholar] [CrossRef] [PubMed]
- Aigner, T.G.; Mitchell, S.J.; Aggleton, J.P.; DeLong, M.R.; Struble, R.G.; Price, D.L.; Wenk, G.L.; Mishkin, M. Effects of scopolamine and physostigmine on recognition memory in monkeys with ibotenic-acid lesions of the nucleus basalis of Meynert. Psychopharmacology 1987, 92, 292–300. [Google Scholar] [CrossRef] [PubMed]
- Curran, V.H.; Schifano, F.; Lader, M. Models of memory dysfunction? A comparison of the effects of scopolamine and lorazepam on memory, psychomotor performance and mood. Psychopharmacology 1991, 103, 83–90. [Google Scholar] [CrossRef]
- Ebert; Kirch Scopolamine model of dementia: Electroencephalogram findings and cognitive performance. Eur. J. Clin. Investig. 1998, 28, 944–949. [CrossRef]
- Ennaceur, A.; Meliani, K. Effects of physostigmine and scopolamine on rats’ performances in object-recognition and radial-maze tests. Psychopharmacology 1992, 109, 321–330. [Google Scholar] [CrossRef]
- Silveira, M.M.; Malcolm, E.; Shoaib, M.; Winstanley, C.A. Scopolamine and amphetamine produce similar decision-making deficits on a rat gambling task via independent pathways. Behav. Brain Res. 2015, 281, 86–95. [Google Scholar] [CrossRef]
- Bajo, R.; Pusil, S.; López, M.E.; Canuet, L.; Pereda, E.; Osipova, D.; Maestú, F.; Pekkonen, E. Scopolamine effects on functional brain connectivity: A pharmacological model of Alzheimer’s disease. Sci. Rep. 2015, 5, 9748. [Google Scholar] [CrossRef]
- Ardila, A.; Moreno Benavides, C.B.; Ardila Gómez, S.E. Intoxicación por escopolamina (‘burundanga’): Pérdida de la habilidad para tomar decisiones. Rev. Neurol. 2006, 42, 125. [Google Scholar] [CrossRef]
- Belardo, C.; Boccella, S.; Perrone, M.; Fusco, A.; Morace, A.M.; Ricciardi, F.; Bonsale, R.; ELBini-Dhouib, I.; Guida, F.; Luongo, L.; et al. Scopolamine-induced memory impairment in mice: Effects of PEA-OXA on memory retrieval and hippocampal LTP. Int. J. Mol. Sci. 2023, 24, 14399. [Google Scholar] [CrossRef]
- Hasanein, P.; Mahtaj, A.K. Ameliorative effect of rosmarinic acid on scopolamine-induced memory impairment in rats. Neurosci. Lett. 2015, 585, 23–27. [Google Scholar] [CrossRef] [PubMed]
- Popović, M.; Giménez de Béjar, V.; Popović, N.; Caballero-Bleda, M. Time course of scopolamine effect on memory consolidation and forgetting in rats. Neurobiol. Learn. Mem. 2015, 118, 49–54. [Google Scholar] [CrossRef] [PubMed]
- Sun, X.-L.; Ito, H.; Masuoka, T.; Kamei, C.; Hatano, T. Effect of polygala tenuifolia root extract on scopolamine-induced impairment of rat spatial cognition in an eight-arm radial maze task. Biol. Pharm. Bull. 2007, 30, 1727–1731. [Google Scholar] [CrossRef] [PubMed]
- Heslop, D. Tropane alkaloids and the potential for accidental or non-accidental mass outbreaks of anti-cholinergic toxidrome. Glob. Biosecurity 2023, 5, 1–7. [Google Scholar] [CrossRef]
- Fernández Alonso, C.; Descalzo Casado, E.; Quintela Jorge, O.; Megía Morales, C.; Bravo Serrano, B.; Santiago-Sáez, A. Drug facilitated crimes by “burundanga” or scopolamine. Spanish J. Leg. Med. 2022, 48, 74–77. [Google Scholar] [CrossRef]
- Sáiz, J.; Mai, T.D.; López, M.L.; Bartolomé, C.; Hauser, P.C.; García-Ruiz, C. Rapid determination of scopolamine in evidence of recreational and predatory use. Sci. Justice 2013, 53, 409–414. [Google Scholar] [CrossRef]
- Kintz, P.; Villain, M.; Evans, J.; Pujol, M.-L.; Salquebre, G.; Cirimele, V. A case of abuse in which children were forced to take tablets containing scopolamine: Segmental analysis of hair for scopolamine by ultra performance liquid chromatography-tandem mass spectrometry. Forensic Toxicol. 2007, 25, 49–52. [Google Scholar] [CrossRef]
- Chiarini, F.E.; Moreno, N.C.; Barboza, G.E.; Bernardello, G. Karyotype characterization of Andean Solanoideae (Solanaceae). Caryologia 2010, 63, 278–291. [Google Scholar] [CrossRef]
- Muñoz, O.; Casale, J.F. Tropane alkaloids from Latua pubiflora. Zeitschrift für Naturforsch. C 2003, 58, 626–628. [Google Scholar] [CrossRef]
- Plowman, T.; Gyllenhaal, L.O.; Lindgren, J.E. Latua pubiflora: Magic plant from southern Chile. Bot. Mus. Lealf. Harv. Univ. 1971, 23, 61–92. [Google Scholar] [CrossRef]
- Sánchez-Montoya, E.L.; Reyes, M.A.; Pardo, J.; Nuñez-Alarcón, J.; Ortiz, J.G.; Jorge, J.C.; Bórquez, J.; Mocan, A.; Simirgiotis, M.J. High resolution UHPLC-MS metabolomics and sedative-anxiolytic effects of Latua pubiflora: A mystic plant used by Mapuche amerindians. Front. Pharmacol. 2017, 8, 494. [Google Scholar] [CrossRef] [PubMed]
- André, J.P. Opera and poison: A secret and enjoyable approach to teaching and learning chemistry. J. Chem. Educ. 2013, 90, 352–357. [Google Scholar] [CrossRef][Green Version]
- Marmion, V.J.; Wiedemann, T.E.J. The death of Claudius. J. R. Soc. Med. 2002, 95, 260–261. [Google Scholar] [CrossRef] [PubMed]
- Marín-Sáez, J.; Lopez-Ruiz, R.; Faria, M.A.; Ferreira, I.M.P.L.V.O.; Garrido Frenich, A. A comprehensive study on the digestion, absorption, and metabolization of tropane alkaloids in human cell models. J. Hazard. Mater. 2024, 480, 136192. [Google Scholar] [CrossRef] [PubMed]
- Arráez-Román, D.; Zurek, G.; Bäßmann, C.; Segura-Carretero, A.; Fernández-Gutiérrez, A. Characterization of Atropa belladonna L. compounds by capillary electrophoresis-electrospray ionization-time of flight-mass spectrometry and capillary electrophoresis-electrospray ionization-ion trap-mass spectrometry. Electrophoresis 2008, 29, 2112–2116. [Google Scholar] [CrossRef]
- Griffin, W.J.; Lin, G.D. Chemotaxonomy and geographical distribution of tropane alkaloids. Phytochemistry 2000, 53, 623–637. [Google Scholar] [CrossRef]
- Jiang, X.; Chi, J.; Xu, E.; Wang, Z.; Dai, L. Chemical constituents from Atropa belladonna roots. Chem. Nat. Compd. 2023, 59, 556–558. [Google Scholar] [CrossRef]
- Beyer, J.; Drummer, O.H.; Maurer, H.H. Analysis of toxic alkaloids in body samples. Forensic Sci. Int. 2009, 185, 1–9. [Google Scholar] [CrossRef]
- Bektaş, M.; Aktar, F.; Güneş, A.; Uluca, Ü.; Gülşen, S.; Karaman, K. Atropa belladonna (Deadly Nightshade) poisoning in chilhood. West Indian Med. J. 2016, 69, 230–234. [Google Scholar] [CrossRef]
- Laffargue, F.; Oudot, C.; Constanty, A.; Bedu, A.; Ketterer-Martinon, S. Un cas d’intoxication aiguë par la belladone (Atropa belladona) chez une enfant de 2ans. Arch. Pédiatrie 2011, 18, 186–188. [Google Scholar] [CrossRef]
- Glatstein, M.; Alabdulrazzaq, F.; Scolnik, D. Belladonna alkaloid intoxication. Am. J. Ther. 2016, 23, e74–e77. [Google Scholar] [CrossRef] [PubMed]
- Schmoll, S.; Romanek, K.; Zorn, G.; Eiglmeier, H.; Eyer, F. Anticholinergic syndrome after atropine overdose in a supposedly homeopathic solution: A case report. Clin. Toxicol. 2022, 60, 252–254. [Google Scholar] [CrossRef] [PubMed]
- Algradi, A.M.; Liu, Y.; Yang, B.-Y.; Kuang, H.-X. Review on the genus Brugmansia: Traditional usage, phytochemistry, pharmacology, and toxicity. J. Ethnopharmacol. 2021, 279, 113910. [Google Scholar] [CrossRef] [PubMed]
- Pundir, S.; Shukla, M.K.; Singh, A.; Chauhan, R.; Lal, U.R.; Ali, A.; Kumar, D. A comprehensive review on angel’s trumpet (Brugmansia suaveolens). S. Afr. J. Bot. 2022, 151, 266–274. [Google Scholar] [CrossRef]
- Petricevich, V.L.; Salinas-Sánchez, D.O.; Avilés-Montes, D.; Sotelo-Leyva, C.; Abarca-Vargas, R. Chemical compounds, pharmacological and toxicological activity of Brugmansia suaveolens: A review. Plants 2020, 9, 1161. [Google Scholar] [CrossRef]
- Doan, U.V.; Wu, M.-L.; Phua, D.-H.; Mendez Rojas, B.; Yang, C.-C. Datura and Brugmansia plants related antimuscarinic toxicity: An analysis of poisoning cases reported to the Taiwan poison control center. Clin. Toxicol. 2019, 57, 246–253. [Google Scholar] [CrossRef]
- Kerchner, A.; Farkas, Á. Worldwide poisoning potential of Brugmansia and Datura. Forensic Toxicol. 2020, 38, 30–41. [Google Scholar] [CrossRef]
- Havelius, U.; Åsman, P. Accidental mydriasis from exposure to Angel’s trumpet (Datura suaveolens). Acta Ophthalmol. Scand. 2002, 80, 332–335. [Google Scholar] [CrossRef]
- Andreola, B.; Piovan, A.; Da Dalt, L.; Filippini, R.; Cappelletti, E. Unilateral mydriasis due to Angel’s Trumpet. Clin. Toxicol. 2008, 46, 329–331. [Google Scholar] [CrossRef]
- Isbister, G.K.; Oakley, P.; Dawson, A.H.; Whyte, I.M. Presumed Angel’s trumpet (Brugmansia) poisoning: Clinical effects and epidemiology. Emerg. Med. 2003, 15, 376–382. [Google Scholar] [CrossRef]
- Göpel, C.; Laufer, C.; Marcus, A. Three cases of angel’s trumpet tea-induced psychosis in adolescent substance abusers. Nord. J. Psychiatry 2002, 56, 49–52. [Google Scholar] [CrossRef] [PubMed]
- Jayawickreme, K.P.; Janaka, K.V.C.; Subasinghe, S.A.S.P. Unknowing ingestion of Brugmansia suaveolens leaves presenting with signs of anticholinergic toxicity: A case report. J. Med. Case Rep. 2019, 13, 322. [Google Scholar] [CrossRef] [PubMed]
- Kim, Y.; Kim, J.; Kim, O.J.; Kim, W.C. Intoxication by angel’s trumpet: Case report and literature review. BMC Res. Notes 2014, 7, 553. [Google Scholar] [CrossRef] [PubMed]
- Goldfarb, J.; Pesin, N.; Margolin, E. Gardening and dilated pupils: An interesting case of anisocoria from Brugmansia versicolor. Can. J. Ophthalmol. 2019, 54, e59–e61. [Google Scholar] [CrossRef]
- Garcia, K.L.; Breazzano, M.P.; Bond, J.B.; Williams, S.R.; Smith, A.T. A 3-year-old with sudden-onset anisocoria after playing outside. Pediatr. Emerg. Care 2018, 34, e111–e114. [Google Scholar] [CrossRef]
- Vetter, J. Poison hemlock (Conium maculatum L.). Food Chem. Toxicol. 2004, 42, 1373–1382. [Google Scholar] [CrossRef]
- Barrera-Adame, D.A.; Schuster, S.; Niedermeyer, T.H.J. Mass spectrometry imaging of coniine and other hemlock alkaloids after on-tissue derivatization reveals distinct alkaloid distributions in the plant. J. Nat. Prod. 2024, 87, 2376–2383. [Google Scholar] [CrossRef]
- Lee, S.T.; Green, B.T.; Welch, K.D.; Pfister, J.A.; Panter, K.E. Stereoselective potencies and relative toxicities of coniine enantiomers. Chem. Res. Toxicol. 2008, 21, 2061–2064. [Google Scholar] [CrossRef]
- Reynolds, T. Hemlock alkaloids from Socrates to poison aloes. Phytochemistry 2005, 66, 1399–1406. [Google Scholar] [CrossRef]
- Chizzola, R.; Lohwasser, U. Diversity of secondary metabolites in roots from Conium maculatum L. Plants 2020, 9, 939. [Google Scholar] [CrossRef]
- Panter, K.E.; Gardner, D.R.; Stegelmeier, B.L.; Welch, K.D.; Holstege, D. Water hemlock poisoning in cattle: Ingestion of immature Cicuta maculata seed as the probable cause. Toxicon 2011, 57, 157–161. [Google Scholar] [CrossRef] [PubMed]
- Lee, S.T.; Green, B.T.; Welch, K.D.; Jordan, G.T.; Zhang, Q.; Panter, K.E.; Hughes, D.; Chang, C.-W.T.; Pfister, J.A.; Gardner, D.R. Stereoselective potencies and relative toxicities of γ-coniceine and N-methylconiine enantiomers. Chem. Res. Toxicol. 2013, 26, 616–621. [Google Scholar] [CrossRef] [PubMed]
- Dayan, A.D. Death of Socrates: A likely case of poison hemlock (Conium maculatum) poisoning. Clin. Toxicol. 2024, 62, 56–60. [Google Scholar] [CrossRef] [PubMed]
- Rizzi, D.; Basile, C.; Di Maggio, A.; Sebastio, A.; Introna, F.; Rizzi, R.; Bruno, S.; Scatizzi, A.; De Marco, S. Rhabdomyolysis and acute tubular necrosis in coniine (hemlock) poisoning. Lancet 1989, 2, 1461–1462. [Google Scholar] [CrossRef]
- Frank, B.S.; Michelson, W.B.; Panter, K.E.; Gardner, D.R. Ingestion of poison hemlock (Conium maculatum). West. J. Med. 1995, 163, 573–574. [Google Scholar]
- Konca, C.; Kahramaner, Z.; Bosnak, M.; Kocamaz, H. Hemlock (Conium maculatum) poisoning in a child. Turkish J. Emerg. Med. 2014, 14, 34–36. [Google Scholar] [CrossRef]
- Boskabadi, J.; Askari, Z.; Zakariaei, Z.; Fakhar, M.; Tabaripour, R. Mild-to-severe poisoning due to Conium maculatum as toxic herb: A case series. Clin. Case Reports 2021, 9, e04509. [Google Scholar] [CrossRef]
- Labay, L.M.; Chan-Hosokawa, A.; Homan, J.W.; McMullin, M.M.; Diamond, F.X.; Annand, M.M.; Marco, S.M.; Hollenbach, J.M. Poison hemlock determination in postmortem samples. Forensic Sci. Int. 2022, 341, 111500. [Google Scholar] [CrossRef]
- Polunin, A.V.; Simonova, A.Y.; Potskhveriya, M.M.; Ilyashenko, K.K.; Stolbova, N.E.; Belova, M.V.; Tkeshelashvili, T.T. Hemlock (Conium maculatum) poisoning. Russ. Sklifosovsky J. Emerge. Med. Care 2024, 13, 140–144. [Google Scholar] [CrossRef]
- Green, B.T.; Lee, S.T.; Panter, K.E.; Brown, D.R. Piperidine alkaloids: Human and food animal teratogens. Food Chem. Toxicol. 2012, 50, 2049–2055. [Google Scholar] [CrossRef]
- Green, B.T.; Lee, S.T.; Welch, K.D.; Pfister, J.A.; Panter, K.E. Piperidine, pyridine alkaloid inhibition of fetal movement in a day 40 pregnant goat model. Food Chem. Toxicol. 2013, 58, 8–13. [Google Scholar] [CrossRef] [PubMed]
- Scatizzi, A.; Di Maggio, A.; Rizzi, D.; Sebastio, A.M.; Basile, C. Acute renal failure due to tubular necrosis caused by wildfowl-mediated hemlock poisoning. Ren. Fail. 1993, 15, 93–96. [Google Scholar] [CrossRef] [PubMed]
- Al Nebaihi, H.M.; Le, T.S.; Davies, N.M.; Brocks, D.R. Liquid chromatography tandem mass spectrometric analytical method for study of colchicine in rats given low doses. Processes 2021, 9, 2007. [Google Scholar] [CrossRef]
- Chanchula, N.; Fongsuk, C.; Na-Nakorn, P.; Pansuksan, K. Colchicine determination in Gloriosa spp. by HPLC. Sci. Technol. Asia 2021, 26, 120–127. [Google Scholar] [CrossRef]
- Kuo, M.-C.; Chang, S.-J.; Hsieh, M.-C. Colchicine significantly reduces incident cancer in gout male patients. Medicine 2015, 94, e1570. [Google Scholar] [CrossRef]
- Molad, Y. Update on colchicine and its mechanism of action. Curr. Rheumatol. Rep. 2002, 4, 252–256. [Google Scholar] [CrossRef]
- Madrid-García, A.; Pérez, I.; Colomer, J.I.; León-Mateos, L.; Jover, J.A.; Fernández-Gutiérrez, B.; Abásolo-Alcazar, L.; Rodríguez-Rodríguez, L. Influence of colchicine prescription in COVID-19-related hospital admissions: A survival analysis. Ther. Adv. Musculoskelet. Dis. 2021, 13, 1759720X2110026. [Google Scholar] [CrossRef]
- Cocco, G.; Chu, D.C.C.; Pandolfi, S. Colchicine in clinical medicine. A guide for internists. Eur. J. Intern. Med. 2010, 21, 503–508. [Google Scholar] [CrossRef]
- Baud, F.J.; Sabouraud, A.; Vicaut, E.; Taboulet, P.; Lang, J.; Bismuth, C.; Rouzioux, J.M.; Scherrmann, J.-M. Treatment of severe colchicine overdose with colchicine-specific fab fragments. N. Engl. J. Med. 1995, 332, 642–645. [Google Scholar] [CrossRef]
- Amrollahi-Sharifabadi, M.; Seghatoleslami, A.; Amrollahi-Sharifabadi, M.; Bayani, F.; Mirjalili, M. Fatal colchicine poisoning by accidental ingestion of colchicum persicum. Am. J. Forensic Med. Pathol. 2013, 34, 295–298. [Google Scholar] [CrossRef]
- Rousseau, G.; Clément, J.; Fezard, J.B.; Laribi, S. Colchicum poisoning by confusion with wild garlic (Allium ursinum). Rev. Med. Interne 2022, 43, 559–561. [Google Scholar] [CrossRef] [PubMed]
- Okuda, K.; Isozaki, S.; Asari, M.; Tanaka, H.; Horioka, K.; Takahashi, Y.; Hoshina, C.; Yamada, H.; Mori, K.; Namba, R.; et al. Multidirectional analysis for a colchicine poisoning case revealed detail cause of death and its mechanism. Leg. Med. 2022, 58, 102092. [Google Scholar] [CrossRef] [PubMed]
- Deveaux, M.; Hubert, N.; Demarly, C. Colchicine poisoning: Case report of two suicides. Forensic Sci. Int. 2004, 143, 219–222. [Google Scholar] [CrossRef] [PubMed]
- Nagesh, K.R.; Menezes, R.G.; Rastogi, P.; Naik, N.R.; Rasquinha, J.M.; Senthilkumaran, S.; Fazil, A. Suicidal plant poisoning with Colchicum autumnale. J. Forensic Leg. Med. 2011, 18, 285–287. [Google Scholar] [CrossRef]
- Thomas, P.A.; Polwart, A. Taxus baccata L. J. Ecol. 2003, 91, 489–524. [Google Scholar] [CrossRef]
- Wilson, C.R.; Sauer, J.-M.; Hooser, S.B. Taxines: A review of the mechanism and toxicity of yew (Taxus spp.) alkaloids. Toxicon 2001, 39, 175–185. [Google Scholar] [CrossRef]
- Mubhoff, F.; Jacob, B.; Fowinkel, C.; Daldrup, T. Suicidal yew leave ingestion-phloroglucindimethylether (3,5-dimethoxyphenol) as a marker for poisoning from Taxus baccata. Int. J. Legal Med. 1993, 106, 45–50. [Google Scholar] [CrossRef]
- Gao, X.; Zhang, N.; Xie, W. Research on the medicinal chemistry and pharmacology of Taxus × media. Int. J. Mol. Sci. 2024, 25, 5756. [Google Scholar] [CrossRef]
- Handeland, K. Acute yew (Taxus) poisoning in moose (Alces alces). Toxicon 2008, 52, 829–832. [Google Scholar] [CrossRef]
- Holstege, D.M.; Galey, F.D.; Johnson, B.; Seiber, J.N. Determination of alkaloid exposure in a model ruminant (goat) using a multiresidue screening method. J. Agric. Food. Chem. 1996, 8561, 2310–2315. [Google Scholar] [CrossRef]
- Natasha, G.; Chan, M.; Gue, Y.X.; Gorog, D.A. Fatal heart block from intentional yew tree (Taxus baccata) ingestion: A case report. Eur. Hear. J.-Case Reports 2020, 4, 1–4. [Google Scholar] [CrossRef]
- Reijnen, G.; Bethlehem, C.; van Remmen, J.M.B.L.; Smit, H.J.M.; van Luin, M.; Reijnders, U.J.L. Post-mortem findings in 22 fatal Taxus baccata intoxications and a possible solution to its detection. J. Forensic Leg. Med. 2017, 52, 56–61. [Google Scholar] [CrossRef] [PubMed]
- Buetler, V.A.; Braunshausen, A.M.; Weiler, S.; Klukowska-Rötzler, J.; Exadaktylos, A.K.; Liakoni, E. Characteristics of emergency department presentations following ingestion of Taxus baccata (yew). Clin. Toxicol. 2023, 61, 104–109. [Google Scholar] [CrossRef] [PubMed]
- Arens, A.M.; Anaebere, T.C.; Horng, H.; Olson, K. Fatal Taxus baccata ingestion with perimortem serum taxine B quantification. Clin. Toxicol. 2016, 54, 878–880. [Google Scholar] [CrossRef]
- Kobusiak-Prokopowicz, M.; Marciniak, A.; Ślusarczyk, S.; Ściborski, K.; Stachurska, A.; Mysiak, A.; Matkowski, A. A suicide attempt by intoxication with Taxus baccata leaves and ultra-fast liquid chromatography-electrospray ionization-tandem mass spectrometry, analysis of patient serum and different plant samples: Case report. BMC Pharmacol. Toxicol. 2016, 17, 41. [Google Scholar] [CrossRef]
- Pinto, A.; Lemos, T.; Silveira, I.; Aragão, I. Taxus baccata intoxication: The sun after the electrical storm. Crit. Care Sci. 2021, 33, 172–175. [Google Scholar] [CrossRef]
- Zitti, S.; Casaveccchia, S.; Pesaresi, S. Analysis of forest diversity in an area of high presence of Taxus baccata L. and Ilex aquifolium L. The study case in the central Apennines (Italy). Plant Sociol. 2014, 51, 117–129. [Google Scholar] [CrossRef]
- Gaunitz, F.; Schürenkamp, J.; Rostamzadeh, A.; Konkol, C.; Thevis, M.; Rothschild, M.A.; Mercer-Chalmers-Bender, K. Analysis of taxine B/isotaxine B in a plasma specimen by LC–MS/MS in a case of fatal poisoning: Concealed suicide by ingestion of yew (Taxus L.) leaves of a patient with a long-term history of borderline personality disorder. Forensic Toxicol. 2017, 35, 421–427. [Google Scholar] [CrossRef]
- Vardon Bounes, F.; Tardif, E.; Ruiz, S.; Gallart, J.-C.; Conil, J.-M.; Delmas, C. Suicide attempt with self-made Taxus baccata leaf capsules: Survival following the application of extracorporeal membrane oxygenation for ventricular arrythmia and refractory cardiogenic shock. Clin. Toxicol. 2017, 55, 925–928. [Google Scholar] [CrossRef]
- Brooks-Lim, E.W.L.; Mérette, S.A.; Hawkins, B.J.; Maxwell, C.; Washbrook, A.; Shapiro, A.M. Fatal ingestion of Taxus baccata: English yew. J. Forensic Sci. 2022, 67, 820–826. [Google Scholar] [CrossRef]
- Pilija, V.; Djurendic-Brenesel, M.; Miletic, S. Fatal poisoning by ingestion of Taxus baccata leaves. Forensic Sci. Int. 2018, 290, e1–e4. [Google Scholar] [CrossRef] [PubMed]
- Roll, P.; Beham-Schmid, C.; Beham, A.; Kollroser, M.; Reichenpfader, B. Suicidal yew ingestion. Forensic Sci. Int. Suppl. Ser. 2009, 1, 20–21. [Google Scholar] [CrossRef]
- Meos, A.; Saks, L.; Raal, A. Content of alkaloids in ornamental Papaver somniferum L. cultivars growing in Estonia. Proc. Est. Acad. Sci. 2017, 66, 34. [Google Scholar] [CrossRef]
- Chaturvedi, N.; Singh, S.K.; Shukla, A.K.; Lal, R.K.; Gupta, M.M.; Dwivedi, U.N.; Shasany, A.K. Latex-less opium poppy: Cause for less latex and reduced peduncle strength. Physiol. Plant. 2014, 150, 436–445. [Google Scholar] [CrossRef]
- Beaudoin, G.A.W.; Facchini, P.J. Benzylisoquinoline alkaloid biosynthesis in opium poppy. Planta 2014, 240, 19–32. [Google Scholar] [CrossRef]
- Hagel, J.M.; Facchini, P.J. Benzylisoquinoline alkaloid metabolism: A century of discovery and abrave new world. Plant Cell Physiol. 2013, 54, 647–672. [Google Scholar] [CrossRef]
- Onoyovwe, A.; Hagel, J.M.; Chen, X.; Khan, M.F.; Schriemer, D.C.; Facchini, P.J. Morphine biosynthesis in opium poppy involves two cell types: Sieve elements and laticifers. Plant Cell 2013, 25, 4110–4122. [Google Scholar] [CrossRef]
- Raffa, R.B.; Beckett, J.R.; Brahmbhatt, V.N.; Ebinger, T.M.; Fabian, C.A.; Nixon, J.R.; Orlando, S.T.; Rana, C.A.; Tejani, A.H.; Tomazic, R.J. Orally active opioid compounds from a non-poppy source. J. Med. Chem. 2013, 56, 4840–4848. [Google Scholar] [CrossRef]
- Poklis, A.; Edinboro, L.E.; Wohler, A.S.; Presswalla, F.; Barron, D. Fatal morphine poisoning in a child due to accidental oral ingestion. Forensic Sci. Int. 1995, 76, 55–59. [Google Scholar] [CrossRef]
- Bailey, K.; Richards-Waugh, L.; Clay, D.; Gebhardt, M.; Mahmoud, H.; Kraner, J.C. Fatality involving the ingestion of phenazepam and poppy seed tea. J. Anal. Toxicol. 2010, 34, 527–532. [Google Scholar] [CrossRef]
- Monteil-Ganiere, C.; Gaulier, J.-M.; Chopineaux, D.; Barrios, L.; Pineau, A.; Dailly, É.; Clément, R. Fatal anoxia due to rachacha consumption: Two cases reported. Forensic Sci. Int. 2014, 245, e1–e5. [Google Scholar] [CrossRef] [PubMed]
- García Caballero, C.; Guillot Estornell, J.; López Ruano, P.; Martínez González, M.A. Intoxicación letal por opio por el consumo de ejemplares silvestres de Papaver somniferum. Rev. Española Med. Leg. 2022, 48, 84–87. [Google Scholar] [CrossRef]
- Martínez, M.A.; Ballesteros, S.; Almarza, E.; Garijo, J. Death in a legal poppy field in Spain. Forensic Sci. Int. 2016, 265, 34–40. [Google Scholar] [CrossRef] [PubMed]
- Hoummani, H.; Benlamkaddem, S.; Achour, S. Poppy intoxication in children: The interest of early administration of naloxone. Toxicol. Anal. Clin. 2025, 37, 111–114. [Google Scholar] [CrossRef]
- Decuyper, I.I.; Armentia, A.; Martín-Armentia, B.; Almuzara, A.C.; Ebo, D.G.; Brucker, H.A. Adverse reactions to illicit drugs (marijuana, opioids, cocaine) and alcohol. J. Allergy Clin. Immunol. Pract. 2021, 9, 3006–3014. [Google Scholar] [CrossRef]
- Boumba, V.A.; Georgiadis, M.; Mirescu, N.; Vougiouklakis, T. Fatal intoxications in a forensic autopsy material from Epirus, Greece, during the period 1998–2010. J. Forensic Sci. 2013, 58, 425–431. [Google Scholar] [CrossRef]
- Clark, L. A Question of Poisoning. Aust. J. Forensic Sci. 1997, 29, 59–67. [Google Scholar] [CrossRef]
- Baader, T.; Behne, P.; Molina, J.L.; Gacitúa, L.; Yáñez, L.; Urra, E.; Millán, R. ¿Está cambiando la prevalencia de los suicidios y sus características en la población chilena? Análisis de las tasas de suicidios y sus características sociodemográficas, ocurridas en la provincia de Valdivia, actual. Rev. Chil. Neuro-Psiquit. 2011, 49, 273–282. [Google Scholar]
- Giaginis, C.; Tsantili-Kakoulidou, A.; Theocharis, S. Quantitative structure–activity relationship (QSAR) methodology in forensic toxicology: Modeling postmortem redistribution of structurally diverse drugs using multivariate statistics. Forensic Sci. Int. 2009, 190, 9–15. [Google Scholar] [CrossRef]
- Ndhlala, A.R.; Ncube, B.; Okem, A.; Mulaudzi, R.B.; Van Staden, J. Toxicology of some important medicinal plants in southern Africa. Food Chem. Toxicol. 2013, 62, 609–621. [Google Scholar] [CrossRef]
- Toporowska-ka, J.; Ni, Ł.; Adamczyk, A.; Jurowski, K.; Stach, S.; Florek, J.; Sowi, M. Toxicovigilance 2.0—Modern approaches for the hazard identification and risk assessment of toxicants in human beings: A review. Toxicology 2024, 503, 153755. [Google Scholar] [CrossRef]
- OPS y SIBSA Lanzan Seis Cursos Sobre Salud y Seguridad Ambiental en el 25° Aniversario de la Red de Toxicología de Latinoamérica y el Caribe. Available online: https://www.paho.org/es/noticias/6-9-2024-ops-sibsa-lanzan-seis-cursos-sobre-salud-seguridad-ambiental-25o-aniversario-red?utm_source=chatgpt.com (accessed on 23 May 2025).
- Portal Latinoamericano de Toxicología. Apuntes y Monografías—Sertox Revista Toxicológica en Línea. Available online: https://sertox.ar/tema/pages/apuntes-y-monografias-sertox/ (accessed on 25 May 2025).
- Sistema Nacional de Informações Tóxico-Farmacológicas (Sinitox). Available online: https://sinitox.icict.fiocruz.br/ (accessed on 25 May 2025).
- Manvailer, V.; Leandro, T.D.; Scremin-Dias, E. Botanical Knowledge in the law enforcement: A preliminary approach towards its potential use in Brazilian criminal caseworks. Braz. Arch. Biol. Technol 2018, 61, 1–11. [Google Scholar] [CrossRef]
- Centro de Información y Asesoramiento Toxicológico (CIAT). Available online: https://www.toxicologia.hc.edu.uy/index.php?option=com_content&view=article&id=72:ciat&catid=42&Itemid=75 (accessed on 23 May 2025).
- RAP-Al. Red de Acción en Plaguicidas y sus Alternativas para América Latina. Available online: https://rap-al.org/alta-subnotificacion-de-intoxicacion-por-plaguicidas-en-cono-sur-especialistas-analizan-la-situacion/?utm_source=chatgpt.com (accessed on 24 May 2025).
- OPS Apoya a Ministerio de Salud Pública a Prevenir Oportunamente Intoxicaciones. Available online: https://www.paho.org/es/noticias/31-3-2024-ops-apoya-ministerio-salud-publica-prevenir-oportunamente-intoxicaciones?utm_source=chatgpt.com (accessed on 23 May 2025).
- Kasprzyk, I. Forensic botany: Who?, how?, where?, when? Sci. Justice 2023, 63, 258–275. [Google Scholar] [CrossRef] [PubMed]
- Paranaiba, R.T.; Carvalho, C.B.; Freitas, J.M.; Fassio, L.H.; Botelho, É.D.; Neves, D.B.; Ronaldo C, S., Jr.; Aguiar, S.M. Forensic botany and forensic chemistry working together: Application of plant DNA barcoding as a complement to forensic chemistry—A case study in Brazil. Genome 2019, 62, 11–18. [Google Scholar] [CrossRef]
- Spencer, M.A. Forensic botany: Time to embrace natural history collections, large scale environmental data and environmental DNA. Emerg. Top. Life Sci. 2021, 5, 475–485. [Google Scholar] [CrossRef]




| Category | Search Terms (Examples) |
|---|---|
| Scientific Names | Datura stramonium, Latua pubiflora, Atropa belladonna, etc. |
| Common Names | Chamico, Latué, Belladona, etc. |
| Toxicology Terms | Toxicity, Poisoning, Toxic plants, Poisonous plants of Chile, Chemical submission |
| Forensic Relevance | Forensic cases, Suicide, Voluntary ingestion, Involuntary ingestion, Criminal poisoning |
| Term | Definition | Example from this Review | Clarification |
|---|---|---|---|
| Toxic | A substance that may cause physiological or biochemical harm, depending on the dose and exposure. | Any plant containing bioactive alkaloids. | Not all toxic substances are lethal; toxicity depends on dose and context. |
| Poisonous | A substance that causes severe or fatal effects even at low doses when ingested or absorbed. | Conium maculatum, Taxus baccata, Colchicum autumnale. | A more specific term, usually associated with acute or lethal effects. |
| Hallucinogenic | A substance that alters perception, consciousness, or cognition via central nervous system action. | Datura stramonium, Brugmansia spp., Atropa belladonna. | Not all hallucinogens are poisonous; risks increase with improper use or overdose. |
| Sedative | A substance that depresses the central nervous system, causing calmness or sleep. | Papaver somniferum (morphine, codeine). | Therapeutic as analgesic and antitussive; becomes toxic at high doses due to respiratory depression, especially when combined with other central nervous system (CNS) depressants. |
| Species | Family | Common Name | Origin | Most Toxic Part of the Plant |
|---|---|---|---|---|
| Datura stramonium | Solanaceae | Chamico, Miyaya | Native | Seeds and leaves |
| Latua pubiflora | Solanaceae | Latué, palo de brujas [witches’ tree] | Native, endemic | Entire plant, especially leaves and root |
| Atropa belladonna | Solanaceae | Belladonna | Introduced | Fruits (berries), roots, and leaves |
| Brugmansia vulcanicola | Solanaceae | Floripondio (handkerchief tree) | Native | Leaves and flowers |
| Conium maculatum | Apiaceae | Cicuta (hemlock) | Introduced | Entire plant (especially fruits) |
| Colchicinum autumnale | Liliaceae | Colchicina | Introduced | Seeds and bulbs (corms) |
| Taxus baccata | Taxaceae | Tejo (yew) | Introduced | Seeds (inside the red aril) and leave |
| Papaver somniferum | Papaveraceae | Amapola, adormidera (opium poppy) | Introduced | Latex (raw opium), capsules |
| Species | Main Toxic Substances | Pharmacological Property | Pharmacological Activity | Main Symptoms | Severity |
|---|---|---|---|---|---|
| Datura stramonium | Atropine, scopolamine | Poisonous and hallucinogenic | Anticholinergic, deliriant, CNS depressant | Hallucinations, mydriasis, tachycardia, dry mouth, delirium, seizures | High—Potentially lethal |
| Latua pubiflora | Atropine, scopolamine | Poisonous, hallucinogenic | Anticholinergic, deliriant | Confusion, hallucinations, paralysis, amnesia, coma | High |
| Atropa belladonna | Atropine, scopolamine, belladonnine | Hallucinogenic, poisonous | Anticholinergic, sedative, mydriatic | Dry mouth, blurred vision, delirium, fever, arrhythmias, coma | High |
| Brugmansia vulcanicola | Atropine, scopolamine | Poisonous, hallucinogenic | Anticholinergic, deliriant | Disorientation, hallucinations, hyperthermia, tachycardia, coma | High |
| Conium maculatum | Coniine, γ-coniceine | Poisonous | Nicotinic receptor agonist, neuromuscular blocker | Ascending paralysis, blurred vision, respiratory difficulty, respiratory arrest | Very high—lethal |
| Colchicinum autumnale | Colchicine | Poisonous | Antimitotic, cytotoxic | Nausea, vomiting, severe diarrhea, multiorgan failure, medullary depression | Very high—lethal |
| Taxus baccata | Taxine, 3,5-DMP (3,5-dimethoxy phenol) | Poisonous | Cardiotoxic, CNS depressant | Nausea, hypotension, bradycardia, arrhythmias, cardiac arrest | Very high—lethal |
| Papaver somniferum | Morphine, codeine, thebaine | Sedative | Opioid analgesic, CNS depressant | Somnolencia, depresión respiratoria, coma, miosis, paro respiratorio | High—lethal at high doses |
Disclaimer/Publisher’s Note: The statements, opinions and data contained in all publications are solely those of the individual author(s) and contributor(s) and not of MDPI and/or the editor(s). MDPI and/or the editor(s) disclaim responsibility for any injury to people or property resulting from any ideas, methods, instructions or products referred to in the content. |
© 2025 by the authors. Licensee MDPI, Basel, Switzerland. This article is an open access article distributed under the terms and conditions of the Creative Commons Attribution (CC BY) license (https://creativecommons.org/licenses/by/4.0/).
Share and Cite
Díaz, R.; Yáñez-Sánchez, M.; de la Fuente, F.; Ortega, A.; Figueroa-Carvajal, A.; Gangitano, D.; Scholz-Wagenknecht, O. Toxic and Hallucinogenic Plants of Southern Chile of Forensic Interest: A Review. Plants 2025, 14, 2196. https://doi.org/10.3390/plants14142196
Díaz R, Yáñez-Sánchez M, de la Fuente F, Ortega A, Figueroa-Carvajal A, Gangitano D, Scholz-Wagenknecht O. Toxic and Hallucinogenic Plants of Southern Chile of Forensic Interest: A Review. Plants. 2025; 14(14):2196. https://doi.org/10.3390/plants14142196
Chicago/Turabian StyleDíaz, Ramiro, Mauricio Yáñez-Sánchez, Francisco de la Fuente, Andrea Ortega, Alejandra Figueroa-Carvajal, David Gangitano, and Oscar Scholz-Wagenknecht. 2025. "Toxic and Hallucinogenic Plants of Southern Chile of Forensic Interest: A Review" Plants 14, no. 14: 2196. https://doi.org/10.3390/plants14142196
APA StyleDíaz, R., Yáñez-Sánchez, M., de la Fuente, F., Ortega, A., Figueroa-Carvajal, A., Gangitano, D., & Scholz-Wagenknecht, O. (2025). Toxic and Hallucinogenic Plants of Southern Chile of Forensic Interest: A Review. Plants, 14(14), 2196. https://doi.org/10.3390/plants14142196

