Species Interactions Shape Nitrogen Utilization Characteristics and Influence Soil Quality in Jujube–Alfalfa Intercropping System
Abstract
1. Introduction
2. Results
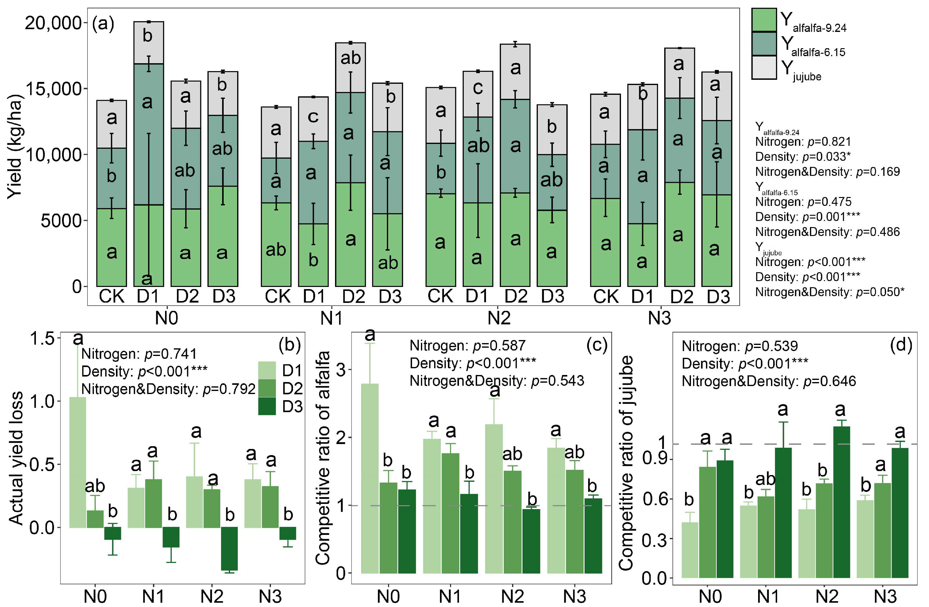
2.1. Yield and Competitive Ratio
2.2. Nitrogen Uptake, N Use Efficiency and Soil Quality
2.3. Relationships Between Soil Environmental Factors, Functional Microorganisms, and Soil Quality and Competitive Ratio
3. Discussion
3.1. Effects of Planting Density on Yield and Competitive Ratio in Intercropping Systems
3.2. N Utilization Characteristics of Alfalfa and Soil Quality in Intercropping Systems
3.3. Optimal Competitiveness of Alfalfa Facilitates Soil Quality by Modifying N Utilization Indices
4. Materials and Methods
4.1. Site Description and Experimental Design
4.2. Determination of Yield, Actual Yield Loss and Competitive Ratio
4.3. Establishment of Critical Nitrogen Concentration Dilution Curves, Nitrogen Nutrition Index, Nitrogen Use Efficiency, and Partial Factor Productivity
4.4. Soil Sampling and Analysis
4.5. Soil Quality Analysis
4.6. Statistical Analysis
5. Conclusions
Supplementary Materials
Author Contributions
Funding
Data Availability Statement
Conflicts of Interest
References
- Fan, Y.N.; Zhang, C.; Hu, W.; Khan, K.S.; Zhao, Y.; Huang, B. Development of soil quality assessment framework: A comprehensive review of indicators, functions, and approaches. Ecol. Indic. 2025, 172, 113272. [Google Scholar] [CrossRef]
- Legaz, B.V.; De Souza, D.M.; Teixeira, R.F.; Antón, A.; Putman, B.; Sala, S. Soil quality, properties, and functions in life cycle assessment: An evaluation of models. J. Clean. Prod. 2017, 140, 502–515. [Google Scholar] [CrossRef]
- Chen, K.; Suo, J.; Song, X.; Liu, Y.; Xiang, X.; Pan, Y.; Wang, J.; Ren, L.; Ge, X.; Xu, X.; et al. Soil quality improvement on Qinghai-Tibet Plateau induced by soil hydrothermal changes from 1980s to 2020s. Geoderma 2025, 455, 117235. [Google Scholar] [CrossRef]
- Makowski, D.; Zhao, B.; Ata-Ul-Karim, S.T.; Lemaire, G. Analyzing uncertainty in critical nitrogen dilution curves. Eur. J. Agron. 2020, 118, 126076. [Google Scholar] [CrossRef]
- Lemaire, G.; van Oosterom, E.; Sheehy, J.; Jeuffroy, M.H.; Massignam, A.; Rossato, L. Is crop N demand more closely related to dry matter accumulation or leaf area expansion during vegetative growth? Field Crops Res. 2007, 100, 91–106. [Google Scholar] [CrossRef]
- Li, C.; Hoffland, E.; Kuyper, T.W.; Yu, Y.; Li, H.; Zhang, C.; Zhang, F.; van der Werf, W. Yield gain, complementarity and competitive dominance in intercropping in China: A meta-analysis of drivers of yield gain using additive partitioning. Eur. J. Agron. 2020, 113, 125987. [Google Scholar] [CrossRef]
- Dhima, K.V.; Lithourgidis, A.S.; Vasilakoglou, I.B.; Dordas, C.A. Competition indices of common vetch and cereal intercrops in two seeding ratio. Field Crops Res. 2007, 100, 249–256. [Google Scholar] [CrossRef]
- Duchene, O.; Vian, J.F.; Celette, F. Intercropping with legume for agroecological cropping systems: Complementarity and facilitation processes and the importance of soil microorganisms. A review. Agric. Ecosyst. Environ. 2017, 240, 148–161. [Google Scholar] [CrossRef]
- Mansaray, A.; Karim, A.B.; Yormah, T.B.; Conteh, A.R. Effect of spatial arrangement and cropping systems on the productivity of cassava-legume intercropping systems in three Agro-climatic zones of Sierra Leone. World J. Adv. Res. Rev. 2022, 13, 025–034. [Google Scholar] [CrossRef]
- Raza, M.A.; Din, A.M.U.; Shah, G.A.; Zhiqi, W.; Feng, L.Y.; Gul, H.; Yasin, H.; Rahman, M.; Juan, C.; Liang, X.; et al. Legume choice and planting configuration influence intercrop nutrient and yield gains through complementarity and selection effects in legume-based wheat intercropping systems. Agric. Syst. 2024, 220, 104081. [Google Scholar] [CrossRef]
- Raza, M.A.; Din, A.M.U.; Yasin, H.S.; Gul, H.; Saeed, A.; Mehmood, A.; Rehman, A.; Iqbal, Z.; Iqbal, R.; Kubaisi, N.; et al. Yield gains and resource use advantages driven by legume choice and row ratio in cotton/legume intercropping under arid-irrigated conditions. Field Crops Res. 2025, 324, 109789. [Google Scholar] [CrossRef]
- Guo, W.; Chen, J.; Liu, L.; Ren, Y.; Guo, R.; Ding, Y.; Li, Y.; Chai, J.; Sun, Y.; Guo, C. MsMIOX2, encoding a MsbZIP53-activated myo-inositol oxygenase, enhances saline–alkali stress tolerance by regulating cell wall pectin and hemicellulose biosynthesis in alfalfa. Plant J. 2024, 120, 998–1013. [Google Scholar] [CrossRef] [PubMed]
- Holdridge, E.M.; Cuellar-Gempeler, C.; terHorst, C.P. A shift from exploitation to interference competition with increasing density affects population and community dynamics. Ecol. Evol. 2016, 6, 5333–5341. [Google Scholar] [CrossRef]
- Tatsumi, S.; Loreau, M. Partitioning the biodiversity effects on productivity into density and size components. Ecol. Lett. 2023, 26, 1963–1973. [Google Scholar] [CrossRef]
- Wang, R.; Dijkstra, F.A.; Han, X.; Jiang, Y. Root nitrogen reallocation: What makes it matter? Trends Plant Sci. 2024, 29, 1077–1088. [Google Scholar] [CrossRef] [PubMed]
- Shao, Z.Q.; Zheng, C.C.; Postma, J.A.; Lu, W.L.; Gao, Q.; Gao, Y.Z.; Zhang, J.J. Nitrogen acquisition, fixation and transfer in maize/alfalfa intercrops are increased through root contact and morphological responses to interspecies competition. J. Integr. Agric. 2021, 20, 2240–2254. [Google Scholar] [CrossRef]
- Jaswal, A.; Sarkar, S.; Singh, A.; Kataria, K. Assess the Sustainability of Intercropping Systems in the Transgangetic Plains of Punjab, Specially Focusing on the In-tercropping of Maize (Zea mays L.) with Black Gram (Vigna mungo) and French Bean (Phaseolus vulgaris). J. Food Chem. Nanotechnol. 2023, 9, S301. [Google Scholar] [CrossRef]
- Huber, M.; Nieuwendijk, N.M.; Pantazopoulou, C.K.; Pierik, R. Light signalling shapes plant–plant interactions in dense canopies. Plant Cell Environ. 2021, 44, 1014–1029. [Google Scholar] [CrossRef]
- Ferreira, I.E.; Zocchi, S.S.; Baron, D. Reconciling the Mitscherlich’s law of diminishing returns with Liebig’s law of the minimum. Some results on crop modeling. Math. Biosci. 2017, 293, 29–37. [Google Scholar] [CrossRef]
- Manntschke, A.; Hempel, L.; Temme, A.; Reumann, M.; Chen, T.W. Breeding in winter wheat (Triticum aestivum L.) can be further progressed by targeting previously neglected competitive traits. Front. Plant. Sci. 2025, 16, 1490483. [Google Scholar] [CrossRef]
- Wang, Z.; Guo, Y.; Xie, R.; Wang, K.; Zhang, G.; Hou, P.; Xue, J.; Gao, S.; Shen, D.; Fang, L.; et al. Optimizing Maize Production: Balancing Yield, Quality, and Economic Benefits through planting density-Driven Nutrient Analysis. J. Agr. Food Chem. 2025, 21, 101943. [Google Scholar] [CrossRef]
- Li, X.; Ata-UI-Karim, S.T.; Li, Y.; Yuan, F.; Miao, Y.; Yoichiro, K.; Cheng, T.; Tang, L.; Tian, X.; Liu, X.; et al. Advances in the estimations and applications of critical nitrogen dilution curve and nitrogen nutrition index of major cereal crops. A review. Comput. Electron. Agric. 2022, 197, 106998. [Google Scholar] [CrossRef]
- Wang, M.; Yang, J.; Gao, H.; Xu, W.; Dong, M.; Shen, G.; Xu, J.; Xu, X.; Xue, J.; Xu, C.; et al. Interspecific plant competition increases soil labile organic carbon and nitrogen contents. For. Ecol. Manag. 2020, 462, 117991. [Google Scholar] [CrossRef]
- Bai, J.; Zhang, Y.; Liu, X.; Feng, W.; Li, Q.; Long, M.; Cui, Y.; He, S.; Yang, P.; Hu, T.; et al. Integrated transcriptomic and metabolomic analyses reveals the molecular bases of alfalfa regrowth processes of new shoots after cutting under different water and nitrogen availability. Ind. Crops Prod. 2024, 213, 118476. [Google Scholar] [CrossRef]
- Liu, H.; Gao, X.; Fan, W.; Fu, X. Optimizing carbon and nitrogen metabolism in plants: From fundamental principles to practical applications. J. Integr. Plant Biol. 2025, 67, 1447–1466. [Google Scholar] [CrossRef]
- Li, J.; He, J.Z.; Liu, M.; Yan, Z.Q.; Xu, X.L.; Kuzyakov, Y. Invasive plant competitivity is mediated by nitrogen use strategies and rhizosphere microbiome. Soil Biol. Biochem. 2024, 192, 109361. [Google Scholar] [CrossRef]
- Abd-Alla, M.H.; Al-Amri, S.M.; El-Enany, A.W.E. Enhancing rhizobium–legume symbiosis and reducing nitrogen fertilizer use are potential options for mitigating climate change. Agriculture 2023, 13, 2092. [Google Scholar] [CrossRef]
- Chen, G.; Fan, W.; Yin, W.; Fan, Z.; Wan, S.; Zhai, Y.; Zhang, X. Soil aggregates are governed by spacing configurations in alfalfa-jujube tree intercropping systems. Agronomy 2023, 13, 264. [Google Scholar] [CrossRef]
- Zhang, W.; Ahanbieke, P.; Wang, B.J.; Xu, W.L.; Li, L.H.; Christie, P.; Li, L. Root distribution and interactions in jujube tree/wheat agroforestry system. Agrofor. Syst. 2013, 87, 929–939. [Google Scholar] [CrossRef]
- Banik, P. Evaluation of wheat (Triticum aestivum) and legume intercropping under 1: 1 and 2: 1 Row-replacement series system. J. Agron. Crop Sci. 2008, 176, 289–294. [Google Scholar] [CrossRef]
- Ghosh, P.K. Growth, yield, competition and economics of groundnut/cereal fodder intercropping systems in the semi-arid tropics of India. Field Crops Res. 2004, 88, 227–237. [Google Scholar] [CrossRef]
- Wang, Y.; Zhang, Y.; Zhang, H.; Yang, Z.; Zhu, Q.; Yan, B.; Fei, J.; Rong, X.; Peng, J.; Luo, G. Intercropping-driven nitrogen trade-off enhances maize productivity in a long-term experiment. Field Crops Res. 2022, 287, 108671. [Google Scholar] [CrossRef]
- Jahany, M.; Rezapour, S. Assessment of the quality indices of soils irrigated with treated wastewater in a calcareous semi-arid environment. Ecol. Indic. 2020, 109, 105800. [Google Scholar] [CrossRef]





Disclaimer/Publisher’s Note: The statements, opinions and data contained in all publications are solely those of the individual author(s) and contributor(s) and not of MDPI and/or the editor(s). MDPI and/or the editor(s) disclaim responsibility for any injury to people or property resulting from any ideas, methods, instructions or products referred to in the content. |
© 2025 by the authors. Licensee MDPI, Basel, Switzerland. This article is an open access article distributed under the terms and conditions of the Creative Commons Attribution (CC BY) license (https://creativecommons.org/licenses/by/4.0/).
Share and Cite
Qiao, H.; Cheng, H.; Li, T.; Fan, W.; Zhao, Y.; Cui, Z.; Wang, J.; Yang, Q.; Jia, C.; Zhang, W.; et al. Species Interactions Shape Nitrogen Utilization Characteristics and Influence Soil Quality in Jujube–Alfalfa Intercropping System. Plants 2025, 14, 2048. https://doi.org/10.3390/plants14132048
Qiao H, Cheng H, Li T, Fan W, Zhao Y, Cui Z, Wang J, Yang Q, Jia C, Zhang W, et al. Species Interactions Shape Nitrogen Utilization Characteristics and Influence Soil Quality in Jujube–Alfalfa Intercropping System. Plants. 2025; 14(13):2048. https://doi.org/10.3390/plants14132048
Chicago/Turabian StyleQiao, Hang, Hui Cheng, Tiantian Li, Wenxia Fan, Yaru Zhao, Zhengjun Cui, Jinbin Wang, Qingqing Yang, Chengze Jia, Wei Zhang, and et al. 2025. "Species Interactions Shape Nitrogen Utilization Characteristics and Influence Soil Quality in Jujube–Alfalfa Intercropping System" Plants 14, no. 13: 2048. https://doi.org/10.3390/plants14132048
APA StyleQiao, H., Cheng, H., Li, T., Fan, W., Zhao, Y., Cui, Z., Wang, J., Yang, Q., Jia, C., Zhang, W., Chen, G., & Wan, S. (2025). Species Interactions Shape Nitrogen Utilization Characteristics and Influence Soil Quality in Jujube–Alfalfa Intercropping System. Plants, 14(13), 2048. https://doi.org/10.3390/plants14132048

